Decoupling Economic Growth from Embodied Water–Energy–Food Consumption Based on a Modified MRIO Model: A Case Study of the Yangtze River Delta Region in China
Abstract
1. Introduction
2. Materials and Methods
2.1. Framework and Structure
2.2. WEF Footprint Accounting
2.3. Hybrid Emergy–MRIO Modeling
2.4. Tapio Decoupling Model
2.5. LMDI Decomposition
2.6. Data Sources
3. Results
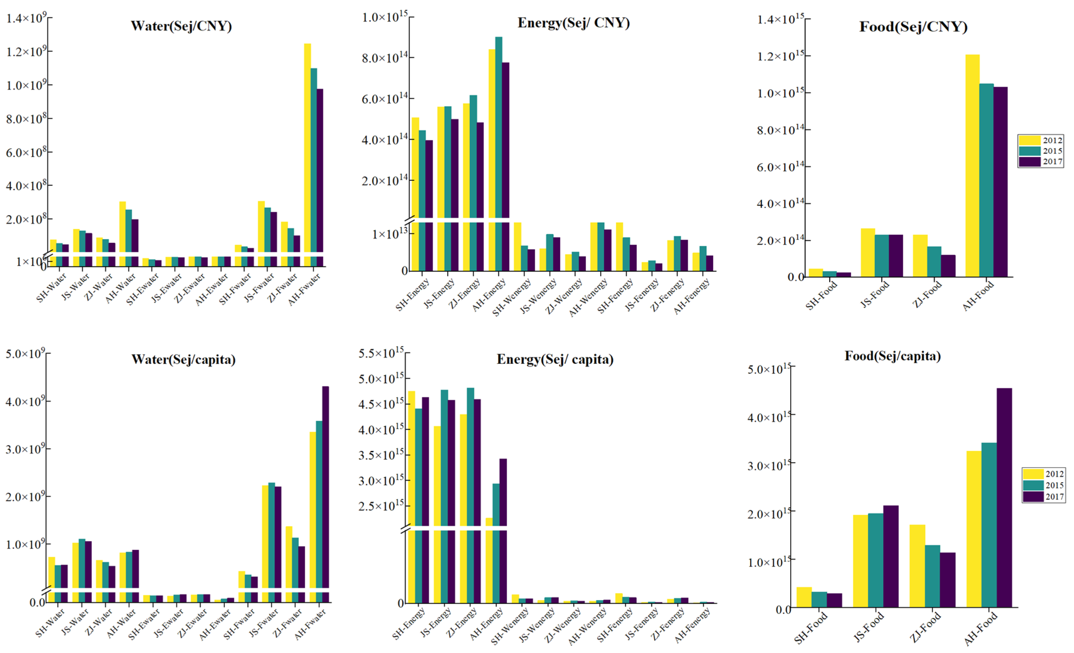
3.1. Characteristics of Embodied WEF Consumption
3.2. Analysis of Decoupling States
3.3. Identification of Key Driving Factors
4. Discussion
4.1. Differentiated Management for WEF Resources Consumption
4.2. Decoupling of Embodied WEF Consumption and Economic Development
4.3. Factors Influencing the Sustainable Development of the Yangtze River Delta Region
5. Managerial Implications and Conclusions
5.1. Managerial Implications
- (1)
- According to the characteristics of WEF consumption, differentiated development strategies among provinces should be taken into account. For Jiangsu and Zhejiang, high water- and energy-intensive industries should be phased out and upgraded. Coal and other fossil fuels need to be restricted and replaced by renewable energy, especially in terms of the manufacturing sector. Since both of the two provinces are adjacent to the shore, they can benefit from coastal resources to increase their sources of water, energy, and food. For instance, sea rice cultivation could be a promising option for sustainable food demand while improving soil function and the ecological environment, which has been implemented in some parts of Jiangsu Province. Offshore wind power and tidal power could help provide clean electricity and a sustainable energy supply. For Anhui, developing advanced water techniques in agricultural production and processing should be encouraged to improve water use efficiency. For Shanghai, it is necessary to enhance public awareness of water and energy conservation, as well as food waste reduction. The government should encourage sustainable consumption behavior, green purchasing, and frugal habits by way of organizing regular popularization and publicity activities.
