Sign in to use this feature.

Years

Between: -

Subjects

remove_circle_outline
remove_circle_outline
remove_circle_outline
remove_circle_outline
remove_circle_outline
remove_circle_outline
remove_circle_outline
remove_circle_outline
remove_circle_outline

Journals

Article Types

Countries / Regions

Search Results (40)

Search Parameters:
Keywords = MRIO analysis

Order results
Result details
Results per page
Select all
Export citation of selected articles as:
21 pages, 5544 KB  
Article
Revealing Guangdong’s Bridging Role in Embodied Energy Flows Through International and Domestic Trade
by Qiqi Liu, Yu Yang, Yi Liu and Xiaoying Qian
Energies 2025, 18(21), 5607; https://doi.org/10.3390/en18215607 (registering DOI) - 24 Oct 2025
Viewed by 196
Abstract
Embodied energy flows link production systems with the energy sector, reflecting dependencies and structural risks under globalization and regional coordination. Guangdong, China’s most manufacturing-intensive, open, and energy-consuming province, is a central hub in both global value chains and domestic production networks, playing a [...] Read more.
Embodied energy flows link production systems with the energy sector, reflecting dependencies and structural risks under globalization and regional coordination. Guangdong, China’s most manufacturing-intensive, open, and energy-consuming province, is a central hub in both global value chains and domestic production networks, playing a pivotal role in national energy security. Understanding Guangdong’s embodied energy flows is essential for revealing the transmission of energy across multi-level spatial systems and the resilience of China’s energy infrastructure. This study integrates international (EXIOBASE) and Chinese inter-provincial input–output data to build a province-level nested global MRIO model, combined with Structural Path Analysis (SPA), to characterize Guangdong’s manufacturing embodied energy flows in domestic and international dual circulation from 2002 to 2017. Our findings confirm Guangdong’s pivotal bridging role in embodied energy transfers. First, flows are dual-directional and dominated by international transfers. Second, energy efficiency has improved, narrowing the intensity gap between export- and domestic-oriented industries. Third, flows have diversified spatially from concentration in developed regions toward developing regions, with domestic inter-provincial flows more dispersed. Finally, embodied energy remains highly concentrated across sectors, with leading industries shifting from labor- and capital-intensive to capital- and technology-intensive sectors. This research offers vital empirical evidence and policy reference for enhancing national energy security and optimizing spatial energy allocation. Full article
(This article belongs to the Special Issue Energy Security, Transition, and Sustainable Development)
Show Figures

Figure 1

22 pages, 14208 KB  
Article
Mapping the Transmission of Carbon Emission Responsibility Among Multiple Regions from the Perspective of the Energy Supply Chain: EA-MRIO Method and a Case Study of China
by Yuan Yuan, Yunlong Zhao, Honghua Yang, Chin Hao Chong, Linwei Ma, Shiyan Chang and Zheng Li
Sustainability 2025, 17(18), 8166; https://doi.org/10.3390/su17188166 - 11 Sep 2025
Viewed by 659
Abstract
In low-carbon transition policy management, rationally determining the energy-related carbon emission responsibilities (ERCERs) across multiple regions is a fundamental issue. Reasonable allocation must take into account regional heterogeneities, such as energy endowments, economic development levels, industrial structures, and complex interconnections within the multi-regional [...] Read more.
In low-carbon transition policy management, rationally determining the energy-related carbon emission responsibilities (ERCERs) across multiple regions is a fundamental issue. Reasonable allocation must take into account regional heterogeneities, such as energy endowments, economic development levels, industrial structures, and complex interconnections within the multi-regional energy supply chain. Previous studies mostly analyzed it via the multi-regional input–output (MRIO) model on the energy-consumption side, often neglecting the regional distribution of energy production and inter-regional energy transport on the energy-production side. This limitation risks a mismatch between energy policies and economic policies in practical policy governance. To address this gap, this study develops an energy allocation-induced MRIO (EA-MRIO) method integrating energy allocation analysis and an MRIO model to trace ERCER transmissions holistically across the entire energy supply chain. The framework covers seven stages including energy supply, inter-regional energy transport, direct energy consumption of end-use sectors, inter-regional intermediate products input and output, final products supply, inter-regional final products transport, and final demand, applied to a case study of China’s 31 provinces in 2017. Results show that ERCERs mainly transfer from western and northern regions to eastern and southern coastal areas: ERCERs embodied by energy production in western and northern provinces first flow to northern coastal provinces (main intermediate products producers), then to eastern and southern coastal provinces (main final products producers), with 23% ultimately attributed to exports. These findings call for allocating ERCERs based on different subregions’ roles within the national energy–economic system to facilitate more equitable and effective carbon reduction policymaking. Full article
(This article belongs to the Section Energy Sustainability)
Show Figures

