Sign in to use this feature.

Years

Between: -

Subjects

remove_circle_outline
remove_circle_outline
remove_circle_outline
remove_circle_outline
remove_circle_outline
remove_circle_outline
remove_circle_outline
remove_circle_outline
remove_circle_outline

Journals

remove_circle_outline
remove_circle_outline
remove_circle_outline
remove_circle_outline
remove_circle_outline
remove_circle_outline
remove_circle_outline
remove_circle_outline

Article Types

Countries / Regions

remove_circle_outline
remove_circle_outline
remove_circle_outline
remove_circle_outline
remove_circle_outline

Search Results (342)

Search Parameters:
Keywords = MYH3

Order results
Result details
Results per page
Select all
Export citation of selected articles as:
26 pages, 11543 KB  
Article
Screening and Validation of LTBP1 as a Key Target of Oxymatrine in Inhibiting Cardiac Fibroblast Differentiation Under High Glucose Conditions: In Vitro and Bioinformatic Studies
by Lianqing Tian, Shiquan Gan, Youqi Du, Chaowen Long, Churui Chang and Xiangchun Shen
Int. J. Mol. Sci. 2026, 27(8), 3481; https://doi.org/10.3390/ijms27083481 - 13 Apr 2026
Viewed by 226
Abstract
Diabetic cardiomyopathy (DCM) features progressive fibrotic remodeling, but the shared molecular circuitry connecting diabetes mellitus (DM) to cardiomyopathy (CM) remains unclear. We integrated three DM- and three CM-related Gene Expression Omnibus (GEO) datasets and corrected batch effects with sva, verified by violin plots, [...] Read more.
Diabetic cardiomyopathy (DCM) features progressive fibrotic remodeling, but the shared molecular circuitry connecting diabetes mellitus (DM) to cardiomyopathy (CM) remains unclear. We integrated three DM- and three CM-related Gene Expression Omnibus (GEO) datasets and corrected batch effects with sva, verified by violin plots, principal component analysis (PCA), and silhouette coefficients computed on all common genes (DM: 0.9489 to −0.1016; CM: 0.9693 to −0.045; PC1/PC2 inter-batch differences abolished after normalization). Differential expression analysis identified 2562 DM Differentially expressed genes (DEGs) and 1414 CM DEGs, and their intersection yielded 91 common DEGs (51 upregulated, 40 downregulated). Protein–protein interaction (PPI) analysis prioritized 25 hub genes, whose enrichment profiles implicated insulin resistance/insulin signaling and adrenergic signaling in cardiomyocytes. TRRUST-based inference further defined a regulatory network centered on seven key genes (HIF-1α, ACTN4, ABCB1, LTBP1, CLU, TIMP2, and MYH11). To nominate a candidate target of oxymatrine (OMT), we performed docking and molecular dynamics (MD) simulations for representative complexes; OMT showed the most stable interaction with LTBP1, maintaining a consistently short pocket distance (~0.2 nm), the highest contact frequency, and the lowest MM/PBSA binding free energy (−15.32 kcal/mol), with favorable contributions dominated by van der Waals and nonpolar solvation terms. In primary cardiac fibroblasts (CFs), high glucose (HG, 30 mM glucose) induced proliferative and profibrotic activation, whereas OMT (0.4–0.8 mM) reduced HG-driven proliferation without detectable toxicity below 1.2 mM, suppressed FN, collagen I/III, and α-SMA expression, and inhibited migration. OMT also normalized HG-induced cell-cycle skewing by restoring G0/G1-phase occupancy and reducing S-phase entry, with effects comparable to metformin. Finally, HG increased LTBP1 expression and upregulated SMAD3/SMAD4, while OMT attenuated LTBP1 induction and suppressed downstream TGF-β/SMAD activation. Together, these data integrate cross-dataset transcriptomics with mechanistic validation to position LTBP1 as a putative antifibrotic node targeted by OMT, supporting inhibition of the LTBP1/TGF-β/SMAD axis as a candidate strategy to counter DCM-associated fibrosis. Full article
(This article belongs to the Special Issue Applications of Bioinformatics in Human Disease)
18 pages, 3312 KB  
Article
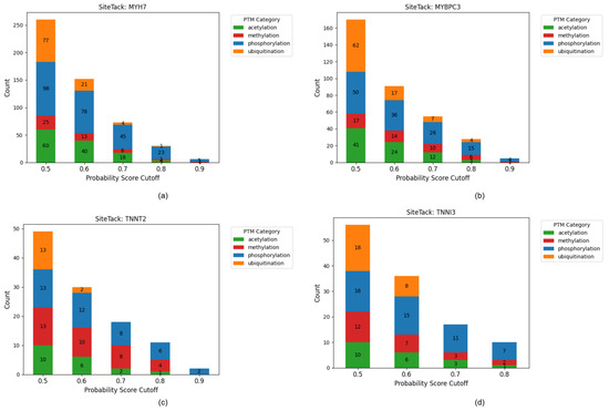
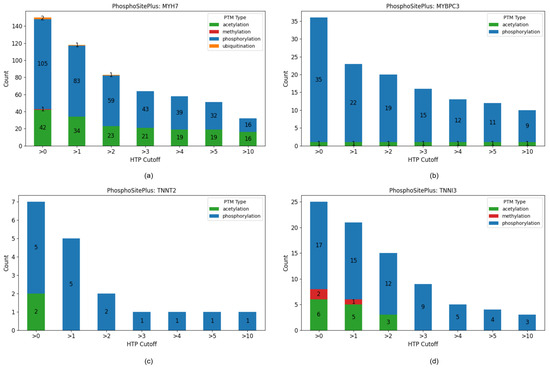
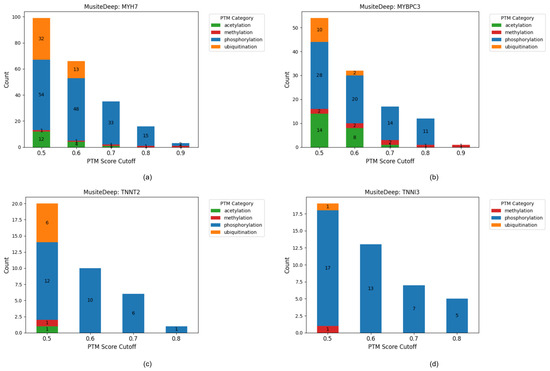
Report on the Post-Translational Modifications (PTMs) Prediction in Hypertrophic Cardiomyopathy-Associated Proteins MYH7, MYBPC3, TNNT2, and TNNI3, and Five Unknown PTMs in MYH7 (K129, K1451) and MYBPC3 (K14, R44, T705)
by Natasha Trajkovska, Lenche Jovova and Done Stojanov
Cardiogenetics 2026, 16(2), 7; https://doi.org/10.3390/cardiogenetics16020007 - 2 Apr 2026
Viewed by 262
Abstract
In this study, we have performed computational PTM analysis on a panel of hypertrophic cardiomyopathy (HCM)-associated proteins: MYH7, MYBPC3, TNNT2, and TNNI3. We aimed to benchmark the prediction of PTM sites of three ML-based tools: MusiteDeep, PTMGPT2, and SiteTack, using PhosphoSitePlus as a [...] Read more.
In this study, we have performed computational PTM analysis on a panel of hypertrophic cardiomyopathy (HCM)-associated proteins: MYH7, MYBPC3, TNNT2, and TNNI3. We aimed to benchmark the prediction of PTM sites of three ML-based tools: MusiteDeep, PTMGPT2, and SiteTack, using PhosphoSitePlus as a reference for true positives. Notably, because the highest precision tool varied by protein and PTM type, our results indicate there is no single best tool for PTM prediction. Specifically, for HCM-associated proteins, MusiteDeep had the highest precision for MYBPC3 and MYH7; PTMGPT2 was best for TNNI3, and SiteTack for TNNT2. Examining PTM type and phosphorylation in particular, MusiteDeep had the highest precision, followed by PTMGPT2 and SiteTack. However, MusiteDeep did not identify acetylation sites, where PTMGPT2 outperformed SiteTack. Beyond these benchmarking results, we also report on five high-priority candidates for experimental validation in two HCM-associated proteins: MYH7 (K1451 acetylation, K129 methylation) and MYBPC3 (T705 phosphorylation, K14 acetylation, R44 methylation). Full article
(This article belongs to the Section Molecular Genetics)
Show Figures

