Sign in to use this feature.

Years

Between: -

Subjects

remove_circle_outline
remove_circle_outline
remove_circle_outline
remove_circle_outline
remove_circle_outline
remove_circle_outline
remove_circle_outline
remove_circle_outline

Journals

Article Types

Countries / Regions

Search Results (36)

Search Parameters:
Keywords = Minkowski dimension

Order results
Result details
Results per page
Select all
Export citation of selected articles as:
20 pages, 1809 KB  
Article
Automated Box-Counting Fractal Dimension Analysis: Sliding Window Optimization and Multi-Fractal Validation
by Rod W. Douglass
Fractal Fract. 2025, 9(10), 633; https://doi.org/10.3390/fractalfract9100633 - 29 Sep 2025
Viewed by 264
Abstract
This paper presents a systematic methodology for identifying optimal scaling regions in segment-based box-counting fractal dimension calculations through a three-phase algorithmic framework combining grid offset optimization, boundary artifact detection, and sliding window optimization. Unlike traditional pixelated approaches that suffer from rasterization artifacts, the [...] Read more.
This paper presents a systematic methodology for identifying optimal scaling regions in segment-based box-counting fractal dimension calculations through a three-phase algorithmic framework combining grid offset optimization, boundary artifact detection, and sliding window optimization. Unlike traditional pixelated approaches that suffer from rasterization artifacts, the method used directly analyzes geometric line segments, providing superior accuracy for mathematical fractals and other computational applications. The three-phase optimization algorithm automatically determines optimal scaling regions and minimizes discretization bias without manual parameter tuning, achieving significant error reduction compared to traditional methods. Validation across the Koch curve, Sierpinski triangle, Minkowski sausage, Hilbert curve, and Dragon curve demonstrates substantial improvements: excellent accuracy for the Koch curve (0.11% error) and significant error reduction for the Hilbert curve. All optimized results achieve R20.9988. Iteration analysis establishes minimum requirements for reliable measurement, with convergence by level 6+ for the Koch curve and level 3+ for the Sierpinski triangle. Each fractal type exhibits optimal iteration ranges where authentic scaling behavior emerges before discretization artifacts dominate, challenging the assumption that higher iteration levels imply more accurate results. Application to a Rayleigh–Taylor instability interface (D = 1.835 ± 0.0037) demonstrates effectiveness for physical fractal systems where theoretical dimensions are unknown. This work provides objective, automated fractal dimension measurement with comprehensive validation establishing practical guidelines for mathematical and real-world fractal analysis. The sliding window approach eliminates subjective scaling region selection through systematic evaluation of all possible linear regression windows, enabling measurements suitable for automated analysis workflows. Full article
Show Figures

Figure 1

26 pages, 1401 KB  
Article
Lagrangian Field Approach to Einstein–Maxwell Equation for Brain Toroidal Topology
by Manuel Rivas and Manuel Reina
Symmetry 2025, 17(9), 1511; https://doi.org/10.3390/sym17091511 - 11 Sep 2025
Viewed by 462
Abstract
The population activity of grid cells from a single module is topologically constrained to a toroidal manifold. Our work proposes an improved version of Gardner’s earlier model, which can account for both geometric properties and force field dynamics. Employing methods from Differential Geometry, [...] Read more.
The population activity of grid cells from a single module is topologically constrained to a toroidal manifold. Our work proposes an improved version of Gardner’s earlier model, which can account for both geometric properties and force field dynamics. Employing methods from Differential Geometry, we have derived Lagrangian densities that—under very general assumptions and avoiding dimensionful constants—provide a rationale for the trajectories associated with the synaptic spacetime as a global solution to the Einstein–Maxwell field equations. Then, we investigate the helical solutions to show that the synaptic toroidal topological space, as a locally flat Minkowski spacetime, with a Lorentzian metric is geodesically complete and, therefore, exhibits maximal stability. Finally, we consider a Lorentzian metric with curved spacetimes that give rise to Lorentzian tori admitting curvature spacetime singularities. Full article
(This article belongs to the Section Physics)
Show Figures

