Next Article in Journal
Stakeholder Perceptions and Strategic Governance of Large-Scale Energy Projects: A Case Study of Akkuyu Nuclear Power Plant in Türkiye
Previous Article in Journal
Analysis of Factors Influencing Driving Safety at Typical Curve Sections of Tibet Plateau Mountainous Areas Based on Explainability-Oriented Dynamic Ensemble Learning Strategy
 
 
Font Type:
Arial Georgia Verdana
Font Size:
Aa Aa Aa
Line Spacing:
Column Width:
Background:
Article

The Regional and Personal Disparities of Global Renewable Energy Use from Four Perspectives

1
School of Economics, Shanghai University, Shanghai 200444, China
2
School of Economics, Lanzhou University of Finance and Economics, Lanzhou 730020, China
*
Author to whom correspondence should be addressed.
Sustainability 2025, 17(17), 7822; https://doi.org/10.3390/su17177822
Submission received: 4 July 2025 / Revised: 27 August 2025 / Accepted: 28 August 2025 / Published: 30 August 2025

Abstract

Global climate change demands a rapid transition to renewable energy for sustainable development and carbon neutrality. However, existing frameworks often overlook the dynamics of renewable energy use across production, consumption, final production, and income perspectives of the economy, thereby limiting understanding of global energy transitions. This study addresses this gap using a multi regional input-output (MRIO) model to analyze renewable energy use globally from 2000 to 2021 through multiple perspectives. Our findings reveal significant disparities in renewable energy use across countries. The United States is the largest renewable energy user by four perspectives in 2021, while per capita renewable energy use reveals pronounced disparities, with heavily populated countries like China and India having notably low use levels. Furthermore, resource-exporting countries, as primary suppliers for global renewable energy, promote renewable energy use, making a substantial contribution to the energy transition. Sectoral analysis highlights the significance of electricity, gas, and water industries in renewable energy use. This study provides a comprehensive framework for analyzing renewable energy use, offering valuable insights to policymakers to accelerate equitable and sustainable energy transitions.

1. Introduction

Climate change represents a significant global challenge, having already inflicted numerous irreversible and severe consequences on ecosystems worldwide. According to the AR6 Synthesis Report published by the Intergovernmental Panel on Climate Change (IPCC) [1], global surface temperatures have risen by 1.09 °C since the pre-industrial period (1850—1900), with approximately 1.07 °C of this increase attributed to human activities. Currently, an estimated 3.3 to 3.6 billion people live in environments highly vulnerable to climate change [1]. These impacts, including sea ice shrinkage, glacier retreat, sea-level rise, extreme weather events, and food insecurity, have disrupted the balance and stability of ecosystems while constraining human societal development [2].The risks associated with climate change continue to intensify, presenting increasingly complex and cross-sectoral challenges that are becoming more difficult to manage.
In response to climate change and the need to reduce greenhouse gas emissions, the development and utilization of renewable energy have become a cornerstone of global energy transitions. Renewable energy reached 30% of global electricity generation for the first time in 2023, with wind and solar power representing the fastest-growing sources [3].
Most existing studies have concentrated on national-level aggregate trends or single-country case analyses, primarily focusing on energy structure transformation, policy effectiveness, or efficiency improvements. While these studies are informative, they often lack long-term, sector-level, and cross-country comparability. In recent years, multi-regional input-output (MRIO) models have been widely applied to estimate carbon footprints and trade-embedded emissions. However, systematic applications of MRIO models to explore the structural characteristics of renewable energy use remain limited.
To address this gap, this study utilizes the Eora MRIO database and its energy satellite accounts to analyze global renewable energy use from 2000 to 2021. By calculating sectoral renewable energy consumption intensities, we develop a multi-dimensional accounting framework that includes production-based, final production-based, consumption-based, and income-based perspectives. This enables a comprehensive assessment of renewable energy distribution across sectors, time, and accounting scopes, offering new insights into the global energy transition and related policy implications. Furthermore, significant regional and per capita disparities in renewable energy use persist across countries. Highlighting such disparities is crucial for promoting a more inclusive and equitable global energy transition.
This paper is organized as follows. Section 2 is the literature review. Section 3 provides the modeling process and data sources. Section 4 develops the results and discussion based on the empirical analysis. Section 5 restates specific conclusions and draws policy implications of profound significance.

