Sign in to use this feature.

Years

Between: -

Subjects

remove_circle_outline
remove_circle_outline
remove_circle_outline
remove_circle_outline
remove_circle_outline

Journals

Article Types

Countries / Regions

Search Results (14)

Search Parameters:
Keywords = Menadione sodium bisulfite

Order results
Result details
Results per page
Select all
Export citation of selected articles as:
25 pages, 5685 KB  
Article
From Single-Cell and Bulk Transcriptomic Integration to Functional Verification: Triaptosis-Associated lncRNA Signature Predicts Survival and Guides Therapy in Hepatocellular Carcinoma
by Xiaolong Liu, Ziyun Zhuang, Jiaxi Cheng, Yujie Li, Duguang Li, Zhaoqi Shi, Jing Yang, Xiaoxiao Fan and Hui Lin
Pharmaceuticals 2025, 18(11), 1691; https://doi.org/10.3390/ph18111691 - 7 Nov 2025
Viewed by 459
Abstract
Background: Hepatocellular carcinoma (HCC) continues to be a major cause of cancer associated deaths worldwide, highlighting the need for new prognostic biomarkers and treatment strategies. Triaptosis, a recently characterized mode of regulated cell death, has shown potential as a therapeutic target in various [...] Read more.
Background: Hepatocellular carcinoma (HCC) continues to be a major cause of cancer associated deaths worldwide, highlighting the need for new prognostic biomarkers and treatment strategies. Triaptosis, a recently characterized mode of regulated cell death, has shown potential as a therapeutic target in various malignancies, including HCC. Nevertheless, how long non-coding RNAs (lncRNAs) regulate triaptosis, as well as their function in HCC, is still not well understood. Methods: This study integrates bioinformatics and functional validation to delineate the interplay between lncRNAs and triaptosis in HCC progression. Results: Firstly, we confirm that pharmacologically inducing triaptosis, a process centrally mediated by ROS accumulation, with menadione sodium bisulfite (MSB) can inhibit HCC growth both in vitro and in vivo. Furthermore, single-cell RNA sequencing identifies a specific elevation of the triaptosis-related gene MTM1 in malignant hepatocytes. Through systematic bioinformatics analysis of TCGA data, we develop a 5-lncRNA prognostic signature (LINC01134, HPN-AS1, DDX11-AS1, AC009283.1, AC009005.1) with superior predictive power over conventional clinical parameters. Strikingly, functional studies reveal that LINC01134 acts as a crucial oncogenic driver and its depletion suppresses proliferation, migration, and invasion while sensitizing cells to triaptosis via MTM1-mediated PI(3)P catabolism. Conclusions: Collectively, our study confirms that triaptosis is a therapeutically targetable signaling in HCC and proposes LINC01134 as a biomarker and therapeutic target, offering new insights into lncRNA-mediated regulation of cell death for precision oncology. Full article
Show Figures

Graphical abstract

19 pages, 3101 KB  
Article
Structural and Dynamic Properties of Chemically Crosslinked Mammalian and Fish Gelatin Hydrogels
by Vladislav Abramov, Ivan V. Lunev, Ilnaz T. Rakipov, Alena A. Nikiforova, Mariia A. Kazantseva, Olga S. Zueva and Yuriy F. Zuev
Appl. Biosci. 2025, 4(4), 45; https://doi.org/10.3390/applbiosci4040045 - 2 Oct 2025
Viewed by 829
Abstract
Gelatin is a collagen-derived biopolymer widely used in food, pharmaceutical and biomedical applications due to its biocompatibility and gelling ability. However, gelatin hydrogels suffer from unstable mechanical strength, limited thermal resistance and susceptibility to microbial contamination. The main aim of the present study [...] Read more.
Gelatin is a collagen-derived biopolymer widely used in food, pharmaceutical and biomedical applications due to its biocompatibility and gelling ability. However, gelatin hydrogels suffer from unstable mechanical strength, limited thermal resistance and susceptibility to microbial contamination. The main aim of the present study is to investigate the influence of gelatin cryostructuring followed by photo-induced menadione sodium bisulfite (MSB) chemical crosslinking on the structural and functional characteristics of mammalian and fish gelatin hydrogels. The integration of scanning electron microscopy, dielectric spectroscopy and rheological experiments provides a comprehensive view of the of molecular, morphological and mechanical properties of gelatin hydrogels under photo-induced chemical crosslinking. The SEM results revealed that crosslinked hydrogels are characterized by enlarged pores compared to non-crosslinked systems. For mammalian gelatin, multiple pores with thin partitions are formed, giving a dense and stable polymer network. For fish gelatin, large oval pores with thickened partitions are formed, preserving a less stable ordered architecture. Rheological data show strong reinforcement of the elastic and thermal stability of mammalian gelatin. The crosslinked mammalian system maintains the gel state at higher temperatures. Fish gelatin exhibits reduced elasticity retention even after crosslinking because of a different amino acid composition. Dielectric results show that crosslinking increases the portion of bound water in hydrogels considerably, but for fish gelatin, bound water is more mobile, which may explain weaker mechanical properties. Full article
Show Figures