Figure 1

28 pages, 847 KB  
Article
The Standard Model Symmetry and Qubit Entanglement
by Jochen Szangolies
Entropy 2025, 27(6), 569; https://doi.org/10.3390/e27060569 - 27 May 2025
Viewed by 1260
Abstract
Research at the intersection of quantum gravity and quantum information theory has seen significant success in describing the emergence of spacetime and gravity from quantum states whose entanglement entropy approximately obeys an area law. In a different direction, the Kaluza–Klein proposal aims to [...] Read more.
Research at the intersection of quantum gravity and quantum information theory has seen significant success in describing the emergence of spacetime and gravity from quantum states whose entanglement entropy approximately obeys an area law. In a different direction, the Kaluza–Klein proposal aims to recover gauge symmetries by means of dimensional reduction in higher-dimensional gravitational theories. Integrating both of these, gravitational and gauge degrees of freedom in 3+1 dimensions may be obtained upon dimensional reduction in higher-dimensional emergent gravity. To this end, we show that entangled systems of two and three qubits can be associated with 5+1- and 9+1-dimensional spacetimes, respectively, which are reduced to 3+1 dimensions upon singling out a preferred complex direction. Depending on the interpretation of the residual symmetry, either the Standard Model gauge group, SU(3)×SU(2)×U(1)/Z6, or the symmetry of Minkowski spacetime together with the gauge symmetry of a right-handed ‘half-generation’ of fermions can be recovered. Thus, there seems to be a natural way to accommodate the chirality of the weak force in the given construction. This motivates a picture in which spacetime emerges from the area law contribution to the entanglement entropy, while gauge and matter degrees of freedom are obtained due to area-law-violating terms. Furthermore, we highlight the possibility of using this construction in quantum simulations of Standard Model fields. Full article
(This article belongs to the Special Issue Foundational Aspects of Gauge Field Theory)
Show Figures

Figure 1

27 pages, 1140 KB  
Article
Singularity Analysis of Lightlike Hypersurfaces Generated by Null Cartan Curves in Minkowski Spacetime
by Xiaoming Fan, Yongsheng Zhu and Haijing Pan
Axioms 2025, 14(4), 279; https://doi.org/10.3390/axioms14040279 - 7 Apr 2025
Viewed by 494
Abstract
This study investigates the singularity structures of lightlike hypersurfaces generated by null Cartan curves in Minkowski spacetime. We construct a hierarchical geometric framework consisting of a lightlike hypersurface LHβ, a critical lightlike surface LSβ, and a degenerate [...] Read more.
This study investigates the singularity structures of lightlike hypersurfaces generated by null Cartan curves in Minkowski spacetime. We construct a hierarchical geometric framework consisting of a lightlike hypersurface LHβ, a critical lightlike surface LSβ, and a degenerate curve LCβ, with dimensions decreasing from 3D to 1D. Using singularity theory, we identify a novel geometric invariant σ(t) that governs the emergence of specific singularity types, including C(2,3)×R2, SW×R, BF, C(BF), C(2,3,4)×R, and (2,3,4,5)-cusp. These singularities exhibit increasing degeneracy as the hierarchy progresses, with contact orders between the lightlike hyperplane HSt0L and the curve β systematically intensifying. An explicit example demonstrates the construction of these objects and validates the theoretical results. This work establishes a systematic connection between null Cartan curves, stratified singularities, and contact geometry. Full article
(This article belongs to the Special Issue Advances in Differential Geometry and Singularity Theory, 2nd Edition)
Show Figures