Figure 1

21 pages, 1918 KB  
Article
The Regional and Personal Disparities of Global Renewable Energy Use from Four Perspectives
by He He, Zhuanting Wang, Zekai Jiang, Tian Liu and Zifei Qin
Sustainability 2025, 17(17), 7822; https://doi.org/10.3390/su17177822 - 30 Aug 2025
Cited by 1 | Viewed by 855
Abstract
Global climate change demands a rapid transition to renewable energy for sustainable development and carbon neutrality. However, existing frameworks often overlook the dynamics of renewable energy use across production, consumption, final production, and income perspectives of the economy, thereby limiting understanding of global [...] Read more.
Global climate change demands a rapid transition to renewable energy for sustainable development and carbon neutrality. However, existing frameworks often overlook the dynamics of renewable energy use across production, consumption, final production, and income perspectives of the economy, thereby limiting understanding of global energy transitions. This study addresses this gap using a multi regional input-output (MRIO) model to analyze renewable energy use globally from 2000 to 2021 through multiple perspectives. Our findings reveal significant disparities in renewable energy use across countries. The United States is the largest renewable energy user by four perspectives in 2021, while per capita renewable energy use reveals pronounced disparities, with heavily populated countries like China and India having notably low use levels. Furthermore, resource-exporting countries, as primary suppliers for global renewable energy, promote renewable energy use, making a substantial contribution to the energy transition. Sectoral analysis highlights the significance of electricity, gas, and water industries in renewable energy use. This study provides a comprehensive framework for analyzing renewable energy use, offering valuable insights to policymakers to accelerate equitable and sustainable energy transitions. Full article
Show Figures

Figure 1

21 pages, 3922 KB  
Article
Spatiotemporal Evolution and Influencing Factors of China’s Embodied Oil Flows: A Consumer-Side Perspective
by Chuanguo Zhang, Pengyan Wu and Sirui Zhou
Energies 2025, 18(17), 4562; https://doi.org/10.3390/en18174562 - 28 Aug 2025
Viewed by 482
Abstract
Oil consumption brings both energy security risks and environmental responsibilities. While traditional studies assign environmental responsibility primarily to oil producers, our research uncovers a geographical displacement of accountability: substantial oil volumes are embedded in traded goods and ultimately consumed in distant regions. Although [...] Read more.
Oil consumption brings both energy security risks and environmental responsibilities. While traditional studies assign environmental responsibility primarily to oil producers, our research uncovers a geographical displacement of accountability: substantial oil volumes are embedded in traded goods and ultimately consumed in distant regions. Although China’s “dual control” policy regulates fossil energy use, it fails to account for the complexities of embodied oil flows. This oversight leads to imbalanced interregional responsibility allocation and resource exploitation issues. Adopting the “consumer pays” principle, this study makes methodological advances by innovatively combining multi-regional input–output (MRIO) modeling with geographically and temporally weighted regression (GTWR) analysis. The integrated approach provides spatial–temporal resolution in tracking embodied oil flows and their drivers across China’s provinces. Key findings include (1) strong concentration of oil inflows in developed eastern and central provinces, alongside rapid growth in southwestern regions; (2) evolving temporal patterns where economic growth and distance remain persistent drivers, while green technology and urbanization emerge as growing mitigating factors; (3) spatially, northwestern regions rely heavily on external supplies due to economic growth and urbanization, southeastern areas face rising transport costs, while green technologies in coastal regions have yet to significantly curb inflows due to rebound effects. These insights provide a new analytical framework for energy policy, supporting region-specific solutions to balance development and sustainability from a consumption perspective. Full article
Show Figures