Figure 1

15 pages, 1311 KB  
Article
Effect of Warfarin on Lifespan and Oxidative Stress Tolerance of Drosophila melanogaster
by Anna Lavrenova, Oleg Klychnikov, Vitaliy Ioutsi, Igor Rodin, Oksana Luneva and Lidia Nefedova
Int. J. Mol. Sci. 2025, 26(10), 4808; https://doi.org/10.3390/ijms26104808 - 17 May 2025
Cited by 2 | Viewed by 1088
Abstract
In vertebrates, vitamin K is a cofactor for the gamma-glutamyl carboxylase (GGCX) involved in the carboxylation of glutamic acid residues. During the vitamin K cycle, vitamin K is oxidised by GGCX, and then reduced by vitamin K epoxide reductase (VKOR), which is inhibited [...] Read more.
In vertebrates, vitamin K is a cofactor for the gamma-glutamyl carboxylase (GGCX) involved in the carboxylation of glutamic acid residues. During the vitamin K cycle, vitamin K is oxidised by GGCX, and then reduced by vitamin K epoxide reductase (VKOR), which is inhibited by the synthetic coumarin warfarin. GGCX and VKOR are present in Drosophila melanogaster, but the existence of a vitamin K cycle remains unproven. Semi-lethal concentrations (LC50) of K3, menadione sodium bisulfite (MSB), and warfarin to neutralise the negative effect of MSB were selected for the Drosophila cultivation medium. LC-MS analysis was used for vitamin K measurement in flies’ extracts. The EPR method and RT-PCR were used for ROS level measurement and gene transcription assessment, respectively. The LC50 of MSB in the medium resulted in a more than 20-fold increase in endogenous K2 in flies, demonstrating the mechanism of K3-to-K2 conversion. Administration of 1 mM warfarin in the medium with MSB completely neutralised its negative effect on viability. Developed flies had decreased K2 level, confirming the existence of a vitamin K cycle, and both reduced ROS level and hsp22 gene transcription. The biochemical pathways affected by elevated K2 concentrations involves both elements of the vitamin K cycle and the adaptive mitochondrial antioxidant system. Full article
(This article belongs to the Special Issue Drosophila: A Versatile Model in Biology and Medicine—2nd Edition)
Show Figures

Figure 1

16 pages, 2425 KB  
Article
Resynthesis of Damaged Fe-S Cluster Proteins Protects Aspergillus fumigatus Against Oxidative Stress in the Absence of Mn-Superoxide Dismutase
by Klaudia Pákozdi, Károly Antal, Kitti Pázmándi, Márton Miskei, Zsuzsa Szabó, István Pócsi and Tamás Emri
J. Fungi 2024, 10(12), 823; https://doi.org/10.3390/jof10120823 - 27 Nov 2024
Cited by 1 | Viewed by 1735
Abstract
The importance of manganese superoxide dismutase (Mn-SOD), an evolutionarily ancient metalloenzyme that maintains the integrity and function of mitochondria, was studied in oxidative stress-treated Aspergillus fumigatus cultures. Deletion of the Mn-SOD gene (sodB) increased both the menadione sodium bisulfite (MSB)-elicited oxidative [...] Read more.
The importance of manganese superoxide dismutase (Mn-SOD), an evolutionarily ancient metalloenzyme that maintains the integrity and function of mitochondria, was studied in oxidative stress-treated Aspergillus fumigatus cultures. Deletion of the Mn-SOD gene (sodB) increased both the menadione sodium bisulfite (MSB)-elicited oxidative stress and the deferiprone (DFP)-induced iron limitation stress sensitivity of the strain. Moreover, DFP treatment enhanced the MSB sensitivity of both the gene deletion mutant and the reference strain. The lack of SodB also increased the susceptibility of conidia to killing by human macrophages. Concurring with the stress sensitivity data, RNS sequencing data also demonstrated that the deletion of sodB largely altered the MSB-induced oxidative stress response. The difference between the oxidative stress responses of the two strains manifested mainly in the intensity of the response. Importantly, upregulation of “Ribosome protein”, “Iron uptake”, and “Fe-S cluster assembly” genes, alterations in the transcription of “Fe-S cluster protein” genes, and downregulation of “Heme binding protein” genes under MSB stress were characteristic only for the ΔsodB gene deletion mutant. We assume that the elevated superoxide level generated by MSB treatment may have destroyed Fe-S cluster proteins of mitochondria in the absence of SodB. This intensified the resynthesis of Fe-S cluster proteins, which was accompanied with enhanced translation and iron acquisition, leading to increased DFP sensitivity. Full article
(This article belongs to the Section Fungal Genomics, Genetics and Molecular Biology)
Show Figures

