All-Organic Quantum Dots-Boosted Energy Storage Density in PVDF-Based Nanocomposites via Dielectric Enhancement and Loss Reduction
Abstract
1. Introduction
2. Experimental Section
2.1. Raw Materials
2.2. The Synthesis of CD Powder
2.3. The Fabrication of CD/PVDF Nanocomposite Films
2.4. Characterization and Instrumentation
2.5. Electrical Measurement
3. Results and Discussion
3.1. Microstructural Characterization of CD Powders
3.2. Structural Characteristics of CD/PVDF Nanocomposite Films
3.3. Frequency Dependence of Dielectric Property in a Low Electric Field
3.4. Weibull Analysis of Electric Breakdown Strength
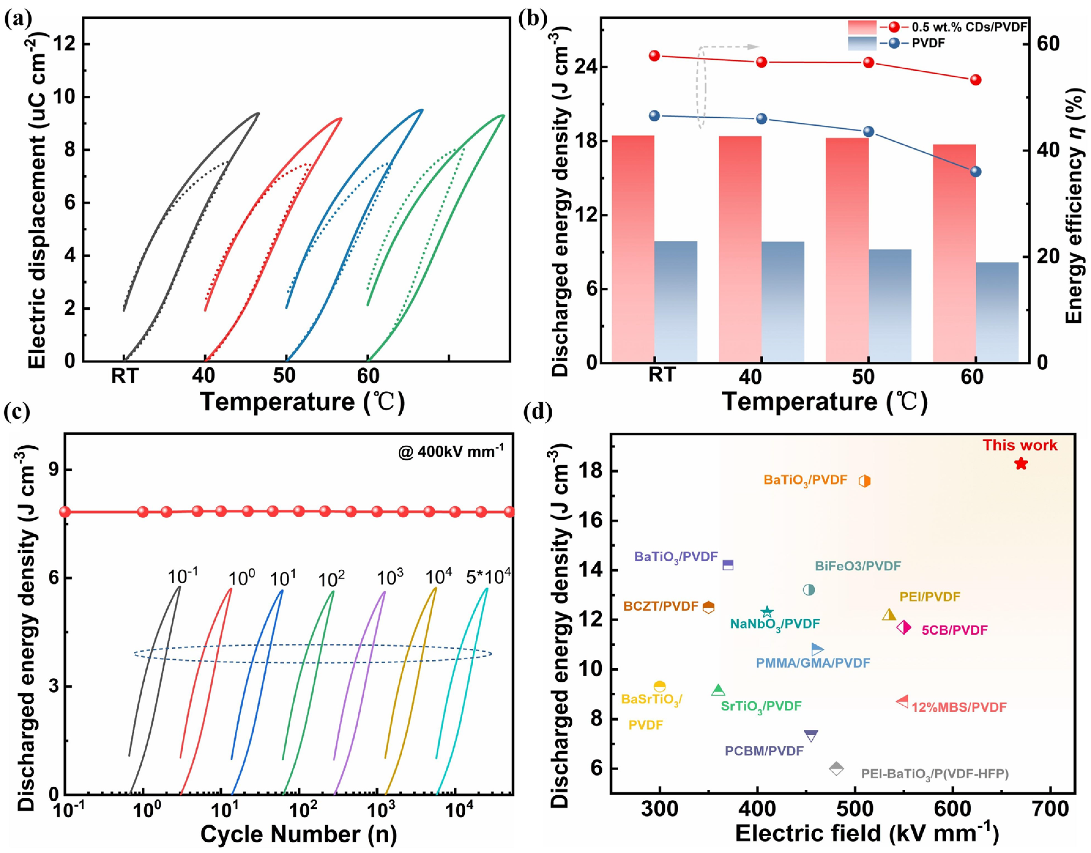
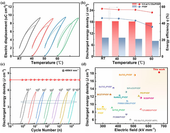
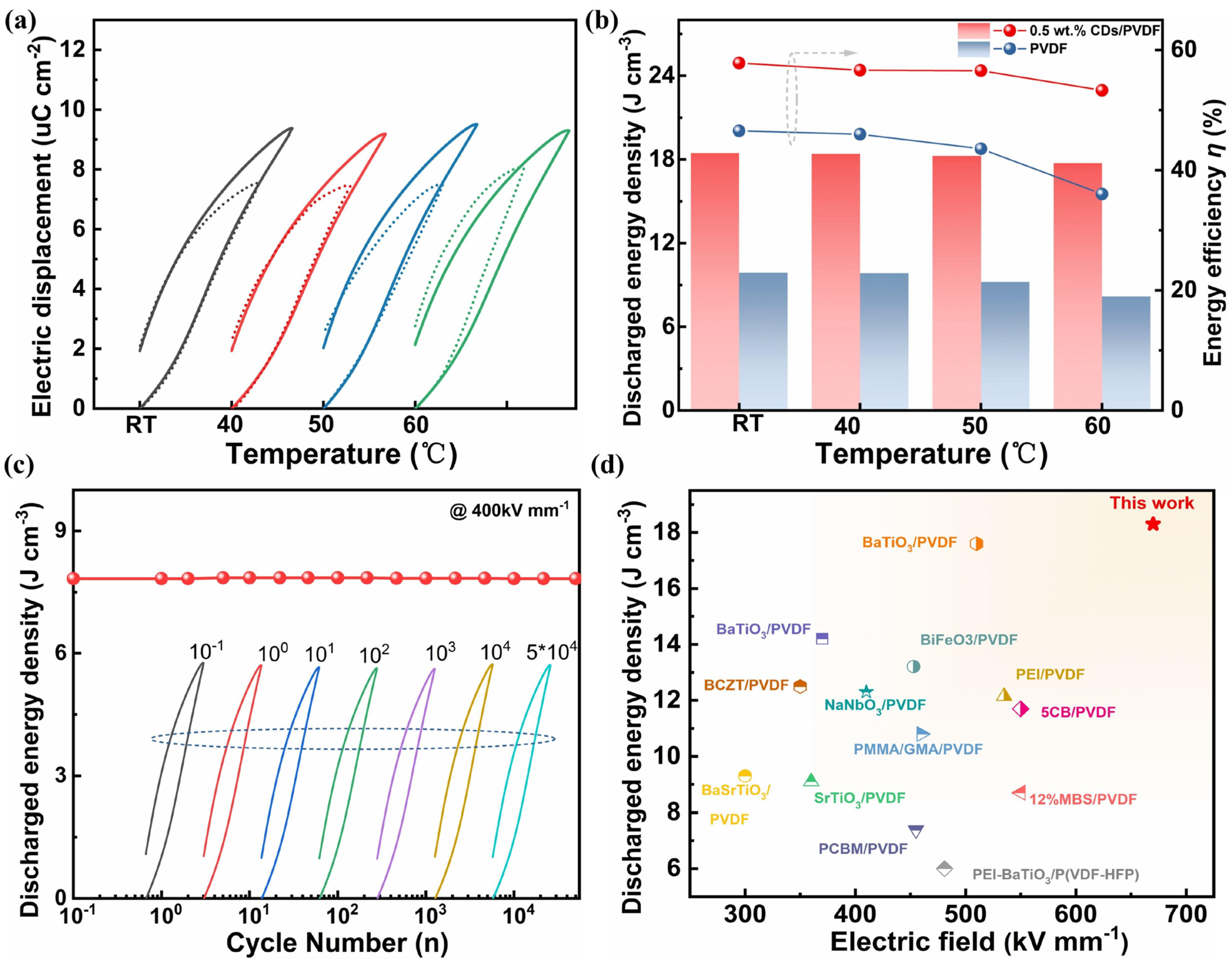
3.5. High-Field Electric Polarization and Energy Storage Performance
4. Conclusions
Author Contributions
Funding
Institutional Review Board Statement
Data Availability Statement
Conflicts of Interest
References
- Yang, L.; Kong, X.; Li, F.; Hao, H.; Cheng, Z.; Liu, H.; Li, J.-F.; Zhang, S. Perovskite lead-free dielectrics for energy storage applications. Prog. Mater. Sci. 2019, 102, 72–108. [Google Scholar] [CrossRef]
- Liu, X.-J.; Zheng, M.-S.; Chen, G.; Dang, Z.-M.; Zha, J.-W. High-temperature polyimide dielectric materials for energy storage: Theory, design, preparation and properties. Energy Environ. Sci. 2022, 15, 56–81. [Google Scholar] [CrossRef]
- Feng, Q.-K.; Zhong, S.-L.; Pei, J.-Y.; Zhao, Y.; Zhang, D.-L.; Liu, D.-F.; Zhang, Y.-X.; Dang, Z.-M. Recent Progress and Future Prospects on All-Organic Polymer Dielectrics for Energy Storage Capacitors. Chem. Rev. 2022, 122, 3820–3878. [Google Scholar] [CrossRef] [PubMed]
- Bhausaheb, V.T.; Maninderjeet, S.; Ikeoluwa, E.A.; Jagadesh, V.; Nihar, P.; Alamgir, K.; Jack, F.D.; Dharmaraj, R. Polymer-grafted nanoparticles with variable grafting densities for high energy density polymeric nanocomposite dielectric capacitors. JACS Au 2023, 3, 1365–1375. [Google Scholar]
- Wu, X.; Chen, X.; Zhang, Q.M.; Tan, D.Q. Advanced dielectric polymers for energy storage. Energy Storage Mater. 2022, 44, 29–47. [Google Scholar] [CrossRef]
- Nitesh, K.; Rashmi, R.-M.; Parida, R.-K.; Parida, B.-N.; Nimai, C.-N. Improving the energy storage efficiency and power density of polymer blend in combination with Ti3C2Tx for energy storage devices. Mater. Today Chem. 2024, 41, 2468–5194. [Google Scholar]