Figure 1

23 pages, 1386 KB  
Article
Invisible Threads, Tangible Impacts: Industrial Networks and Land Use Efficiency in Chinese Cities
by Tian Tian, Fubin Wang and Mingxin Song
Urban Sci. 2025, 9(9), 332; https://doi.org/10.3390/urbansci9090332 - 25 Aug 2025
Viewed by 634
Abstract
Efficient urban land use is a cornerstone of sustainable city development, yet the drivers of such efficiency are increasingly complex in an era of spatial transformation. As industrial specialization and collaboration deepen, cities are becoming interconnected through complex networks. These “invisible threads” are [...] Read more.
Efficient urban land use is a cornerstone of sustainable city development, yet the drivers of such efficiency are increasingly complex in an era of spatial transformation. As industrial specialization and collaboration deepen, cities are becoming interconnected through complex networks. These “invisible threads” are redefining the dynamics of land use and spatial efficiency. This study examines the influence of intercity industrial networks on urban land use efficiency by constructing urban networks from multi-regional input–output data and evaluating city performance using a super-SBM model. We employed Tobit regression and mediation analysis to identify the mechanisms. Results indicate that both the quantity and quality of urban network connections significantly enhance land use efficiency, with notable differences across city types. The positive effect of industrial network centrality is most pronounced in large cities. In growing cities, both the number and quality of industrial linkages promote efficiency, whereas in shrinking cities, connection quality is more critical than quantity. Mechanism analysis reveals that industrial networks improve land use efficiency primarily by expanding intermediate goods markets and fostering technological innovation. Full article
(This article belongs to the Special Issue Human, Technologies, and Environment in Sustainable Cities)
Show Figures

Figure 1

18 pages, 14333 KB  
Article
Unveiling the Intrinsic Linkages Between “Water–Carbon–Ecology” Footprints in the Yangtze River Economic Belt and the Yellow River Basin
by Daiwei Zhang, Ming Jing, Weiwei Chen, Buhui Chang, Ting Li, Shuai Zhang, En Liu, Ziming Li and Chang Liu
Sustainability 2025, 17(14), 6419; https://doi.org/10.3390/su17146419 - 14 Jul 2025
Viewed by 426
Abstract
Unveiling the relationship between the “Water–Carbon–Ecology” (W-C-E) footprints embodied in regional trade and resource flows is crucial for enhancing the synergistic benefits between economic development and environmental protection. This study constructs an association framework based on the Multi-Regional Input–Output (MRIO) model to systematically [...] Read more.
Unveiling the relationship between the “Water–Carbon–Ecology” (W-C-E) footprints embodied in regional trade and resource flows is crucial for enhancing the synergistic benefits between economic development and environmental protection. This study constructs an association framework based on the Multi-Regional Input–Output (MRIO) model to systematically evaluate the “W-C-E” footprints and resource flow characteristics of the Yangtze River Economic Belt and the Yellow River Basin. By integrating import and export trade data, this study reveals the patterns of resource flows within and outside these regions. This research delineates the connection patterns between the “W-C-E” footprints and resource flows across three dimensions: spatial, sectoral, and environmental–economic factors. The results indicate that the Yangtze River Economic Belt has gained significant economic benefits from regional trade but also bears substantial environmental costs. Import and export trade further exacerbate the imbalance in regional resource flows, with the Yangtze River Economic Belt exporting many embodied resources through high-energy-consuming products, while the Yellow River Basin increases resource input by importing products such as food and tobacco. Sectoral analysis reveals that agriculture, electricity and water supply, and mining are the sectors with the highest net output of “W-C-E” footprints in both regions, whereas services, food and tobacco, and construction are the sectors with the highest net input. The comprehensive framework of this study can be extended to the analysis of resource–environment–economic systems in other regions, providing methodological support for depicting complex human–land system linkage patterns. Full article
Show Figures