Figure 1

15 pages, 941 KB  
Article
A Pathogenic ROCK-Signaling Network Involving a Lysine Deletion in Myh11 Renders Carriers Susceptible to Aortic Dissection
by Hironori Okuhata, Shota Tomida, Tamaki Ishima, Ryozo Nagai and Kenichi Aizawa
Int. J. Mol. Sci. 2026, 27(7), 3195; https://doi.org/10.3390/ijms27073195 - 31 Mar 2026
Viewed by 329
Abstract
Familial thoracic aortic aneurysm and dissection (FTAAD), caused by the pathogenic Myh11 K1256del variant, is characterized by impaired aortic contractility; however, how reduced contractility predisposes the aorta to dissection remains incompletely understood. In this study, we performed a data-driven trans-omic upstream analysis using [...] Read more.
Familial thoracic aortic aneurysm and dissection (FTAAD), caused by the pathogenic Myh11 K1256del variant, is characterized by impaired aortic contractility; however, how reduced contractility predisposes the aorta to dissection remains incompletely understood. In this study, we performed a data-driven trans-omic upstream analysis using Genome Enhancer to identify key regulatory mechanisms in aortas from Myh11 K1256del mice under baseline conditions, without exposure to exogenous pathological stimuli. Transcriptome analysis revealed enrichment of genes related to smooth muscle contraction and regulation of myosin light chain phosphatase activity. Upstream computational analysis of regulatory regions identified nuclear factor of activated T cells 1 and lymphoid enhancer-binding factor 1 as major transcription factors, and further highlighted Rho-associated, coiled-coil-containing protein kinase 1 (ROCK1) as a predicted central regulator of the dysregulated transcriptional network. Druggability analysis suggested ROCK1 and the JunB proto-oncogene AP-1 transcription factor subunit as potential therapeutic targets. Furthermore, it predicted 51 candidate therapeutants, including atorvastatin, GSK-269962A, and atovaquone. These findings indicate that even in the absence of overt pathological stimulation, aortic tissue carrying the Myh11 K1256del variant exhibits a transcriptional program centered on ROCK signaling, which may prime the aorta for maladaptive responses to additional stress and may enhance susceptibility to dissection. This computational analysis requires experimental validation, but may provide a hypothesis-generating framework for development of preventive pharmacological interventions against FTAAD. Full article
(This article belongs to the Special Issue Molecular Metabolism in Human Health and Disease)
Show Figures

