Sign in to use this feature.

Years

Between: -

Subjects

remove_circle_outline
remove_circle_outline
remove_circle_outline
remove_circle_outline
remove_circle_outline
remove_circle_outline
remove_circle_outline

Journals

Article Types

Countries / Regions

Search Results (21)

Search Parameters:
Keywords = Modified Lam

Order results
Result details
Results per page
Select all
Export citation of selected articles as:
23 pages, 807 KB  
Article
Two TOPSIS-Based Approaches for Multi-Choice Rough Bi-Level Multi-Objective Nonlinear Programming Problems
by Mohamed A. El Sayed, Farahat A. Farahat, Mohamed A. Elsisy, Maazen Alsabaan, Mohamed I. Ibrahem and Haitham Elwahsh
Mathematics 2025, 13(8), 1242; https://doi.org/10.3390/math13081242 - 9 Apr 2025
Viewed by 378
Abstract
The multi-choice rough bi-level multi-objective nonlinear programming problem (MR-BLMNPP) has noticeably risen in various real applications. In the current model, the objective functions have a multi-choice parameter, and the constraints are represented as a rough set. In the first phase, Newton divided differences [...] Read more.
The multi-choice rough bi-level multi-objective nonlinear programming problem (MR-BLMNPP) has noticeably risen in various real applications. In the current model, the objective functions have a multi-choice parameter, and the constraints are represented as a rough set. In the first phase, Newton divided differences (NDDs) are utilized to formulate a polynomial of the objective functions. Then, based on the rough set theory, the model is converted into an Upper Approximation Model (UAM) and Lower Approximation Model (LAM). In the second phase, two Technique of Order Preferences by Similarity to Ideal Solution (TOPSIS)-based models are presented to solve the MR-BLMNPP. A TOPSIS-based fuzzy max–min and fuzzy goal programming (FGP) model are applied to tackle the conflict between the modified bi-objective distance functions. An algorithm for solving MR-BLNPP is also presented. The applicability and efficiency of the two TOPSIS-based models suggested in this study are presented through an algorithm and a numerical illustration. Finally, the study presents a bi-level production planning model (BL-PPM) as an illustrative application. Full article
Show Figures

Figure 1

15 pages, 783 KB  
Article
The Structural Modification of Jackfruit Leaf Proteins (Artocarpus heterophyllus Lam.) by High-Intensity Ultrasound Alters Their Techno-Functional Properties and Antioxidant Capacity
by Frida Zoé Ragazzo-Calderón, Maricarmen Iñiguez-Moreno, Montserrat Calderón-Santoyo and Juan Arturo Ragazzo-Sánchez
Appl. Sci. 2024, 14(18), 8301; https://doi.org/10.3390/app14188301 - 14 Sep 2024
Cited by 2 | Viewed by 1989
Abstract
(1) Background: Jackfruit leaves (Artocarpus heterophyllus Lam.) are rich in proteins but are under-utilized in the food industry due to their poor sensory properties and low solubility. High-intensity ultrasound (HIU) can enhance protein solubility by disrupting internal interactions and altering protein structures, [...] Read more.
(1) Background: Jackfruit leaves (Artocarpus heterophyllus Lam.) are rich in proteins but are under-utilized in the food industry due to their poor sensory properties and low solubility. High-intensity ultrasound (HIU) can enhance protein solubility by disrupting internal interactions and altering protein structures, making them more suitable for industrial applications. (2) Methods: This study aimed to modify the structure of jackfruit leaf proteins using HIU at different powers (600, 840, and 1080 W) and treatment times (10, 15, and 20 min). This research also characterized the amino acid composition and the techno-functional and antioxidant properties of the modified proteins. (3) Results: The HIU treatments significantly improved the foaming capacity and enhanced the emulsion stability within the proteins treated at 1080 W for 15 min, which showed a monomodal size distribution profile. Additionally, the modified proteins exhibited a higher antioxidant capacity compared to the native protein. (4) Conclusions: These findings suggest that structurally modified proteins from jackfruit leaves could be directly utilized in the formulation of emulsions or as foam stabilizers, offering added benefits to consumers due to their significant antioxidant properties. Full article
(This article belongs to the Special Issue Design, Characterization, and Applications of Biodegradable Polymers)
Show Figures