2. Literature Review

In the global transition to renewable energy, disparities in usage across regions and individuals remain a significant challenge. These disparities, influenced by economic development, policy, infrastructure, and population size, can hinder equitable access to sustainable energy solutions. Understanding these disparities is essential not only for energy equity but also for designing targeted policies to address the needs of underserved regions and populations. This study explores renewable energy use from four perspectives: production-based, which focuses on the energy consumed within a country’s boundaries as a result of domestic production; consumption-based, which accounts for the energy embodied in the goods and services consumed by a country, including imports and excluding exports; final production-based, which looks at the energy used in producing final goods for consumption; and income-based, which examines the role of primary suppliers and their contribution to renewable energy consumption through income generation. While the importance of these perspectives is well acknowledged, few studies have comprehensively integrated them at a global level, especially to address both regional and personal disparities [4].
The disparity of renewable energy has been conducted by some scholars in different perspectives. From the production-based accounting, Sinha [5] has used the Theil’s second measure to investigate international renewable energy generation disparities from 1980—2011 in OECD countries. Li, et al. [6] has used a club convergence algorithm to clarify 5 clubs with 78 economies to understand the renewable energy disparity across countries. From the consumption-based accounting perspective, Liu [7] has established an agent-based model to analyze the energy consumption disparity in China. Li, Liu and Yang [4] have used the Generalized Divisia Index Model to decompose the factors affecting the inequality of renewable energy use in China. But, the environmentally-extended input-output (EEIO) model has been used to illustrate the disparity of renewable energy use from four perspectives (e.g., production-, consumption-, final production- and the income-based accounting).
First, studies on energy from the perspective of production-based accounting have been introduced. Lan, et al. [8] have assessed the long-term drivers affecting the diversified energy footprint from production in 186 countries from 1990 to 2010. Chen, et al. [9] have used a multi-regional input-output (MRIO) model for province-sectors from a production-based perspective to illustrate the essential driving forces of energy use in China. Production-based accounting perspective provides a scientific foundation for production-side policymaking of energy, such as setting target regulations for energy production and improving energy usage efficiency. However, this production-based perspective is limited when addressing global renewable energy disparities because it neglects the impact of international trade.
And secondly, the consumption-based accounting approach has been introduced as an adjustment to the production-based framework, incorporating renewable energy use linked to the production of imports while excluding that associated with the production of exports [10].The exploration of energy through a consumption-based perspective has been conducted at the global level (energy use by globalized economy [11] and renewable energy use for supply chain greenness [12]), at the country level (e.g., drivers of renewable energy in India [13] and the embodied renewable energy flows in China’s international trade [14]).
In a globalized world, the renewable energy used in the production within a country’s territory may differ significantly from the renewable energy required for final production and consumption. The production of final goods and services induces renewable energy use both domestically and internationally. Therefore, the perspective of final production-based accounting has been introduced in recent years to link renewable energy use to the activities involved in final production. It measures the renewable energy use in the global supply chain of final products. For example, Meng, et al. [15] accounted for global energy use based on the final production perspective.
Economic activities are influenced not only by demand but also by supply, where primary suppliers play a critical role in driving production through product supply chain [16,17]. Primary suppliers, by providing primary inputs at the initial stage, enable downstream users to consume renewable energy through product sale chains [18,19]. As applications of the perspective of income-based, Zhai, et al. [20] have developed a Three–Perspective Energy–Carbon Nexus (TP–ECN) model to evaluate CO2 emissions in China. Li, et al. [21] have used structural decomposition analysis from the income-based perspective to identify the socioeconomic drivers of energy-related PM2.5 emissions in the Jing–Jin–Ji region of China. Wen, et al. [22] have used MRIO models to evaluate the results of the ‘dual control’ policies of energy consumption and carbon emissions in China. From the perspective of income-based accounting, revealing critical primary suppliers can help with supply side policymaking to promote the renewable energy use.
Relatively few researchers have conducted a comprehensive analysis of the regional and personal disparity of renewable energy use at the global level from these four perspectives. The perspective of production-based accounting considers the impact of a country’s production activities on renewable energy use. The perspective of consumption-based accounting measures renewable energy use by adding net exports to production-based renewable energy use. The perspective of final production-based accounting quantifies renewable energy use embodied in final products across the entire supply chain. Meanwhile, the perspective of income-based accounting evaluates the contribution of primary inputs to renewable energy use. Each accounting of these perspectives in this research provides distinct insights for policymaking and sustainability analysis for renewable energy use.
Based on the IOA literature review, here, we apply the EEIO model from four perspectives (production-, consumption-, final production- and the income-based consumption accounting) to analyze both regional and personal disparities of renewable energy use and the changes in temporal trends in its flow paths among sectors and countries based on the IOA literature review. Our overall aims are to quantify the renewable energy use at the country level from four perspectives and to understand how country disparities have changed over time (2000—2021). This information is directly relevant for EEIO analysis and can be indirectly used to analyze environmental issues. We assess the regional and personal disparities of renewable energy use through connecting the data of renewable energy with the time-series input-output table and discuss these results to support the equity of the renewable energy use.