Figure 1

35 pages, 2912 KB  
Review
Total Thrombus-Formation Analysis System (T-TAS) in Aortopathies: A Conceptual and Potential Framework to Spatial Heterogeneity and Regional Context
by Sebastian Krych, Julia Gniewek, Marek Kolbowicz, Marta Stępień-Słodkowska, Maria Adamczyk, Tomasz Hrapkowicz and Paweł Kowalczyk
Int. J. Mol. Sci. 2026, 27(7), 3144; https://doi.org/10.3390/ijms27073144 - 30 Mar 2026
Viewed by 1193
Abstract
Thoracic aortopathies, including aneurysm and dissection, are complex vascular disorders characterized by structural alterations of the aortic wall that disrupt normal haemodynamics. Altered shear stress, turbulent flow, and endothelial dysfunction promote thrombus formation and modulate systemic hemostasis via platelet activation and the von [...] Read more.
Thoracic aortopathies, including aneurysm and dissection, are complex vascular disorders characterized by structural alterations of the aortic wall that disrupt normal haemodynamics. Altered shear stress, turbulent flow, and endothelial dysfunction promote thrombus formation and modulate systemic hemostasis via platelet activation and the von Willebrand factor–ADAMTS13 axis. The Total Thrombus-Formation Analysis System (T-TAS) is a microfluidic, flow-dependent assay that quantitatively evaluates thrombus formation under physiological shear conditions. Although studied in various cardiovascular contexts, its application in aortopathies remains largely unexplored, and no prospective studies have validated its clinical utility. Integrating T-TAS with computational haemodynamic approaches, such as two-way fluid–structure interaction simulations, enables assessment of the interplay between blood flow, vessel wall mechanics, pulse wave propagation, and local shear patterns. Patient-specific modelling, including individualized flow profiles, pressure distributions, and wall properties, may enhance mechanistic insights. Genetic variants in Fibrillin-1 gene (FBN1), Transforming Growth Factor Beta Receptor 1/2 (TGFBR1/2), Actin Alpha 2 (ACTA 2), and Myosin Heavy Chain 11 (MYH11) further contribute to structural vascular heterogeneity and diverse systemic haemostatic phenotypes, highlighting the need for personalized assessment. T-TAS should currently be considered an exploratory research tool rather than a validated diagnostic or prognostic method. This narrative review proposes a hypothesis-generating framework integrating structural, haemodynamic, molecular, and functional perspectives. Combining flow-based thrombosis assays with advanced modelling may inform future translational studies, improve mechanistic understanding of thrombus formation, and support personalized risk stratification and management in patients with thoracic aortopathies. Full article
(This article belongs to the Special Issue Advanced Molecular Research in Thromboinflammation)
Show Figures

Graphical abstract

18 pages, 6607 KB  
Article
Engineering a Quantitative Organ-on-a-Chip Platform for Myogenic Mechanobiology
by Zepeng Zhou, Zhu Chen, Zhuojun Bai, Fengling Chen, Yujuan Huang and Yuan Guo
Bioengineering 2026, 13(3), 371; https://doi.org/10.3390/bioengineering13030371 - 23 Mar 2026
Viewed by 469
Abstract
Myogenic mechanobiology governs how mechanical cues regulate myocyte organization, alignment, and functional maturation; however, in vitro platforms that enable quantitative control and real-time readout of myogenic mechanical microenvironments remain limited. Here, we engineered a pneumatic-driven organ-on-a-chip platform integrating six parallel culture units and [...] Read more.
Myogenic mechanobiology governs how mechanical cues regulate myocyte organization, alignment, and functional maturation; however, in vitro platforms that enable quantitative control and real-time readout of myogenic mechanical microenvironments remain limited. Here, we engineered a pneumatic-driven organ-on-a-chip platform integrating six parallel culture units and a bead-embedded flexible PDMS membrane to deliver cyclic mechanical strain and enable quantitative stress–strain mapping in cardiomyocytes and skeletal muscle cells. Finite element-guided optimization ensured effective membrane deformation, and the platform generated stable and tunable cyclic strain with a strong linear relationship between applied negative pressure (50–700 mbar) and membrane stress and strain. Plasma treatment combined with type I collagen coating restored myogenic cell adhesion and growth on PDMS to levels comparable to standard culture conditions. Under 13% cyclic strain, both cardiomyocytes and skeletal muscle cells exhibited pronounced and highly uniform alignment, with cellular polarity oriented perpendicular to the stretch axis. Moreover, cyclic loading significantly enhanced the expression of contractile maturation markers, including MYH7 in cardiomyocytes and MYH6 in skeletal muscle cells (all p < 0.05), whereas expression of the differentiation regulator MyoG remained unchanged, indicating that mechanical stimulation preferentially promotes structural organization and contractile maturation rather than lineage commitment. Collectively, this quantitatively programmable organ-on-a-chip represents a bioengineered microdevice for studying myogenic mechanobiology, revealing conserved mechanosensitive alignment and maturation responses across myogenic lineages and providing a versatile framework for biomedical engineering research, disease modeling, and mechanotherapeutic screening. Full article
(This article belongs to the Section Nanobiotechnology and Biofabrication)
Show Figures

