Sign in to use this feature.

Years

Between: -

Subjects

remove_circle_outline
remove_circle_outline
remove_circle_outline
remove_circle_outline
remove_circle_outline
remove_circle_outline
remove_circle_outline

Journals

Article Types

Countries / Regions

Search Results (14)

Search Parameters:
Keywords = N-DPB

Order results
Result details
Results per page
Select all
Export citation of selected articles as:
11 pages, 2636 KB  
Article
The First N,O-Chelated Diphenylboron-Based Fluorescent Probe for Peroxynitrite and Its Bioimaging Applications
by Xiaoping Ye, Longxuan Li, Hong Liu, Yuyu Fang and Xiaoya Liu
Biosensors 2024, 14(11), 515; https://doi.org/10.3390/bios14110515 - 22 Oct 2024
Cited by 2 | Viewed by 1714
Abstract
Peroxynitrite (ONOO) is a reactive oxygen species (ROS) that takes part in the oxidation-reduction homeostasis while at the same time being responsible for activating numerous pathological pathways. Accordingly, monitoring the dynamic changes in ONOO concentration has attracted a great deal [...] Read more.
Peroxynitrite (ONOO) is a reactive oxygen species (ROS) that takes part in the oxidation-reduction homeostasis while at the same time being responsible for activating numerous pathological pathways. Accordingly, monitoring the dynamic changes in ONOO concentration has attracted a great deal of attention, undoubtedly prompting the development of appropriate fluorescent chemosensors. Herein, we developed a novel N,O-chelated diphenylboron-based fluorescent probe (DPB) for ONOO featuring high selectivity, a quick response time (2.0 min), and a low detection limit (55 nM). DPB incorporates tetra-coordinated boron in the center of the fluorogenic core and a three-coordinated boron from the pinacolphenylboronate fragment, which acts as the recognition site for ONOO. As confirmed by HR-MS and 1H NMR, the interaction of DPB with ONOO led to an oxidative cleavage of pinacolphenylboronate moiety to produce strongly emissive derivative DPB-OH. The fluorescence enhancement is likely a result of a substantial deactivation of non-radiative decay due to the replacement of the bulky pinacolphenylboronate moiety with a compact hydroxyl group. Importantly, DPB probe exhibits negligible cytotoxicity and favorable biocompatibility allowing for an efficient tracking of ONOO in living cells and zebrafish. Overall, the current study does not only represents the first N,O-chelated diphenylboron-based fluorescent probe for a specific analyte, but also serves as a guideline for designing more potent fluorescent probes based on the chemistry of boron chelates. Full article
Show Figures

Figure 1

16 pages, 2454 KB  
Article
Human Leukocyte Antigen-Allelic Variations May Influence the Age at Cancer Diagnosis in Lynch Syndrome
by Lutricia Ndou, Ramadhani Chambuso, Ziyaad Valley-Omar, George Rebello, Ursula Algar, Paul Goldberg, Adam Boutall and Raj Ramesar
J. Pers. Med. 2024, 14(6), 575; https://doi.org/10.3390/jpm14060575 - 27 May 2024
Cited by 1 | Viewed by 2037
Abstract
Lynch syndrome (LS) is an inherited cancer predisposition disorder associated with an elevated risk of developing various solid cancers, but mostly colorectal cancer (CRC). Despite having the same germline pathogenic variant (PV) in one of the mis-match repair genes or the EPCAM gene, [...] Read more.
Lynch syndrome (LS) is an inherited cancer predisposition disorder associated with an elevated risk of developing various solid cancers, but mostly colorectal cancer (CRC). Despite having the same germline pathogenic variant (PV) in one of the mis-match repair genes or the EPCAM gene, Lynch syndrome variant heterozygotes (LSVH) exhibit a remarkable phenotypic variability in the risk of developing cancer. The role of human leukocyte antigen (HLA) in modifying cancer development risk prompted our hypothesis into whether HLA variations act as potential genetic modifiers influencing the age at cancer diagnosis in LSVH. To investigate this, we studied a unique cohort of 426 LSVH carrying the same germline PV in the hMLH1 gene (MLH1:c.1528C > T) in South Africa. We intuitively selected 100 LSVH with the greatest diversity in age at cancer diagnosis (N = 80) and the oldest cancer unaffected LSVH (N = 20) for a high-throughput HLA genotyping of 11 HLA class I and class II loci using the shotgun next-generation sequencing (NGS) technique on the Illumina MiSeq platform. Statistical analyses employed Kaplan–Meier survival analyses with log-rank tests, and Cox proportional hazards using binned HLA data to minimize type I error. Significant associations were observed between young age at cancer diagnosis and HLA-DPB1*04:02 (mean age: 37 y (25–50); hazard ratio (HR) = 3.37; corrected p-value (q) = 0.043) as well as HLA-DPB1 binned alleles (including HLA-DPB1*09:01, HLA-DPB1*10:01, HLA-DPB1*106:01, HLA-DPB1*18:01, HLA-DPB1*20:01, HLA-DPB1*26:01, HLA-DPB1*28:01, HLA-DPB1*296:01, and HLA-DPB1*55:01) (mean age: 37 y (17–63); HR = 2.30, q = 0.045). The involvement of HLA-DPB1 alleles in the age at cancer diagnosis may highlight the potential role of HLA class II in the immune response against cancer development in LSVH. When validated in a larger cohort, these high-risk HLA-DPB1 alleles could be factored into cancer risk prediction models for personalized cancer screening in LSVH. Full article
Show Figures