Figure 1

23 pages, 5045 KB  
Article
Urban Geography Compression Patterns: Non-Euclidean and Fractal Viewpoints
by Daniel A. Griffith and Sandra Lach Arlinghaus
AppliedMath 2025, 5(1), 9; https://doi.org/10.3390/appliedmath5010009 - 21 Jan 2025
Viewed by 1615
Abstract
The intersection of fractals, non-Euclidean geometry, spatial autocorrelation, and urban structure offers valuable theoretical and practical application insights, which echoes the overarching goal of this paper. Its research question asks about connections between graph theory adjacency matrix eigenfunctions and certain non-Euclidean grid systems; [...] Read more.
The intersection of fractals, non-Euclidean geometry, spatial autocorrelation, and urban structure offers valuable theoretical and practical application insights, which echoes the overarching goal of this paper. Its research question asks about connections between graph theory adjacency matrix eigenfunctions and certain non-Euclidean grid systems; its explorations reflect accompanying synergistic influences on modern urban design. A Minkowski metric with an exponent between one and two bridges Manhattan and Euclidean spaces, supplying an effective tool in these pursuits. This model coalesces with urban fractal dimensions, shedding light on network density and human activity compression. Unlike Euclidean geometry, which assumes unique shortest paths, Manhattan geometry better represents human movements that typically follow multiple equal-length network routes instead of unfettered straight-line paths. Applying these concepts to urban spatial models, like the Burgess concentric ring conceptualization, reinforces the need for fractal analyses in urban studies. Incorporating a fractal perspective into eigenvector methods, particularly those affiliated with spatial autocorrelation, provides a deeper understanding of urban structure and dynamics, enlightening scholars about city evolution and functions. This approach enhances geometric understanding of city layouts and human behavior, offering insights into urban planning, network density, and human activity flows. Blending theoretical and applied concepts renders a clearer picture of the complex patterns shaping urban spaces. Full article
Show Figures

Figure 1

7 pages, 220 KB  
Article
An Information-Theoretic Proof of a Hypercontractive Inequality
by Ehud Friedgut
Entropy 2024, 26(11), 966; https://doi.org/10.3390/e26110966 - 11 Nov 2024
Viewed by 1051
Abstract
The famous hypercontractive estimate discovered independently by Gross, Bonami and Beckner has had a great impact on combinatorics and theoretical computer science since it was first used in this setting in a seminal paper by Kahn, Kalai and Linial. The usual proofs of [...] Read more.
The famous hypercontractive estimate discovered independently by Gross, Bonami and Beckner has had a great impact on combinatorics and theoretical computer science since it was first used in this setting in a seminal paper by Kahn, Kalai and Linial. The usual proofs of this inequality begin with two-point space, where some elementary calculus is used and then generalised immediately by introducing another dimension using submultiplicativity (Minkowski’s integral inequality). In this paper, we prove this inequality using information theory. We compare the entropy of a pair of correlated vectors in {0,1}n to their separate entropies, analysing them bit by bit (not as a figure of speech, but as the bits are revealed) using the chain rule of entropy. Full article
(This article belongs to the Section Information Theory, Probability and Statistics)
24 pages, 1558 KB  
Article
An Observer-Based View of Euclidean Geometry
by Newshaw Bahreyni, Carlo Cafaro and Leonardo Rossetti
Mathematics 2024, 12(20), 3275; https://doi.org/10.3390/math12203275 - 18 Oct 2024
Viewed by 784
Abstract
An influence network of events is a view of the universe based on events that may be related to one another via influence. The network of events forms a partially ordered set which, when quantified consistently via a technique called chain projection, results [...] Read more.
An influence network of events is a view of the universe based on events that may be related to one another via influence. The network of events forms a partially ordered set which, when quantified consistently via a technique called chain projection, results in the emergence of spacetime and the Minkowski metric as well as the Lorentz transformation through changing an observer from one frame to another. Interestingly, using this approach, the motion of a free electron as well as the Dirac equation can be described. Indeed, the same approach can be employed to show how a discrete version of some of the features of Euclidean geometry including directions, dimensions, subspaces, Pythagorean theorem, and geometric shapes can emerge. In this paper, after reviewing the essentials of the influence network formalism, we build on some of our previous works to further develop aspects of Euclidean geometry. Specifically, we present the emergence of geometric shapes, a discrete version of the parallel postulate, the dot product, and the outer (wedge product) in 2+1 dimensions. Finally, we show that the scalar quantification of two concatenated orthogonal intervals exhibits features that are similar to those of the well-known concept of a geometric product in geometric Clifford algebras. Full article
Show Figures