Figure 1

9 pages, 2376 KB  
Case Report
Concomitant Clonal CBFB::MYH11 and PDGFRB Fusions in a Case of De Novo Acute Myeloid Leukemia
by Qiliang Ding, Natasha E. Lewis, Cody J. Artymiuk, Renee M. Olson, Rong He, Rhett P. Ketterling, David S. Viswanatha, Patricia T. Greipp and Cinthya J. Zepeda Mendoza
Hematol. Rep. 2026, 18(2), 24; https://doi.org/10.3390/hematolrep18020024 - 23 Mar 2026
Viewed by 235
Abstract
Background: Acute myeloid leukemia (AML) with CBFB::MYH11 fusion and myeloid/lymphoid neoplasms with eosinophilia and tyrosine kinase gene fusions (MLN-TK) are genetically defined and typically mutually exclusive entities. Case Presentation: We report a unique case of de novo AML harboring two clonal, [...] Read more.
Background: Acute myeloid leukemia (AML) with CBFB::MYH11 fusion and myeloid/lymphoid neoplasms with eosinophilia and tyrosine kinase gene fusions (MLN-TK) are genetically defined and typically mutually exclusive entities. Case Presentation: We report a unique case of de novo AML harboring two clonal, transcriptionally active class-defining fusions: CBFB::MYH11 and GOLGA4::PDGFRB. A 61-year-old woman presented with leukocytosis with neutrophilia, eosinophilia, and monocytosis; circulating blasts; and a markedly hypercellular marrow. Cytogenetic analysis revealed inv(16)(p13.1q22) and t(3;5)(p21;q32) in all 20 metaphases, and RNA sequencing confirmed expression of both CBFB::MYH11 and GOLGA4::PDGFRB fusions. In addition, an oncogenic WT1 frameshift variant was identified. Hematopathologic findings were largely consistent with AML with CBFB::MYH11 fusion but exhibited features reminiscent of PDGFRB-rearranged MLN-TK. The patient achieved complete remission following the standard 7 + 3 induction chemotherapy regimen for AML with gemtuzumab ozogamicin. Conclusions: This case illustrates the diagnostic challenges posed by concomitant class-defining alterations in hematologic neoplasms and underscores the importance of integrated genomic assessment. Full article
Show Figures

Figure 1

8 pages, 552 KB  
Article
Leveraging Large and Diverse Biobanks to Evaluate Gene–Disease Associations in Hypertrophic Cardiomyopathy
by Saif F. Dababneh, Kevin Ong, Darwin Yeung, Nathaniel M. Hawkins, Andrew Krahn, Zachary Laksman, Rafik Tadros and Thomas M. Roston
J. Pers. Med. 2026, 16(3), 171; https://doi.org/10.3390/jpm16030171 - 21 Mar 2026
Viewed by 592
Abstract
Background: Hypertrophic cardiomyopathy (HCM) is a common inherited disease and a leading known cause of sudden cardiac arrest in young adults and athletes. While genetic testing has advanced rapidly in the past decade, the yield of genetic testing remains low. The Clinical Genome [...] Read more.
Background: Hypertrophic cardiomyopathy (HCM) is a common inherited disease and a leading known cause of sudden cardiac arrest in young adults and athletes. While genetic testing has advanced rapidly in the past decade, the yield of genetic testing remains low. The Clinical Genome Resource (ClinGen) initiative has become a leading resource for defining the clinical relevance of genetic variants with expert groups focusing on evaluating the strength of evidence for each HCM implicated gene. With the rise of large biobanks and population databases, genetic discovery has been significantly advanced. However, whether these databases can be used to validate gene–disease associations curated by ClinGen and provide evidence for novel gene–disease associations remains unclear. Objectives: Here, we utilized a publicly available database containing 748,879 individuals across three large biobanks (All of Us, UK biobank, Mass General Brigham biobank). Methods: We tested the association of rare coding variants in each gene in the HCM ClinGen panel with HCM. In total, 38 genes were tested, and Bonferroni correction was applied accordingly. Results: Of the 12 genes with definitive evidence for HCM (e.g., MYBPC3, MYH7, TNNT2, ALPK3), 8 (67%) demonstrated nominally significant association with HCM on a population level, and 5 (42%) remained significant after Bonferroni correction, further supporting the validity of these genes in HCM panels. Several definitive genes which are much less commonly affected in HCM (CSRP3, MYL3, ACTC1, TPM1, FHOD3, MYL2, and TNNC1) did not pass our Bonferroni corrected-significance threshold, but all had positively associated effect sizes with HCM. No genes deemed to have moderate or limited evidence had any significant associations with HCM even before Bonferroni correction. Conclusions: Altogether, we show that large biobanks and population databases generally recapitulate established gene–disease associations for HCM and support the ClinGen group’s gene curations. The utilization of such publicly accessible databases represents an additional tool for assessing gene validity in monogenic cardiac disorders with an established phenotype, although it may have limited sensitivity and should not be solely relied on. Full article
(This article belongs to the Special Issue Personalized Medicine and Surgery in Cardiovascular Disorders)
Show Figures