3. Data and Methodology

3.1. Environmentally Extended Input–Output Analysis

This study applies a global EEIO analysis to comprehensively examine the production-based, consumption-based, final production-based, and income-based renewable energy use of nations over the period from 2000 to 2021. Leontief [23] created the basic input–output model, which contains information for only one region [24]. To analyze the relationships among various regions, Moses [25] introduced the MRIO model, which uses monetary flows to analyze the economic interdependence between different national economies/regions, each composed of multiple industrial sectors [26].
The traditional single-region Leontief demand-driven model is based on a sector-by-sector matrix (z) that represents the intersectoral economic activities within a single region or country. This model quantifies the total output (x) required to satisfy a specific final demand vector (y) within the region under consideration. The relationship between these variables can be expressed as follows (Equation (1)):
x + y = z
The standard MRIO model can be expressed as follows (Equation (2)):
x 1 x 2 x r = A 11 A 12 A 21 A 22 A 1 s A 2 S A r 1 A r 2 A r s x 1 x 2 x r + s y 1 s s y 2 s s y r s
where x r is a vector for sectoral total outputs in region r, and A r s represents the coefficient matrix of industry requirements from region r to s to produce per unit of output j. y r s is the final demand supplied from region r to s, and s indicates the total number of regions, which is 189 in this study.

3.2. Accounting for Global Renewable Energy Use from Four Perspectives

Within this framework, production-based accounting evaluates a country’s function as a direct user, focusing on the renewable energy consumed within its geographical boundaries. The production-based renewable energy use in region r can be expressed as (Equation (3)) and the per capita production-based renewable energy use in region r can be written as follows (Equation (4)):
P R E r = E r X
P P R E r = E r X P r
where P R E r a n d   P P R E r represent the total and per capita production-based renewable energy use in region r, respectively. E is calculated by each sector’s renewable energy consumption divided by the sector’s total output X.   E r is the direct renewable energy intensity vector for regions r, but zeros for all other regions.   P r is the population in region r.
Consumption-based accounting examines a country’s role as the final consumer [27], encompassing both direct renewable energy use and the indirect energy embedded in the goods and services consumed within the country. The consumption-based renewable energy use in region r can be expressed as (Equation (5)) and the per capita consumption-based renewable energy use in region r can be written as follows (Equation (6)):
C R E r = E I A 1 y r
P C R E r = E I A 1 y r P r
where C R E r a n d   P C R E r represent the total and per capita production-based renewable energy use in region r, respectively. The matrix I is an identify matrix. The block matrix A is the direct input coefficient matrix. L = I A 1 is the Leontief inverse matrix, which captures the effect of global supply chains by describing both direct and indirect inputs from various sectors required to satisfy the unitary final demand of products from particular sectors; the Leontief MRIO model is regarded as demand-driven, where changes in the final demand initiate the upstream outputs. y r is the final consumption of products in region r from each sector from all regions.
Final production-based accounting evaluates a country’s role as the final producer, considering both direct renewable energy use and the indirect energy embedded in the nation’s final products across the entire production chain. The final production-based renewable energy use in region r can be expressed as (Equation (7)) and the per capita final production-based renewable energy use in region r can be written as follows (Equation (8)):
F R E r = E I A 1 y r
P F R E r = E I A 1 y r P r
where F R E r   a n d P F R E r represent the total and per capita final production-based renewable energy use in region r, respectively. y r is the final consumption of all regions from region r.
In contrast to the Leontief demand-driven model, the Ghosh MRIO model adopts a supply-driven perspective [28]. This approach views changes in primary inputs, such as labor, capital, and other resources, as the driving forces behind downstream production activities, influencing the entire supply chain. The perspective of income-based accounting focuses on a country’s role as a key supplier at the upstream stages of the production process, which refers to both direct and indirect downstream renewable energy use enabled by its primary inputs. The income-based renewable energy use in region r is expressed through (Equation (9)) and the per capita income-based renewable energy use in region r can be written as follows (Equation (10)):
I R E r = V r I B 1 E  
P I R E r = V r I B 1 E P r
where I R E r   and   P I R E r represent the total and per capita income-based renewable energy use in region r. V r is the row vector which indicates the primary input of each sector in region r. The element b i j of matrix B represents direct sales from sector i to sector j, in terms of unitary output in sector i. The block matrix B, shown in Equation (9), is the direct output coefficient matrix. The matrix ( I B ) 1 , regarded as the Ghosh Inverse matrix, captures the effect of global sales chains by describing both direct and indirect outputs from various sectors enabled by unitary primary input of particular sectors. E is the transpose of E . Table 1 shows the parameters, units, and descriptions of variables used in Equations (3)–(10) and in the main text.