- Li, H.; Zhou, Y.; Liu, Y.; Li, L.; Liu, Y.; Wang, Q. Dielectric polymers for high-temperature capacitive energy storage. Chem. Soc. Rev. 2021, 50, 6369–6400. [Google Scholar] [CrossRef]
- Zhang, G.; Li, Q.; Allahyarov, E.; Li, Y.; Zhu, L. Challenges and Opportunities of Polymer Nanodielectrics for Capacitive Energy Storage. ACS Appl. Mater. Interfaces 2021, 13, 37939–37960. [Google Scholar] [CrossRef]
- Pei, J.-Y.; Yin, L.-J.; Zhong, S.-L.; Dang, Z.-M. Suppressing the Loss of Polymer-Based Dielectrics for High Power Energy Storage. Adv. Mater. 2023, 35, 2203623. [Google Scholar] [CrossRef]
- Sudhanshu, D.; Anamol, G.; Ajeet, K.; Nitin, J.; Poonam, U. Appreciable amelioration in the dielectric and energy storage behavior of the electrospun fluoropolymer PVDF-HFP thick films: Effect of hot-pressing. J. Energy Storage 2024, 103, 114337. [Google Scholar]
- Padurariu, L.; Brunengo, E.; Canu, G.; Curecheriu, L.-P.; Conzatti, L.; Buscaglia, M.-T.; Stagnaro, P.; Mitoseriu, L.; Buscaglia, V. Role of Microstructures in the Dielectric Properties of PVDF-Based Nanocomposites Containing High-Permittivity Fillers for Energy Storage. ACS Appl. Mater. Interfaces 2023, 15, 13535–13544. [Google Scholar] [CrossRef] [PubMed]
- Guo, R.; Luo, H.; Zhai, D.; Xiao, Z.; Xie, H.; Liu, Y.; Wang, F.; Jiang, X.; Zhang, D. Ultrahigh energy density in dielectric nanocomposites by modulating nanofiller orientation and polymer crystallization behavior. Adv. Powder Mater. 2024, 3, 100212. [Google Scholar] [CrossRef]
- Liu, G.; Chen, Y.; Cui, Y.; Shen, L.; Wu, T.; Chen, C.; Luo, Y.; Yan, S. Study on the Effect of Electron/Hole Injection on the Energy-Storage Properties of Polymer Dielectrics. Polymers 2024, 16, 2750. [Google Scholar] [CrossRef] [PubMed]
- Huang, X.; Sun, B.; Zhu, Y.; Li, S.; Jiang, P. High-k polymer nanocomposites with 1D filler for dielectric and energy storage applications. Prog. Mater. Sci. 2019, 100, 187–225. [Google Scholar] [CrossRef]
- Wang, Y.; Yao, M.; Ma, R.; Yuan, Q.; Yang, D.; Cui, B.; Ma, C.; Liu, M.; Hu, D. Design strategy of barium titanate/polyvinylidene fluoride-based nanocomposite films for high energy storage. J. Mater. Chem. A 2020, 8, 884–917. [Google Scholar] [CrossRef]