Graphical abstract

19 pages, 3055 KB  
Article
Photocatalytic Reduction of CO2 into CO with Cyclometalated Pt(II) Complexes of N^C^N Pincer Dipyridylbenzene Ligands: A DFT Study
by Antonia Sarantou and Athanassios Tsipis
Molecules 2024, 29(2), 403; https://doi.org/10.3390/molecules29020403 - 14 Jan 2024
Cited by 2 | Viewed by 2324
Abstract
In this work, density functional theory (DFT) calculations were employed to study the photocatalytic reduction of CO2 into CO using a series of Pt(II) square planar complexes with the general formula [Pt(5-R-dpb)Cl] (dpb = 1,3-di(2-pyridyl)benzene anion, R = H, N,N [...] Read more.
In this work, density functional theory (DFT) calculations were employed to study the photocatalytic reduction of CO2 into CO using a series of Pt(II) square planar complexes with the general formula [Pt(5-R-dpb)Cl] (dpb = 1,3-di(2-pyridyl)benzene anion, R = H, N,N-dimethylaniline,T thiophene, diazaborinine). The CO2-into-CO conversion process is thought to proceed via two main steps, namely the photocatalytic/reduction step and the main catalytic step. The simulated absorption spectra exhibit strong bands in the range 280–460 nm of the UV-Vis region. Reductive quenching of the T1 state of the complexes under study is expected to be favorable since the calculated excited state redox potentials for the reaction with sacrificial electron donors are highly positive. The redox potentials reveal that the reductive quenching of the T1 state, important to the overall process, could be modulated by suitable changes in the N^C^N pincer ligands. The CO2 fixation and activation by the three coordinated Pt(II) catalytically active species are predicted to be favorable, with the Pt–CO2 bond dissociation energies D0 in the range of −36.9–−10.3 kcal/mol. The nature of the Pt–CO2 bond of the Pt(II) square planar intermediates is complex, with covalent, hyperconjugative and H-bonding interactions prevailing over the repulsive electrostatic interactions. The main catalytic cycle is estimated to be a favorable exergonic process. Full article
(This article belongs to the Special Issue Exclusive Feature Papers in Inorganic Chemistry, 2nd Edition)
Show Figures