Figure 1

22 pages, 5994 KB  
Review
Revisiting the Genetics of Hypertrophic Cardiomyopathy: From Sarcomeres to Polygenic Modulation and Clinical Translation
by Maria Cristina Carella, Marco Maria Dicorato, Paolo Basile, Ilaria Dentamaro, Daniela Santoro, Eugenio Carulli, Michele Davide Latorre, Eduardo Urgesi, Francesco Monitillo, Nicoletta Resta, Gianluca Pontone, Marco Matteo Ciccone, Andrea Igoren Guaricci and Cinzia Forleo
J. Clin. Med. 2026, 15(6), 2327; https://doi.org/10.3390/jcm15062327 - 18 Mar 2026
Viewed by 729
Abstract
Hypertrophic cardiomyopathy (HCM), the most common inherited cardiomyopathy, represents a paradigmatic condition for precision cardiovascular medicine. Once regarded as a monogenic autosomal dominant disorder driven by rare sarcomeric variants, HCM is now recognized as a genetically complex disease characterized by incomplete penetrance, variable [...] Read more.
Hypertrophic cardiomyopathy (HCM), the most common inherited cardiomyopathy, represents a paradigmatic condition for precision cardiovascular medicine. Once regarded as a monogenic autosomal dominant disorder driven by rare sarcomeric variants, HCM is now recognized as a genetically complex disease characterized by incomplete penetrance, variable expressivity, and heterogeneous clinical trajectories. This review summarizes current evidence on the evolving genetic architecture of HCM, emphasizing the predominant role of definitively validated sarcomeric genes, particularly MYBPC3 and MYH7, and the clinical value of gene panel expansion. Phenotypic variability reflects interactions among variant classes, gene-specific mechanisms, and modifying factors. Differences between missense and truncating variants, haploinsufficiency and poison-peptide effects, allelic imbalance, and age-dependent penetrance contribute to diverse disease expression. Emerging data further support oligogenic inheritance and polygenic modulation, with genome-wide association studies and polygenic risk scores elucidating their contribution to disease susceptibility and variability, especially in genotype-negative patients and carriers of rare variants. We also address genes with emerging evidence and underrecognized pathogenic mechanisms, including deep intronic and splice-altering variants that may explain part of the missing heritability. The importance of distinguishing phenocopies is highlighted, advocating for phenotype-anchored diagnostic pathways integrating clinical assessment, multimodality imaging, and targeted genetic testing. Overall, contemporary data support a targeted, gene-validity-driven approach to genetic testing, where molecular findings primarily inform diagnosis and cascade screening, while risk stratification remains phenotype-led and longitudinal. Future progress will depend on integrative models combining rare variants, polygenic background, imaging, and biomarkers to translate genetic complexity into actionable precision care. Full article
Show Figures

