Abstract
We propose a new concept of fractal quasi-Coulomb crystals. We have shown that self-similar quasi-Coulomb crystals can be formed in surface electrodynamic traps with the Cantor Dust electrode configuration. Quasi-Coulomb crystal fractal dimension appears to depend on the electrode parameters. We have identified the conditions for transforming trivial quasi-Coulomb crystals into self-similar crystals and described the features of forming 25 Ca+ self-similar quasi-Coulomb crystals. The local potential well depth and width have been shown to take a discrete value dependent on the distance from the electrode surface. Ions inside the crystals studied possess varied translational secular frequencies. We believe that the extraordinary properties of self-similar quasi-Coulomb crystals may contribute to the new prospects within levitated optomechanics, quantum computing and simulation.
1. Introduction
Fractal structures are amply researched today due to the prospects of their application in material science. The most-studied examples of fractal smart materials are self-similar structures based on nanoparticles. Among them, self-similar structures based on semiconductor and metallic nanoparticles are of particular interest as they can be reproduced in the lab. The electrical and optical properties of nanoparticle ensembles are known to be highly sensitive to nanoparticle ordering within the ensemble. Thus, self-similar ordered structures offer a new way to achieve a precise tuning of the properties of nanoparticle-based ensembles. For example, the energy transfer in dendrite structures based on semiconductor quantum dots (QDs) discussed in [1,2] was shown to occur even in diffusion-limited aggregation fractals composed of nominally mono-sized QDs [3]. QD-based dendrites can find their application in light harvesting and in the spatial concentration of light emission. Structures consisting of fractal Ag particles were used for highly conductive, flexible and stretchable electrodes for electronic devices [4]. Bimetallic Ag–Au core–shell nanocomposites with fractal structures were used as a surface-enhanced Raman scattering substrate [5]. Sierpiński carpet-like fractal structures prepared with Ag nanocuboids were used to improve the absorption and the quantum efficiency of solar cells [6,7].
Optical, electrical and mechanical characteristics of in-lab reproducible physical fractals are unambiguously determined by typical interparticle distance and fractal dimensions. However, the current techniques for preparing self-similar structures do not provide precise control or manipulation of the described properties. To our knowledge, the only way to prepare an ensemble of particles with a controllable interparticle distance and an easily re-configurable geometry is electrodynamic trapping. An electrodynamic trap can be represented as a set of electrodes providing fast oscillating electric fields. The electric potential spatial distribution of traps includes potential wells for charged particles. As a result, the charged particles become trapped near the point corresponding to the potential minimum coordinate.
Depending on the electrode geometry, single-well, double-well or even multi-well potential distribution can be implemented. The best-studied linear quadrupole Paul traps provide a single potential well [8]. Otherwise, in the case of surface traps consisting of thin film electrodes deposited on a substrate, there can be either single-well or multi-well potential distribution [9,10,11]. The potential distribution appears to be defined by electrode geometry and by electrical supply parameters. Moreover, such a system is sensitive to external effects [11]. Thus, the controllable potential distribution can be easily implemented with surface traps [12,13].
Electrodynamic traps localize both individual particles and their ensembles. In the case of the simplest single-well potential distribution, the particle spatial positions inside the only potential well are determined by interparticle Coulomb interaction. Such structures are referred to as Coulomb crystals (or CCs) [14]. In CCs, the oscillations of each individual particle and the collective oscillation mode of all trapped particles become interdependent. This results in using CCs as a platform for quantum simulations and computing [15].
The type of CC internal structure that is used in quantum computing is a linear chain of atomic ions trapped in an ion trap [14]. Ions in linear CCs share a common collective oscillation mode, which is used to prepare qubit states. In general, any type of CC can be used for quantum computing, but linear CCs are the simplest to prepare and control. For ion-based quantum computing, the trapped ions must be controllably entangled and precisely addressed to perform calculations. Recently, various approaches have been proposed and implemented for entangling ions in a linear CC to obtain qubit gates [16]. Many experimental groups worldwide have achieved high fidelity of a two-qubit gate using the light-shift [17] and Mølmer–Sørenson [18] approaches. The latter approach also utilizes the collective motion of CC ions as a quantum bus for multi-qubit entanglement. However, these impressive results have been reached for relatively short linear CCs. With the increasing number of ions in a CC, it becomes difficult to entangle the distant ions and resolve all translational modes [19]. In addition, the large number of ions in the chain gives rise to the an anharmonic contribution to the longitudinal mode of the linear CC collective motion. Such anharmonism reduces the fidelity of the qubit gates and limits the scaling of an ion trap quantum computer. Several approaches based on frequency modulation have recently been proposed to overcome these constraints [20,21,22]. The search for other methods to overcome the limitations described is a crucial issue for quantum computing development. New ion-based computer architectures may be a solution for this issue.