Figure 1

15 pages, 2327 KB  
Article
Spatially Resolved Protein Binding Kinetics Analysis in Microfluidic Photonic Crystal Sensors
by Stefanie Lehmann, Fabio Aldo Kraft and Martina Gerken
Sensors 2023, 23(12), 5637; https://doi.org/10.3390/s23125637 - 16 Jun 2023
Cited by 6 | Viewed by 2603
Abstract
Organ-on-a-Chip systems are emerging as an important in vitro analysis method for drug screening and medical research. For continuous biomolecular monitoring of the cell culture response, label-free detection within the microfluidic system or in the drainage tube is promising. We study photonic crystal [...] Read more.
Organ-on-a-Chip systems are emerging as an important in vitro analysis method for drug screening and medical research. For continuous biomolecular monitoring of the cell culture response, label-free detection within the microfluidic system or in the drainage tube is promising. We study photonic crystal slabs integrated with a microfluidic chip as an optical transducer for label-free biomarker detection with a non-contact readout of binding kinetics. This work analyzes the capability of same-channel reference for protein binding measurements by using a spectrometer and 1D spatially resolved data evaluation with a spatial resolution of 1.2 μm. A cross-correlation-based data-analysis procedure is implemented. First, an ethanol–water dilution series is used to obtain the limit of detection (LOD). The median of all row LODs is (2.3±0.4)×104 RIU with 10 s exposure time per image and (1.3±0.24)×104 RIU with 30 s exposure time. Next, we used a streptavidin–biotin binding process as a test system for binding kinetics. Time series of optical spectra were recorded while constantly injecting streptavidin in DPBS at concentrations of 1.6 nM, 3.3 nM, 16.6 nM and 33.3 nM into one channel half as well as the whole channel. The results show that localized binding within a microfluidic channel is achieved under laminar flow. Furthermore, binding kinetics are fading out at the microfluidic channel edge due to the velocity profile. Full article
(This article belongs to the Section Biosensors)
Show Figures

Figure 1

19 pages, 2502 KB  
Article
C–H Metalation of Terpyridine Stereoisomers with Ni(II), Pd(II), and Pt(II)
by Leo Payen, Lukas Kletsch, Tobias Lapić, Mathias Wickleder and Axel Klein
Inorganics 2023, 11(4), 174; https://doi.org/10.3390/inorganics11040174 - 21 Apr 2023
Cited by 8 | Viewed by 3521
Abstract
Ni(II), Pd(II), and Pt(II) complexes [M(Y-terpy)X] (X = Cl or Br) containing the tridentate N^C^N-cyclometalating 2,3′:5′,2″and 2,2′:4′,2″ stereoisomers of the well-known tridentate N^N^N ligand 2,2′:6′,2″-terpyridine (terpy) were synthesised in moderate to good yields through C–H activation. For the Pt complexes, the phenyl ethynide [...] Read more.
Ni(II), Pd(II), and Pt(II) complexes [M(Y-terpy)X] (X = Cl or Br) containing the tridentate N^C^N-cyclometalating 2,3′:5′,2″and 2,2′:4′,2″ stereoisomers of the well-known tridentate N^N^N ligand 2,2′:6′,2″-terpyridine (terpy) were synthesised in moderate to good yields through C–H activation. For the Pt complexes, the phenyl ethynide derivatives [Pt(Y-terpy)(C≡CPh)] were also obtained under Sonogashira conditions. In contrast to this, C^N^N cyclometalated complexes using the 2,2′:6′,3″- and 2,2′:6′4″-terpy isomers were not obtained. Comparison of the N^C^N complexes of the cyclometalated 2,3′:5′,2″- and 2,2′:4′,2″-terpy ligands with complexes [M(dpb)Cl] of the prototypical N^C^N cyclometalating ligand dpb (Hdpb = 2,6-diphenyl-pyridine) showed higher potentials for the terpy complexes for the ligand-centred reductions in line with the superior π-accepting properties of the terpy ligands compared with dpb. Metal-centred oxidations were facilitated by the dpb ligand carrying a central σ-donating phenyl group instead of a metalated pyridine moiety. The same trends were found for the long-wavelength absorptions and the derived electrochemical and optical band gaps. The lower σ-donating capacities of the cyclometalated terpy derivatives is also confirmed by a reduced trans influence in the structure of [Ni(2,3′:5′,2″-terpy)Br0.14/OAc0.86]. Attempts to re-crystallise some poorly soluble Pd(II) and Pt(II) complexes of this series under solvothermal conditions (HOAc) gave two structures with N-protonated cyclometalated pyridine moieties, [Pt(2,3′:5′,2″-terpyH)Cl].Cl and [Pd(2,3′:5′,2″-terpyH)Cl2]. Full article
Show Figures