Figure 1

19 pages, 9763 KB  
Article
Heart-Specific and Conditional Deletion of the Immt Gene Reveals Its Role in Regulating Mitochondrial Structure and Total Heart Metabolism
by Yasuhide Kuwabara, Caitlin Keezer, Suh-Chin J. Lin, Akanksha Rajput and Jeffery D. Molkentin
Cells 2026, 15(6), 505; https://doi.org/10.3390/cells15060505 - 12 Mar 2026
Viewed by 639
Abstract
Mitochondria comprise ~1/3rd of the volume of an adult ventricular cardiomyocyte. The gene Immt encodes the Mic60/Mitofilin protein that is hypothesized to organize the mitochondrial contact site and cristae organization system (MICOS) complex that generates mitochondrial cristae junctions between the inner and outer [...] Read more.
Mitochondria comprise ~1/3rd of the volume of an adult ventricular cardiomyocyte. The gene Immt encodes the Mic60/Mitofilin protein that is hypothesized to organize the mitochondrial contact site and cristae organization system (MICOS) complex that generates mitochondrial cristae junctions between the inner and outer membranes. To investigate the function of the Immt gene in the mouse heart, we generated and characterized mice in which this gene was specifically deleted in the mouse heart using a loxP-targeted allele (Immtfl/fl) and either the constitutive heart-specific Myh6-Cre transgene or the conditional Myh6-MerCreMer transgene, each of which showed lethality in several weeks. Hearts from these mice showed progressive hypertrophic cardiomyopathy and failure with lost contractility and lung edema. At the ultrastructural level, hearts from these mice showed extreme abnormalities in mitochondrial architecture characterized by lost cristae junctions, stacking of the inner mitochondrial membranes, mitophagy and areas with complete absence of mitochondria. Analysis of mitochondria showed loss of the MICOS complex of proteins as well as loss of mitochondrial membrane potential (Δψ) and increased expression of mitophagy proteins and mitochondrial biogenesis transcription factors. Hearts from these mice also showed widespread cardiomyocyte necrosis and induction of the universal mitochondrial stress response at the mRNA level, as well as major alterations in cardiac metabolites, suggesting greater use of glucose, ketones and amino acids. We conclude that the Immt gene is required for cardiac mitochondrial structure and function, although the ensuing mitochondrial stress response provides molecular clues as to how the heart can compensate metabolically and maintain viability for weeks after mitochondria are absent or unfunctional. Full article
(This article belongs to the Special Issue Mitochondrial Dynamics and Remodelling)
Show Figures

Graphical abstract

15 pages, 510 KB  
Review
Proteomic Analysis in Search of New Biomarkers of Immune Thrombocytopenia (ITP)—A Review of Current Data
by Anastasia Boura-Theodorou, Konstantina Psatha, Stefania Maniatsi, Areti Kourti, Georgia Kaiafa, Michalis Aivaliotis and Kali Makedou
Proteomes 2026, 14(1), 12; https://doi.org/10.3390/proteomes14010012 - 12 Mar 2026
Viewed by 747
Abstract
Immune thrombocytopenia (ITP) is a hematological disorder commonly found in individuals of any gender, race, or age. Patients with ITP will present with thrombocytopenia either in a primary form or because of an infection or a dysfunction in the immune system. The severity [...] Read more.
Immune thrombocytopenia (ITP) is a hematological disorder commonly found in individuals of any gender, race, or age. Patients with ITP will present with thrombocytopenia either in a primary form or because of an infection or a dysfunction in the immune system. The severity of ITP is linked to diminished production of platelets due to the blockage of production in the bone marrow niche and increased destruction of platelets, which confirms the diagnosis of the disorder. The investigation of the pathogenesis of ITP is of critical importance as it can give an important indication of the state of the patient, guiding us through risk assessment and treatment. Proteomics can provide tools to explore the protein profile of ITP. In this review, we aimed to uncover different biomarkers, both diagnostic and prognostic, that have been investigated with proteomic methodologies and that might help in understanding the pathogenesis of ITP and providing personalized treatment to patients. Several differentially abundant proteins were identified, including haptoglobin isoforms, heat shock proteins (HSPA6, HSPA8), integrin β3 (ITGB3), 14-3-3 protein eta (YWHAH), vitamin D-binding protein, fibrinogen chains, MYH9, and FETUB, which are involved in key signaling pathways, such as PI3K/akt, TNF-a, and mTOR, and they demonstrate potential as diagnostic and prognostic biomarkers. Collectively, current data support the value of proteomics for uncovering the molecular landscape of ITP and guiding the development of precision diagnostics and personalized therapeutic strategies. Full article
Show Figures

Figure 1

19 pages, 6728 KB  
Article
Recombinant Human KAI1/CD82 Attenuates Glucocorticoid-Induced Muscle Atrophy by Promoting Myogenic Differentiation
by Dong Hwan Kim, Hyesook Lee, Jung-Hwa Han, Yun Jeong Kang, Roo Gam Jeong, Jin Hur and Hyun Sik Gong
Int. J. Mol. Sci. 2026, 27(6), 2555; https://doi.org/10.3390/ijms27062555 - 11 Mar 2026
Viewed by 325
Abstract
Sarcopenia and glucocorticoid-induced myopathy are significant forms of muscle atrophy that pose considerable public health challenges. In this regard, preventing muscle atrophy is crucial for enhancing quality of life and increasing life expectancy. In this study, we investigated the effect of recombinant human [...] Read more.
Sarcopenia and glucocorticoid-induced myopathy are significant forms of muscle atrophy that pose considerable public health challenges. In this regard, preventing muscle atrophy is crucial for enhancing quality of life and increasing life expectancy. In this study, we investigated the effect of recombinant human KAI1 (rhKAI1) on myogenic differentiation and its protective effect against dexamethasone-induced muscle atrophy. rhKAI1 enhanced myogenic differentiation in both murine C2C12 myoblasts and primary human endometrial stromal cells, as evidenced by upregulation of myogenic regulatory factors and increased myotube formation. These effects were accompanied by increased phosphorylation of Akt and AMPK. In a dexamethasone (Dex)-induced atrophy model, rhKAI1 increased myotube diameter, restored MyHC expression, and reduced the expression of the E3 ligase atrogin-1, accompanied by increased phosphorylation of Akt and AMPK. In addition, rhKAI1 administration improved Dex-induced functional impairment in mice, as reflected by increased grip strength and improved rotarod performance. Molecular analyses further showed that rhKAI1 modulated Dex-induced fiber-type-related gene expression by restoring MYH7 (type I) and reducing MYH4 (type IIb) expression. Collectively, our findings demonstrate that rhKAI1 promotes myogenic differentiation and alleviates several functional and molecular features associated with glucocorticoid-induced muscle deterioration. These results support the potential of rhKAI1 as a candidate molecule for further investigation in steroid-induced muscle dysfunction. Full article
(This article belongs to the Section Molecular Biology)
Show Figures