- (2)
- The transport and service sectors exhibit non-ideal decoupling states in the Yangtze River Delta. Therefore, it is necessary to promote green transport systems and clean energy vehicles. Furthermore, shifting from a traditional service industry (i.e., catering and hotel) to a modern service industry could decrease resource ecological footprints. Furthermore, due to interregional trade, decoupling in one region may be achieved at the cost of negative decoupling in other regions, leading to environmental burdens and social inequality. Therefore, a comprehensive policy synergistic mechanism should be established to enhance cooperation and communication between industrial sectors and regions. Through economic instruments such as finance, taxation, and pricing policy, sustainable production and consumption can be achieved by reducing products embodied with high water and energy footprints.
- (3)
- Reducing the intensity of WEF consumption and promoting industrial upgrades are the main factors that promote decoupling resource use from economic development. Thus, it is necessary to develop resource-saving technologies and accelerate the industrial transformation from traditional-based industries to advanced manufacturing and modern services, thereby promoting green and sustainable development. Sprinkler irrigation and low-pressure pipeline water transfer techniques can be aggressively promoted in agriculture, whereas wastewater treatment and carbon capture and storage technology contribute to sustainable production. Meanwhile, efforts should be made to optimize and upgrade the urban industrial structure, moving from resource-intensive to high value-added and environmentally friendly industries.
5.2. Conclusions
- (1)
- The total WEF consumption in the Yangtze River Delta had an overall downward trend from 2012 to 2017. However, the performance of WEF utilization varied significantly in different provinces, showing spatial heterogeneity. Jiangsu accounted for the largest proportion of water, energy, and the corresponding nexus consumption, while Anhui contributed most to the food and food-related water footprints. The manufacturing sector was the most active in all types of WEF consumption, and can therefore be the critical point, with high dependence on WEF resources and environmental supports. In terms of resource type, energy consumption had a greater environmental impact due to its high emergy contents. In addition, Jiangsu’s per unit GDP energy use was larger than other regions, while per capita food consumption was high in Anhui.
- (2)
- The decoupling performance in the Yangtze River Delta region improved during 2012–2017, showing a general trend of “weak decoupling, strong decoupling” in most provinces. In terms of sector decoupling, the mining sector and the electricity and gas supply sector contributed most to the improvement of decoupling performance, while the transport and service sector weakened the decoupling. From the interregional trade perspective, the coupling state was strengthened between Shanghai and Zhejiang, while Anhui had less reliance on other regions, indicating its self-supply ability for WEF resources. Jiangsu’s WEF resources imported from other regions were negatively decoupled from its economy.
- (3)
- The technology effect has a major positive effect on the realization of decoupling in the Yangtze River Delta region, especially for manufacturing and agricultural sectors. The inhibitory effect of industrial structure on WEF consumption in most regions was strengthened during the 13th Five-Year Plan period. Moreover, economic output and population scale were the main factors restraining the occurrence of decoupling. The effect of resources-saving capacity was volatile and varied significantly across regions, indicating considerable room for improvement in the future. The difference in these factors could be attributed to unbalanced resource endowment and economic development.
Author Contributions
Funding
Institutional Review Board Statement
Informed Consent Statement
Data Availability Statement
Conflicts of Interest
References
- Zhang, Z.; Liu, J.; Wang, K.; Tian, Z.; Zhao, D. A review and discussion on the water-food-energy nexus: Bibliometric analysis. Chin. Sci. Bull. 2020, 65, 1569–1580. [Google Scholar] [CrossRef]
- Hoff, H. Understanding the Nexus. In Proceedings of the Bonn 2011 Conference: The Water, Energy and Food Security Nexus, Stockholm, Sweden, 16–18 November 2011. [Google Scholar]
- United Nations. Report of the World Commission on Environment and Development: Our Common Future. In Proceedings of the United Nations Sustainable Development Summit, New York, NY, USA, 25–27 September 2015. [Google Scholar]
- Brears, R.C. The Green Economy and the Water-Energy-Food Nexus; Palgrave Macmillan: London, UK, 2018; ISBN 978-1-137-58364-2. [Google Scholar]
- Zhang, Z.; Sun, S.; Gao, J. Evolution characteristic and influencing mechanism of water-energy-food stress in Yangtze River Delta Urban Agglomeration. J. Nat. Resour. 2022, 37, 1586. [Google Scholar] [CrossRef]
- National Bureau of Statistics. China Statistical Yearbook; China Statistics Press: Beijing, China, 2021; ISBN 978-7-5037-9950-1.