Figure 1

15 pages, 2156 KB  
Article
Radiative Effects in Low-Dimensional Effective Fermion Field Theory with Compactification
by Vladimir Ch. Zhukovsky
Symmetry 2023, 15(10), 1867; https://doi.org/10.3390/sym15101867 - 4 Oct 2023
Viewed by 1199
Abstract
The introduction of branes immersed in the space-times of higher dimensions revealed itself to be a useful instrument for the study of high-dimensional models in quantum field theory. Moreover, low-dimensional quantum field theories represent an especially interesting class of models in physics due [...] Read more.
The introduction of branes immersed in the space-times of higher dimensions revealed itself to be a useful instrument for the study of high-dimensional models in quantum field theory. Moreover, low-dimensional quantum field theories represent an especially interesting class of models in physics due to their unique properties and renormalizability when interactions are treated perturbatively. The advantages of both approaches can be combined in a model for a low-dimensional brane immersed in the usual tetradimensional Minkowski space-time, the properties of which are relatively well known. This approach can be used for the study of systems like graphene and carbon nanotubes. In the present work, we present an effective model for nanotubes based on the Lagrangian obtained from a tight-binding model for graphene. The induced current, appearing azimuthally in the presence of a magnetic flux through the tube section (Aharonov–Bohm effect), will be derived. A reduced Lagragian for photons confined on the tube surface, obtained from the literature, is included in the last part of the work to threat perturbative corrections to the induced current. Full article
(This article belongs to the Section Physics)
Show Figures

Figure 1

14 pages, 9466 KB  
Article
Fractal Quasi-Coulomb Crystals in Ion Trap with Cantor Dust Electrode Configuration
by Semyon Rudyi, Andrei Ivanov and Dmitrii Shcherbinin
Fractal Fract. 2023, 7(9), 686; https://doi.org/10.3390/fractalfract7090686 - 15 Sep 2023
Cited by 4 | Viewed by 1813
Abstract
We propose a new concept of fractal quasi-Coulomb crystals. We have shown that self-similar quasi-Coulomb crystals can be formed in surface electrodynamic traps with the Cantor Dust electrode configuration. Quasi-Coulomb crystal fractal dimension appears to depend on the electrode parameters. We have identified [...] Read more.
We propose a new concept of fractal quasi-Coulomb crystals. We have shown that self-similar quasi-Coulomb crystals can be formed in surface electrodynamic traps with the Cantor Dust electrode configuration. Quasi-Coulomb crystal fractal dimension appears to depend on the electrode parameters. We have identified the conditions for transforming trivial quasi-Coulomb crystals into self-similar crystals and described the features of forming 25 Ca+ self-similar quasi-Coulomb crystals. The local potential well depth and width have been shown to take a discrete value dependent on the distance from the electrode surface. Ions inside the crystals studied possess varied translational secular frequencies. We believe that the extraordinary properties of self-similar quasi-Coulomb crystals may contribute to the new prospects within levitated optomechanics, quantum computing and simulation. Full article
(This article belongs to the Special Issue Fractal Geometries with Applications in Materials)
Show Figures