Figure 1

13 pages, 244 KB  
Review
Genetic Architecture, Developmental Mechanisms and Genomic Applications in Left Ventricular Non-Compaction Cardiomyopathy (LVNC)
by Luis Elias Martínez-Tittonel, Florin Radu Ciorba, Xavier Bayona-Huguet and Edgardo Kaplinsky
DNA 2026, 6(1), 12; https://doi.org/10.3390/dna6010012 - 2 Mar 2026
Viewed by 425
Abstract
Left ventricular noncompaction cardiomyopathy (LVNC) is characterised by a two-layered ventricular wall with prominent trabeculations and deep recesses adjacent to a thinned compact layer. The phenotype spans from incidental findings to severe heart failure and malignant arrhythmias. More than 190 genes belonging to [...] Read more.
Left ventricular noncompaction cardiomyopathy (LVNC) is characterised by a two-layered ventricular wall with prominent trabeculations and deep recesses adjacent to a thinned compact layer. The phenotype spans from incidental findings to severe heart failure and malignant arrhythmias. More than 190 genes belonging to sarcomeric, cytoskeletal, mitochondrial, transcriptional and signalling pathways have been implicated, although only a subset reaches high gene disease validity in contemporary frameworks. Objectives: (i) Delineate the validated genetic landscape of LVNC; (ii) integrate developmental biology with cardiac genomics; (iii) translate genotype knowledge into diagnostic, prognostic and therapeutic guidance; (iv) outline a research agenda for precision cardiology. Methods: A narrative, pathway-oriented review of human and experimental studies (2000–July 2024). Results: Thirty-two genes meet definitive/strong validity thresholds and cluster in five biological networks. Oligogenic constellations account for ~4% of probands in recent cohorts. Imaging correlates (especially quantitative trabecular complexity and diffuse fibrosis metrics) provide complementary risk information. Conclusions: LVNC represents a convergence phenotype triggered by perturbations across developmental and structural networks; clinical management benefits from integrated genomics–imaging workflows and mechanism-informed trial design. Full article
17 pages, 1392 KB  
Article
Genomic Biomarkers and Mutational Landscape of Nonsyndromic Hearing Loss (NSHL) in the Singaporean Population: Clinical Translational Implications
by Che Kang Lim, Mei Shuang Cheng, Gerard Low, Joyce Zhi’en Tang, Jia Hui Ng, Ni Gin Ong, Pei Shan Leem, Su Ann Lim, Jiun Fong Thong and Vanessa Yee Jueen Tan
Biomolecules 2026, 16(3), 352; https://doi.org/10.3390/biom16030352 - 26 Feb 2026
Viewed by 521
Abstract
Nonsyndromic hearing loss (NSHL) is a highly prevalent, genetically heterogeneous condition, yet its molecular basis in the Singaporean population remains underexplored. We performed whole-exome sequencing and integrative bioinformatics analysis in 115 patients with NSHL to define population-specific genetic biomarkers. A molecular diagnosis was [...] Read more.
Nonsyndromic hearing loss (NSHL) is a highly prevalent, genetically heterogeneous condition, yet its molecular basis in the Singaporean population remains underexplored. We performed whole-exome sequencing and integrative bioinformatics analysis in 115 patients with NSHL to define population-specific genetic biomarkers. A molecular diagnosis was achieved in 57% of cases, with 76% of identified variants classified as pathogenic or likely pathogenic and 24% exhibiting high pathogenic potential. Common East Asian NSHL genes, including GJB2, SLC26A4, and OTOF, were frequently detected alongside less prevalent genes such as ACTG1, CEACAM16, COL11A2, DIAPH1, KCQN4, MYH14, MYO6, MYO7A, MYO15A, SLC17A8, SMPX, STRC, TJP2, TMC1, TMPRSS3, highlighting extensive genetic heterogeneity. Notably, multiple novel variants, including MYO6 c.554-2A>G, and TNC p.N750Y, were identified, expanding the known mutational spectrum of NSHL. Genotype–phenotype correlations revealed that GJB2 variants were primarily associated with mild to moderate hearing loss, whereas SLC26A4 variants correlated with severe to profound phenotypes in the Singaporean populations. Collectively, our study provides important insights into the genetic architecture of NSHL in Singapore’s population. In addition, it supports improved molecular diagnosis yield and informed clinical management decisions as well as the advancement of precision medicine approaches aimed at reducing the burden of hearing loss in the region. Full article
(This article belongs to the Collection Feature Papers in Molecular Biomarkers)
Show Figures