Figure 1

18 pages, 855 KB  
Article
Comparison of the Effects of Essential Oils from Cannabis sativa and Cannabis indica on Selected Bacteria, Rumen Fermentation, and Methane Production—In Vitro Study
by Aleksandra Tabiś, Antoni Szumny, Jacek Bania, Katarzyna Pacyga, Kamila Lewandowska and Robert Kupczyński
Int. J. Mol. Sci. 2024, 25(11), 5861; https://doi.org/10.3390/ijms25115861 - 28 May 2024
Cited by 2 | Viewed by 3000
Abstract
This study aimed to evaluate the effects of essential oils (EOs) extracted from Cannabis sativa L. and Cannabis indica Lam. on in vitro ruminal fermentation characteristics, selected rumen microbial populations, and methane production. GC-MS analyses allowed us to identify 89 compounds in both [...] Read more.
This study aimed to evaluate the effects of essential oils (EOs) extracted from Cannabis sativa L. and Cannabis indica Lam. on in vitro ruminal fermentation characteristics, selected rumen microbial populations, and methane production. GC-MS analyses allowed us to identify 89 compounds in both EOs. It was found that E-β-caryophyllene predominated in C. sativa (18.4%) and C. indica (24.1%). An in vitro (Ankom) test was performed to analyse the control and monensin groups, as well as the 50 µL or 100 µL EOs. The samples for volatile fatty acids (VFAs), lactate, and microbiological analysis were taken before incubation and after 6 and 24 h. The application of EOs of C. indica resulted in an increase in the total VFAs of acetate and propionate after 6 h of incubation. The applied EOs had a greater impact on the reduction in methane production after 6 h, but no apparent effect was noted after 24 h. Lower concentrations of C. sativa and C. indica had a more pronounced effect on Lactobacillus spp. and Buryrivibrio spp. than monensin. The presented findings suggest that C. sativa and C. indica supplementation can modify ruminal fermentation, the concentrations of specific volatile fatty acids, and methane production. Full article
(This article belongs to the Special Issue Antimicrobial Agents: Natural Products or Synthetic Compounds)
Show Figures

Figure 1

15 pages, 5326 KB  
Article
Locomotor Activity of Adult Olive Fruit Flies Recorded under Conditions of Food or Water Deprivation
by Evangelia I. Balampekou, Dimitrios S. Koveos, Thomas M. Koutsos, Georgios C. Menexes, Apostolos Kapranas, James R. Carey and Nikos A. Kouloussis
Agronomy 2024, 14(5), 1051; https://doi.org/10.3390/agronomy14051051 - 15 May 2024
Cited by 2 | Viewed by 1613
Abstract
The olive fruit fly, known as Bactrocera oleae (Rossi) (Diptera: Tephritidae), is causing substantial economic losses in olive crops worldwide. Studying the activity patterns of the insect may expand our knowledge to eventually adopt more sustainable and effective pest control approaches. In the [...] Read more.
The olive fruit fly, known as Bactrocera oleae (Rossi) (Diptera: Tephritidae), is causing substantial economic losses in olive crops worldwide. Studying the activity patterns of the insect may expand our knowledge to eventually adopt more sustainable and effective pest control approaches. In the present study, we investigated the impact of food and water deprivation on the mobility of olive fruit flies using a modified version of the LAM25 system (locomotor activity monitor)—Trikinetics, an automated locomotor activity electronic device. Both male and female flies at four different age groups, reared on olives in the laboratory, were individually placed in glass tubes. Their locomotor activity was recorded every minute by three monitors within the digital device over a three-day period. Our observations revealed that adults exhibited significantly reduced movement during nighttime compared to daytime. The greatest mobility was observed during the period of 15:00 to 20:59. Additionally, younger flies demonstrated higher levels of mobility compared to older ones. Flies subjected to both food and water deprivation exhibited higher mobility compared to the control group. These insights offer valuable insights for enhancing pest management strategies aimed at controlling olive fruit flies adopting a more sustainable approach. Full article
(This article belongs to the Section Pest and Disease Management)
Show Figures