3.3. Data Sources

This study uses MRIO tables and sectoral renewable energy use data to connect renewable energy use to economic activities. The MRIO tables are sourced from the Eora Global Supply Chain Database (Eora) [29,30]. The Eora data were originally created to contain as much information as possible from the original data sources using back casting and forecasting algorithms to derive time series from 1990 to 2021. This was achieved by combining different information formats for different countries, and the database covers 189 countries with an aggregated rest of the world, providing a very wide coverage of Gross Domestic Product (GDP) for each country in the world and aggregating this information into 26 industry sectors. Renewable energy use data for analysis are also available from Eora, and an important feature of Eora is that it combines environmental data with economic data to build environmentally extended MRIO models. Additionally, considering the impact of prices, this paper used World Bank’s GDP deflator to convert the corresponding data into data at constant prices in 2000. In this study, renewable energy data are represented using tera-joules (TJ), and monetary flow is represented in thousands of dollars of economic activity. The population of countries is obtained from the World Bank database [31].
Moreover, we ensured compatibility between the Eora dataset and the World Bank population data used for per capita renewable energy calculations. Specifically, we limited the analysis to 2000–2021—fully covered by both datasets—and used ISO 3-digit country codes to harmonize country identifiers. Units were aligned by dividing total renewable energy use in terajoules (TJ) by population counts in persons, with results expressed in petajoules per person (PJ/person) for clarity. These steps help ensure the validity and consistency of cross-national comparisons in per capita indicators.