In our previous works, we developed a new concept of quasi-Coulomb crystals (qCCs) [23]. In qCC lattice nodes, the coordinates correspond to the local potential well in multi-well potential traps. Since the potential well coordinates and the potential well depths depend on both the electrode geometry and the electrical supply, the qCC internal structure can be easily controlled. In the above paper, qCCs have been implemented in 3D multipole ion traps. On the other hand, there is no restriction to the qCC formation in surface traps. Technically, preparing surface electrodynamics traps (SEDTs) with arbitrary shaped electrodes is much simpler compared to other ion traps. Therefore, an SEDT is more appropriate for the formation of qCCs with the novel characteristics designed for specific applications. We believe that the most intriguing type of qCC is the self-similar qCC (SSqCC). However, there do not seem to be any studies of fractal qCCs or of the SSqCC-supported trap platforms. Importantly, there is no fundamental restriction to the formation of SSqCCs.
Here, an important question arises: “How can SSqCCs be implemented?”. Intuitively, it seems reasonable that SSqCCs can be prepared in SEDTs with fractal electrode geometries. Once again, it appears intuitively reasonable that SEDTs consisting of multiple electrode modules with structural self-similarity are the most suitable candidates for SSqCC implementation. In the present work, we decided to confirm the assumption that SSqCCs can be formed in an SEDT with fractal electrodes. We focused on the electrode geometries that can be represented as the iterations of Cantor Dust and of generalized Cantor Dust (GnCnD) due to the simplicity of its mathematical description. One of the main purposes of the research was to shed light on SSqCC formation principles. We calculated the SSqCC geometrical properties and the fractal dimension in the SEDT with the specific Cantor Dust electrode geometry. We determined the transformation conditions between the qCC and SSqCC. The features of the structures discovered are discussed below.
2. Cantor Dust Electrode Configuration
Localization of the charged particles in SEDTs is based on their interaction with the AC electric field around the flat conducting electrodes. The spatial position of the particles in the SEDT is strictly dependent on the shape and the arrangement of the electrodes on the dielectric substrate.The specific electrode geometry results in multiple isolated regions of localization (potential wells) in a single trap [10,11]. Quasi-Coulomb crystals can be formed during the many-body localization in a multi-well trap. In this case, each charged particle is trapped in an individual potential well [23]. In qCCs, the coordinates of the individual particles are determined by the particle–SEDT field interaction rather than by the interparticle Coulomb interaction. Since the potential well coordinates depend on the electrode configuration and the electrical supply parameters, it is possible to form qCCs that exhibit structural self-similarity. Here, we presume that a self-similar configuration of the trap electrodes is the most appropriate to implement SSqCCs.
Historically, researchers selected the basic forms of SEDT electrodes due to the possibility of their electric field analytical description [24,25]. Electric field spatial distribution can be analytically written for rectangles, circles and rings [25]. For the same reasons, we design the SSqCC-supporting traps based on rectangular electrodes.
The electric potential U near n arbitrary-shaped rectangular electrodes (segments) has the exact analytical form [24]
where the spatial distribution of the electric potential U is described by the form factor function
where V and are the amplitude and the frequency of AC voltage on the electrodes, respectively; j is the increment of the segment; , , , are the diagonal vertices coordinates for the j-th rectangular segment. Note that Equation (1) is valid for any number and any spatial position of rectangular electrodes, including self-similar configurations.
The basic self-similar electrode configuration with rectangular segments can be constructed as a 2D Cantor set or as Cantor Dust [26]. Cantor Dust is formed by iteratively deleting the open middle third from a set of square segments. Depending on the iteration number i, Cantor Dust electrode configuration will consist of segments. Hereinafter, we understand the term of “i-th iteration” as referring to the type of electrode configuration corresponding to the i-th Cantor Dust iteration. The initial segment (0-th iteration) is a single square with the sides equal to a. Figure 1 represents a 3D render of a surface trap with the electrode configuration for the second iteration of Cantor Dust. Electrode vertices are shown in pink; the initial square is shown in red. We assume that the electrodes lie in the plane, and the z-axis is perpendicular to the electrode surface. The axes’ origin is shown as a green dot in Figure 1.
Figure 1.
Surface ion trap with self-similar electrode configuration for the second iteration of Cantor Dust. The initial segment length is marked as a, electrode vertices are shown in pink.
The number and the position of the isolated potential minima in the trap are determined by the spatial distribution of the effective potential. Effective potential is known to be an equivalent time-averaged stationary potential function that takes into account the trapped ion characteristics. The exact value of the effective potential spatial distribution can be described in a general case as follows [27]:
where e is the charge of the trapped particle, m is the mass of the trapped particle, nd a is the initial square side length. On the other hand, the spatial position of the potential minima is described by the reduced function , which is written as
where , , are the normalized coordinates. For simplicity, in the case of AC voltage only, we can obtain the coordinates of the potential minima by finding the minima of the reduced function (4). Here, we propose using the initial square side length a as a normalization parameter (marked in red in Figure 1). For convenience, we further omit the tilde sign.
Here, we provide the numerical calculations of the coordinates of the spatial potential distribution minima using the gradient descent method [28]. The qCC can be only formed if the depth of the potential wells exceeds Coulomb interaction for the given ions. Varying the electrode initial square length a and the electrical supply parameters V and , it is possible to find the condition where each individual qCC node corresponds to the individual isolated potential minimum. In the present paper, we assume that the necessary qCC-forming conditions are met by default.