Figure 1

15 pages, 3223 KB  
Article
Global Transcriptomic Changes Elicited by sodB Deletion and Menadione Exposure in Aspergillus nidulans
by Klaudia Pákozdi, Tamás Emri, Károly Antal and István Pócsi
J. Fungi 2023, 9(11), 1060; https://doi.org/10.3390/jof9111060 - 30 Oct 2023
Cited by 1 | Viewed by 2267
Abstract
Manganese superoxide dismutases (MnSODs) play a pivotal role in the preservation of mitochondrial integrity and function in fungi under various endogenous and exogenous stresses. Deletion of Aspergillus nidulans mnSOD/SodB increased oxidative stress sensitivity and apoptotic cell death rates as well as affected antioxidant [...] Read more.
Manganese superoxide dismutases (MnSODs) play a pivotal role in the preservation of mitochondrial integrity and function in fungi under various endogenous and exogenous stresses. Deletion of Aspergillus nidulans mnSOD/SodB increased oxidative stress sensitivity and apoptotic cell death rates as well as affected antioxidant enzyme and sterigmatocystin productions, respiration, conidiation and the stress tolerance of conidiospores. The physiological consequences of the lack of sodB were more pronounced during carbon starvation than in the presence of glucose. Lack of SodB also affected the changes in the transcriptome, recorded by high-throughput RNA sequencing, in menadione sodium bisulfite (MSB)-exposed, submerged cultures supplemented with glucose. Surprisingly, the difference between the global transcriptional changes of the ΔsodB mutant and the control strain were relatively small, indicating that the SodB-dependent maintenance of mitochondrial integrity was not essential under these experimental conditions. Owing to the outstanding physiological flexibility of the Aspergilli, certain antioxidant enzymes and endogenous antioxidants together with the reduction in mitochondrial functions compensated well for the lack of SodB. The lack of sodB reduced the growth of surface cultures more than of the submerged culture, which should be considered in future development of fungal disinfection methods. Full article
(This article belongs to the Special Issue Stress Research in Filamentous Fungi and Yeasts)
Show Figures