4. Results and Discussion

4.1. Temporal Trends in Country’s Renewable Energy Use

Building on the research questions outlined in the introduction and the literature review, this section presents the results of our analysis, which aims to address the disparities in renewable energy use across countries and regions. By examining the data from four key perspectives—production-based, consumption-based, final production-based, and income-based accounting—we gain a more comprehensive understanding of the complex dynamics influencing global renewable energy transitions.
Figure A1 (see Appendix A) shows the trend of renewable energy use across countries from 2000 to 2021. Renewable energy use of most developing countries kept growing during 2000–2021, mainly due to their increasing primary inputs (e.g., capital and labor forces) to promote economic development. Income-based renewable energy use in China, Indonesia, and India in 2021 increased by 246.12%, 148.75% and 87.01%, respectively, compared with 2000 (Figure A1). This shows these developing countries are increasingly benefiting from both renewable energy use income and their role as providers of primary inputs.
In developing countries such as India and Brazil, the fluctuations of renewable energy use were significant before 2007, possibly due to insufficient infrastructure, fossil fuel price volatility, and a lack of continuous or sufficient policy support [32]. It is worth noting that renewable energy use in most countries dropped after 2007, probably due to the influence of the global financial crisis. The global financial crisis had little impact on income-based renewable energy use in South Africa and Indonesia, reflecting its minimal effect on capital investments in these nations as a result of their strict capital control policies.
After the global financial crisis of 2008, developing countries—such as China, South Africa, Russia, and Indonesia—have shown an upward trend in renewable energy use, and their income-based renewable energy use in 2021 increased by 59.13%, 18.40%, 8.10%, and 6.72% from 2008 levels, respectively (Figure A1). For example, for China, the growth in China’s renewable energy use is closely associated with the rapid expansion of the photovoltaic (PV) industry. As the world’s largest producer of solar panels, China has not only increased domestic solar deployment but also stimulated large-scale renewable energy consumption through its upstream manufacturing supply chains [33]. Strategic initiatives such as the “Made in China 2025” plan and successive Five-Year Plans have prioritized renewable energy technologies, further accelerating the transformation of China’s energy structure [34]. Additionally, the demands for energy security and environmental protection have driven China to further promote renewable energy development.
In the United States, renewable energy use remained the highest globally throughout the study period. This high level of consumption is partly driven by its advanced industrial infrastructure and consistent policy support. Notably, the development of shale gas since the mid-2000s has played a transformative role in reshaping the U.S. energy landscape, enabling the substitution of coal and other high-emission fuels with cleaner energy sources, thereby stimulating structural demand for renewables [35]. Furthermore, the recent resurgence of domestic manufacturing—supported by policies such as the Inflation Reduction Act (IRA) and renewable energy tax credits—has contributed to a rise in energy demand from renewable sources in industrial and construction sectors [36]. These industrial and policy linkages underline the strategic positioning of the United States in global renewable energy transitions [37].
This indicates that countries exhibit varying levels of reliance on and different investment strategies for renewable energy in response to financial crises. Despite a deceleration in global investment growth, certain countries continue to actively advance the development of renewable energy. This highlights the pivotal role renewable energy plays in fostering economic growth [38], particularly in emerging market economies such as China and India.
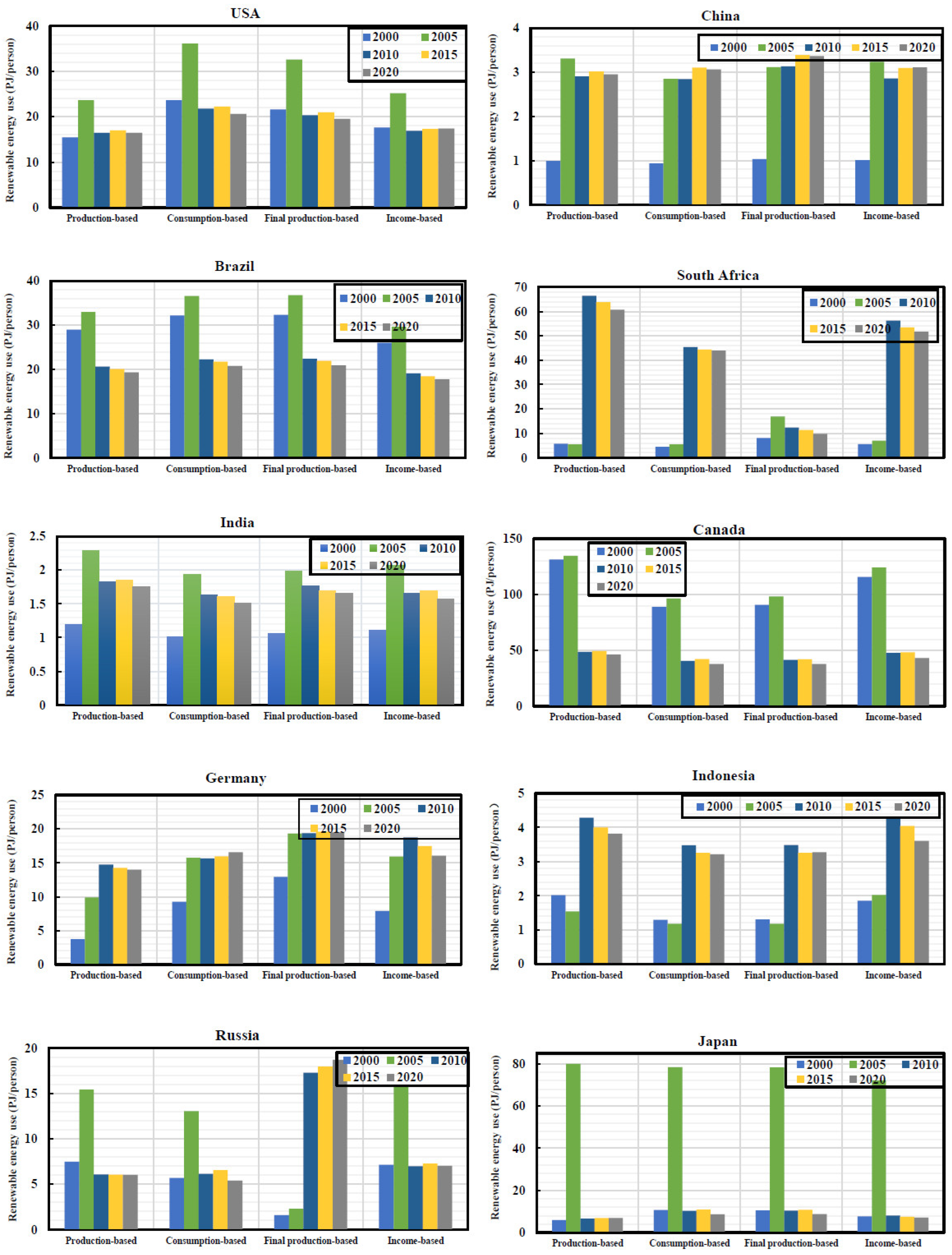
Figure A2 illustrates the temporal trends of per capita renewable energy use for the top ten countries every five years under four-perspectives accounting. As shown in Figure A2, Canada consistently ranks at the selected top in terms of per capita renewable energy use, especially under the production-based accounting method, with values reaching nearly 160 PJ per person. This is primarily due to its abundant hydroelectric resources and low population density, which significantly amplify its per capita figures [39]. In contrast, populous countries such as India, Indonesia, and China exhibit low per capita values across all accounting methods—typically below 5 PJ/person—reflecting the constraints imposed by large population sizes and less developed energy infrastructure.
In terms of temporal trends, countries demonstrate varied trajectories. Germany and India have shown steady growth in per capita renewable energy use, largely driven by national energy transition policies such as Germany’s Energiewende and India’s National Solar Mission [40,41]. China has also experienced moderate growth in production-based use in recent years, reflecting the rapid expansion of its wind and solar power capacity.