The number of the potential minima of the surface traps is known to strongly depend on the electrode geometries [25]. Here, we propose to investigate how the iteration number will affect the electrode geometry and the corresponding potential minima distribution. As we have shown above, the electrode configuration on the 0-th iteration is a square with the side length a. Substituting the diagonal vertices’ coordinates of the initial square in (1), we realized that the potential function (4) has no potential minima. The first electrode configuration that provides stable particle trapping is the 1-st iteration with four square segments (marked in light blue in Figure 2a). The potential minima positions in the and planes are marked as green dots in Figure 2a and Figure 2b, respectively.
Figure 2.
Potential minima coordinates in the surface trap with Cantor Dust electrodes with the first iteration (a,b), the second iteration (c,d) and the third iteration (e,f). Parts (a,c,e) correspond to the plane, while parts (b,d,f) correspond to the plane.
Figure 2a,b shows that the first iteration of Cantor Dust electrode configuration has five potential minima or five stable equilibrium points for the charged particles, which are marked in green dots. Thus, we can form a pyramid-like five node qCC with the first iteration. We refer to the pyramid formed with the first iteration as the first order pyramid. Obviously, a qCC consisting only of a first order pyramid is not self-similar and does not exhibit any fractal properties.
The second iteration of Cantor Dust electrode configuration has 25 potential minima (Figure 2c,d). The qCC in the second iteration can be represented as a first order pyramid (marked in green dots) and four additional second order pyramids (marked in blue dots). The coordinates of the first order pyramid of the second iteration are slightly deviated compared to the first order pyramid coordinates of the first iteration. All second order pyramids are below the first order pyramid as shown in Figure 2d. The ratio of the base sides of the second and the first order pyramids correspond to the ratio of the electrode square segment sides of the second and first iterations and is equal to for the example given in Figure 2c,d. With the second iteration, the qCC obtained starts possessing self-similarity and becomes an SSqCC.
The third iteration of Cantor Dust electrode configuration features 105 potential minima (Figure 2e,f). Within the third iteration, we can observe the third order pyramid formation with the scaling factor (compared to the second order pyramids).The third order pyramids are marked in red dots. Thus, we have shown that the total number and the spatial position of the local minima coordinates in the surface trap with Cantor Dust electrodes depends on the number of iterations. We can describe the potential minima number N by the iteration i in the following general form:
where k is a free iterator. We can see that with a higher iteration number i, the SSqCC forms a 3D upside-down dendrite, or an “old-fashioned chandelier” self-similar structure. To analyze the fractal properties of the structure obtained, we have to calculate the appropriate metric. One of the most useful metrics for characterizing self-similar structures is Minkowski fractal dimension [29].
From a mathematical point of view, Cantor Dust is an object with global self-similarity that manifests itself at any level of scale. The exact value of Minkowski fractal dimension D for Cantor Dust at the iteration number equals the constant value
In physical reality, we are limited by the minimal size of electrode square segments. Therefore, the electrode configuration is always described by a finite iteration of Cantor Dust and features only local self-similarity. For the same reasons, a qCC has only local fractal dimensions. To compute the local Minkowski dimensions of both the electrode configuration and the qCC, we used the box-counting algorithm [29].
To perform the box-counting algorithm, the coordinate space is uniformly filled with cubic elements of the edge length . The number of cubic elements including at least one potential minimum for a given will be . By sequentially reducing the length of the cubic element (), we can express the global fractal dimension as follows [30]
To calculate the local fractal dimension, we reduce the cubic element to the finite filling element , where d is the typical distance of the system studied. For the Cantor Dust on the i-th iteration, the distance d is equal to the length of the square element side, or . For the SSqCC, the distance d is equal to the length of a side of the i-th order pyramid base. We suggest taking notice of the fact that in our work all distances are normalized on initial square side length a. For the filling element below the typical distance d, the measured object (both Cantor Dust and SSqCC) will become a set of the individual points with zero fractal dimensions. The dependencies of the typical distance d normalized value on the iteration number are shown in Figure 3a.
Figure 3.
Local fractal dimension calculation: (a)—for Cantor set segment vertices with the iteration number ; (b)—for the SSqCC with the iteration number .
To investigate how the iteration number affects the SSqCC parameters, we compare the local fractal dimensions of Cantor Dust electrodes and the SSqCC. We calculate the local fractal dimensions of Cantor Dust electrodes as Minkowski dimensions of the set of points corresponding to the electrode segment vertices for the given i. The total number of vertices of all square segments with a finite iteration number i appears to correspond to . The global fractal dimension for the set of points is 0. However, using the algorithm described above, we can calculate the local fractal dimension (D-value). In the further calculations, the minimum filling element length in the box-counting algorithm is given as the double typical distance, . The results of the D-value calculation for both Cantor Dust and SSqCC are shown in Figure 3b. The iteration number is in the range .
The value of the local fractal dimension is different from zero for all . Moreover, the value of the local fractal dimension D-value tends to the global value (6) when . The local fractal dimensions of SSqCCs correlate with the corresponding fractal dimensions of Cantor Dust vertices set. The D-value at is zero, which corresponds to the mentioned absence of self-similarity with the first iteration. With the following iterations, the value is in the range depending on the iteration number. The non-integer value of the Minkowski dimension indicates qCC self-similarity.