Graphical abstract

15 pages, 27418 KB  
Article
Multiple-Stage Neoproterozoic Magmatism Recorded in the Zhangbaling Uplift of the Northeastern Yangtze Block: Evidence from Zircon Ages and Geochemistry
by Jing Wang, Jun He, Jingxin Zhao, Yizeng Yang and Fukun Chen
Minerals 2023, 13(4), 562; https://doi.org/10.3390/min13040562 - 17 Apr 2023
Cited by 3 | Viewed by 1809
Abstract
The Yangtze Block records Neoproterozoic magmatism and sedimentation related to the breakup of Rodinia and is an important piece in the reconstruction of the supercontinent. However, the tectonic setting and position of this block in Rodinia remain a subject of debate. In the [...] Read more.
The Yangtze Block records Neoproterozoic magmatism and sedimentation related to the breakup of Rodinia and is an important piece in the reconstruction of the supercontinent. However, the tectonic setting and position of this block in Rodinia remain a subject of debate. In the present study, we report the zircon U-Pb ages and Hf isotopic composition of zircon and geochemical and Nd-Pb isotopic compositions for meta-volcanic rocks exposed in the Zhangbaling uplift of the NE Yangtze Block. The volcanic rocks, dominated by rhyolite and dacite, belong to the calc-alkaline series and show geochemical characteristics of arc rocks. Zircon U-Pb isotopic ages show that volcanic rocks in the Xileng Formation formed at ca. 790 Ma and ca. 760–700 Ma peaking at ~740 Ma. The late-stage volcanism was widely exposed in the uplift, characterized by a temporal-spatial trend becoming younger southwards. The old volcanic rocks have low initial εNd (−11.0) and εHf (−19.7 to −8.2) values and low Pb isotopic ratios, likely indicating an origin from ancient basement rocks underneath the Yangtze Block. The younger ones, being similar to continental arc andesite in trace element compositions, have relatively high initial εNd (mostly −4.6 to 0.5) and εHf (−0.4 to 8.8) values and high Pb isotopic ratios. These isotopic features point to an origin from the partial melting of juvenile crustal rocks. Sedimentary rocks of the Xileng Formation and the overlying strata also contain numerous zircon grains of ~700 Ma to ~630 Ma. The volcanic rocks in the Zhangbaling uplift might demonstrate long-lasting subduction along the northeastern margin of the Yangtze Block, probably active until ca. 700 Ma. Full article
Show Figures

Figure 1

13 pages, 5800 KB  
Article
Enhanced Impact of Vegetation on Evapotranspiration in the Northern Drought-Prone Belt of China
by Jian Zeng, Qiang Zhang, Yu Zhang, Ping Yue, Zesu Yang, Sheng Wang, Liang Zhang and Hongyu Li
Remote Sens. 2023, 15(1), 221; https://doi.org/10.3390/rs15010221 - 30 Dec 2022
Cited by 9 | Viewed by 2873
Abstract
Evapotranspiration (ET) is an essential component of the land–atmosphere water cycle. In this work, the trend of ET and its dominant factors during 1982 to 2011 are investigated in the northern drought-prone belt of China (NDPB) based on five datasets, including the gridded [...] Read more.
Evapotranspiration (ET) is an essential component of the land–atmosphere water cycle. In this work, the trend of ET and its dominant factors during 1982 to 2011 are investigated in the northern drought-prone belt of China (NDPB) based on five datasets, including the gridded FLUXNET, using the Pearson correlation and linear regression methods. Specially, we focus on the increasing contribution of vegetation in the change of ET. During 1982–2011, summer ET significantly increased at the rate of 0.33 mm/year (p < 0.05) in the NDPB. However, similar to global-mean ET, the ET in NDPB also experienced a pronounced fluctuation during 1999 and 2002. The role of water supply differed remarkably before and after the fluctuation while the atmospheric demand maintained weak constraint on ET. Before the fluctuation (during 1982–2000), ET correlated significantly (p < 0.01) and positively with soil moisture, indicating ET was primarily limited by water supply. However, their correlation weakened remarkably after the fluctuation when soil moisture decreased to the lowest level for the past thirty years, indicating that neither moisture supply nor atmospheric demand dominated the ET during this period. In contrast, vegetation leaf area index (LAI) maintained consistent significant (p < 0.01) and positive correlation with ET before and after the fluctuation in the NDPB, and it reflected over 60% of the change in ET. Moreover, the LAI in NDPB increased by 19.6% which was more than double of the global-mean increase. The ET increase due to rising LAI offset the ET decrease due to reduction of soil moisture, and vegetation became the primary constraint on ET during 2001–2011. The expansion of vegetation may intensify the risk of drought and cause conflicting demands for water between the ecosystem and humans in the NDPB, especially in the case of weak summer monsoon. Full article
Show Figures