Figure 1

11 pages, 2796 KB  
Article
Copper Catalyst-Supported Modified Magnetic Chitosan for the Synthesis of Novel 2-Arylthio-2,3-dihydroquinazolin-4(1H)-one Derivatives via Chan–Lam Coupling
by Nastaran Ghasemi, Ali Yavari, Saeed Bahadorikhalili, Ali Moazzam, Samanehsadat Hosseini, Bagher Larijani, Aida Iraji, Shahram Moradi and Mohammad Mahdavi
Inorganics 2022, 10(12), 231; https://doi.org/10.3390/inorganics10120231 - 29 Nov 2022
Cited by 9 | Viewed by 2248
Abstract
In this paper, magnetic chitosan is used as a support for the immobilization of copper catalyst (Cu@MChit). The fabricated catalyst is successfully synthesized and characterized by several techniques. The activity of Cu@MChit catalyst is evaluated in the synthesis of novel derivatives of 3-alkyl-2-arylthio-2,3-dihydroquinazolin-4(1 [...] Read more.
In this paper, magnetic chitosan is used as a support for the immobilization of copper catalyst (Cu@MChit). The fabricated catalyst is successfully synthesized and characterized by several techniques. The activity of Cu@MChit catalyst is evaluated in the synthesis of novel derivatives of 3-alkyl-2-arylthio-2,3-dihydroquinazolin-4(1H)-ones. The products are synthesized in three simple steps via Chan–Lam coupling reaction. The synthetic route is based on the reaction of isatoic anhydride and an amine, followed by the reaction with carbon disulfide. Cu@MChit-catalyzed reaction of the obtained intermediate with phenylboronic acid leads to the desired products. The scope of the reaction is confirmed by using various amine and phenylboronic acid derivatives and the products are obtained in high isolated yields. Full article
(This article belongs to the Special Issue Inorganics: 10th Anniversary)
Show Figures

Graphical abstract

17 pages, 2976 KB  
Article
Optimum Nitrogen Application Promotes Sweetpotato Storage Root Initiation
by Hong Tham Dong, Yujuan Li, Craig Henderson, Philip Brown and Cheng-Yuan Xu
Horticulturae 2022, 8(8), 710; https://doi.org/10.3390/horticulturae8080710 - 6 Aug 2022
Cited by 8 | Viewed by 3304
Abstract
Storage root formation of sweetpotato (Ipomoea batatas (L.) Lam) is a complex developmental process relating to the activity of cambium. Little information is available on the relationship between nitrogen (N) application levels and the initiation and development of sweetpotato storage roots (SRs). [...] Read more.
Storage root formation of sweetpotato (Ipomoea batatas (L.) Lam) is a complex developmental process relating to the activity of cambium. Little information is available on the relationship between nitrogen (N) application levels and the initiation and development of sweetpotato storage roots (SRs). This study aims to examine how N application rates promoted/inhibited the formation and development of storage roots (SRs) for sweetpotato cultivar ‘Orleans’ during the first 8 weeks after planting. Cuttings were grown in coarse river sand culture supplied with modified Hoagland nutrient solution at four different rates (0 (N0), 50 (N50), 100 (N100) or 200 (N200) mg L−1) of N. The results showed that N100 treatment promoted the formation of primary and secondary cambium, resulting in a significant higher rate of SR formation between 21 and 56 days after transplanting (DAT). Due to the higher N demand after formation of SRs, N200 treatment displayed faster growth, higher N acquisition and the highest efficiency of N use after 35 DAT, but the SR formation rate and SR number per plant remained insignificantly lower than N100 when differentiation of adventitious root was mostly completed (49 DAT), suggesting irreversible an effect of N rate during SR initiation, which eventually affects SR number. The results suggested that the optimal substrate N level for sweetpotato SR initiation is lower than that for following SR growth, which should be considered in the fertilisation scheme. Full article
(This article belongs to the Topic Plants Nutrients)
Show Figures