Figure 1

14 pages, 5904 KB  
Article
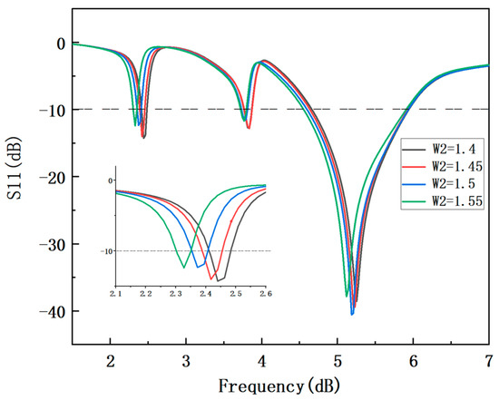
Design of Flexible Multi-Band Miniature Antenna Based on Minkowski Fractal Structure and Folding Technique for Miniature Wireless Transmission System
by Kechen Liu, Dapeng Sun, Tao Su, Xu Zheng and Chaobo Li
Electronics 2023, 12(14), 3059; https://doi.org/10.3390/electronics12143059 - 12 Jul 2023
Cited by 7 | Viewed by 2443
Abstract
In light of the predicament concerning the small gain and narrow frequency range of miniature antennas, this paper employs the implementation of a fractal repeating array structure and a double-layer folding antenna structure. Through these measures, the miniature antenna is endowed with a [...] Read more.
In light of the predicament concerning the small gain and narrow frequency range of miniature antennas, this paper employs the implementation of a fractal repeating array structure and a double-layer folding antenna structure. Through these measures, the miniature antenna is endowed with a high gain and an expansive frequency range, all within its diminutive size. The paper presents an exquisite and high-gain flexible multi-band antenna, utilizing a dielectric substrate composed of the flexible material polyimide, with a thickness of merely 0.1 mm. The implementation of this flexible material bestows a feathery mass of merely 4 mg upon the antenna, enabling it to seamlessly conform to various shapes. This makes it particularly well-suited for employment within miniature wireless transmission systems and compact mobile communication devices. In an endeavor to enhance impedance matching and radiation characteristics, the Minkowski fractal structure is ingeniously incorporated as the repeating array element. This repeating array structure assumes a pivotal role and, when combined with the double-layer folding antenna structure, achieves the objective of miniaturization. Remarkably, the antenna’s dimensions measure a mere 0.04 λ0 × 0.026 λ00 @ 2.4 GHz). The proposed antenna boasts a remarkably diminutive volume of merely 5 × 3 × 0.1 mm3, with the measured and simulated results exhibiting a striking concurrence. Both sets of results demonstrate resonance across multiple frequencies, namely, 2.4 GHz, 5.2 GHz and 5.8 GHz. Furthermore, within the effective frequency range, the antenna attains a maximum gain of 1.65 dBi and 4.37 dBi, respectively. Full article
Show Figures

Figure 1

38 pages, 579 KB  
Article
Groups of Coordinate Transformations between Accelerated Frames
by Georgy I. Burde
Symmetry 2023, 15(6), 1226; https://doi.org/10.3390/sym15061226 - 8 Jun 2023
Viewed by 2743
Abstract
The analysis of the present paper reveals that, besides the relativistic symmetry expressed by the Lorentz group of coordinate transformations which leave invariant the Minkowski metric of space-time of inertial frames, there exists one more relativistic symmetry expressed by a group of coordinate [...] Read more.
The analysis of the present paper reveals that, besides the relativistic symmetry expressed by the Lorentz group of coordinate transformations which leave invariant the Minkowski metric of space-time of inertial frames, there exists one more relativistic symmetry expressed by a group of coordinate transformations leaving invariant the space-time metric of the frames with a constant proper-acceleration. It is remarkable that, in the flat space-time, only those two relativistic symmetries, corresponding to groups of continuous transformations leaving invariant the metric of space-time of extended rigid reference frames, exist. Therefore, the new relativistic symmetry should be considered on an equal footing with the Lorentz symmetry. The groups of transformations leaving invariant the metric of the space-time of constant proper-acceleration are determined using the Lie group analysis, supplemented by the requirement that the group include transformations to or from an inertial to an accelerated frame. Two-parameter groups of two-dimensional (1 + 1), three-dimensional (2 + 1), and four-dimensional (3 + 1) transformations, with the group parameters related to the ratio of accelerations of the frames and the relative velocity of the frame space origins at the initial moment, can be considered as counterparts of the Lorentz group of corresponding dimensions. Defining the form of the interval and the groups of coordinate transformations satisfying the relativity principle paves the way to defining the invariant forms of the laws of dynamics and electrodynamics in accelerated frames. Thus, the problem of extending the relativity principle from inertial to uniformly accelerated frames has been resolved without use of the equivalence principle and/or the general relativity equations. As an application of the transformations to purely kinematic phenomena, the problem of differential aging between accelerated twins is treated. Full article
(This article belongs to the Special Issue Symmetry in Classical and Quantum Gravity and Field Theory)
Show Figures