Figure 1

19 pages, 454 KB  
Article
Quantitative Assessment of the Carbon Border Adjustment Mechanism: Impacts on China–EU Trade and Provincial-Level Vulnerabilities
by Lijun Ren, Jingru Wang, Luoyi Zhang, Xiaoxiao Hu, Yan Ning, Jianhui Cong, Yongling Li, Weiqiang Zhang, Tian Xu and Xiaoning Shi
Sustainability 2025, 17(4), 1699; https://doi.org/10.3390/su17041699 - 18 Feb 2025
Cited by 4 | Viewed by 2429
Abstract
The implementation of the Carbon Border Adjustment Mechanism (CBAM) carries profound implications for China’s export trade with the EU. However, a comprehensive analysis of CBAM’s impact on provincial export trade, particularly one grounded in industrial linkages and incorporating diverse policy scenarios, remains limited. [...] Read more.
The implementation of the Carbon Border Adjustment Mechanism (CBAM) carries profound implications for China’s export trade with the EU. However, a comprehensive analysis of CBAM’s impact on provincial export trade, particularly one grounded in industrial linkages and incorporating diverse policy scenarios, remains limited. To address this gap, this study develops a mechanistic framework based on industrial linkage theory and dynamically integrates key factors such as the scope of industries covered by CBAM, carbon emission accounting boundaries, and carbon pricing into a multi-scenario quantitative model. Leveraging a refined multi-region input–output (MRIO) model, we quantitatively assess the effects of CBAM on China’s provincial exports to the EU under various scenarios. The findings show that CBAM significantly raises export costs, leading to a pronounced decline in the competitiveness of five highly vulnerable industries. As CBAM expands to include sectors covered by the EU Emissions Trading System (EU ETS), the total levies on affected industries increase considerably, ranging from USD 0.07 billion to USD 2.25 billion depending on the scenario. Conversely, seven provincial industries, such as the chemical industry in Shanxi, experience only limited impacts due to their low direct carbon intensity and minimal overall increases in carbon tariffs. Then, the study underscores the pivotal role of China’s domestic carbon pricing mechanism in mitigating the effects of CBAM. Higher domestic carbon prices enhance China’s capacity to respond effectively, thereby reducing the overall impact of the mechanism. By adopting an inter-industry linkage perspective, this study provides new insights into assessing the multidimensional impacts of CBAM on China’s exports to the EU across provinces under different policy design scenarios, providing lessons for different categories of provinces on how to cope with CBAM. Full article
Show Figures

Figure 1

20 pages, 2143 KB  
Article
Impact Factors and Structural Pathways of Carbon Emissions in the Power Sector of the Beijing–Tianjin–Hebei Region Using MRIO Analysis
by Hao Yue, Bingqing Wu, Jiali Duan, Yunli Yue, Haowen Guan and Jian Zhang
Atmosphere 2025, 16(2), 177; https://doi.org/10.3390/atmos16020177 - 5 Feb 2025
Cited by 1 | Viewed by 930
Abstract
The accelerated growth of the global economy has given rise to a multitude of environmental concerns that demand immediate attention. At this juncture, the total global carbon emissions are exhibiting a gradual increase. China, the United States, India, Russia, and Japan represent the [...] Read more.
The accelerated growth of the global economy has given rise to a multitude of environmental concerns that demand immediate attention. At this juncture, the total global carbon emissions are exhibiting a gradual increase. China, the United States, India, Russia, and Japan represent the top five countries in terms of global carbon emissions, collectively accounting for approximately 60% of the global total. Of these, China’s carbon emissions are the highest in the world, representing over 30% of the global total. As urbanization accelerates, the carbon emissions from urban agglomerations constitute a substantial share of the nation’s total emissions, rendering the carbon emissions of urban clusters a critical issue. In the context of China’s urban agglomerations, the Beijing–Tianjin–Hebei region, due to factors such as industrial structure, accounts for a relatively high proportion of carbon emissions, approximately 11% of the national total. The future trajectory of carbon emissions in the Beijing–Tianjin–Hebei region will significantly impact the high-quality development of the entire urban cluster. Consequently, research on carbon emissions in the Beijing–Tianjin–Hebei region is of vital importance. This paper takes the carbon emissions of the power industry in the Beijing–Tianjin–Hebei region as the research subject, analyzes its carbon emissions status, and builds a multi-regional input–output model for the Beijing–Tianjin–Hebei region based on the input–output tables and carbon emissions data of each province. This study explores the key influencing factors of carbon emissions from the power industry in this region from 2012 to 2017 and analyzes the carbon emissions transfer and structural evolution from the perspective of the region and the industry to clarify the carbon reduction responsibilities of the Beijing–Tianjin–Hebei region and provide references and recommendations for the formulation of regional collaborative emission reduction policies. The results show that the direct carbon emissions from the power industry in the Beijing–Tianjin–Hebei region account for a higher proportion compared to the indirect carbon emissions it generates by driving other industries. Industries with relatively high indirect carbon emissions in the key path include coal mining and selection, equipment manufacturing, transportation, services, etc. The capital input process from Tianjin and Hebei to Beijing is accompanied by a relatively high carbon transfer. Promoting the widespread adoption of carbon emission reduction technologies will have an effective suppressive effect on carbon emissions in the Beijing–Tianjin–Hebei region, especially in Hebei; Beijing and Tianjin should pay attention to the stimulating effect of increased final demand on carbon emissions; the transfer of carbon emissions between regions and industries shows a downward trend as the power sector undergoes transformation. Full article
(This article belongs to the Special Issue Carbon Emission and Carbon Neutrality in China)
Show Figures