Figure 1

11 pages, 1483 KB  
Article
Can Moringa Leaf Spray Treatment Increase the Nutraceutical Properties of Radish Baby Leaf?
by Daniela Romano, Giovanni La Fornara, Alessandro Tribulato and Stefania Toscano
Horticulturae 2022, 8(8), 671; https://doi.org/10.3390/horticulturae8080671 - 22 Jul 2022
Cited by 5 | Viewed by 3495
Abstract
Among the ready-to-use products, baby leaf salads (both raw and cooked), especially those belonging to the Brassicaceae family, represent a very interesting food typology, with nutraceutical properties. Recently, to obtain products with lower levels of synthetic chemicals and to improve nutritional quality, attention [...] Read more.
Among the ready-to-use products, baby leaf salads (both raw and cooked), especially those belonging to the Brassicaceae family, represent a very interesting food typology, with nutraceutical properties. Recently, to obtain products with lower levels of synthetic chemicals and to improve nutritional quality, attention has been paid to the use of natural biostimulants such as Moringa oleifera Lam. In this study, the aim was to investigate the effect of applying this natural biostimulant, at 15, 30, and 45 days from sowing, by spraying seedlings of radish (Raphanus sativus L.) each morning with Moringa oleifera leaf extract (MLE) at doses of 1:40 and 1:30 L−1 until dripping. Different morphological, physiological, and chemical parameters were determined. At harvesting time, the fresh biomass, total leaf area, and unit leaf area showed progressive increases as the dose of MLE was increased, while there were no significant difference in the dry biomass among the treatments. The quantum yield of PSII showed a significant increase in response to MLE treatments. The contents of chlorophylls and carotenoids were higher in both MLE treatments as compared with those of the control plants. The antioxidant capacity (DPPH) was not influenced by MLE treatment, while the influence was significant for total phenolic content (TPC). No significant differences were observed for the total sugar content, while the highest concentration of ascorbic acid was found with both MLE treatments; the MLE treatments did not modify the nitrate content. Therefore, MLE treatment showed a positive influence, although further studies are necessary to individuate the better doses and treatment modalities to improve the characteristics of radish baby leaf. Full article
(This article belongs to the Topic Biostimulants in Agriculture)
Show Figures

Figure 1

11 pages, 668 KB  
Article
Pelvic Floor Muscle Strength in the First Trimester of Primipara: A Cross-Sectional Study
by Lei Gao, Shiyan Wang, Di Zhang, Hongmei Zhu, Yuanyuan Jia, Haibo Wang, Suhong Li, Xiuhong Fu, Xiuli Sun and Jianliu Wang
Int. J. Environ. Res. Public Health 2022, 19(6), 3568; https://doi.org/10.3390/ijerph19063568 - 17 Mar 2022
Cited by 5 | Viewed by 2891
Abstract
Background: Pelvic floor muscle (PFM) weakness is associated with stress urinary incontinence. Pregnancy is an important risk factor for PFM weakness. Studies evaluating PFM strength in the first trimester of pregnancy are still lacking. Our study aimed to describe pelvic floor function of [...] Read more.
Background: Pelvic floor muscle (PFM) weakness is associated with stress urinary incontinence. Pregnancy is an important risk factor for PFM weakness. Studies evaluating PFM strength in the first trimester of pregnancy are still lacking. Our study aimed to describe pelvic floor function of the primipara in the first trimester of gestation and investigate the risk factors for PFM weakness. Methods: Primiparas aged 20~40 years with a singleton pregnancy less than 14 weeks of gestation were recruited, and data were collected via questionnaires on items that were suggested as associated with PFM weakness, followed by Modified Oxford Scale (MOS) on genital hiatus and perineal body and pelvic floor ultrasound evaluation for the thickness of the left and right levator ani muscles (LAM), right–left diameter of the levator hiatus (LH), and LH area. Participants were divided into three groups by MOS >3, =3, and <3 for data analysis. Results: A total of 380 participants completed the questionnaires and examinational analysis, of whom, 228, 98, and 54 were divided into Group 1, Group 2, and Group 3, respectively. The three groups were significantly different in the number of gestations and abortions, toilet types, and the right–left diameter of the LH (p < 0.05). Logistic regressive analysis showed that squatting toilet dominant (OR = 3.025; 95% CI: 1.623~5.638; p < 0.001) and a larger right–left diameter of the LH (OR = 1.065; 95% CI: 1.026~1.105; p = 0.001) were significantly associated with PFM weakness. Conclusions: Squatting toilet dominancy and longer right–left diameter of the LH are significantly associated with PFM weakness in primiparas in the first trimester. Sitting toilets should be recommended to women, especially pregnant women. Trial registration: The trial has been registered at Chinese Clinical Trial Registry (registration number: ChiCTR2000029618). Full article
(This article belongs to the Section Women's Health)
Show Figures