4.2. The Spatial Heterogeneity of Global Renewable Energy Use

4.2.1. Renewable Energy Use from the Perspective of Production-Based for Total and per Capita

As noted in the previous section, temporal trends provide valuable insights into how renewable energy use has developed over time in different regions. However, to fully understand the disparities, it is crucial to examine the spatial heterogeneity across countries. This section focuses on renewable energy use from different perspectives, highlighting the role of different regions in shaping global renewable energy consumption patterns.
The production perspective focuses on the renewable energy use associated with a country’s domestic production activities. This perspective is essential for understanding how industrial production contributes to renewable energy demand. In this section, we will analyze the total and per capita renewable energy use in 2021 from a production perspective, highlighting the disparities between countries based on their production activities.
Among the top ten countries shown in the Table 2 in 2021, the United States is the largest user of renewable energy, operating under a production-based accounting perspective, with renewable energy use totaling 5,451,701.95 TJ, followed by China, which ranks second with 4,172,289.25 TJ of renewable energy consumption. The significant difference in renewable energy utilization highlights the United States’ dominant role in advancing and implementing renewable energy technologies, shaped by supportive policies and strategic investments in the development of renewable energy [37]. The United States (U.S.) leads in production-based renewable energy use largely because federal incentives—namely, the Production Tax Credit (PTC) and Investment Tax Credit (ITC)—have materially lowered project costs and accelerated deployment of wind and solar at utility scale [42]. Empirical work also links large U.S. wind build-outs to these incentives, with significant local economic effects accompanying capacity additions [43].
South Africa stands out with the highest consumption at 60.06 PJ/person, followed by Canada at 46.13 PJ/person. Countries with high per capita use, such as South Africa and Canada, may serve as benchmarks for expanding renewable energy accessibility, whereas countries with lower per capita usage should focus on enhancing infrastructure and policy measures to improve sustainability [44].

4.2.2. Renewable Energy Use from the Perspective of Consumption-Based for Total and per Capita

From the perspective of consumption-based accounting, all the renewable energy uses are allocated to the final consumer of the products and service. This perspective is critical for understanding how a country’s consumption patterns influence its overall renewable energy demand. In this section, we will explore the total and per capita renewable energy use in 2021 from the consumption perspective, revealing the variations between countries. Similarly, the U.S. remains the largest user of renewable energy in 2021 (Table 3), accounting to around 6,560,930.8 TJ, followed by China and Brazil, each surpassing 4,000,000 TJ. These findings indicate the significant renewable energy production capacity of these countries, largely driven by their industrial demands [45] and government incentives [46] supporting renewable energy integration. High consumption-based renewable energy use in China and Brazil is consistent with their roles as major clean-tech and low-carbon fuel producers. Other researchers have studied China’s policy-driven rise to dominance across the solar photovoltaic (PV) manufacturing chain (from polysilicon through modules), linking domestic demand with export-oriented supply chains [47]. For Brazil, sugarcane ethanol remains central to transport fuels, with recent assessments indicating ethanol contributes roughly half of the gasoline–ethanol energy mix in typical years, reinforcing both domestic consumption and trade relevance [48].
South Africa ranks first with 42.80 PJ/person spurred by government incentives and the Renewable Energy Independent Power Producer Procurement Programme (REIPPPP) [49], followed by Canada reaching at 36.21 PJ/person due to its abundant hydropower re-sources [50].In contrast, China, India, and Indonesia report the relative lowest per capita renewable energy use largely due to their fossil fuels (e.g., coal for China [51] ) and large populations.

4.2.3. Renewable Energy Use from the Perspective of Final Production-Based for Total and per Capita

The perspective of final production-based focuses on renewable energy use associated with final products across the global supply chain. For a country that mainly serves as a producer of intermediate products, the renewable energy use allocated to it is supposed to be much less than that allocated to a producer of final goods. This perspective is especially important for understanding the renewable energy embodied in products that are exported or consumed domestically. In this section, we will analyze the total and per capita renewable energy use from the final production perspective in 2021, shedding light on the role of global supply chains.
From the perspective of final production-based, the U.S. leads in renewable energy production with 6,226,498.1 TJ, far surpassing other countries (Table 4). Following the U.S. is China. This is due to their status as prominent global exporters. Brazil, India, and Germany also demonstrate considerable renewable energy usage, indicating substantial integration into their trade products. The above-mentioned information reflects the renewable energy use in final products across the global supply chain [52]. Final production-based use captures renewable energy embodied in goods delivered to end users. Because China and the U.S. are manufacturing hubs for wind turbines, PV modules, and other clean-energy equipment, sizeable renewable energy is embodied in final goods even when consumed abroad—an effect documented in recent clean-tech supply-chain studies [47].
As shown in Table 4, Canada exhibits the highest per capita renewable energy consumption at 36.19 PJ/person, predominantly attributable to its extensive hydroelectric resources and comparatively small population [53]. High-population nations such as China and India exhibit relatively lower per capita figures despite substantial total renewable energy use, as the similar volume of renewable resources is distributed among far larger populations [54].