- Farzana, H.-L.; Maninderjeet, S.; Hitesh, R.-P.; Pulickel, M.-A.; Muhammad, M.-R.; Alamgir, K. Tuning Dielectric Properties with Nanofiller Dimensionality in Polymer Nanocomposites. ACS Appl. Mater. Interfaces 2024, 16, 57253–57267. [Google Scholar]
- Zhang, X.; Li, B.-W.; Dong, L.; Liu, H.; Chen, W.; Shen, Y.; Nan, C.-W. Superior Energy Storage Performances of Polymer Nanocomposites via Modification of Filler/Polymer Interfaces. Adv. Mater. Interfaces 2018, 5, 1800096. [Google Scholar] [CrossRef]
- Li, L.; Cheng, J.; Cheng, Y.; Han, T.; Liu, Y.; Zhou, Y.; Han, Z.; Zhao, G.; Zhao, Y.; Xiong, C.; et al. Significantly enhancing the dielectric constant and breakdown strength of linear dielectric polymers by utilizing ultralow loadings of nanofillers. J. Mater. Chem. A 2021, 9, 23028–23036. [Google Scholar] [CrossRef]
- Cheng, Y.; Feng, Y.; Pan, Z.; Wang, P.; Liu, J.; Liang, L.; Yu, J.; Zhai, J.; Wang, Q. Multilayer nanocomposites with ultralow loadings of nanofillers exhibiting superb capacitive energy storage performance. Energy Environ. Sci. 2023, 16, 5881–5890. [Google Scholar] [CrossRef]
- Luo, H.; Zhou, X.; Ellingford, C.; Zhang, Y.; Chen, S.; Zhou, K.; Zhang, D.; Bowen, C.R.; Wan, C. Interface design for high energy density polymer nanocomposites. Chem. Soc. Rev. 2019, 48, 4424–4465. [Google Scholar] [CrossRef]
- Guo, M.; Jiang, J.; Shen, Z.; Lin, Y.; Nan, C.-W.; Shen, Y. High-Energy-Density Ferroelectric Polymer Nanocomposites for Capacitive Energy Storage: Enhanced Breakdown Strength and Improved Discharge Efficiency. Mater. Today 2019, 29, 49–67. [Google Scholar] [CrossRef]
- Su, Y.; Chen, C.; Wang, Y.; Yao, M.; Ma, R.; Zhang, W.; Yuan, Q.; Hu, D. Interface coupling and energy storage of inorganic–organic nanocomposites. J. Mater. Chem. A 2022, 10, 14187–14220. [Google Scholar] [CrossRef]
- Yang, Y.; Qiao, J.; Sun, H.; Yang, W.; Wei, L.; Zhao, X. Induced Electron Traps via the PCBM in P(VDF-HFP) Composites to Enhance Dielectric and Energy Storage Performance. Polymers 2024, 16, 3030. [Google Scholar] [CrossRef] [PubMed]
- Cheng, R.; Wang, Y.; Men, R.; Lei, Z.; Song, J.; Li, Y.; Guo, M. High-energy-density polymer dielectrics via compositional and structural tailoring for electrical energy storage. iScience 2022, 25, 104837. [Google Scholar] [CrossRef]