Figure 1

21 pages, 5696 KB  
Article
Spatiotemporal Synergistic Effect and Categorized Management Policy of CO2 and Air Pollutant Reduction and Economic Growth Under China’s Interregional Trade
by Luzhen Bai, Long Dong, Qian Li, Zhiguang Qu and Fei Li
Systems 2024, 12(12), 520; https://doi.org/10.3390/systems12120520 - 25 Nov 2024
Viewed by 1170
Abstract
In this study, we utilized multi-regional input–output (MRIO) tables from 2012 to 2017 to determine the spatiotemporal characteristics of CO2 emissions, air pollutant emissions, and value added associated with trade in different regions and industries, as well as the level of coupling [...] Read more.
In this study, we utilized multi-regional input–output (MRIO) tables from 2012 to 2017 to determine the spatiotemporal characteristics of CO2 emissions, air pollutant emissions, and value added associated with trade in different regions and industries, as well as the level of coupling coordination among them. Secondly, structural decomposition analysis (SDA) was used to identify the drivers of changes in the above indicators at the regional level. The results show that consumption-based emissions exceeded those based on production in developed regions such as Jing-Jin and the eastern coastal regions, while the opposite occurred in energy hubs such as the northern coastal and central regions; the results of the value added show higher levels in production areas than in consumption areas in the eastern coastal regions, while the opposite trend was observed in the northwestern regions. In different industries, energy production and heavy manufacturing contributed significantly to CO2, PM2.5, and SO2 emissions, while the service industry contributed more to NOx and VOC emissions and value added. The relationships among the changes in the three consumption-based indicators were divided into four categories: positive synergies, negative synergies, trade-offs A, and trade-offs B. Recommendations for targeted collaborative management strategies were delineated based on a regional resource-driven classification. Full article
Show Figures

Figure 1

32 pages, 5165 KB  
Article
Network Effects in Global Carbon Transfer: New Evidence from a Carbon-Connectedness Network Centered on China
by Xiaowu Huang, Xin Zhao, Ao Jiao and Jianming Zheng
Sustainability 2024, 16(10), 4116; https://doi.org/10.3390/su16104116 - 14 May 2024
Cited by 3 | Viewed by 2482
Abstract
There is plenty of evidence to suggest that global carbon emission transfer has evolved into a mutually related system, where a realistic and complex network is formed. To profile the structures and features in the global carbon emission transfer network, a carbon-connectedness network [...] Read more.
There is plenty of evidence to suggest that global carbon emission transfer has evolved into a mutually related system, where a realistic and complex network is formed. To profile the structures and features in the global carbon emission transfer network, a carbon-connectedness network model is adapted and combined with the multiregional input–output analysis framework, on the basis of massive and multi-layer global carbon flow data. This study formulates the topological features, spatio-temporal features, dynamic features and core–periphery features from a brand-new perspective on China. Meanwhile, this study identifies the network effects in the global carbon transfer network, including spillover, spillin and spillback effects. In general, an increase in China’s carbon emission transfer would lead to significant spillover effects on most economies worldwide, especially on developing economies and those with weaker tertiary industry or situated at the upstream of the global value chain. Simultaneously, China itself would also face substantial spillback effects. Spillovers and spillbacks underscore a broader negative impact that exceeds its initial magnitude. Focused on the connectedness network centered on China, this study is complementary to traditional insights, helping to comprehend the connections and relationships of carbon emissions among economies. This understanding is of substantive significance for the formulation of multi-national mitigation strategies and fostering global climate governance cooperation. Full article
(This article belongs to the Section Economic and Business Aspects of Sustainability)
Show Figures