Figure 1

37 pages, 1546 KB  
Article
Self-Tuning Lam Annealing: Learning Hyperparameters While Problem Solving
by Vincent A. Cicirello
Appl. Sci. 2021, 11(21), 9828; https://doi.org/10.3390/app11219828 - 21 Oct 2021
Cited by 3 | Viewed by 2964
Abstract
The runtime behavior of Simulated Annealing (SA), similar to other metaheuristics, is controlled by hyperparameters. For SA, hyperparameters affect how “temperature” varies over time, and “temperature” in turn affects SA’s decisions on whether or not to transition to neighboring states. It is typically [...] Read more.
The runtime behavior of Simulated Annealing (SA), similar to other metaheuristics, is controlled by hyperparameters. For SA, hyperparameters affect how “temperature” varies over time, and “temperature” in turn affects SA’s decisions on whether or not to transition to neighboring states. It is typically necessary to tune the hyperparameters ahead of time. However, there are adaptive annealing schedules that use search feedback to evolve the “temperature” during the search. A classic and generally effective adaptive annealing schedule is the Modified Lam. Although effective, the Modified Lam can be sensitive to the scale of the cost function, and is sometimes slow to converge to its target behavior. In this paper, we present a novel variation of the Modified Lam that we call Self-Tuning Lam, which uses early search feedback to auto-adjust its self-adaptive behavior. Using a variety of discrete and continuous optimization problems, we demonstrate the ability of the Self-Tuning Lam to nearly instantaneously converge to its target behavior independent of the scale of the cost function, as well as its run length. Our implementation is integrated into Chips-n-Salsa, an open-source Java library for parallel and self-adaptive local search. Full article
(This article belongs to the Topic Machine and Deep Learning)
Show Figures