- Ye, C.; Zhu, J.; Li, S.; Yang, S.; Chen, M. Assessment and Analysis of Regional Economic Collaborative development within an Urban Agglomeration: Yangtze River Delta as a Case Study. Habitat Int. 2019, 83, 20. [Google Scholar] [CrossRef]
- Owen, A.; Scott, K.; Barrett, J. Identifying Critical Supply Chains and Final Products: An Input-Output Approach Exploring the Energy-Water-Food Nexus. Appl. Energy 2018, 210, 632–642. [Google Scholar] [CrossRef]
- White, D.J.; Hubacek, K.; Feng, K.; Sun, L.; Meng, B. The Water-Energy-Food Nexus in East Asia: A Tele-connected Value Chain Analysis Using Inter-Regional Input-Output Analysis. Appl. Energy 2018, 210, 550–567. [Google Scholar] [CrossRef]
- Zhang, P.; Cai, Y.; Zhou, Y.; Tan, Q.; Li, B.; Li, B.; Jia, Q.; Yang, Z. Quantifying the Water-Energy-Food Nexus in Guangdong, Hong Kong, and Macao Regions. Sustain. Prod. Consum. 2022, 29, 188–200. [Google Scholar] [CrossRef]
- Lin, J.; Hu, Y.; Zhao, X.; Shi, L.; Kang, J. Developing a City-Centric Global Multiregional Input-Output Model (CG-MRIO) to Evaluate Urban Carbon Footprints. Energy Policy 2017, 108, 460–466. [Google Scholar] [CrossRef]
- Zhang, Y.; Zheng, H.; Yang, Z.; Su, M.; Liu, G.; Li, Y. Multi-Regional Input–Output Model and Ecological Network Analysis for Regional Embodied Energy Accounting in China. Energy Policy 2015, 86, 651–663. [Google Scholar] [CrossRef]
- Liu, Y.; Hu, Y.; Su, M.; Meng, F.; Dang, Z.; Lu, G. Multiregional Input-Output Analysis for Energy-Water Nexus: Case Study of Pearl River Delta Urban Agglomeration. J. Clean. Prod. 2020, 262, 121255. [Google Scholar] [CrossRef]
- Meng, F.; Wang, D.; Meng, X.; Li, H.; Liu, G.; Yuan, Q.; Hu, Y.; Zhang, Y. Mapping Urban Energy–Water–Land Nexus within a Multiscale Economy: A Case Study of Four Megacities in China. Energy 2022, 239, 122038. [Google Scholar] [CrossRef]
- Wang, X.-C.; Klemeš, J.J.; Ouyang, X.; Xu, Z.; Fan, W.; Wei, H.; Song, W. Regional Embodied Water-Energy-Carbon Efficiency of China. Energy 2021, 224, 120159. [Google Scholar] [CrossRef]
- Yang, J.; Chen, B. Energy–Water Nexus of Wind Power Generation Systems. Appl. Energy 2016, 169, 1–13. [Google Scholar] [CrossRef]
- Zhang, J.; Li, C. Trade-off between Human Health and Environmental Health in Global Diets. Resour. Conserv. Recycl. 2022, 182, 106336. [Google Scholar] [CrossRef]
- Zhao, S.; Li, Z.; Li, W. A Modified Method of Ecological Footprint Calculation and Its Application. Ecol. Model. 2005, 185, 65–75. [Google Scholar] [CrossRef]
- Jawad, H.; Jaber, M.Y.; Bonney, M. The Economic Order Quantity Model Revisited: An Extended Exergy Accounting Approach. J. Clean. Prod. 2015, 105, 64–73. [Google Scholar] [CrossRef]
- Apaiah, R.K.; Linnemann, A.R.; Van Der Kooi, H.J. Exergy Analysis: A Tool to Study the Sustainability of Food Supply Chains. Food Res. Int. 2006, 39, 1–11. [Google Scholar] [CrossRef]
- Zhang, G.; Long, W. A Key Review on Emergy Analysis and Assessment of Biomass Resources for a Sustainable Future. Energy Policy 2010, 38, 2948–2955. [Google Scholar] [CrossRef]