3. Generalized Cantor Dust Electrode Configuration
Additional control of SSqCC properties in the SEDT can be achieved with the generalized Cantor Dust (GnCnD) electrode configuration. Unlike the canonical Cantor Dust, for the GnCnD deleting iteratively the p part in the middle piece of each segment is suggested. GnCnD is reduced to the canonical form with . The global fractal dimension for the GnCnD takes the form [31]
where p is the iteratively deleted interval. For the (canonical Cantor Dust), the global fractal dimension is , which corresponds to the tabulated value (6).
The electrode configurations with the third iteration for and are marked in light blue in Figure 4a, c and e, respectively. The positions of the potential minima are marked in colored dots in Figure 4. Our numerical calculation reveals that for the qCC can be decomposed into pyramid substructures similarly to the “old-fashioned chandelier” in Figure 2. Further p-value reduction results in the appearance of additional local minima destroying the pyramid-based ordering. The calculation results demonstrate a decrease in the absolute height of the structure, h. The dependencies of the potential well number N and the qCC height h on the p-value in the range of are shown in Figure 5a.
Figure 4.
Potential minima coordinates with the third generalized Cantor Set iteration for (a,b), (c,d), (e,f). Parts (a,c,e) correspond to the plane, while parts (b,d,f) correspond to the plane.
Figure 5.
Geometrical (a) and fractal (b) properties of the quasi-Coulomb crystal structures in the GnCnD SEDT.
At a lower p-value, both the electrode geometry and the qCC structure degenerate to a “regular” form. To describe this process more accurately, we calculated the Minkowski dimension for both Cantor Dust electrodes and the corresponding qCC for the p-value in the range of [1/100–1/3]. The result of the calculation is presented in Figure 5b.
As the p-value decreases, the fractal dimension of the trap electrodes tends to (8). GnCnD fractal dimension is represented by the red line in Figure 5b. Indeed, when p is small (), the electrode structure transforms from a self-similar configuration to a regular array of square elements. On the other hand, the fractal dimension of the qCC also tends to an integer value (represented by the blue line in Figure 5b). The potential minima densely fill the space above the electrode surface (as shown in Figure 4c for ). Therefore, by changing the value of p it is possible to control both the element number in the qCC and the fractal properties (D-value).
Summarizing, we can observe three main types of qCC in the GnCnD SEDT for the p-value in the range :
- “Old-fashioned chandelier” SSqCC: the fractal dimension takes the non-integer value, the potential well number N does not depend on the p-value with the given iteration number i and satisfies the condition (5). With the third iteration, an “old-fashioned chandelier” SSqCC is formed for the p-values in the range .
- “Transitional” SSqCC: the fractal dimension takes the non-integer value, the potential well number N depends on the p-value. With the third iteration, the “Transitional” SSqCC is formed for the p-values in the range .
- “Regular” qCC: the fractal dimension tends to the integer value, the potential well number N does not depend on the p-value. With the third iteration, the “Regular” qCC is formed for the p-values in the range .
4. Ca+ “Old-Fashioned Chandelier” SSqCC: Features, Limitations and Insight to Possible Applications
Practical implementation and prospective application are the cornerstones of each new theoretical concept. Therefore, we focus on the electrode characteristics and design that make SSqCC reproducible in laboratory. We suggest that adequate experimental verification of the approach proposed can be performed using SEDTs and SSqCCs that meet the following qualitative requirements (hereinafter we will refer to them as the Adequacy Requirements List )
- qCC have to demonstrate clear local self-similarity.
- Cantor Dust trap parameters (iteration number, p-value, initial segment length a) have to provide an adequate number of potential wells for a certain task.
- For specific ion species and the minimum typical distance d, the potential Coulomb interaction between ions has to be much smaller then the local potential well depth.
- For specific ion species, the potential well depth has to exceed the energy of thermal oscillation [32].
- The maximal potential well depth has to be calculated taking into account the resistance of SEDT materials to electrical breakdown.
- The minimal square segment of electrodes has to support the possibility of its physical implementation including power supply. Today, it is technologically possible to provide typical electrodes of the size down to micron scale. Electric supply can be provided using the ball grid array method.
We analyzed the results of the numerical calculations provided in the previous section and related them to the Adequacy Requirements List. For canonical Cantor Dust, the optimal “old-fashioned chandelier” SSqCC corresponds to the electrode configuration with the second or the third iteration. Meanwhile, for GnCnD, besides the iteration number restriction, the p-value has to be in the range of . For further discussion, we will focus on the second iteration of canonical Cantor Dust (Figure 2c).
So far, we have discussed only the spatial position of the local potential minima. However, the well depth is crucial for qCC formation and for their further application. It is important that effective potential formalism (3) provides equivalent time-averaged stationary potential function according to [27]. Equation (3) shows that the shape of the potential well and the local minima coordinates depend only on the electrode geometry. On the other hand, the potential well depth depends on all the parameters, including the charge and the mass of the trapped ion species, the AC voltage and the frequency, as well as on the electrode geometry. However, the time-averaging procedure neglects time-periodical terms. Thus, for a comprehensive description of a dynamical system, we propose using numerical calculation techniques for solving the original time-dependent equations of motion
where Q is a generalized coordinate.