Figure 1

12 pages, 1798 KB  
Article
The Biodiversity Impact of Health Care: Quantifying the Extinction-Risk Footprint of Health Care in The Netherlands and Other European Countries
by Amanda Irwin, Arne Geschke and Johan P. Mackenbach
Sustainability 2024, 16(3), 1343; https://doi.org/10.3390/su16031343 - 5 Feb 2024
Cited by 3 | Viewed by 3754
Abstract
The health care sector exists to support and promote human wellbeing; however, its operations contribute to environmental degradation undermining nature’s capacity to support the same wellbeing. Biodiversity loss, in particular, creates threats to wellbeing through a reduction in ecosystem service provisioning and increases [...] Read more.
The health care sector exists to support and promote human wellbeing; however, its operations contribute to environmental degradation undermining nature’s capacity to support the same wellbeing. Biodiversity loss, in particular, creates threats to wellbeing through a reduction in ecosystem service provisioning and increases in disease. This study aims to estimate the extinction-risk footprint associated with the health care sector, focusing on Europe. We created an environmentally-extended multi-region input–output model using data on the extinction risk of species available from the International Union for Conservation of Nature’s (IUCN) Red List of Threatened Species. Using input–output analysis, we then quantified the extinction-risk footprint of the Dutch health care sector and, for comparison, that of the 30 European nations which use similar sector classifications in their National Accounts reporting. We found that the Netherlands has the highest health care extinction-risk footprint on a per-capita basis and that health care contributes 4.4% of the Dutch consumption extinction-risk footprint compared with an average of 2.6% across the comparator set. Food and beverage supply chains make a disproportionate contribution to health care’s extinction-risk footprint, while supply chains implicated in the sector’s carbon footprint make a limited contribution. These results suggest that reducing the environmental impact of the health care sector may require a differentiated approach when multiple environmental indicators are considered. Full article
(This article belongs to the Section Health, Well-Being and Sustainability)
Show Figures

Figure 1

26 pages, 5612 KB  
Article
A Detailed Examination of China’s Clean Energy Mineral Consumption: Footprints, Trends, and Drivers
by Chuandi Fang, Jinhua Cheng, Zhe You, Jiahao Chen and Jing Peng
Sustainability 2023, 15(23), 16255; https://doi.org/10.3390/su152316255 - 24 Nov 2023
Cited by 6 | Viewed by 2431
Abstract
As the global clean energy transition accelerates, China’s mining industry faces pressing challenges concerning the sustainable consumption of clean energy minerals. This study employed the EE-MRIO model to investigate the consumption trends of clean energy minerals across various provinces and industries in China [...] Read more.
As the global clean energy transition accelerates, China’s mining industry faces pressing challenges concerning the sustainable consumption of clean energy minerals. This study employed the EE-MRIO model to investigate the consumption trends of clean energy minerals across various provinces and industries in China from 2012 to 2017, specifically focusing on the resource footprints of copper, nickel, molybdenum, zinc, and cobalt. Using the random forest model, we identified the driving factors, with the goal of offering a solid scientific foundation for strategic decision making. Our findings reveal marked disparities in resource footprints among provinces, which are correlated with regional industrialization, urbanization trends, and resource reserves. Beyond the traditional resource-intensive sectors, industries like finance and real estate have significantly impacted the resource footprint. Monte Carlo simulations further validated the reliability of our model. The random forest analysis indicates that population size and energy consumption mainly determine the footprints of copper and zinc. In contrast, the footprints of nickel and cobalt are primarily influenced by technology market turnover, while molybdenum’s footprint is largely driven by population size and total carbon emissions. Drawing from these insights, we suggest several policy recommendations for clean energy mineral extraction. These include fostering inter-provincial resource collaboration, bolstering geological exploration and assessment, promoting technological innovation, advancing environmentally friendly mineral extraction techniques, and enhancing collaboration between urban planning and pivotal industries. Full article
Show Figures