- Siche, R.; Pereira, L.; Agostinho, F.; Ortega, E. Convergence of Ecological Footprint and Emergy Analysis as a Sustainability Indicator of Countries: Peru as Case Study. Commun. Nonlinear Sci. Numer. Simul. 2010, 15, 3182–3192. [Google Scholar] [CrossRef]
- Ukidwe, N.U.; Bakshi, B.R. Thermodynamic Accounting of Ecosystem Contribution to Economic Sectors with Application to 1992 U.S. Economy. Environ. Sci. Technol. 2004, 38, 4810–4827. [Google Scholar] [CrossRef]
- Zhuang, M.; Gao, Z.; Geng, Y.; Xiao, S. Spatial Distribution Pattern of Embodied Natural Resources Use in China and Its Relationship with Socioeconomic Development: From an Exergetic Perspective. Resources Policy 2022, 79, 103090. [Google Scholar] [CrossRef]
- Wang, S.; Cao, T.; Chen, B. Urban Energy–Water Nexus Based on Modified Input–Output Analysis. Appl. Energy 2017, 196, 208–217. [Google Scholar] [CrossRef]
- Zhang, Y.; Sun, M.; Yang, R.; Li, X.; Zhang, L.; Li, M. Decoupling Water Environment Pressures from Economic Growth in the Yangtze River Economic Belt, China. Ecol. Indic. 2021, 122, 107314. [Google Scholar] [CrossRef]
- Kong, Y.; He, W.; Yuan, L.; Shen, J.; An, M.; Degefu, D.M.; Gao, X.; Zhang, Z.; Sun, F.; Wan, Z. Decoupling Analysis Water Footprint and Economic Growth: A Case Study of Beijing–Tianjin–Hebei Region from 2004 to 2017. Int. J. Environ. Res. Public Health 2019, 16, 4873. [Google Scholar] [CrossRef]
- Kong, Y.; He, W.; Yuan, L.; Zhang, Z.; Gao, X.; Zhao, Y.; Mulugeta, D.D. Decoupling Economic Growth from Water Consumption in the Yangtze River Economic Belt, China. Ecol. Indic. 2021, 123, 107344. [Google Scholar] [CrossRef]
- Lu, N.; Zhu, J.; Tang, Z.; Zhang, J.; Chi, H. Decreasing Water Dependency for Economic Growth in Water-Scarce Regions by Focusing on Water Footprint and Physical Water: A Case Study of Xi’an, China. Sustain. Cities Soc. 2022, 85, 104092. [Google Scholar] [CrossRef]
- Kan, S.; Chen, B.; Chen, G. Worldwide Energy Use across Global Supply Chains: Decoupled from Economic growth? Appl. Energy 2019, 250, 1235–1245. [Google Scholar] [CrossRef]
- Zhang, Y.-J.; Da, Y.-B. The Decomposition of Energy-Related Carbon Emission and Its Decoupling with Economic Growth in China. Renew. Sustain. Energy Rev. 2015, 41, 1255–1266. [Google Scholar] [CrossRef]
- Shuai, C.; Chen, X.; Wu, Y.; Zhang, Y.; Tan, Y. A Three-Step Strategy for Decoupling Economic Growth from Carbon Emission: Empirical Evidences from 133 Countries. Sci. Total Environ. 2019, 646, 524–543. [Google Scholar] [CrossRef]
- Rao, G.; Liao, J.; Zhu, Y.; Guo, L. Decoupling of Economic Growth from CO2 Emissions in Yangtze River Economic Belt Sectors: A Sectoral Correlation Effects Perspective. Appl. Energy 2022, 307, 118223. [Google Scholar] [CrossRef]
- Zhang, S.; Li, Y.; Liu, Z.; Kou, X.; Zheng, W. Towards a Decoupling between Economic Expansion and Carbon Dioxide Emissions of the Transport Sector in the Yellow River Basin. Sustainability 2023, 15, 4152. [Google Scholar] [CrossRef]