Figure 1

14 pages, 1973 KB  
Article
Crop Response to Combined Availability of Soil Water and Its Salinity Level: Theory, Experiments and Validation on Golf Courses
by Jiftah Ben-Asher, Jose Beltrao, Gulom Bekmirzaev and Thomas Panagopoulos
Agronomy 2021, 11(10), 2012; https://doi.org/10.3390/agronomy11102012 - 7 Oct 2021
Cited by 7 | Viewed by 2740
Abstract
The phenomenological expression showing crop yield to be directly dependent on water deficiency, under saline conditions, has encouraged a continued focus on salinity as a viable approach to increase crop yields. This work reassesses crop response to availability of saline soil water ASW [...] Read more.
The phenomenological expression showing crop yield to be directly dependent on water deficiency, under saline conditions, has encouraged a continued focus on salinity as a viable approach to increase crop yields. This work reassesses crop response to availability of saline soil water ASW in two stages (A) Develop a simple approach suggesting that permanent wilting point (WP) increases under high saline soil water tension and relative yield of Lettuce (Lactuca sativa L., var longifolia Lam., cv. Nevada) and maize (Zea mays L., cv. Jubilee sweet) decrease. (B) Using a deterministic numerical soil water model to validate the theory on Bermuda grass of golf courses. The experimental plots were established in the North Negev, Israel (Sweet corn) and the Algarve, Portugal (Lettuce and Bermuda grass covering the golf courses). Sprinkler irrigation and line source techniques were used for water application, creating a saline gradient under a precise irrigation water distribution. Two salinity empirical models were tested (Mass and Hoffman MH and van Genuchten–Gupta vGG). Their empirical models were modified and instead of soil electrical conductivity of irrigation water (ECe) we used wilting point (WP) and RASW to follow the changes in relative yield. The validation was conducted with theoretical soil plant atmosphere water (SPAW) to predict the results on golf courses. It is concluded that an alternative S-shaped response model provides better fit to our experimental data sets. Modified MH model (Yr = Y/Ymax = a ∗ (ASW–threshold’s constant) revealed that a single dimensionless curve could be used to express yield—salinity interference when represented by varying ASW. The vGG model: vGG can represent salt tolerance of most crops, by using varying wilting point of average root zone salinity, at which the yield has declined by 50%. The abscissa of both models was based on WP rather than the standard soil electrical conductivity (ECw). The correlation between the experimental data and WP or relative available soil water (RASW) was acceptable and, therefore, their usefulness for prediction of relative yield is acceptable as well. The objectives of this study were: 1. To develop a simple model describing the effect of salinity through soil water availability on crop production; 2. To replace the standard varying soil electrical conductivity ECe used by MH and vGG models by two soil parameters (at wilting point- θwp and at field capacity θfc) in order to describe the relationship between them and relative yield. 3. Validate the new model with respect to independent salinity on Golf courses and a mathematical deterministic model. Full article
Show Figures

Figure 1

18 pages, 2490 KB  
Article
Enhancing the Quality of Two Species of Baby Leaves Sprayed with Moringa Leaf Extract as Biostimulant
by Stefania Toscano, Antonio Ferrante, Ferdinando Branca and Daniela Romano
Agronomy 2021, 11(7), 1399; https://doi.org/10.3390/agronomy11071399 - 12 Jul 2021
Cited by 31 | Viewed by 4844
Abstract
Natural biostimulants obtained by plants are intensively used nowadays to improve crop yield and quality. The current study aimed to evaluate the effects of leaf extract of moringa (Moringa oleifera Lam.) (MLE) in modifying baby leaf characteristics of two genotypes of Brassica. [...] Read more.
Natural biostimulants obtained by plants are intensively used nowadays to improve crop yield and quality. The current study aimed to evaluate the effects of leaf extract of moringa (Moringa oleifera Lam.) (MLE) in modifying baby leaf characteristics of two genotypes of Brassica. The trial was started in October 2020 in a greenhouse; a cultivar of kale ‘Cavolo Laciniato Nero di Toscana’ (CL) and a Sicilian landrace of sprouting broccoli ‘Broccoli Nero’ (BN) were used. The plants, after 15, 30 and 40 days from sowing, were treated with MLE, while the control plants (C) with distilled water. Treatment with MLE modified morphological and nutritional value, but with different behavior in the two genotypes. In fact, in BN the treatment reduced the antioxidant activity (2.2-diphenyl-1-picrylhydrazyl (DPPH)) by 54%, while in CL the treatment increased this parameter by 40%. For the phenolic concentration and the sugar content the values recorded were significantly increased by MLE compared to control plants in CL, where in BN a significant reduction was registered. The CL plants treated with MLE showed a significant reduction (−70%) in nitrate content compared to the control plants; a negative effect was, instead, observed in BN, where the plants treated with moringa showed an increase of 60%. Results of this study showed how the foliar application of MLE was effective in improving various nutraceutical parameters, in particular in kale, because it appears to be a species-specific response. Full article
Show Figures