Figure 1

19 pages, 9814 KB  
Article
Identifying the Critical Supply Chains for Black Carbon and CO2 in the Sichuan Urban Agglomeration of Southwest China
by Shuangzhi Li, Xiaoling Zhang, Zhongci Deng, Xiaokang Liu, Ruoou Yang and Lihao Yin
Sustainability 2023, 15(21), 15465; https://doi.org/10.3390/su152115465 - 31 Oct 2023
Cited by 2 | Viewed by 2021
Abstract
Black carbon (BC) and CO2 emissions are the two major factors responsible for global climate change and the associated health risks. Quantifying the impact of economic activities in urban agglomerations on BC and CO2 emissions is essential for finding a balance [...] Read more.
Black carbon (BC) and CO2 emissions are the two major factors responsible for global climate change and the associated health risks. Quantifying the impact of economic activities in urban agglomerations on BC and CO2 emissions is essential for finding a balance between climate change mitigation and pollution reduction. In this study, we utilized a city-level environmental extended multi-regional input–output model (EE-MRIO), integrated nexus strength (INS), and structural path analysis (SPA) to quantify the BC and CO2 footprints, nexus nodes, and supply chains of 21 cities in the Sichuan urban agglomeration (SUA) from 2012 to 2017. The results revealed that approximately 70% of the BC and CO2 footprints come from inter-city transactions, with Chengdu being the largest importing city, while the supply of other cities was greater than their consumption. The SUA has transitioned from a supply-side city cluster to a consumption-oriented city cluster in its trade with other domestic regions. The SPA analysis highlighted that the construction sector was the largest emitter of downstream BC and CO2, while the electricity supply, metal/nonmetallic manufacture, oil refining and coking, transportation, and extraction industry sectors were the main nexus nodes for BC and CO2 emissions in the SUA. Notably, the reduction in BC emissions was due to decreased indirect emissions from oil refining and coking, while the decrease in CO2 emissions was a result of reduced indirect emissions from electricity supply. This article presents, for the first time, a quantification of the heterogeneous impacts and emission supply chains of BC and CO2 emissions from economic activities in the SUA, providing valuable insights for developing climate mitigation policies tailored to different urban clusters. Full article
(This article belongs to the Special Issue Carbon Footprints and Sustainability of Biofuels)
Show Figures