- Wang, L.; Dai, S.; Wang, C. On the Change and Effect of Urbanization on the Ecological Footprint of Residents’ Food Consumption in China. J. Guangdong Univ. Financ. Econ. 2021, 36, 77–92. [Google Scholar]
- Cao, W.; Sun, C.; Yang, X.; Cui, Y. Analysis of man-land relationship in Changshan Archipelago based on emergy Ecological footprint. Acta Ecol. Sin. 2020, 40, 89–99. [Google Scholar] [CrossRef]
- Sun, C.; Liu, S. Analysis of regional differences and driving factors on the ecological footprint of urban food consumption in China. Yellow River 2017, 39, 39–45+50. [Google Scholar]
- Anser, M.K.; Yousaf, Z.; Usman, B.; Nassani, A.A.; Qazi Abro, M.M.; Zaman, K. Management of Water, Energy, and Food Resources: Go for Green Policies. J. Clean. Prod. 2020, 251, 119662. [Google Scholar] [CrossRef]
- Ma, H.; Li, Q.; Pang, Q. Spatial Difference and Decoupling Analysis of Industrial Energy-water Consumption Coefficients in China. China Popul. Resour. Environ. 2019, 29, 62–70. [Google Scholar]
- Wang, Y.; Song, J.; Sun, H. Coupling Interactions and Spatial Equilibrium Analysis of Water-Energy-Food in the Yellow River Basin, China. Sustain. Cities Soc. 2023, 88, 104293. [Google Scholar] [CrossRef]
- Gao, T.; Yang, X. A Study on the Decoupling Relationship between Grain and Energy Water Footprint Pressure and Green Development in the Yellow River Basin. Water Sav. Irrig. 2021, 10, 24–29+35. [Google Scholar]
- Wang, Q.; Wang, S. Decoupling Economic Growth from Carbon Emissions Growth in the United States: The Role Research and Development. J. Clean. Prod. 2019, 234, 702–713. [Google Scholar] [CrossRef]
- Zhu, S.; Ding, Y.; Pan, R.; Ding, A. Analysis of Interprovincial Differences in CO2 Emissions and Peak Prediction the Yangtze River Delta. Sustainability 2023, 15, 6474. [Google Scholar] [CrossRef]
- Zhao, X.; Zhang, X.; Li, N.; Shao, S.; Geng, Y. Decoupling Economic Growth from Carbon Dioxide Emissions in China: A Sectoral Factor Decomposition Analysis. J. Clean. Prod. 2017, 142, 3500–3516. [Google Scholar] [CrossRef]
- Zha, J.; Dai, J.; Ma, S.; Chen, Y.; Wang, X. How to Decouple Tourism Growth from Carbon Emissions? A Case Study of Chengdu, China. Tour. Manag. Perspect. 2021, 39, 100849. [Google Scholar] [CrossRef]
- Yu, J.; Wang, Y.; Yu, F.; Luo, J.; Lai, W. Decoupling between resources and environment and economic growth in Fujian Province, China from the perspective of “water-energy-carbon” consumption. Chin. J. Appl. Ecol. 2021, 32, 3845–3855. [Google Scholar] [CrossRef]
- Chen, S.; Chen, B. Urban Energy–Water Nexus: A Network Perspective. Appl. Energy 2016, 184, 905–914. [Google Scholar] [CrossRef]
- Chen, S.; Chen, B. Urban Energy Consumption: Different Insights from Energy Flow Analysis, Input–Output analysis and Ecological Network Analysis. Appl. Energy 2015, 138, 99–107. [Google Scholar] [CrossRef]
- Xiang, X.; Jia, S. Estimation and trend analysis of water demand of energy industry in China. J. Nat. Resour. 2016, 31, 114–123. [Google Scholar]