Figure 1

18 pages, 2022 KB  
Review
Moringa oleifera Lam. in Diabetes Mellitus: A Systematic Review and Meta-Analysis
by Shihori Watanabe, Hiyori Okoshi, Shizuko Yamabe and Masako Shimada
Molecules 2021, 26(12), 3513; https://doi.org/10.3390/molecules26123513 - 9 Jun 2021
Cited by 29 | Viewed by 12906
Abstract
Plant-derived phytochemicals have been interested in as nutraceuticals for preventing the onset and progress of diabetes mellitus and its serious complications in recent years. Moringa oleifera Lam. is used in vegetables and in herbal medicine for its health-promoting properties against various diseases including [...] Read more.
Plant-derived phytochemicals have been interested in as nutraceuticals for preventing the onset and progress of diabetes mellitus and its serious complications in recent years. Moringa oleifera Lam. is used in vegetables and in herbal medicine for its health-promoting properties against various diseases including diabetes mellitus. This study aimed to examine an effect of Moringa oleifera on diabetic hyperglycemia and dyslipidemia by meta-analyzing the current evidence of diabetic rodent models. Peer-reviewed studies written in English from two databases, PubMed and Embase, were searched to 30 April 2021. Studies reporting blood glucose or lipid levels in diabetic rodents with and without receiving extracts of Moringa oleifera were included. Forty-four studies enrolling 349 diabetic rodents treated with extracts of Moringa oleifera and 350 diabetic controls reported blood glucose levels. The pooled effect size was −3.92 (95% CI: −4.65 to −3.19) with a substantial heterogeneity. This effect was likely to be, at least in part, modified by the type of diabetic models. Moreover, diabetic hypertriglyceridemia and hypercholesterolemia were also significantly improved in diabetic rodent models treated with Moringa oleifera. Full article
Show Figures

Figure 1

11 pages, 270 KB  
Article
Fractional Harvest of Fodder Galega for Improved Herbage Nutritive Value
by Stanisław Ignaczak, Jadwiga Andrzejewska, Katarzyna Sadowska and Kenneth A. Albrecht
Agronomy 2021, 11(3), 480; https://doi.org/10.3390/agronomy11030480 - 5 Mar 2021
Cited by 7 | Viewed by 2779
Abstract
Fodder galega (Galega orientalis Lam.) is a long-lived perennial legume grown for forage and green manure in northern and central Europe. It is distinguished by a high proportion of leaves in the aboveground mass, tall hollow stems, and rhizomes. A method to [...] Read more.
Fodder galega (Galega orientalis Lam.) is a long-lived perennial legume grown for forage and green manure in northern and central Europe. It is distinguished by a high proportion of leaves in the aboveground mass, tall hollow stems, and rhizomes. A method to harvest galega allowing the separation of leaves, upper stem fragments, and inflorescences from the thick, woody parts of the stem is therefore justified. This would significantly expand the possibilities of using galega herbage, including as feed for monogastric animals. A modified flail chopper (MFC), a machine originally used for harvesting green forage, was used for the fractionated harvest of galega. The aim of this study was to evaluate the yield potential of various plant fractions of the first and second cut of fodder galega at three development stages and their nutritive value when harvested with an MFC. With this harvest system, 68–78% of the potential dry matter yield of galega was harvested, where leaves accounted for 73% of the dry matter on average, while the proportion of leaves in the yield of galega harvested with a mower (M) ranged from 50% to 60%. In the biomass of the first cut of galega, harvested with the MFC, protein concentration was 215 g kg−1, 11.5% greater than in the biomass of the whole aboveground mass harvested with a mower. In the second cut, this difference, in favor of the MCF, was greater by 14%. The concentration of neutral detergent fiber (NDF) was 7.5% lower and acid detergent fiber 11% lower in galega forage harvested with the MFC compared to with a mower. Furthermore, galega harvested with MFC had 13% greater NDF digestibility and 6% greater in vitro true digestibility. The stubble remaining after MFC harvest accounted for 33% of the total height and 27% of the plant dry mass, and its qualitative composition indicates that it could be used in rations of livestock with low nutritional requirements or for non-forage purposes. Galega harvest with the MFC resulted in greater protein concentrations and overall improved nutritive value of the forage even at advanced development stages. Full article
13 pages, 1432 KB  
Article
Three Invasive Tree Species Change Soil Chemistry in Guam Forests
by Thomas E. Marler
Forests 2020, 11(3), 279; https://doi.org/10.3390/f11030279 - 28 Feb 2020
Cited by 13 | Viewed by 3516
Abstract
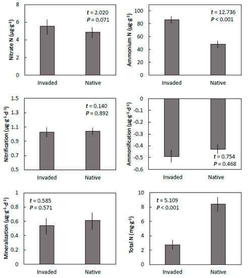
Research Highlights: Established stands of Leucaena leucocephala (Lam.) de Wit, Spathodea campanulata P. Beauv., and Vitex parviflora Juss. modified soils in Guam’s limestone forests, reducing storage pools of carbon, nitrogen, and phosphorus. Background and Objectives: Invasive plants may engineer negative changes in ecosystem [...] Read more.
Research Highlights: Established stands of Leucaena leucocephala (Lam.) de Wit, Spathodea campanulata P. Beauv., and Vitex parviflora Juss. modified soils in Guam’s limestone forests, reducing storage pools of carbon, nitrogen, and phosphorus. Background and Objectives: Invasive plants may engineer negative changes in ecosystem properties. This study was conducted to determine changes in soil chemistry following infestations of three problematic tree species on Guam. Materials and Methods: Minerals, metals, and mineralization dynamics were measured in invaded sites and paired sites with biodiverse native tree cover. Results: Most soil properties were significantly changed by long-term infestations of the invasive tree species. The soils within invaded sites exhibited total carbon, total nitrogen, and available phosphorus that were less than native sites. In contrast, the carbon/nitrogen ratio increased for every species-site combination. The other chemical properties were idiosyncratic among the sites and species. Conclusions: Mitigation and restoration activities that include the removal of these trees from project sites may require many years for the below-ground ecosystems to return to their native state. These three invasive trees decrease the ability of Guam soils to sequester recalcitrant forms of carbon, nitrogen, and phosphorus. Full article
(This article belongs to the Section Forest Ecology and Management)
Show Figures