Figure 1

18 pages, 2802 KB  
Article
Immunogenetic Predisposition to SARS-CoV-2 Infection
by Claudia Lehmann, Henry Loeffler-Wirth, Vera Balz, Juergen Enczmann, Ramona Landgraf, Nicole Lakowa, Thomas Gruenewald, Johannes C. Fischer and Ilias Doxiadis
Biology 2023, 12(1), 37; https://doi.org/10.3390/biology12010037 - 25 Dec 2022
Cited by 12 | Viewed by 3078
Abstract
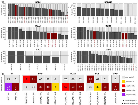
Herein, we included 527 individuals from two Hospitals, Chemnitz and University-Hospital Leipzig. In total, 199 were negative for PCR and 328 were positive upon first admission. We used next generation sequencing for HLA-A, B, C, DRB1, DRB345, DQA1, DQB1, DPA1, and DPB1, and [...] Read more.
Herein, we included 527 individuals from two Hospitals, Chemnitz and University-Hospital Leipzig. In total, 199 were negative for PCR and 328 were positive upon first admission. We used next generation sequencing for HLA-A, B, C, DRB1, DRB345, DQA1, DQB1, DPA1, and DPB1, and in some cases, HLA-E, F, G, and H. Furthermore, we molecularly defined 22 blood group systems comprising 26 genes and 5 platelet antigen genes. We observed a significant enrichment of homozygosity for DQA/DQB in the positive group. Within the negative subjects, HLA-B*57:01, HLA-B*55:01, DRB1*13:01, and DRB1*01:01 were enriched, and in the positive group, homozygosity for DQA/DQB, DRB1*09:01, and DRB1*15:01 was observed. DQA1*01:01, DQA1*02:01, and DQA1*01:03 were enriched in the negative group. HLA-DQB1*06:02 was enriched in the positive group, and HLA-DQB1*05:01 and HLA-DQB1*06:03 were enriched in the negative group. For the blood group systems MNS, RH, LE, FY, JK, YT, DO, and KN, enrichment was seen in both groups, depending on the antigen under observation. Homozygosity for D-positive RHD alleles, as well as the phenotypes M-N+ of the MNS blood group system and Yk(a-) of the KN system, were enriched in the positive group. All of these significances disappeared upon correction. Subjects who carried homozygous HPA-1a were more frequent in the negative group, contrasting with the finding that HPA-1ab was enriched in the positive group. Full article
(This article belongs to the Section Infection Biology)
Show Figures

Figure 1

26 pages, 6209 KB  
Article
Lithium, Oxygen and Magnesium Isotope Systematics of Volcanic Rocks in the Okinawa Trough: Implications for Plate Subduction Studies
by Zhigang Zeng, Xiaohui Li, Yuxiang Zhang and Haiyan Qi
J. Mar. Sci. Eng. 2022, 10(1), 40; https://doi.org/10.3390/jmse10010040 - 31 Dec 2021
Cited by 11 | Viewed by 6829
Abstract
Determining the influence of subduction input on back-arc basin magmatism is important for understanding material transfer and circulation in subduction zones. Although the mantle source of Okinawa Trough (OT) magmas is widely accepted to be modified by subducted components, the role of slab-derived [...] Read more.
Determining the influence of subduction input on back-arc basin magmatism is important for understanding material transfer and circulation in subduction zones. Although the mantle source of Okinawa Trough (OT) magmas is widely accepted to be modified by subducted components, the role of slab-derived fluids is poorly defined. Here, major element, trace element, and Li, O and Mg isotopic compositions of volcanic lavas from the middle OT (MOT) and southern OT (SOT) were analyzed. Compared with the MOT volcanic lavas, the T9-1 basaltic andesite from the SOT exhibited positive Pb anomalies, significantly lower Nd/Pb and Ce/Pb ratios, and higher Ba/La ratios, indicating that subducted sedimentary components affected SOT magma compositions. The δ7Li, δ18O, and δ26Mg values of the SOT basaltic andesite (−5.05‰ to 4.98‰, 4.83‰ to 5.80‰ and −0.16‰ to −0.09‰, respectively) differed from those of MOT volcanic lavas. Hence, the effect of the Philippine Sea Plate subduction component, (low δ7Li and δ18O and high δ26Mg) on magmas in the SOT was clearer than that in the MOT. This contrast likely appears because the amounts of fluids and/or melts derived from altered oceanic crust (AOC, lower δ18O) and/or subducted sediment (lower δ7Li, higher δ18O and δ26Mg) injected into magmas in the SOT are larger than those in the MOT and because the injection ratio between subducted AOC and sediment is always >1 in the OT. The distance between the subducting slab and overlying magma may play a significant role in controlling the differences in subduction components injected into magmas between the MOT and SOT. Full article
Show Figures