- Steen, O.K.; Weinzettel, J.; Cranston, G.; Ercin, A.E.; Hertwich, E.G. Carbon, Land, and Water Footprint Accounts for the European Union: Consumption, Production, and Displacements through International Trade. Environ. Technol. 2012, 46, 10883–10891. [Google Scholar] [CrossRef]
- Wang, S.; Chen, B. Energy–Water Nexus of Urban Agglomeration Based on Multiregional Input–Output Tables and Ecological Network Analysis: A Case Study of the Beijing–Tianjin–Hebei Region. Appl. Energy 2016, 178, 773–783. [Google Scholar] [CrossRef]
- Zhang, P.; Zhou, Y.; Xie, Y.; Wang, Y.; Li, B.; Li, B.; Jia, Q.; Yang, Z.; Cai, Y. Assessment of the Water-Energy-Food nexus under Spatial and Social Complexities: A Case Study of Guangdong-Hong Kong-Macao. J. Environ. Manag. 2021, 299, 113664. [Google Scholar] [CrossRef]
- Chen, P.-C.; Alvarado, V.; Hsu, S.-C. Water Energy Nexus in City and Hinterlands: Multi-Regional Physical Input-output Analysis for Hong Kong and South China. Appl. Energy 2018, 225, 986–997. [Google Scholar] [CrossRef]
- Chen, S.; Tan, Y.; Liu, Z. Direct and Embodied Energy-Water-Carbon Nexus at an Inter-Regional Scale. Appl. Energy 2019, 251, 113401. [Google Scholar] [CrossRef]
- Ewing, B.R.; Hawkins, T.R.; Wiedmann, T.O.; Galli, A.; Ertug, E.A.; Weinzettel, J.; Steen, O.K. Integrating Ecological and Water Footprint Accounting in a Multi-Regional Input–Output Framework. Ecol. Indic. 2012, 23, 8. [Google Scholar] [CrossRef]
- Hau, J.L.; Bakshi, B.R. Expanding Exergy Analysis to Account for Ecosystem Products and Services. Environ. Sci. Technol. 2004, 38, 3768–3777. [Google Scholar] [CrossRef]
- OECD. Sustainable Development: Indicators to Measure Decoupling of Environmental Pressure from Economic Growth; OECD: Paris, France, 2002. [Google Scholar]
- Tapio, P. Towards a Theory of Decoupling: Degrees of Decoupling in the EU and the Case of Road Traffic in Finland between 1970 and 2001. Transp. Policy 2005, 12, 137–151. [Google Scholar] [CrossRef]
- Song, Y.; Zhang, M.; Zhou, M. Study on the Decoupling Relationship between CO2 Emissions and Economic Development Based on Two-Dimensional Decoupling Theory: A Case between China and the United States. Ecol. Indic. 2019, 102, 230–236. [Google Scholar] [CrossRef]
- Jiangsu Province Water Resources Bulletin. Available online: http://jswater.jiangsu.gov.cn/col/col84437/index.html (accessed on 19 July 2022).
- Shanghai Water Resources Bulletin. Available online: http://swj.sh.gov.cn/szy (accessed on 19 July 2022).
- Zhejiang Water Resources Bulletin. Available online: http://slt.zj.gov.cn/col/col1229243017/index.html (accessed on 20 July 2022).
- Anhui Water Resources Bulletin. Available online: http://slt.ah.gov.cn/tsdw/swj/szyshjjcypj/119406621.html (accessed on 20 July 2022).
- National Bureau of Statistics, Ministry of Ecology and Environment. China Statistical Yearbook on Environment; China Statistics Press: Beijing, China, 2021; ISBN 978–752–300–075–5.