Figure 1

21 pages, 1169 KB  
Article
Effect of Habitat and Foliar Fertilization with K, Zn and Mn on Winter Wheat Grain and Baking Qualities
by Magdalena Sobolewska, Anna Wenda-Piesik, Anna Jaroszewska and Sławomir Stankowski
Agronomy 2020, 10(2), 276; https://doi.org/10.3390/agronomy10020276 - 14 Feb 2020
Cited by 30 | Viewed by 4361
Abstract
Cereal monoculture causes a series of unfavorable changes in field habitat, for example a decrease in technological quality and yield. This system can lead to a shortage of microelements in the diet of poor communities. Moreover, breeding of highly productive plants caused a [...] Read more.
Cereal monoculture causes a series of unfavorable changes in field habitat, for example a decrease in technological quality and yield. This system can lead to a shortage of microelements in the diet of poor communities. Moreover, breeding of highly productive plants caused a significant “dilution effect” of the necessary nutrients, such as Zn and Fe. The aim of this work was to determine the effect of two strategies: crop rotation (after rapeseed and many years of monoculture of Galega orientalis Lam.) and foliar fertilization with microelements on the yield, yield elements, physical quality, and farinograph characteristics of winter wheat grain and flour. Results showed that pre-crop preparation and cultivation year have the highest effect on yield, yield components, and qualitative and farinographic characteristics of winter wheat. Foliar additional feeding favorably affected the yield and its components, although the particular fertilization treatment did not significantly increase the yield. Grain quality, its physical characteristics and the rheological parameters of flour were strongly modified by habitat conditions, including weather conditions. Dough obtained from wheat grown after galega showed significantly higher water absorption and prolonged consistency. Full article
Show Figures

Figure 1

Back to TopTop