4.2.4. Renewable Energy Use from the Perspective of Income-Based for Total and per Capita

The perspective of income-based accounting focuses on a country’s role as a primary supplier of inputs in the production process, which influences both direct and indirect renewable energy consumption. This approach highlights the upstream economic activities that contribute to renewable energy use. Obviously, the U.S. and China are the global leaders, with a total use of 5,759,438.4 TJ and 4,422,647.8 TJ (Table 5), respectively, far exceeding other countries. In this framework, countries (the U.S. and China) with relatively high gross domestic product (GDP) and strong international trade links emerge with substantial totals, as their income-driven consumption and investment patterns directly influence renewable energy use [55]. Income-based renewable energy use aligns with investment capacity and upstream factor payments. In 2021, clean-energy investment reached roughly USD 380 billion in China and USD 215 billion in the U.S., supporting large-scale integration of wind and solar and reinforcing high income-based totals [56].
In terms of per capita renewable energy use, South Africa exhibits the highest per capita use at 51.29 PJ/person, followed by Canada at 42.95 PJ/person. This indicates a significant contribution of renewable energy to these countries’ export-driven sectors relative to their populations. In contrast, populous countries such as China and India display much lower per capita figures, reflecting challenges in scaling renewable energy to match extensive population sizes and diverse economic activities.

4.2.5. Comparison of the Different Perspectives

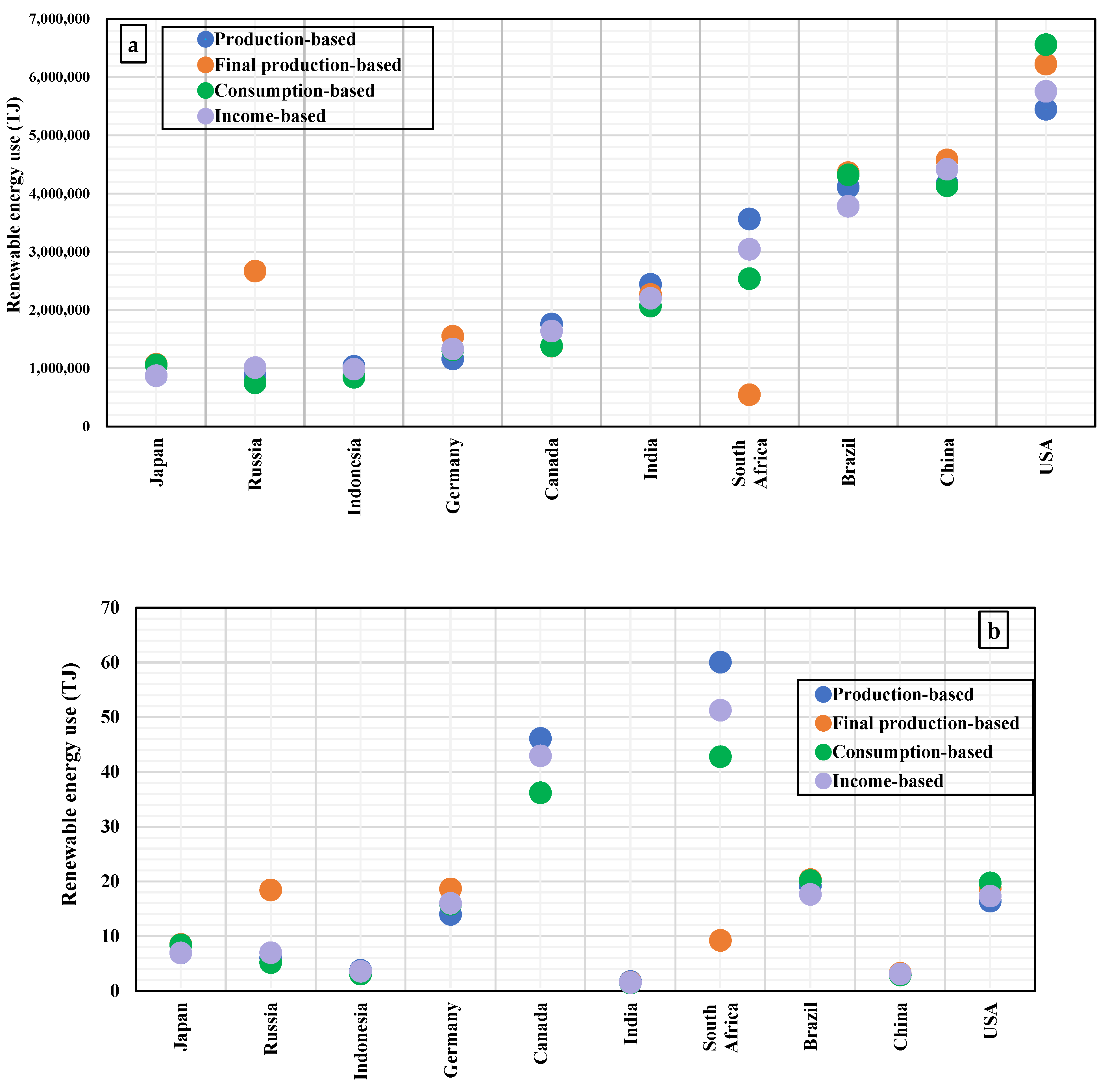
In this section, we compare the renewable energy use across the four perspectives: production-based, consumption-based, final production-based, and income-based. This comparison highlights the varying roles that different countries play in the global renewable energy landscape. Figure 1a presents the renewable energy use of ten countries in 2021 across four perspectives. Clearly, the U.S. is the largest renewable energy user across all four perspectives. The production-, consumption-, final production-, and income-based renewable energy use in 2021 amounted to 5,451,701.9 TJ, 6,560,930.8 TJ, 6,226,498.1 TJ, and 5,759,438.4 TJ, respectively.
Canada and South Africa demonstrated higher income-based renewable energy use. In Canada, income-based renewable energy use was 18.67% and 18.62% higher than the final production- and consumption-based figures, respectively. As a primary supplier of renewable energy, this reflects their substantial contribution to global energy transition processes [57].
Conversely, the opposite trend is observed in resource-importing countries. In the U.S., income-based renewable energy use was 7.5% and 12.2% lower than the consumption- and final production-based figures in 2021, respectively. Similarly, Brazil’s income-based renewable energy use was 8.03%, 12.49%, and 13.27% lower than its production-, consumption-, and final production-based use, respectively, in 2021. These countries are major importers of resources and are positioned in the downstream stages of global supply chains. They play a more significant role as producers or final consumers rather than as primary suppliers in the global renewable energy market.
Renewable energy use is primarily domestic in nature, yet it is evident that some countries display a mismatch between renewable energy production and consumption. This misalignment is particularly apparent in countries with a large industrial base, where energy use is heavily concentrated in industrial and large-scale production sectors, such as manufacturing and heavy industries. This suggests that renewable energy is being primarily utilized by industrial sectors, which often require large amounts of energy for their operations, rather than benefiting ordinary consumers. The discrepancy becomes more significant in countries like the U.S., South Africa, and China, where renewable energy resources are abundant, but the distribution of these resources to everyday consumers remains limited [58]. One potential reason for this phenomenon is the prioritization of industrial needs over household or residential consumption, reflecting the higher energy demands of large-scale production and export-driven economies [59].
In Figure 1b, we can observe that developed countries such as the U.S. and Canada tend to have higher per capita renewable energy use from all four perspectives in 2021, largely due to their advanced infrastructure, consumption patterns, and well-established energy production systems [60]. Specifically, the high levels of industrialization, coupled with mature and diverse renewable energy systems, support their relatively high per capita renewable energy use. In general, developing countries like China, India, and Brazil display relatively lower per capita renewable energy use. Despite their large total renewable energy use, the vast population size in these countries dilutes the per capita figures, which remain comparatively low. This discrepancy highlights the challenge of achieving higher per capita renewable energy use in populous countries, where growth in energy consumption tends to be more distributed across a larger base of consumers.