Here, we analyze the characteristics of the dynamical system with the third iteration of a canonical Cantor Dust surface trap. We investigate an SSqCC consisting of 25 Ca+ ions in accordance with (5). We chose Ca+ ions since they are a well-known system widely used as a qubit platform for quantum computing [33,34,35,36]. We perform a numerical simulation of 25 Ca+ ions dynamics using the 4-th order Runge–Kutta method taking into account Coulomb particle interaction. We simulate ion dynamics within the time interval of seconds. The following parameters have been used: the square side at the zero iteration mm, the AC voltage amplitude V, the AC voltage frequency MHz, the ion mass kg and the ion charge C.
The dynamical system studied is described by three coordinate degrees of freedom according to (1). Due to the nonlinear potential distribution (1), the dynamics along the and z axes are interdependent. For simplicity, we show the results of the numerical simulation for the dynamics along the z-axis only.
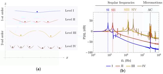
We focus on the potential well parameters for the ions located at different heights. For clarity, we label the potential wells according to the following rule: the upper vertex of the first order pyramid represents Level I, the base of the first order pyramid is Level II, the upper vertices of the second order pyramids are Level III and the bases of the second order pyramids are Level IV. The potential well evolution with the height above the SEDT is schematically shown in Figure 6a. Colored dots in Figure 6a represent the potential minimum coordinates in the plane for the second iteration of canonical Cantor Dust SEDT. Solid lines schematically represent potential wells.
Figure 6.
(a)—Schematic “energy structure” of SSqCC nodes with the second iteration of canonical Cantor Dust SEDT; (b)—z-axis oscillation spectra of 25 Ca+ SSqCC ions at different levels.
The exact values of the potential well width and depth at different levels for the given SEDT and ion species are presented in Table 1. It shows that the higher the level number, the narrower and the deeper the potential well. The potential well depth obtained at Level I is 10 meV, which is higher than the typical thermal energy. We can claim that the given SEDT parameters do not contradict the Adequacy Requirements List. Due to the large difference between the well depths, the stability condition for the ions has to be carefully controlled during the SSqCC formation.
Table 1.
The potential well depths and widths along the z-axis.
A direct consequence of the difference between the potential well depths is the variation in the corresponding ion dynamics. As a result, we observe different translational oscillation spectra for the ions at the Levels I–IV. Translational oscillation spectra along the z-axis numerically calculated according to non-autonomous Equation (9) for the ions at different levels are shown in Figure 6b. Our results have revealed that all ions located at the same level have the same translational -oscillation spectra.
The most intensive band in each spectrum obtained is the one corresponding to the secular oscillation. The secular oscillation can be represented as a harmonic oscillation for the ions with time-independent effective potential energy (3) trapped near the local potential minima with a small perturbation (much lower than the width of the potential well studied, as given in Table 1). Increasing the depth of the potential well has resulted in the secular frequency growing. The dependence of the z-axis secular frequency (marked as SI..SIV in Figure 6b) at the levels I–IV is shown in Table 1.
Besides secular frequency, translational oscillation spectra may contain additional bands. Firstly, the ions with real time-periodic potential energy possess the oscillation band at AC frequency. These oscillations are referred to as micromotions. Secondly, the non-linearity of the system studied enrich the z-axis oscillation spectra with the bands corresponding to the x and y oscillation frequencies. Furthermore, since Coulomb interactions take place in SSqCCs, there is energy redistribution between the oscillation modes. As a result, secular frequencies corresponding to the ions at a certain level can be found in the oscillation spectra for the ions at other levels as side bands. Such frequencies indicate the possibility of entangling ions at different levels.
The results obtained (Figure 6 and Table 1) show that the ions trapped in a SEDT with a self-similar electrode configuration have a rich spectrum of translational oscillations well resolved in frequency. Ions belonging to different levels have different secular frequencies, in the range from 80 kHz to ∼3 MHz (for the parameters given above). In addition, the trapped ions are spatially separated by hundreds of microns both in the trap plane and in the direction of the z-axis perpendicular to this plane. Thus, the resulting quasi-Coulomb structure makes possible a controlled entanglement or disentanglement of ions by precisely addressing them with laser pulses. However, difficulties may arise in the practical implementation of qCCs in a trap with self-similar electrode geometry. As mentioned above, to form a qCC in a trap, the ion kinetic energy cannot exceed the depth of the corresponding local potential wells. This compulsory condition requires implementing an optical cooling scheme. However, due to the strong spatial separation of the local potential minima corresponding to the typical distance d, simultaneous effective cooling of all qCC elements (nodes) is a challenging task. A significant difference in the depths of local potential wells at different levels (Figure 6) can result in several ions being trapped near the same equilibrium position with the“local” trivial Coulomb crystals formed. This effect should also be taken into account in the practical implementation of qCC.