- Guo, R.; Luo, H.; Zhou, X.; Xiao, Z.; Xie, H.; Liu, Y.; Zhou, K.; Shen, Z.; Chen, L.; Zhang, D. Ultrahigh energy density of poly(vinylidene fluoride) from synergistically improved dielectric constant and withstand voltage by tuning the crystallization behavior. J. Mater. Chem. A 2021, 9, 27660–27671. [Google Scholar] [CrossRef]
- Yu, Y.; Ma, T.; Huang, H. Semiconducting Quantum Dots for Energy Conversion and Storage. Adv. Funct. Mater. 2023, 33, 2213770. [Google Scholar] [CrossRef]
- Hoang, V.C.; Dave, K.; Gomes, V.G. Carbon quantum dot-based composites for energy storage and electrocatalysis: Mechanism, applications and future prospects. Nano Energy 2019, 66, 104093. [Google Scholar] [CrossRef]
- Ye, H.; Gao, W.; Xu, L. High-temperature energy storage capability of polyetherimide composite incorporated with perovskite quantum dots. Colloids Surf. A Physicochem. Eng. Asp. 2024, 687, 133479. [Google Scholar] [CrossRef]
- Li, L.; Cheng, J.; Cheng, Y.; Han, T.; Liu, Y.; Zhou, Y.; Zhao, G.; Zhao, Y.; Xiong, C.; Dong, L.; et al. Significant Improvements in Dielectric Constant and Energy Density of Ferroelectric Polymer Nanocomposites Enabled by Ultralow Contents of Nanofillers. Adv. Mater. 2021, 33, 2102392. [Google Scholar] [CrossRef]
- Li, S.; Dong, J.; Niu, Y.; Li, L.; Wang, F.; Hu, R.; Cheng, J.; Sun, L.; Pan, Z.; Xu, X.; et al. Enhanced high-temperature energy storage properties of polymer composites by interlayered metal nanodots. J. Mater. Chem. A 2022, 10, 18773–18781. [Google Scholar] [CrossRef]
- Wang, F.; Cai, J.; Yang, C.; Luo, H.; Li, X.; Hou, H.; Zou, G.; Zhang, D. Improved Capacitive Energy Storage Nanocomposites at High Temperature Utilizing Ultralow Loading of Bimetallic MOF. Small 2023, 19, 2300510. [Google Scholar] [CrossRef] [PubMed]
- Xie, H.; Luo, H.; Liu, Y.; Guo, R.; Ji, X.; Hou, H.; Zhang, D. Extremely low loading of carbon quantum dots for high energy density in polyetherimide nanocomposites. Chem. Eng. J. 2022, 433, 133601. [Google Scholar] [CrossRef]
- Wang, H.; Luo, H.; Liu, Y.; Wang, F.; Peng, B.; Li, X.; Hu, D.; He, G.; Zhang, D. Improved Energy Density at High Temperatures of FPE Dielectrics by Extreme Low Loading of CQDs. Materials 2024, 17, 3625. [Google Scholar] [CrossRef] [PubMed]