Figure 1

21 pages, 3846 KB  
Article
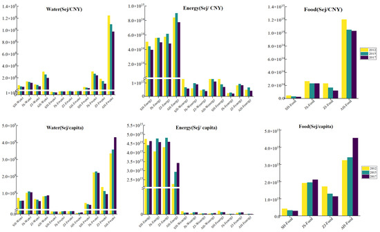
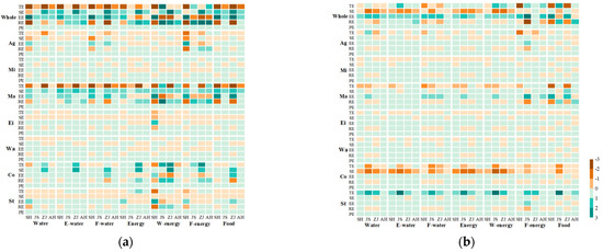
Decoupling Economic Growth from Embodied Water–Energy–Food Consumption Based on a Modified MRIO Model: A Case Study of the Yangtze River Delta Region in China
by Yinwen Huang and Dechun Huang
Sustainability 2023, 15(14), 10779; https://doi.org/10.3390/su151410779 - 10 Jul 2023
Cited by 6 | Viewed by 2031
Abstract
Water, energy, and food are indispensable resources for socioeconomic development, and are highly interwoven in urban activities. Clarifying spatial differences in resource consumption is of great significance for coordinated management. However, there is still a lack of a unified assessment for water–energy–food (WEF) [...] Read more.
Water, energy, and food are indispensable resources for socioeconomic development, and are highly interwoven in urban activities. Clarifying spatial differences in resource consumption is of great significance for coordinated management. However, there is still a lack of a unified assessment for water–energy–food (WEF) nexus flow analysis. This study proposes a comprehensive framework to investigate WEF utilization based on a modified multi-regional input–output (MRIO) analysis. Taking the case of the Yangtze River Delta region, we first inventoried embodied water–energy–food consumption from 2012 to 2017. Then, decoupling analysis and the Logarithmic Mean Divisia Index (LMDI) method were applied to explore decoupling states and identify driving factors. The results show that overall embodied WEF consumption experienced a downward trend from 2012 to 2017, and different provinces varied significantly. Jiangsu had the largest consumption of water and energy, while Anhui contributed a big chunk to food consumption. The manufacturing sector heavily relied on WEF resources and had a great impact on the ecological environment. The decoupling performance indicated a general trend of weak decoupling and strong decoupling in most provinces, with the mining, electricity, and gas supply sectors contributing most to positive decoupling, and the service sectors devoting the most to negative decoupling. As for resource type, water ecological footprint decoupled more than energy and food ecological footprints. Technology level and industrial structure had a major effect on the realization of decoupling, while economic output and population scale were the main restraining factors. Finally, we provide some differentiated policy recommendations for coordinated resource management. Full article
Show Figures

Figure 1

23 pages, 3796 KB  
Article
Regional Synthetic Water Pollutants Embodied in Trade and Policy Simulations for Mitigating Pollutant Discharge in China
by Xuefeng Li
Sustainability 2023, 15(13), 10375; https://doi.org/10.3390/su151310375 - 30 Jun 2023
Viewed by 1328
Abstract
Inter-regional trade in commodities causes the flow of water pollutants, referred to as virtual pollutant transfer. However, existing studies usually focus on a single water pollutant and cannot characterize the integrated discharge of multiple ones. As a result, it is impossible to analyze [...] Read more.
Inter-regional trade in commodities causes the flow of water pollutants, referred to as virtual pollutant transfer. However, existing studies usually focus on a single water pollutant and cannot characterize the integrated discharge of multiple ones. As a result, it is impossible to analyze the integrated virtual flow of multiple water pollutants among regions, much less simulate the effects of possible water pollutant reduction scenarios. To this end, we empirically synthesize several water pollutant indicators as a whole and then make it the occupancy in the framework of input–output analysis, which helps us to quantify the virtual transfer of water pollutants and simulate scenarios’ mitigating effects. The constructed indicator is called the synthetic water pollutant (SWP) discharge index. By accounting for SWP and then its virtual flows based on the compiled multi-regional input–output tables, we analyze the temporal and spatial differences in synthetic net virtual transfer of regional multiple water pollutants occurring with inter-regional trade. The results show that the national SWP discharge scale of six water pollutants (chemical oxygen demand, ammonia nitrogen, total nitrogen, total phosphorus, petroleum, and volatile phenol) is falling from 2012 to 2020. The net intake of virtual pollutants has become more concentrated. Central (e.g., Shanxi and Hunan) and western (Xinjiang, Inner Mongolia) China are the central regions of net virtual receiving. The simulation results show that reducing 10% of importing regions’ inputs while cutting 10% of exporting regions’ consumption mitigates the SWP discharge of the entire economic system by 3.45%. The decrease rate is 3.02%, increasing international imports by 10% in all regions. An incremental SWP reduction of 2.75% by reducing SWP discharge per output unit by 10% in the top 10 regions of discharge intensity indicates reducing the SWP discharge intensity is the most direct and effective approach. However, the growth of fixed asset investment in wastewater treatment and its recycling seems to contribute little to achieving China’s policy target of wastewater treatment capacity increase by 2025. This study provides regional results for managing water pollutants in China and a basis for future policymaking. Full article
Show Figures

Figure 1

Back to TopTop