Figure 1

16 pages, 1804 KB  
Article
Genome-Wide Gene Expression Analyses of the AtfA/AtfB-Mediated Menadione Stress Response in Aspergillus nidulans
by Beatrix Kocsis, Mi-Kyung Lee, Károly Antal, Jae-Hyuk Yu, István Pócsi, Éva Leiter and Tamás Emri
Cells 2023, 12(3), 463; https://doi.org/10.3390/cells12030463 - 31 Jan 2023
Cited by 7 | Viewed by 2890
Abstract
The bZIP transcription factors (TFs) govern regulation of development, secondary metabolism, and various stress responses in filamentous fungi. In this work, we carried out genome-wide expression studies employing Illumina RNAseq to understand the roles of the two bZIP transcription factors AtfA and AtfB [...] Read more.
The bZIP transcription factors (TFs) govern regulation of development, secondary metabolism, and various stress responses in filamentous fungi. In this work, we carried out genome-wide expression studies employing Illumina RNAseq to understand the roles of the two bZIP transcription factors AtfA and AtfB in Aspergillus nidulans. Comparative analyses of transcriptomes of control, ΔatfA, ΔatfB, and ΔatfAΔatfB mutant strains were performed. Dependence of a gene on AtfA (AtfB) was decided by its differential downregulation both between the reference and ΔatfAatfB) strains and between the ΔatfBatfA) and the ΔatfAΔatfB strains in vegetatively grown cells (mycelia) and asexual spores (conidia) of menadione sodium bisulfite (MSB)-treated or untreated cultures. As AtfA is the primary bZIP TF governing stress-response in A. nidulans, the number of differentially expressed genes for ΔatfA was significantly higher than for ΔatfB in both mycelial and conidial samples, and most of the AtfB-dependent genes showed AtfA dependence, too. Moreover, the low number of genes depending on AtfB but not on AtfA can be a consequence of ΔatfA leading to downregulation of atfB expression. Conidial samples showed much higher abundance of atfA and atfB mRNAs and more AtfA- and AtfB-affected genes than mycelial samples. In the presence of MSB, the number of AtfB- (but not of AtfA-) affected genes decreased markedly, which was accompanied with decreased mRNA levels of atfB in MSB-treated mycelial (reference strain) and conidial (ΔatfA mutant) samples. In mycelia, the overlap between the AtfA-dependent genes in MSB-treated and in untreated samples was low, demonstrating that distinct genes can be under AtfA control under different conditions. Carbohydrate metabolism genes were enriched in the set of AtfA-dependent genes. Among them, AtfA-dependence of glycolytic genes in conidial samples was the most notable. Levels of transcripts of certain secondary metabolitic gene clusters, such as the Emericellamide cluster, also showed AtfA-dependent regulation. Genes encoding catalase and histidine-containing phosphotransfer proteins showed AtfA-dependence under all experimental conditions. There were 23 AtfB-dependent genes that did not depend on AtfA under any of our experimental conditions. These included a putative α-glucosidase (agdB), a putative α-amylase, calA, which is involved in early conidial germination, and an alternative oxidase. In summary, in A. nidulans there is a complex interaction between the two bZIP transcription factors, where AtfA plays the primary regulatory role. Full article
(This article belongs to the Special Issue State-of-Art in Aspergillus)
Show Figures

Figure 1

23 pages, 2605 KB  
Article
The Negative Effect of Protein Phosphatase Z1 Deletion on the Oxidative Stress Tolerance of Candida albicans Is Synergistic with Betamethasone Exposure
by Ágnes Jakab, Tamás Emri, Kinga Csillag, Anita Szabó, Fruzsina Nagy, Edina Baranyai, Zsófi Sajtos, Dóra Géczi, Károly Antal, Renátó Kovács, Krisztina Szabó, Viktor Dombrádi and István Pócsi
J. Fungi 2021, 7(7), 540; https://doi.org/10.3390/jof7070540 - 6 Jul 2021
Cited by 6 | Viewed by 3226
Abstract
The glucocorticoid betamethasone (BM) has potent anti-inflammatory and immunosuppressive effects; however, it increases the susceptibility of patients to superficial Candida infections. Previously we found that this disadvantageous side effect can be counteracted by menadione sodium bisulfite (MSB) induced oxidative stress treatment. The fungus [...] Read more.
The glucocorticoid betamethasone (BM) has potent anti-inflammatory and immunosuppressive effects; however, it increases the susceptibility of patients to superficial Candida infections. Previously we found that this disadvantageous side effect can be counteracted by menadione sodium bisulfite (MSB) induced oxidative stress treatment. The fungus specific protein phosphatase Z1 (CaPpz1) has a pivotal role in oxidative stress response of Candida albicans and was proposed as a potential antifungal drug target. The aim of this study was to investigate the combined effects of CaPPZ1 gene deletion and MSB treatment in BM pre-treated C. albicans cultures. We found that the combined treatment increased redox imbalance, enhanced the specific activities of antioxidant enzymes, and reduced the growth in cappz1 mutant (KO) strain. RNASeq data demonstrated that the presence of BM markedly elevated the number of differentially expressed genes in the MSB treated KO cultures. Accumulation of reactive oxygen species, increased iron content and fatty acid oxidation, as well as the inhibiting ergosterol biosynthesis and RNA metabolic processes explain, at least in part, the fungistatic effect caused by the combined stress exposure. We suggest that the synergism between MSB treatment and CaPpz1 inhibition could be considered in developing of a novel combinatorial antifungal strategy accompanying steroid therapy. Full article
(This article belongs to the Special Issue Alternative Therapeutic Approaches of Candida Infections)
Show Figures