Quantum computer calculations are known to require qubits entanglement as well as their disentanglement after the gate operation. This can be achieved by finding a well-resolved “bounding” frequency (or a discrete set of frequencies), which is used to provide the interaction between the ion-based qubits [20]. In large linear CCs, spectral crowding of the normal modes prevents resolving the collective mode for certain ions in CCs. Such spectral crowding results in a lower gate speed. In the multi-well architecture proposed, the single motion mode can be readily implemented because there is no spectral mode crowding. Since the motion spectrum contains both longitudinal and transverse oscillation modes, there can be various approaches to qubit entanglement [37,38]. Furthermore, motion spectral eigenfrequencies belong to the group of ions that can be entangled in a multi-qubit gate [39].
Laser beams can only be focused into a spot with a diameter of hundreds of microns. Meanwhile, the micron spatial separation of ions in the proposed architecture is appropriate to optically address qubits for gate control. Moreover, the upside-down dendrite hierarchy of the fractal ion structure appears to promote parallel entanglement of quibits in different zones of the SEDT. This is important for fault-tolerant error correction of qubits [40].
Here, we present a numerical simulation for 25 Ca+ ion dynamics in a Cantor Dust SEDT. The results obtained correspond to the second iteration of the canonical Cantor Dust. Beyond debate, generalizing the numerical simulation to higher iteration numbers and varied p-values and trapped ions, a small step of a computational routine, is, in fact, a giant leap for the future practical implementation of SSqCC-based quantum computing. This generalization is beyond the scope of the present article, which only presents the concept, and has to be dealt with in future work.
5. Conclusions
We present the pioneer research of quasi-Coulomb crystals with self-similar properties. This is the first time that self-similar quasi-Coulomb crystal ion trap architecture is proposed. The self-similar quasi-Coulomb crystals can be formed using surface traps with a generalized Cantor Dust electrode configuration.
We have shown that the properties of Cantor Dust electrodes define the Minkowski dimension of levitated self-similar quasi-Coulomb crystals (SSqCCs). The varied values of the generalized Cantor Dust parameters (the iteration number and the deleted part of each electrode segment) may result in a wide range of ion structures from “regular” quasi-Coulomb crystals to SSqCCs. We have figured out that the optimal SSqCC takes the form of an “old-fashioned chandelier” crystal consisting of similar pyramids with the scale factor .
The most intriguing feature of the “old-fashioned chandelier” SSqCC is the significant difference in the potential well depths and widths for the ions trapped at the different levels of the SSqCC described. The potential well depth growing leads to a unique set of z-axis oscillation frequencies for each level.
The fractal properties of SSqCCs pave the way for implementing frequency modulation approaches in ion-based quantum computing. The described modulation provides controlled entanglement and precise addressing for a large number of Coulomb bound ions in an single SEDT. The advantages of fractal architecture include a well-resolved frequency spectrum of individual groups of ions, as well as the possibility of selective optical addressing for individual ion groups.
We believe that the results obtained here open new horizons for optomechanics and levitomechanics, quantum computing and simulation, as well as for a wide range of sensors. We would like to invite the international science community for an open discussion and cooperation for further research in this area.
Author Contributions
Conceptualization, S.R. and D.S.; Methodology, S.R.; Software, S.R.; Formal analysis, S.R.; Investigation, S.R.; Resources, A.I.; Writing—original draft, S.R., A.I. and D.S.; Writing—review & editing, D.S.; Visualization, S.R.; Supervision, A.I.; Project administration, D.S. All authors have read and agreed to the published version of the manuscript.
Funding
This research received no external funding.
Data Availability Statement
Not applicable.
Conflicts of Interest
The authors declare no conflict of interest.