- Ding, J.; Xu, W.; Zhu, X.; Liu, Z.; Zhang, Y.; Jiang, Z. All-organic nanocomposite dielectrics contained with polymer dots for high-temperature capacitive energy storage. Nano Res. 2023, 16, 10183–10190. [Google Scholar] [CrossRef]
- Rui, G.; Huang, Y.; Chen, X.; Li, R.; Wang, D.; Miyoshi, T.; Zhu, L. Giant spontaneous polarization for enhanced ferroelectric properties of biaxially oriented poly(vinylidene fluoride) by mobile oriented amorphous fractions. J. Mater. Chem. C 2021, 9, 894–907. [Google Scholar] [CrossRef]
- Yuan, M.; Li, B.; Zhang, S.; Rajagopalan, R.; Lanagan, M.T. High-Field Dielectric Properties of Oriented Poly(vinylidene fluoride-co-hexafluoropropylene): Structure–Dielectric Property Relationship and Implications for Energy Storage Applications. ACS Appl. Polymer. Interfaces 2020, 2, 1356–1368. [Google Scholar] [CrossRef]
- Qin, J.; Yang, X.; Shen, C.; Chang, Y.; Deng, Y.; Zhang, Z.; Liu, H.; Lv, C.; Li, Y.; Zhang, C.; et al. Carbon nanodot-based humidity sensor for self-powered respiratory monitoring. Nano Energy 2022, 101, 107549. [Google Scholar] [CrossRef]
- Chen, J.; Wang, Y.; Dong, J.; Chen, W.; Wang, H. Ultrahigh energy storage density at low operating field strength achieved in multicomponent polymer dielectrics with hierarchical structure. Compos. Sci. Technol. 2021, 201, 108557. [Google Scholar] [CrossRef]
- Sun, L.; Shi, Z.; He, B.; Wang, H.; Liu, S.; Huang, M.; Shi, J.; Dastan, D.; Wang, H. Asymmetric Trilayer All-Polymer Dielectric Composites with Simultaneous High Efficiency and High Energy Density: A Novel Design Targeting Advanced Energy Storage Capacitors. Adv. Funct. Mater. 2021, 31, 2100280. [Google Scholar] [CrossRef]
- Wang, Y.; Li, Y.; Wang, L.; Yuan, Q.; Chen, J.; Niu, Y.; Xu, X.; Wang, Q.; Wang, H. Gradient-layered polymer nanocomposites with significantly improved insulation performance for dielectric energy storage. Energy Storage Mater. 2020, 24, 626–634. [Google Scholar] [CrossRef]
- Liu, X.; Luo, H.; Yan, C.; Liu, Y.; Luo, H.; Zhang, D.; Chen, S. Achieving synergistic improvement in dielectric constant and energy storage properties of all-organic liquid crystal molecule/PVDF composites. J. Mater. Chem. C 2022, 10, 17757–17767. [Google Scholar] [CrossRef]