Figure 1

10 pages, 5833 KB  
Brief Report
Effects of Sources and Forms of Vitamin K3 on Its Storage Stability in Vitamin Premixes or Vitamin Trace Mineral Premixes
by Huakai Wang, Pan Yang, Longxian Li, Nan Zhang, Yongxi Ma and Xuexin Xu
Animals 2021, 11(4), 1140; https://doi.org/10.3390/ani11041140 - 16 Apr 2021
Cited by 4 | Viewed by 3656
Abstract
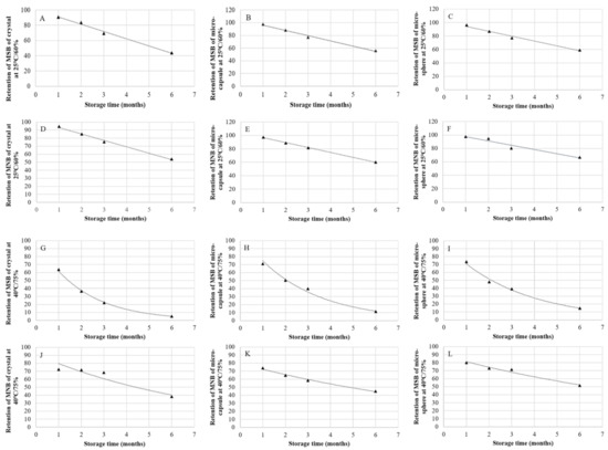
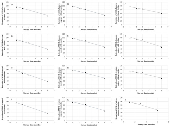
Six types of vitamin K3 (VK3); two sources (menadione sodium bisulfite, MSB; menadione nicotinamide bisulfite, MNB), and three different forms (crystal, micro-capsule, and micro-sphere) were used to determine the retention of VK3 in vitamin premixes (Experiment 1) or vitamin [...] Read more.
Six types of vitamin K3 (VK3); two sources (menadione sodium bisulfite, MSB; menadione nicotinamide bisulfite, MNB), and three different forms (crystal, micro-capsule, and micro-sphere) were used to determine the retention of VK3 in vitamin premixes (Experiment 1) or vitamin trace mineral (VTM) premixes (Experiment 2) after 1, 2, 3, and 6 months of storage. The retention of VK3 in vitamin premixes was evaluated at 25 °C/60% relative humidity or 40 °C/75% relative humidity in an incubator in Experiment 1 and in VTM premixes (choline chloride: 0 vs. 16,000 mg/kg) stored at room temperature in Experiment 2. The VK3 retention in vitamin premix or VTM premix decreased significantly with the extension of storage time (p < 0.05). In Experiment 1, the VK3 retention was higher in the 25 °C/60% incubator (56%) than in the 40 °C/75% incubator (28%). The MNB retention (52%) was higher than MSB retention (32%). The retention of VK3 in micro-capsules (43%) or micro-spheres (48%) was higher than the crystal form (35%) after six months of storage. In Experiment 2, there was no difference between the retention of MSB (49%) or MNB (47%). The retention of VK3 of micro-capsule (51%) or micro-sphere (54%) was higher than that of crystal form (40%). The VK3 retention was higher in the choline-free group (51%) than in the choline group (47%) after six months of storage. Finally, the predicted equations of VK3 retention with storage time in vitamin premixes or VTM premixes were established. The R2 of the prediction equations was ≥0.9005, indicating that time is an important factor in predicting VK3 retention. In conclusion, the higher temperature-relative humidity, choline had negative effects on VK3 retention during premix storage. MNB retention was higher than MSB during storage of vitamin premix. The encapsulated forms of VK3, micro-capsules and micro-spheres, could improve VK3 storage stability in vitamin premix and VTM premix. Full article
(This article belongs to the Section Animal Nutrition)
Show Figures