Figure 1

14 pages, 706 KB  
Review
Inherited Platelet Disorders During Pregnancy and Delivery: Overview of Management Strategies and Emerging Therapeutic Considerations
by Victor Zibara and Nicoletta Machin
Hematol. Rep. 2026, 18(2), 16; https://doi.org/10.3390/hematolrep18020016 - 26 Feb 2026
Viewed by 468
Abstract
Inherited platelet disorders (IPDs) comprise a heterogeneous group of rare conditions that present particular challenges during pregnancy, with bleeding risk increasing during labor and the immediate postpartum period. These disorders require coordinated, multidisciplinary management to mitigate maternal and neonatal bleeding risk. Although data [...] Read more.
Inherited platelet disorders (IPDs) comprise a heterogeneous group of rare conditions that present particular challenges during pregnancy, with bleeding risk increasing during labor and the immediate postpartum period. These disorders require coordinated, multidisciplinary management to mitigate maternal and neonatal bleeding risk. Although data remains limited, individuals with IPD, including Bernard–Soulier syndrome, Glanzmann thrombasthenia, MYH9-related disorders, Hermansky–Pudlak syndrome, and platelet storage pool disorders, are at an increased risk for obstetrical bleeding, with the degree of risk varying by underlying diagnosis. In severe inherited platelet disorders such as Glanzmann thrombasthenia, peripartum hemorrhage is common, with up to half of the deliveries in some series requiring red cell or platelet transfusion. Because these conditions are congenital, the fetus may also be affected, placing neonates at risk for serious bleeding complications, including intracranial hemorrhage, although available data is limited. Despite the considerable morbidity and mortality risk associated with inherited platelet disorders, management strategies during pregnancy and delivery remain poorly defined. This stands in contrast to other bleeding disorders, such as factor deficiencies, for which multiple therapeutic approaches have been evaluated in the peripartum setting. In this review, we summarize the available evidence and current management strategies for individuals with inherited platelet disorders during pregnancy and delivery. Full article
Show Figures

Graphical abstract

21 pages, 895 KB  
Article
Clinicogenomic Insights for Progression-Free Survival in Prostate Cancer
by Kelvin Ofori-Minta, Bofei Wang, Jonathon E. Mohl, Abhijit Mandal and Ming-Ying Leung
Int. J. Environ. Res. Public Health 2026, 23(2), 256; https://doi.org/10.3390/ijerph23020256 - 18 Feb 2026
Viewed by 558
Abstract
Prostate cancer (PrCa), the second most common cancer diagnosed in men globally, remains a critical challenge in precision oncology. While PrCa can be deadly, it is highly treatable if detected early. Identifying associative factors influencing disease progression risks can help inform preliminary steps [...] Read more.
Prostate cancer (PrCa), the second most common cancer diagnosed in men globally, remains a critical challenge in precision oncology. While PrCa can be deadly, it is highly treatable if detected early. Identifying associative factors influencing disease progression risks can help inform preliminary steps that will further the expedition of clinical therapeutic intervention decisions, which will improve treatment outcomes. While conventional PrCa progression assessment tools rely heavily on a few clinical parameters, the importance of genomic information is increasingly recognized. In this study, we evaluate the prognostic value of patients’ clinicogenomic profiles in modeling progression-free survival (PFS) of PrCa. Three survival models, namely the penalized Cox model, random survival forest, and a deep learning survival neural network, were deployed with extensive tuning applied to a dataset for a cohort of 494 patients with PrCa. This dataset, compiled from public data in The Cancer Genome Atlas (TCGA) accessed via cBioPortal, consists of relevant clinical features and single-nucleotide variant information on likely PrCa-related genes. The survival models demonstrated satisfactory discriminatory performance, with Harrell’s concordance index ranging from approximately 0.80 to 0.87 on held-out test data, indicating their ability to rank patients according to their relative progression risk among patients, while exhibiting distinct dynamics, all three models consistently identified clinical variables that indicated neoadjuvant treatment history, neoplasm cancer status, and tumor recurrence as well as the gene MYH6 as important predictor variables for PrCa PFS. Our findings suggest the incorporation of genomic data into the survival modeling workflow, thereby allowing the use of integrated clinicogenomics information to gain insights into progression risks for patients with PrCa. Full article
Show Figures

Figure 1

Back to TopTop