Figure 1

20 pages, 2478 KB  
Article
Photoluminescence of Ni(II), Pd(II), and Pt(II) Complexes [M(Me2dpb)Cl] Obtained from C‒H Activation of 1,5-Di(2-pyridyl)-2,4-dimethylbenzene (Me2dpbH)
by Lukas Kletsch, Rose Jordan, Alicia S. Köcher, Stefan Buss, Cristian A. Strassert and Axel Klein
Molecules 2021, 26(16), 5051; https://doi.org/10.3390/molecules26165051 - 20 Aug 2021
Cited by 23 | Viewed by 5677
Abstract
The three complexes [M(Me2dpb)Cl] (M = Ni, Pd, Pt) containing the tridentate N,C,N-cyclometalating 3,5-dimethyl-1,5-dipyridyl-phenide ligand (Me2dpb) were synthesised using a base-assisted C‒H activation method. Oxidation potentials from cyclic voltammetry increased along the [...] Read more.
The three complexes [M(Me2dpb)Cl] (M = Ni, Pd, Pt) containing the tridentate N,C,N-cyclometalating 3,5-dimethyl-1,5-dipyridyl-phenide ligand (Me2dpb) were synthesised using a base-assisted C‒H activation method. Oxidation potentials from cyclic voltammetry increased along the series Pt < Ni < Pd from 0.15 to 0.74 V. DFT calculations confirmed the essentially ligand-centred π*-type character of the lowest unoccupied molecular orbital (LUMO) for all three complexes in agreement with the invariant reduction processes. For the highest occupied molecular orbitals (HOMO), contributions from metal dyz, phenyl C4, C2, C1, and C6, and Cl pz orbitals were found. As expected, the dz2 (HOMO-1 for Ni) is stabilised for the Pd and Pt derivatives, while the antibonding dx2−y2 orbital is de-stabilised for Pt and Pd compared with Ni. The long-wavelength UV-vis absorption band energies increase along the series Ni < Pt < Pd. The lowest-energy TD-DFT-calculated state for the Ni complex has a pronounced dz2-type contribution to the overall metal-to-ligand charge transfer (MLCT) character. For Pt and Pd, the dz2 orbital is energetically not available and a strongly mixed Cl-to-π*/phenyl-to-π*/M(dyz)-to-π* (XLCT/ILCT/MLCT) character is found. The complex [Pd(Me2dpb)Cl] showed a structured emission band in a frozen glassy matrix at 77 K, peaking at 468 nm with a quantum yield of almost unity as observed for the previously reported Pt derivative. No emission was observed from the Ni complex at 77 or 298 K. The TD-DFT-calculated states using the TPSSh functional were in excellent agreement with the observed absorption energies and also clearly assessed the nature of the so-called “dark”, i.e., d‒d*, excited configurations to lie low for the Ni complex (≥3.18 eV), promoting rapid radiationless relaxation. For the Pd(II) and Pt(II) derivatives, the “dark” states are markedly higher in energy with ≥4.41 eV (Pd) and ≥4.86 eV (Pt), which is in perfect agreement with the similar photophysical behaviour of the two complexes at low temperatures. Full article
Show Figures