Figure 1

8 pages, 219 KB  
Brief Report
Effects of Sources or Formulations of Vitamin K3 on Its Stability during Extrusion or Pelleting in Swine Feed
by Huakai Wang, Pan Yang, Longxian Li, Nan Zhang and Yongxi Ma
Animals 2021, 11(3), 633; https://doi.org/10.3390/ani11030633 - 27 Feb 2021
Cited by 4 | Viewed by 2575
Abstract
Two studies were conducted to determine the stability of vitamin K3 (VK3) in swine diets during extrusion or pelleting. The two sources were menadione sodium bisulfite (MSB) and menadione nicotinamide bisulfite (MNB), and the three formulations were crystal micro-capsule formulation [...] Read more.
Two studies were conducted to determine the stability of vitamin K3 (VK3) in swine diets during extrusion or pelleting. The two sources were menadione sodium bisulfite (MSB) and menadione nicotinamide bisulfite (MNB), and the three formulations were crystal micro-capsule formulation and micro-sphere formulation. The recovery of six types of VK3 in swine diets was investigated after extrusion at 100 °C or 135 °C in Experiment 1. The recovery of six types of VK3 was investigated when the diets were pelleted at 60 °C (low temperature; LT) or 80 °C (high temperature; HT) and the length to diameter ratios were 5.2:1 (low length to diameter ratio; LR) or 7.2:1 (high length to diameter ratio; HR) in Experiment 2. In Experiment 1, MNB recovery (72.74%) was higher than MSB recovery (64.67%) after extrusion, while recovery of VK3 of crystal (74.16%) was higher than the recovery of micro-capsule (65.25%) and micro-sphere (66.72%). The recovery of VK3 (70.88%) was higher when extruded at 100 °C than that at 135 °C (66.54%). In Experiment 2, MNB recovery (86.21%) was higher than MSB recovery (75.49%) after pelleting, while the recovery of VK3 of micro-capsule (85.06%) was higher than the recovery of crystal (81.40%) and micro-sphere (76.09%). The recovery of VK3 (75.50%) was lower after HTHR pelleting than LTLR (83.62%), LTHR (81.52%) or HTLR (82.76%) treatment. Our results show that MNB has greater stability than MSB. VK3 of crystal or VK3 of micro-capsule were recommended for extrusion or pelleting, respectively. Full article
(This article belongs to the Section Animal Nutrition)
17 pages, 3244 KB  
Article
The bZIP Transcription Factor AflRsmA Regulates Aflatoxin B1 Biosynthesis, Oxidative Stress Response and Sclerotium Formation in Aspergillus flavus
by Xiuna Wang, Wenjie Zha, Linlin Liang, Opemipo Esther Fasoyin, Lihan Wu and Shihua Wang
Toxins 2020, 12(4), 271; https://doi.org/10.3390/toxins12040271 - 23 Apr 2020
Cited by 27 | Viewed by 4269
Abstract
Fungal secondary metabolites play important roles not only in fungal ecology but also in humans living as beneficial medicine or harmful toxins. In filamentous fungi, bZIP-type transcription factors (TFs) are associated with the proteins involved in oxidative stress response and secondary metabolism. In [...] Read more.
Fungal secondary metabolites play important roles not only in fungal ecology but also in humans living as beneficial medicine or harmful toxins. In filamentous fungi, bZIP-type transcription factors (TFs) are associated with the proteins involved in oxidative stress response and secondary metabolism. In this study, a connection between a bZIP TF and oxidative stress induction of secondary metabolism is uncovered in an opportunistic pathogen Aspergillus flavus, which produces carcinogenic and mutagenic aflatoxins. The bZIP transcription factor AflRsmA was identified by a homology research of A. flavus genome with the bZIP protein RsmA, involved in secondary metabolites production in Aspergillus nidulans. The AflrsmA deletion strain (ΔAflrsmA) displayed less sensitivity to the oxidative reagents tert-Butyl hydroperoxide (tBOOH) in comparison with wild type (WT) and AflrsmA overexpression strain (AflrsmAOE), while AflrsmAOE strain increased sensitivity to the oxidative reagents menadione sodium bisulfite (MSB) compared to WT and ΔAflrsmA strains. Without oxidative treatment, aflatoxin B1 (AFB1) production of ΔAflrsmA strains was consistent with that of WT, but AflrsmAOE strain produced more AFB1 than WT; tBOOH and MSB treatment decreased AFB1 production of ΔAflrsmA compared to WT. Besides, relative to WT, ΔAflrsmA strain decreased sclerotia, while AflrsmAOE strain increased sclerotia. The decrease of AFB1 by ΔAflrsmA but increase of AFB1 by AflrsmAOE was on corn. Our results suggest that AFB1 biosynthesis is regulated by AflRsmA by oxidative stress pathways and provide insights into a possible function of AflRsmA in mediating AFB1 biosynthesis response host defense in pathogen A. flavus. Full article
(This article belongs to the Section Mycotoxins)
Show Figures