- Zheng, S.; Xie, J.; Zhao, X.; Sun, S. Methyl Methacrylate-co-glycidyl Methacrylate-Based Dielectric Films with High Breakdown Strength and Discharge Energy Density Tailored by PVDF. Langmuir 2023, 39, 3710–3719. [Google Scholar] [CrossRef] [PubMed]
- Chi, Q.; Ma, T.; Zhang, Y.; Cui, Y.; Zhang, C.; Lin, J.; Wang, X.; Lei, Q. Significantly enhanced energy storage density for poly(vinylidene fluoride) composites by induced PDA-coated 0.5Ba(Zr0.2Ti0.8)O3–0.5(Ba0.7Ca0.3)TiO3 nanofibers. J. Mater. Chem. A 2017, 5, 16757–16766. [Google Scholar] [CrossRef]
- Yang, Z.; Wang, J.; Hu, Y.; Deng, C.; Zhu, K. Enhanced energy storage performance of poly(vinylidene fluoride)-based polymer blends via post-treatments. Polym. Polym. Compos. 2022, 30, 09673911221099775. [Google Scholar] [CrossRef]
- Xie, B.; Zhang, Q.; Zhang, L.; Zhu, Y.; Guo, X.; Fan, P.; Zhang, H. Ultrahigh discharged energy density in polymer nanocomposites by designing linear/ferroelectric bilayer heterostructure. Nano Energy 2018, 54, 437–446. [Google Scholar] [CrossRef]
- Feng, Y.; Zhou, Y.; Zhang, T.; Zhang, C.; Zhang, Y.; Zhang, Y.; Chen, Q.; Chi, Q. Ultrahigh discharge efficiency and excellent energy density in oriented core-shell nanofiber-polyetherimide composites. Energy Storage Mater. 2020, 25, 180–192. [Google Scholar] [CrossRef]
- Yao, L.; Pan, Z.; Zhai, J.; Zhang, G.; Liu, Z.; Liu, Y. High-energy-density with polymer nanocomposites containing of SrTiO3 nanofibers for capacitor application. Compos. Part A Appl. Sci. Manuf. 2018, 109, 48–54. [Google Scholar] [CrossRef]
- Pan, Z.; Yao, L.; Ge, G.; Shen, B.; Zhai, J. High-performance capacitors based on NaNbO3 nanowires/poly(vinylidene fluoride) nanocomposites. J. Mater. Chem. A 2018, 6, 14614–14622. [Google Scholar] [CrossRef]
- Sun, L.; Shi, Z.; Wang, H.; Zhang, K.; Dastan, D.; Sun, K.; Fan, R. Ultrahigh discharge efficiency and improved energy density in rationally designed bilayer polyetherimide–BaTiO3/P(VDF-HFP) composites. J. Mater. Chem. A 2020, 8, 5750–5757. [Google Scholar] [CrossRef]
- Wang, Z.; Ye, J.; Liu, S.; Zhang, X.; Hou, Y.; Li, X.; Wang, H. Enhanced energy storage capability of hydroxylated BiFeO3/PVDF composites designed by compositionally gradient multilayer structures. J. Alloys Compd. 2025, 1010, 177194. [Google Scholar] [CrossRef]