- Department of Energy Statistics. China’s Energy Statistical Yearbook; China Statistics Press: Beijing, China, 2017; ISBN 978–752–300–106–6.
- Ministry of Agriculture. China Agriculture Yearbook; China Agriculture Press: Beijing, China, 2017; ISBN 978-096-551-021-9.
- Lan, S.; Qin, P.; Lu, H. Emergy Analysis of Ecological Economic System; Chemical Industry Press: Beijing, China, 2002; ISBN 7-5025-3835-6. [Google Scholar]
- Berkhout, P.H.G.; Muskens, J.C.; Velthuijsen, J.W. Defining the Rebound Effect. Energy Policy 2000, 28, 425–432. [Google Scholar] [CrossRef]
- Chen, C.; Cheng, C. Research on the New Path of Transformation and Upgrading of Domestic Manufacturing Industry Led by Yangtze River Delta under the New Development Pattern. J. Soochow Univ. 2023, 44, 10–19. [Google Scholar] [CrossRef]
- Fang, D.; Chen, B. Linkage Analysis for Water-Carbon Nexus in China. Appl. Energy 2018, 225, 682–695. [Google Scholar] [CrossRef]
- Yun, Q.; He, T. Research on the decoupling synergy relationship between economy, resources and environment Beijing-Tianjin-Hebei region. Stat. Decis. Mak. 2020, 36, 79–83. [Google Scholar] [CrossRef]
- Wang, J.; Liu, T.; Wu, C. Study on the decoupling relationship between water resources utilization and economic development in the water-energy-food system: A case study of Hebei Province. Water Sav. Irrig. 2022, 11, 26–33. [Google Scholar]
- Outline of the 12th Five-Year Plan for the National Economic and Social Development of the P.R.C. Available online: https://www.gov.cn/2011lh/sewgh.htm (accessed on 25 July 2022).
- Outline of the 13th Five-Year Plan for the National Economic and Social Development of the P.R.C. Available online: https://www.gov.cn/xinwen/2016-03/17/content_5054992.htm?url_type=39&object_type=webpage&pos=1 (accessed on 25 July 2022).
- Peng, Q.; He, W.; Kong, Y.; Yuan, L.; Degefu, D.M.; An, M.; Zeng, Y. Identifying the Decoupling Pathways of Water Resource Liability and Economic Growth: A Case Study of the Yangtze River Economic Belt, China. Environ. Sci. Lut. Res. 2022, 29, 55775–55789. [Google Scholar] [CrossRef]
- Wang, Q.; Wang, X. Moving to Economic Growth without Water Demand Growth-a Decomposition Analysis Decoupling from Economic Growth and Water Use in 31 Provinces of China. Sci. Total Environ. 2020, 6, 138362. [Google Scholar] [CrossRef] [PubMed]








| Aggregated Sectors | Original 42 Sectors | Code |
|---|---|---|
| Agriculture (Ag) | Agriculture, forestry, animal husbandry, and fishery | 1 |
| Mining (Mi) | Mining and washing of coal | 2 |
| Extraction of petroleum and natural gas | 3 | |
| Mining and processing of metal ores | 4 | |
| Mining and processing of nonmetal and other ores | 5 | |
| Manufacturing (Ma) | Food and tobacco processing | 6 |
| Textile industry | 7 | |
| Manufacture of leather, fur, feather, and related products | 8 | |
| Processing of timber and furniture | 9 | |
| Manufacture of paper, printing, and articles for culture, education, and sport activity | 10 | |
| Processing of petroleum, coking, processing of nuclear fuel | 11 | |
| Chemical industry | 12 | |
| Non-metallic mineral products | 13 | |
| Smelting and processing of metals | 14 | |
| Metal products | 15 | |
| General purpose machinery | 16 | |
| Special purpose machinery | 17 | |
| Transport equipment | 18 | |
| Electrical machinery and equipment | 19 | |
| Communication equipment, computers, and other electronic equipment | 20 | |
| Manufacture of measuring instruments | 21 | |
| Other manufacturing and waste resources | 22 | |
| Repair of metal products, machinery, and equipment | 23 | |
| Electricity and gas supply (El) | Production and distribution of electric power and heat power | 24 |
| Production and distribution of gas | 25 | |
| Water supply (Wa) | Production and distribution of tap water | 26 |