Abbreviations
| QDs | Feature-Based Constrained Space |
| CC | Coulomb Crystal |
| qCC | quasi-Coulomb Crystal |
| SSqCC | Self-Similar quasi-Coulomb Crystal |
| SEDT | Surface Electrodynamics Trap |
| GnCnD | Generalized Cantor Dust |
References
- Sukhanova, A.; Baranov, A.V.; Perova, T.S.; Cohen, J.H.; Nabiev, I. Controlled Self-Assembly of Nanocrystals into Polycrystalline Fluorescent Dendrites with Energy-Transfer Properties. Angew. Chem. Int. Ed. 2006, 45, 2048–2052. [Google Scholar] [CrossRef] [PubMed]
- Adrianov, V.; Maslov, V.; Baranov, A.; Fedorov, A.; Artem’ev, M. Spectral study of the self-organization of quantum dots during the evaporation of colloidal solutions. J. Opt. Technol. 2011, 78, 699–705. [Google Scholar] [CrossRef]
- Bernardo, C.; Moura, I.; Fernández, Y.N.; Nunes-Pereira, E.J.; Coutinho, P.J.; Garcia, A.M.F.; Schellenberg, P.; Belsley, M.; Costa, M.F.; Stauber, T.; et al. Energy transfer via exciton transport in quantum dot based self-assembled fractal structures. J. Phys. Chem. C 2014, 118, 4982–4990. [Google Scholar] [CrossRef]
- Zhang, S.; Li, Y.; Tian, Q.; Liu, L.; Yao, W.; Chi, C.; Zeng, P.; Zhang, N.; Wu, W. Highly conductive, flexible and stretchable conductors based on fractal silver nanostructures. J. Mater. Chem. C 2018, 6, 3999–4006. [Google Scholar] [CrossRef]
- Raveendran, J.; Docoslis, A. Detection and quantification of toxicants in food and water using Ag–Au core-shell fractal SERS nanostructures and multivariate analysis. Talanta 2021, 231, 122383. [Google Scholar] [CrossRef] [PubMed]
- Poursafar, J.; Bashirpour, M.; Kolahdouz, M.; Takaloo, A.V.; Masnadi-Shirazi, M.; Asl-Soleimani, E. Ultrathin solar cells with Ag meta-material nanostructure for light absorption enhancement. Sol. Energy 2018, 166, 98–102. [Google Scholar] [CrossRef]
- Wallace, G.Q.; Lagugné-Labarthet, F. Advancements in fractal plasmonics: Structures, optical properties, and applications. Analyst 2019, 144, 13–30. [Google Scholar] [CrossRef]
- March, R.E. Quadrupole ion traps. Mass Spectrom. Rev. 2009, 28, 961–989. [Google Scholar] [CrossRef]
- Zhang, X.; Ou, B.; Chen, T.; Xie, Y.; Wu, W.; Chen, P. Versatile surface ion trap with fork junction for effective cooling. Phys. Scr. 2020, 95, 045103. [Google Scholar] [CrossRef]
- Tanaka, U.; Nakamura, M.; Hayasaka, K.; Bautista-Salvador, A.; Ospelkaus, C.; Mehlstäubler, T. Creation of double-well potentials in a surface-electrode trap towards a nanofriction model emulator. Quantum Sci. Technol. 2021, 6, 024010. [Google Scholar] [CrossRef]
- Shcherbinin, D.; Rybin, V.; Rudyi, S.; Dubavik, A.; Cherevkov, S.; Rozhdestvensky, Y.; Ivanov, A. Charged Hybrid Microstructures in Transparent Thin-Film ITO Traps: Localization and Optical Control. Surfaces 2023, 6, 133–144. [Google Scholar] [CrossRef]
- Debatin, M.; Kröner, M.; Mikosch, J.; Trippel, S.; Morrison, N.; Reetz-Lamour, M.; Woias, P.; Wester, R.; Weidemüller, M. Planar multipole ion trap. Phys. Rev. A 2008, 77, 033422. [Google Scholar] [CrossRef]
- Wester, R. Radiofrequency multipole traps: Tools for spectroscopy and dynamics of cold molecular ions. J. Phys. B At. Mol. Opt. Phys. 2009, 42, 154001. [Google Scholar] [CrossRef]
- Thompson, R.C. Ion coulomb crystals. Contemp. Phys. 2015, 56, 63–79. [Google Scholar] [CrossRef]
- Monroe, C.; Kim, J. Scaling the ion trap quantum processor. Science 2013, 339, 1164–1169. [Google Scholar] [CrossRef] [PubMed]
- Cai, Z.; Luan, C.Y.; Ou, L.; Tu, H.; Yin, Z.; Zhang, J.N.; Kim, K. Entangling gates for trapped-ion quantum computation and quantum simulation. J. Korean Phys. Soc. 2023, 82, 882–900. [Google Scholar] [CrossRef]
- Leibfried, D.; DeMarco, B.; Meyer, V.; Lucas, D.; Barrett, M.; Britton, J.; Itano, W.M.; Jelenković, B.; Langer, C.; Rosenband, T.; et al. Experimental demonstration of a robust, high-fidelity geometric two ion-qubit phase gate. Nature 2003, 422, 412–415. [Google Scholar] [CrossRef] [PubMed]
- Sørensen, A.; Mølmer, K. Entanglement and quantum computation with ions in thermal motion. Phys. Rev. A 2000, 62, 022311. [Google Scholar] [CrossRef]
- Leung, P.H.; Brown, K.R. Entangling an arbitrary pair of qubits in a long ion crystal. Phys. Rev. A 2018, 98, 032318. [Google Scholar] [CrossRef]
- Landsman, K.A.; Wu, Y.; Leung, P.H.; Zhu, D.; Linke, N.M.; Brown, K.R.; Duan, L.; Monroe, C. Two-qubit entangling gates within arbitrarily long chains of trapped ions. Phys. Rev. A 2019, 100, 022332. [Google Scholar] [CrossRef]