Figure 1

10 pages, 288 KB  
Article
Planck Constants in the Symmetry Breaking Quantum Gravity
by Grigory E. Volovik
Symmetry 2023, 15(5), 991; https://doi.org/10.3390/sym15050991 - 27 Apr 2023
Cited by 7 | Viewed by 1934
Abstract
We consider the theory of quantum gravity in which gravity emerges as a result of the symmetry-breaking transition in the quantum vacuum. The gravitational tetrads, which play the role of the order parameter in this transition, are represented by the bilinear combinations of [...] Read more.
We consider the theory of quantum gravity in which gravity emerges as a result of the symmetry-breaking transition in the quantum vacuum. The gravitational tetrads, which play the role of the order parameter in this transition, are represented by the bilinear combinations of the fermionic fields. In this quantum gravity scenario the interval ds in the emergent general relativity is dimensionless. Several other approaches to quantum gravity, including the model of superplastic vacuum and BF theories of gravity support this suggestion. The important consequence of such metric dimension is that all the diffeomorphism invariant quantities are dimensionless for any dimension of spacetime. These include the action S, cosmological constant Λ, scalar curvature R, scalar field Φ, wave function ψ, etc. The composite fermion approach to quantum gravity suggests that the Planck constant can be the parameter of the Minkowski metric. Here, we extend this suggestion by introducing two Planck constants, bar and slash /h, which are the parameters of the correspondingly time component and space component of the Minkowski metric, gMinkμν=diag(2,/h2,/h2,/h2). The parameters bar and slash /h are invariant only under SO(3) transformations, and, thus, they are not diffeomorphism invariant. As a result they have non-zero dimensions—the dimension of time for and dimension of length for /h. Then, according to the Weinberg criterion, these parameters are not fundamental and may vary. In particular, they may depend on the Hubble parameter in the expanding Universe. They also change sign at the topological domain walls resulting from the symmetry breaking. Full article
(This article belongs to the Special Issue Symmetry and Asymmetry in Gravity Research)
9 pages, 270 KB  
Article
A Dually Flat Embedding of Spacetime
by Jan Naudts
Entropy 2023, 25(4), 651; https://doi.org/10.3390/e25040651 - 13 Apr 2023
Cited by 1 | Viewed by 1169
Abstract
A model of spacetime is presented. It has an extension to five dimensions, and in five dimensions the geometry is the dual of the Euclidean geometry w.r.t. an arbitrary positive-definite metric. Dually flat geometries are well-known in the context of information geometry. The [...] Read more.
A model of spacetime is presented. It has an extension to five dimensions, and in five dimensions the geometry is the dual of the Euclidean geometry w.r.t. an arbitrary positive-definite metric. Dually flat geometries are well-known in the context of information geometry. The present work explores their role in describing the geometry of spacetime. It is shown that the positive-definite metric with its flat 5-d connection can coexist with a pseudometric for which the connection is that of Levi–Civita. The 4-d geodesics are characterized by five conserved quantities, one of which can be chosen freely and is taken equal to zero in the present work. An explicit expression for the parallel transport operators is obtained. It is used to construct a pseudometric for spacetime by choosing an arbitrary possibly degenerate inner product in the tangent space of a reference point, for instance, that of Minkowski. By parallel transport, one obtains a pseudometric for spacetime, the metric connection of which extends to a 5-d connection with vanishing curvature tensor. The de Sitter space is considered as an example. Full article
(This article belongs to the Special Issue Information Geometry and Its Applications)
9 pages, 305 KB  
Article
Counting-Based Effective Dimension and Discrete Regularizations
by Ivan Horváth, Peter Markoš and Robert Mendris
Entropy 2023, 25(3), 482; https://doi.org/10.3390/e25030482 - 10 Mar 2023
Cited by 11 | Viewed by 1614
Abstract
Fractal-like structures of varying complexity are common in nature, and measure-based dimensions (Minkowski, Hausdorff) supply their basic geometric characterization. However, at the level of fundamental dynamics, which is quantum, structure does not enter via geometric features of fixed sets but is encoded in [...] Read more.
Fractal-like structures of varying complexity are common in nature, and measure-based dimensions (Minkowski, Hausdorff) supply their basic geometric characterization. However, at the level of fundamental dynamics, which is quantum, structure does not enter via geometric features of fixed sets but is encoded in probability distributions on associated spaces. The question then arises whether a robust notion of the fractal measure-based dimension exists for structures represented in this way. Starting from effective number theory, we construct all counting-based schemes to select effective supports on collections of objects with probabilities and associate the effective counting dimension (ECD) with each. We then show that the ECD is scheme-independent and, thus, a well-defined measure-based dimension whose meaning is analogous to the Minkowski dimension of fixed sets. In physics language, ECD characterizes probabilistic descriptions arising in a theory or model via discrete “regularization”. For example, our analysis makes recent surprising results on effective spatial dimensions in quantum chromodynamics and Anderson models well founded. We discuss how to assess the reliability of regularization removals in practice and perform such analysis in the context of 3d Anderson criticality. Full article
(This article belongs to the Section Quantum Information)
Show Figures