| Construction (Co) | Construction | 27 |
| Transport and Services (St) | Wholesale and retail trades | 28 |
| Transport, storage, and postal services | 29 | |
| Accommodation and catering | 30 | |
| Information transfer, software, and information technology services | 31 | |
| Finance | 32 | |
| Real estate | 33 | |
| Leasing and commercial services | 34 | |
| Scientific research | 35 | |
| Polytechnic services | 36 | |
| Administration of water, environment, and public facilities | 37 | |
| Resident, repair, and other services | 38 | |
| Education | 39 | |
| Health care and social work | 40 | |
| Culture, sports, and entertainment | 41 | |
| Public administration, social insurance, and social organizations | 42 |
| Drivers | Formula | Explanation |
|---|---|---|
| Technology effect | WEF use per unit of GDP by sector, illustrating the effect on resource-saving technologies | |
| Industrial structure | The proportion of sectoral output value in regional GDP, indicating changes in industrial structure | |
| Economic scale | Regional GDP generated per unit of WEF consumption, representing benefits from resources use | |
| Resource-saving capacity | Per capita WEF use, representing people’s actual capacity to save WEF resources | |
| Population size | The total residents in a given region |
| Data | Source of Data | Description |
|---|---|---|
| Water | Water Resources Bulletin of Shanghai, Jiangsu, Zhejiang, and Anhui (2012–2017) [60,61,62,63] China Environmental Statistics Yearbook [64] | Agricultural water, industrial water, ecological water, and domestic water |
| Energy | China’s Energy Statistical Yearbook (2012–2017) [65] | Coal, petroleum, natural gas, diesel, kerosene, gasoline, electricity |
| Food | China Agriculture Yearbook (2012–2017) [66] | Raw grains, legumes, oil, meat, dairy, eggs, and aquatic products |
| Consumption coefficient | Liu et al., (2020) [13]; Xiang and Jia (2016) [49] | Energy-related water, food-related water, water-related energy, food-related energy |
| Emergy transformity | Ukidwe and Bakshi (2004) [23]; Lan et al. (2002) [67] | Transformity for water, energy, food |
Disclaimer/Publisher’s Note: The statements, opinions and data contained in all publications are solely those of the individual author(s) and contributor(s) and not of MDPI and/or the editor(s). MDPI and/or the editor(s) disclaim responsibility for any injury to people or property resulting from any ideas, methods, instructions or products referred to in the content. |
© 2023 by the authors. Licensee MDPI, Basel, Switzerland. This article is an open access article distributed under the terms and conditions of the Creative Commons Attribution (CC BY) license (https://creativecommons.org/licenses/by/4.0/).
Share and Cite
Huang, Y.; Huang, D. Decoupling Economic Growth from Embodied Water–Energy–Food Consumption Based on a Modified MRIO Model: A Case Study of the Yangtze River Delta Region in China. Sustainability 2023, 15, 10779. https://doi.org/10.3390/su151410779
Huang Y, Huang D. Decoupling Economic Growth from Embodied Water–Energy–Food Consumption Based on a Modified MRIO Model: A Case Study of the Yangtze River Delta Region in China. Sustainability. 2023; 15(14):10779. https://doi.org/10.3390/su151410779
Chicago/Turabian StyleHuang, Yinwen, and Dechun Huang. 2023. "Decoupling Economic Growth from Embodied Water–Energy–Food Consumption Based on a Modified MRIO Model: A Case Study of the Yangtze River Delta Region in China" Sustainability 15, no. 14: 10779. https://doi.org/10.3390/su151410779
APA StyleHuang, Y., & Huang, D. (2023). Decoupling Economic Growth from Embodied Water–Energy–Food Consumption Based on a Modified MRIO Model: A Case Study of the Yangtze River Delta Region in China. Sustainability, 15(14), 10779. https://doi.org/10.3390/su151410779