| Dielectrics | ɛr | Tan δ | Eb (kV mm−1) | Dmax-Dr (μC cm−2) | Ue (J/cm−3) | η |
|---|---|---|---|---|---|---|
| 0 | 8.74 | 0.023 | 521.9 | 5.0 | 9.96 | 46.76 |
| 0.025 wt% | 8.48 | 0.023 | - | - | - | - |
| 0.05 wt | 7.77 | 0.023 | 590.7 | 6.9 | 14.91 | 56.81 |
| 0.1 wt% | 8.19 | 0.021 | - | - | - | - |
| 0.2 wt% | 9.06 | 0.019 | 621.2 | 7.2 | 17.09 | 57.82 |
| 0.5 wt% | 9.49 | 0.018 | 627.2 | 7.3 | 18.28 | 56.67 |
| 1.0 wt% | 10.24 | 0.016 | 577.9 | 6.5 | 13.56 | 49.37 |
| 2.0 wt% | 10.83 | 0.013 | 564.6 | 6.6 | 12.57 | 43.91 |
Disclaimer/Publisher’s Note: The statements, opinions and data contained in all publications are solely those of the individual author(s) and contributor(s) and not of MDPI and/or the editor(s). MDPI and/or the editor(s) disclaim responsibility for any injury to people or property resulting from any ideas, methods, instructions or products referred to in the content. |
© 2025 by the authors. Licensee MDPI, Basel, Switzerland. This article is an open access article distributed under the terms and conditions of the Creative Commons Attribution (CC BY) license (https://creativecommons.org/licenses/by/4.0/).
Share and Cite
Guo, R.; Yuan, X.; Zhou, X.; Chen, H.; Xie, H.; Hu, Q.; Luo, H.; Zhang, D. All-Organic Quantum Dots-Boosted Energy Storage Density in PVDF-Based Nanocomposites via Dielectric Enhancement and Loss Reduction. Polymers 2025, 17, 390. https://doi.org/10.3390/polym17030390
Guo R, Yuan X, Zhou X, Chen H, Xie H, Hu Q, Luo H, Zhang D. All-Organic Quantum Dots-Boosted Energy Storage Density in PVDF-Based Nanocomposites via Dielectric Enhancement and Loss Reduction. Polymers. 2025; 17(3):390. https://doi.org/10.3390/polym17030390
Chicago/Turabian StyleGuo, Ru, Xi Yuan, Xuefan Zhou, Haiyan Chen, Haoran Xie, Quan Hu, Hang Luo, and Dou Zhang. 2025. "All-Organic Quantum Dots-Boosted Energy Storage Density in PVDF-Based Nanocomposites via Dielectric Enhancement and Loss Reduction" Polymers 17, no. 3: 390. https://doi.org/10.3390/polym17030390
APA StyleGuo, R., Yuan, X., Zhou, X., Chen, H., Xie, H., Hu, Q., Luo, H., & Zhang, D. (2025). All-Organic Quantum Dots-Boosted Energy Storage Density in PVDF-Based Nanocomposites via Dielectric Enhancement and Loss Reduction. Polymers, 17(3), 390. https://doi.org/10.3390/polym17030390