Figure 1

21 pages, 1058 KB  
Article
Who Wants Chicken? Uncovering Consumer Preferences for Produce of Alternative Chicken Product Methods
by Cynthia I. Escobedo del Bosque, Achim Spiller and Antje Risius
Sustainability 2021, 13(5), 2440; https://doi.org/10.3390/su13052440 - 24 Feb 2021
Cited by 19 | Viewed by 10369
Abstract
As ethical and environmental concerns regarding current poultry production systems arise, consumers look for alternatives. This study assesses consumers’ preferences for chicken meat of dual-purpose breeds (DPBs), regionally produced feedstuff, and specific breeds, along with attitudes and social norms that explain these preferences. [...] Read more.
As ethical and environmental concerns regarding current poultry production systems arise, consumers look for alternatives. This study assesses consumers’ preferences for chicken meat of dual-purpose breeds (DPBs), regionally produced feedstuff, and specific breeds, along with attitudes and social norms that explain these preferences. We conducted an online survey (n = 934) including a discrete choice experiment and elements of the theory of planned behavior. Results show that after price, product and feedstuff origin are preferred by consumers, followed by breeding form and specific breed. Utilities for each attribute and level were calculated and consumer segments were created using latent class analysis. Three different consumer groups were identified: (1) price-sensitive consumers, (2) price-sensitive and origin-oriented consumers, and (3) origin-oriented consumers. We conclude that although consumers are interested in meat from DPBs, this attribute alone is not enough to influence the purchase decision, and geographical origin seems to be of crucial importance. However, by highlighting important attributes (i.e., animal welfare, regional/local production), DPB products could be introduced to the market. The consumption of these alternative products has economic implications, such as not relying on imports and promoting local production/consumption, along with social implications as refraining from killing day-old chicks. Full article
(This article belongs to the Special Issue Sustainable Consumer Behavior and Food Marketing)
Show Figures

Figure 1

12 pages, 1757 KB  
Article
Synthesis, Biological, and Computational Evaluation of Antagonistic, Chiral Hydrobenzoin Esters of Arecaidine Targeting mAChR M1
by Marius Ozenil, Jonas Aronow, Daniela Piljak, Chrysoula Vraka, Wolfgang Holzer, Helmut Spreitzer, Wolfgang Wadsak, Marcus Hacker and Verena Pichler
Pharmaceuticals 2020, 13(12), 437; https://doi.org/10.3390/ph13120437 - 30 Nov 2020
Cited by 6 | Viewed by 4060
Abstract
Muscarinic acetylcholine receptors (mAChRs) are a pivotal constituent of the central and peripheral nervous system. Yet, therapeutic and diagnostic applications thereof are hampered by the lack of subtype selective ligands. Within this work, we synthesized and chemically characterized three different stereoisomers of hydrobenzoin [...] Read more.
Muscarinic acetylcholine receptors (mAChRs) are a pivotal constituent of the central and peripheral nervous system. Yet, therapeutic and diagnostic applications thereof are hampered by the lack of subtype selective ligands. Within this work, we synthesized and chemically characterized three different stereoisomers of hydrobenzoin esters of arecaidine by NMR, HR-MS, chiral chromatography, and HPLC-logP. All compounds are structurally eligible for carbon-11 labeling and show appropriate stability in Dulbecco’s phosphate-buffered saline (DPBS) and F12 cell culture medium. A competitive radioligand binding assay on Chinese hamster ovary cell membranes comprising the human mAChR subtypes M1-M5 showed the highest orthosteric binding affinity for subtype M1 and a strong influence of stereochemistry on binding affinity, which corresponds to in silico molecular docking experiments. Ki values toward M1 were determined as 99 ± 19 nM, 800 ± 200 nM, and 380 ± 90 nM for the (R,R)-, (S,S)-, and racemic (R,S)-stereoisomer, respectively, highlighting the importance of stereochemical variations in mAChR ligand development. All three stereoisomers were shown to act as antagonists toward mAChR M1 using a Fluo-4 calcium efflux assay. With respect to future positron emission tomography (PET) tracer development, the (R,R)-isomer appears especially promising as a lead structure due to its highest subtype selectivity and lowest Ki value. Full article
(This article belongs to the Special Issue GPCRs: Ligands and beyond 2022)
Show Figures