Figure 1

12 pages, 1800 KB  
Article
Oxidative Stress Response of Aspergillus oryzae Induced by Hydrogen Peroxide and Menadione Sodium Bisulfite
by Huanhuan Shao, Yayi Tu, Yijing Wang, Chunmiao Jiang, Long Ma, Zhihong Hu, Jiangfan Wang, Bin Zeng and Bin He
Microorganisms 2019, 7(8), 225; https://doi.org/10.3390/microorganisms7080225 - 30 Jul 2019
Cited by 32 | Viewed by 5679
Abstract
Oxidative stress response protects organisms from deleterious effects of reactive oxygen species (ROS), which can damage cellular components and cause disturbance of the cellular homeostasis. Although the defensive biochemical mechanisms have been extensively studied in yeast and other filamentous fungi, little information is [...] Read more.
Oxidative stress response protects organisms from deleterious effects of reactive oxygen species (ROS), which can damage cellular components and cause disturbance of the cellular homeostasis. Although the defensive biochemical mechanisms have been extensively studied in yeast and other filamentous fungi, little information is available about Aspergillus oryzae. We investigated the effect of two oxidant agents (menadione sodium bisulfite, MSB, and hydrogen peroxide, H2O2) on cellular growth and antioxidant enzyme induction in A. oryzae. Results indicated severe inhibition of biomass and conidia production when high concentration of oxidants was used. Transcriptomic analysis showed an up-regulated expression of genes involved in oxidoreduction, such as catalase, glutathione peroxidase, and superoxide dismutase. In addition, it was observed that oxidative stress stimuli enhanced the expression of Yap1 and Skn7 transcription factors. Further, metabolomic analysis showed that glutathione content was increased in the oxidative treatments when compared with the control. Moreover, the content of unsaturated fatty acid decreased with oxidative treatment accompanying with the down-regulated expression of genes involved in linoleic acid biosynthesis. This study provided a global transcriptome characterization of oxidative stress response in A. oryzae, and can offer multiple target genes for oxidative tolerance improvement via genetic engineering. Full article
(This article belongs to the Special Issue Recent Advances in Applied Microbiology)
Show Figures

Figure 1

12 pages, 1462 KB  
Article
Population Genetic and Functional Analysis of a cis-Regulatory Polymorphism in the Drosophila melanogaster Metallothionein A gene
by Timothy J. S. Ramnarine, Amanda Glaser-Schmitt, Ana Catalán and John Parsch
Genes 2019, 10(2), 147; https://doi.org/10.3390/genes10020147 - 14 Feb 2019
Cited by 8 | Viewed by 4491
Abstract
Although gene expression can vary extensively within and among populations, the genetic basis of this variation and the evolutionary forces that maintain it are largely unknown. In Drosophila melanogaster, a 49-bp insertion/deletion (indel) polymorphism in the Metallothionein A (MtnA) gene [...] Read more.
Although gene expression can vary extensively within and among populations, the genetic basis of this variation and the evolutionary forces that maintain it are largely unknown. In Drosophila melanogaster, a 49-bp insertion/deletion (indel) polymorphism in the Metallothionein A (MtnA) gene is associated with variation in MtnA expression and oxidative stress tolerance. To better understand the functional and evolutionary significance of this polymorphism, we investigated it in several worldwide populations. In a German population, the deletion was present at a high and stable frequency over multiple seasons and years, and was associated with increased MtnA expression. There was, however, no evidence that the polymorphism was maintained by overdominant, seasonally fluctuating, or sexually antagonistic selection. The deletion was rare in a population from the species’ ancestral range in sub-Saharan Africa and is likely the result of non-African admixture, suggesting that it spread to high frequency following the species’ out-of-Africa expansion. Using data from a North American population, we found that the deletion was associated with MtnA expression and tolerance to oxidative stress induced by menadione sodium bisulfite. Our results are consistent with the deletion being selectively favored in temperate populations due to the increased MtnA expression and oxidative stress tolerance that it confers. Full article
(This article belongs to the Special Issue Evolutionary Genetics of Gene Expression)
Show Figures