- Shapira, Y.; Shaniv, R.; Manovitz, T.; Akerman, N.; Peleg, L.; Gazit, L.; Ozeri, R.; Stern, A. Theory of robust multiqubit nonadiabatic gates for trapped ions. Phys. Rev. A 2020, 101, 032330. [Google Scholar] [CrossRef]
- Wang, K.; Yu, J.F.; Wang, P.; Luan, C.; Zhang, J.N.; Kim, K. Fast multi-qubit global-entangling gates without individual addressing of trapped ions. Quantum Sci. Technol. 2022, 7, 044005. [Google Scholar] [CrossRef]
- Rudyi, S.; Vasilyev, M.; Rybin, V.; Rozhdestvensky, Y. Stability problem in 3D multipole ion traps. Int. J. Mass Spectrom. 2022, 479, 116894. [Google Scholar] [CrossRef]
- House, M. Analytic model for electrostatic fields in surface-electrode ion traps. Phys. Rev. A 2008, 78, 033402. [Google Scholar] [CrossRef]
- Wesenberg, J.H. Electrostatics of surface-electrode ion traps. Phys. Rev. A 2008, 78, 063410. [Google Scholar] [CrossRef]
- Russ, J.C. Fractal Surfaces; Springer Science & Business Media: Berlin/Heidelberg, Germany, 2013. [Google Scholar]
- Gerlich, D. Inhomogeneous RF fields: A versatile tool for the study of processes with slow ions. In State-Selected and State-to-State Ion-Molecule Reaction Dynamics. Part 1: Experiment; Wiley: Hoboken, NJ, USA, 1992; Volume 82. [Google Scholar]
- Ungureanu, V. Steepest Descent Method in the Wolfram Language and Mathematica System. In Proceedings of the The Fifth Conference of Mathematical Society of the Republic of Moldova, Chisinau, Republic of Moldova, 28 September–1 October 2019; p. 335. [Google Scholar]
- Allen, M.; Brown, G.J.; Miles, N.J. Measurement of boundary fractal dimensions: Review of current techniques. Powder Technol. 1995, 84, 1–14. [Google Scholar] [CrossRef]
- So, G.B.; So, H.R.; Jin, G.G. Enhancement of the Box-Counting Algorithm for fractal dimension estimation. Pattern Recognit. Lett. 2017, 98, 53–58. [Google Scholar] [CrossRef]
- Cherny, A.Y.; Anitas, E.; Kuklin, A.; Balasoiu, M.; Osipov, V. Scattering from generalized Cantor fractals. J. Appl. Crystallogr. 2010, 43, 790–797. [Google Scholar] [CrossRef]
- Ryjkov, V.L.; Zhao, X.; Schuessler, H.A. Simulations of the rf heating rates in a linear quadrupole ion trap. Phys. Rev. A 2005, 71, 033414. [Google Scholar] [CrossRef]
- Hughes, R.J.; James, D.F.; Gomez, J.; Gulley, M.; Holzscheiter, M.; Kwiat, P.G.; Lamoreaux, S.; Peterson, C.; Sandberg, V.; Schauer, M.; et al. The Los Alamos trapped ion quantum computer experiment. Fortschritte Der Phys. Prog. Phys. 1998, 46, 329–361. [Google Scholar] [CrossRef]
- Ballance, C.; Harty, T.; Linke, N.; Sepiol, M.; Lucas, D. High-fidelity quantum logic gates using trapped-ion hyperfine qubits. Phys. Rev. Lett. 2016, 117, 060504. [Google Scholar] [CrossRef] [PubMed]
- Guggemos, M.; Heinrich, D.; Herrera-Sancho, O.; Blatt, R.; Roos, C. Sympathetic cooling and detection of a hot trapped ion by a cold one. New J. Phys. 2015, 17, 103001. [Google Scholar] [CrossRef]
- Negnevitsky, V.; Marinelli, M.; Mehta, K.K.; Lo, H.Y.; Flühmann, C.; Home, J.P. Repeated multi-qubit readout and feedback with a mixed-species trapped-ion register. Nature 2018, 563, 527–531. [Google Scholar] [CrossRef]
- Zhu, S.L.; Monroe, C.; Duan, L.M. Trapped ion quantum computation with transverse phonon modes. Phys. Rev. Lett. 2006, 97, 050505. [Google Scholar] [CrossRef] [PubMed]
- Choi, T.; Debnath, S.; Manning, T.; Figgatt, C.; Gong, Z.X.; Duan, L.M.; Monroe, C. Optimal quantum control of multimode couplings between trapped ion qubits for scalable entanglement. Phys. Rev. Lett. 2014, 112, 190502. [Google Scholar] [CrossRef] [PubMed]
- Mølmer, K.; Sørensen, A. Multiparticle entanglement of hot trapped ions. Phys. Rev. Lett. 1999, 82, 1835. [Google Scholar] [CrossRef]
- Figgatt, C.; Ostrander, A.; Linke, N.M.; Landsman, K.A.; Zhu, D.; Maslov, D.; Monroe, C. Parallel entangling operations on a universal ion-trap quantum computer. Nature 2019, 572, 368–372. [Google Scholar] [CrossRef]
Disclaimer/Publisher’s Note: The statements, opinions and data contained in all publications are solely those of the individual author(s) and contributor(s) and not of MDPI and/or the editor(s). MDPI and/or the editor(s) disclaim responsibility for any injury to people or property resulting from any ideas, methods, instructions or products referred to in the content. |
© 2023 by the authors. Licensee MDPI, Basel, Switzerland. This article is an open access article distributed under the terms and conditions of the Creative Commons Attribution (CC BY) license (https://creativecommons.org/licenses/by/4.0/).