Figure 1

15 pages, 4996 KB  
Article
Nanoscale 3D Spatial Analysis of Zirconia Disc Surfaces Subjected to Different Laser Treatments
by Erveton Pinheiro Pinto, Robert S. Matos, Marcelo A. Pires, Lucas dos Santos Lima, Ştefan Ţălu, Henrique Duarte da Fonseca Filho, Shikhgasan Ramazanov, Shahram Solaymani and Claudio Larosa
Fractal Fract. 2023, 7(2), 160; https://doi.org/10.3390/fractalfract7020160 - 6 Feb 2023
Cited by 18 | Viewed by 3647
Abstract
We propose the application of morphological, fractal and multifractal analysis to differentiate surface patterns on zirconia-based ceramics after laser treatments. Furthermore, we introduce two new approaches for ceramic surfaces: the Moran correlogram, which complements the spatial autocorrelation analyses, and the Otsu binarization algorithm, [...] Read more.
We propose the application of morphological, fractal and multifractal analysis to differentiate surface patterns on zirconia-based ceramics after laser treatments. Furthermore, we introduce two new approaches for ceramic surfaces: the Moran correlogram, which complements the spatial autocorrelation analyses, and the Otsu binarization algorithm, which was used to identify the lacunar points in the lacunarity analysis. First, the AFM (Atomic Force Microscope) topographies revealed that samples have significant differences in terms of spatial features. Quantitatively, spatial surface texture parameters indicated that all laser treatments reduced the superficial isotropy of the Zirconia disc. Moran’s correlograms revealed a decrease in the short-range correlation in all treated samples. The Minkowski functionals (MFs) indicated a reduction in the amount of matter in the peaks, especially for the sample with Nd-YAG laser treatment. The estimated fractal dimension (FD) pointed out that all laser treatments weakened the surface complexity of the Zirconia disc. On the other hand, clear fingerprints of multifractal behavior in all the samples were detected, where the highest degree of multifractality was computed for the samples with CO2 laser treatment. Finally, our findings suggested that the morphological changes caused by laser treatments on the surfaces of zirconia discs can be monitored and differentiated through the parameters proposed here. Full article
Show Figures

Figure 1

Back to TopTop