Figure 1

18 pages, 4506 KB  
Article
Combined Effect of Bortezomib and Menadione Sodium Bisulfite on Proteasomes of Tumor Cells: The Dramatic Decrease of Bortezomib Toxicity in a Preclinical Trial
by Tatiana M. Astakhova, Alexey V. Morozov, Pavel A. Erokhov, Maria I. Mikhailovskaya, Sergey B. Akopov, Natalia I. Chupikova, Ruslan R. Safarov and Natalia P. Sharova
Cancers 2018, 10(10), 351; https://doi.org/10.3390/cancers10100351 - 25 Sep 2018
Cited by 15 | Viewed by 4473
Abstract
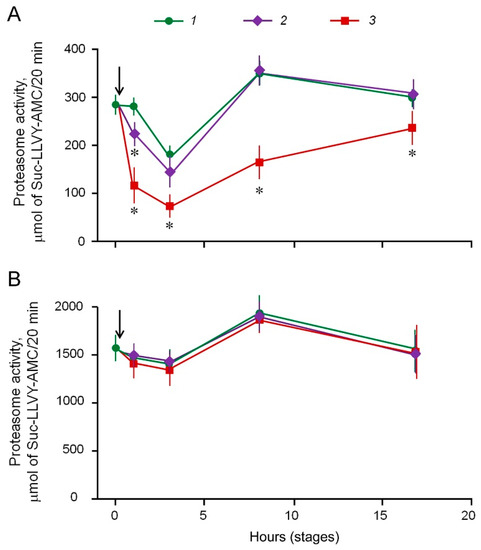
Tumor growth is associated with elevated proteasome expression and activity. This makes proteasomes a promising target for antitumor drugs. Current antitumor drugs such as bortezomib that inhibit proteasome activity have significant side effects. The purpose of the present study was to develop effective [...] Read more.
Tumor growth is associated with elevated proteasome expression and activity. This makes proteasomes a promising target for antitumor drugs. Current antitumor drugs such as bortezomib that inhibit proteasome activity have significant side effects. The purpose of the present study was to develop effective low-toxic antitumor compositions with combined effects on proteasomes. For compositions, we used bortezomib in amounts four and ten times lower than its clinical dose, and chose menadione sodium bisulfite (MSB) as the second component. MSB is known to promote oxidation of NADH, generate superoxide radicals, and as a result damage proteasome function in cells that ensure the relevance of MSB use for the composition development. The proteasome pool was investigated by the original native gel electrophoresis method, proteasome chymotrypsin-like activity—by Suc-LLVY-AMC-hydrolysis. For the compositions, we detected 10 and 20 μM MSB doses showing stronger proteasome-suppressing and cytotoxic in cellulo effects on malignant cells than on normal ones. MSB indirectly suppressed 26S-proteasome activity in cellulo, but not in vitro. At the same time, MSB together with bortezomib displayed synergetic action on the activity of all proteasome forms in vitro as well as synergetic antitumor effects in cellulo. These findings determine the properties of the developed compositions in vivo: antitumor efficiency, higher (against hepatocellular carcinoma and mammary adenocarcinoma) or comparable to bortezomib (against Lewis lung carcinoma), and drastically reduced toxicity (LD50) relative to bortezomib. Thus, the developed compositions represent a novel generation of bortezomib-based anticancer drugs combining high efficiency, low general toxicity, and a potentially expanded range of target tumors. Full article
Show Figures

Figure 1

15 pages, 191 KB  
Article
Validation of a Stability-Indicating Hydrophilic Interaction Liquid Chromatographic Method for the Quantitative Determination of Vitamin K3 (Menadione Sodium Bisulfite) in Injectable Solution Formulation
by Mashhour M. GHANEM, Saleh A. ABU-LAFI and Hussein O. HALLAK
Sci. Pharm. 2013, 81(3), 733-748; https://doi.org/10.3797/scipharm.1303-05 - 9 May 2013
Cited by 1 | Viewed by 2345
Abstract
A simple, specific, accurate, and stability-indicating method was developed and validated for the quantitative determination of menadione sodium bisulfite in the injectable solution formulation. The method is based on zwitterionic hydrophilic interaction liquid chromatography (ZIC-HILIC) coupled with a photodiode array detector. The desired [...] Read more.
A simple, specific, accurate, and stability-indicating method was developed and validated for the quantitative determination of menadione sodium bisulfite in the injectable solution formulation. The method is based on zwitterionic hydrophilic interaction liquid chromatography (ZIC-HILIC) coupled with a photodiode array detector. The desired separation was achieved on the ZIC-HILIC column (250 mm × 4.6 mm, 5 μm) at 25°C temperature. The optimized mobile phase consisted of an isocratic solvent mixture of 200mM ammonium acetate (NH4AC) solution and acetonitrile (ACN) (20:80; v/v) pH-adjusted to 5.7 by glacial acetic acid. The mobile phase was fixed at 0.5 ml/min and the analytes were monitored at 261 nm using a photodiode array detector. The effects of the chromatographic conditions on the peak retention, peak USP tailing factor, and column efficiency were systematically optimized. Forced degradation experi-ments were carried out by exposing menadione sodium bisulfite standard and the injectable solution formulation to thermal, photolytic, oxidative, and acid-base hydrolytic stress conditions. The degradation products were well-resolved from the main peak and the excipients, thus proving that the method is a reliable, stability-indicating tool. The method was validated as per ICH and USP guidelines (USP34/NF29) and found to be adequate for the routine quantitative estimation of menadione sodium bisulfite in commercially available menadione sodium bisulfite injectable solution dosage forms. Full article
Back to TopTop