Figure 1

15 pages, 1618 KB  
Article
Occurrence of Free Amino Acids in the Source Waters of Zhejiang Province, China, and Their Removal and Transformation in Drinking Water Systems
by Yulong Yang, Qi Yu, Ruonan Zhou, Jiao Feng, Kejia Zhang, Xueyan Li, Xiaoyan Ma and Andrea M. Dietrich
Water 2020, 12(1), 73; https://doi.org/10.3390/w12010073 - 24 Dec 2019
Cited by 20 | Viewed by 4440
Abstract
Free amino acids (FAAs) are key components of the global nitrogen cycle and important disinfection byproduct (DBP) precursors. The knowledge gap of FAA occurrence in source and engineered water is discussed in this paper. Solid phase extraction and post column derivatization was combined [...] Read more.
Free amino acids (FAAs) are key components of the global nitrogen cycle and important disinfection byproduct (DBP) precursors. The knowledge gap of FAA occurrence in source and engineered water is discussed in this paper. Solid phase extraction and post column derivatization was combined with gas chromatography–mass spectrometry to simultaneously detect μg/L concentrations of FAAs. This method efficiently detects alanine (Ala), threonine (Thr), serine (Ser), valine (Val), leucine (Leu), isoleucine (Ile), proline (Pro), aspartic (Asp), phenylalanine (Phe), and glutamic acid (Glu) with good linearity, accuracy, and precision. An investigation of FAAs in surface waters in Zhejiang Province found concentrations of 1.48–14.73 μg/L Ala, 0.20–2.39 μg/L Thr, 0.41–7.84 μg/L Val, 0.21–6.86 μg/L Ser, 0.11–4.16 μg/L Leu, 0.57–1.54 μg/L Ile, 0.24–8.06 μg/L Pro, 0.42–4.73 μg/L Asp, 0.30–3.01 μg/L Phe, and 0.12–3.83 μg/L Glu. Phe and tyrosine (Tyr) exhibited higher trichloromethane (TCM) formation (1029–1148 μg/mmolAA) than dichloroacetonitrile (DCAN) formation (333–347 μg/mmolAA). Asp and Glu demonstrated the opposite trend: higher DCAN (570–1106 μg/mmolAA) formation than TCM (137–506 μg/mmolAA). Full article
(This article belongs to the Section Wastewater Treatment and Reuse)
Show Figures

Graphical abstract

14 pages, 2022 KB  
Article
Protection against Virulent Infectious Bronchitis Virus Challenge Conferred by a Recombinant Baculovirus Co-Expressing S1 and N Proteins
by Yuan Yuan, Zhi-Peng Zhang, Yi-Ning He, Wen-Sheng Fan, Zhi-Hua Dong, Li-Hua Zhang, Xin-Kuan Sun, Li-Li Song, Tian-Chao Wei, Mei-Lan Mo and Ping Wei
Viruses 2018, 10(7), 347; https://doi.org/10.3390/v10070347 - 27 Jun 2018
Cited by 14 | Viewed by 5047
Abstract
Avian infectious bronchitis virus (IBV) is the causative agent of infectious bronchitis, which results in considerable economic losses. It is imperative to develop safe and efficient candidate vaccines to control IBV infection. In the current study, recombinant baculoviruses co-expressing the S1 and N [...] Read more.
Avian infectious bronchitis virus (IBV) is the causative agent of infectious bronchitis, which results in considerable economic losses. It is imperative to develop safe and efficient candidate vaccines to control IBV infection. In the current study, recombinant baculoviruses co-expressing the S1 and N proteins and mono-expressing S1 or N proteins of the GX-YL5 strain of IBV were constructed and prepared into subunit vaccines rHBM-S1-N, rHBM-S1 and rHBM-N. The levels of immune protection of these subunit vaccines were evaluated by inoculating specific pathogen-free (SPF) chickens at 14 days of age, giving them a booster with the same dose 14 days later and challenging them with a virulent GX-YL5 strain of IBV 14 days post-booster (dpb). The commercial vaccine strain H120 was used as a control. The IBV-specific antibody levels, as well as the percentages of CD4+ and CD8+ T lymphocytes, were detected within 28 days post-vaccination (dpv). The morbidity, mortality and re-isolation of the virus from the tracheas and kidneys of challenged birds were evaluated at five days post-challenge (dpc). The results showed that the IBV-specific antibody levels and the percentages of CD4+ and CD8+ T lymphocytes were higher in the rHBM-S1-N vaccinated birds compared to birds vaccinated with the rHBM-S1 and rHBM-N vaccines. At 5 dpc, the mortality, morbidity and virus re-isolation rate of the birds vaccinated with the rHBM-S1-N vaccine were slightly higher than those vaccinated with the H120 control vaccine but were lower than those vaccinated with the rHBM-S1 and rHBM-N vaccines. The present study demonstrated that the protection of the recombinant baculovirus co-expressing S1 and N proteins was better than that of recombinant baculoviruses mono-expressing the S1 or N protein. Thus, the recombinant baculovirus co-expressing S1 and N proteins could serve as a potential IBV vaccine and this demonstrates that the bivalent subunit vaccine including the S1 and N proteins might be a strategy for the development of an IBV subunit vaccine. Full article
(This article belongs to the Section Viral Immunology, Vaccines, and Antivirals)
Show Figures

Figure 1

Back to TopTop