4.3. Sectoral Contributions in Different Perspective

Building on the previous sections, which focused on the temporal and spatial aspects of renewable energy use, this section shifts its focus to sectoral contributions. By analyzing the renewable energy use across various sectors, we aim to uncover the driving forces behind global energy transitions, highlighting the industries that are most influential in determining renewable energy demand.
The sectoral contributions analysis (Figure 2) shows that the top ten sectors in income-based renewable energy use in 2021 are mainly related to basic materials (i.e., agriculture, mining, metals, and electricity) and manufacturing-related services (i.e., financial and business, wholesale trade, transport, and other services). Basic materials and these services are essential to industrial production and drive substantial downstream renewable energy use. Additionally, these sectors are predominantly found in countries with high GDP, such as the U.S., China, India, Russia, and Brazil. Under the four-perspectives accounting, the electricity, gas, and water sector (S1) consistently emerges as the primary contributor to renewable energy use.
Figure 2. Sectoral renewable energy use from four perspectives in 2021. The full names of the sectors are in Table 6.
Figure 2. Sectoral renewable energy use from four perspectives in 2021. The full names of the sectors are in Table 6.
Sustainability 17 07822 g002
Table 6. The full names of the sectors.
Table 6. The full names of the sectors.
NumSector
S1Electricity, Gas, and Water
S2Financial and Business
S3Mining and Quarrying
S4Petroleum, Chemical, and Non-Metallic Mineral Products
S5Transport
S6Wood and Paper
S7Electrical and Machinery
S8Retail Trade
S9Wholesale Trade
S10Metal Products
Within the production-based accounting framework, this sector accounts for the highest share (about 60 percent), followed by the petroleum, chemical, and non-metallic mineral products sector (S4). This distribution highlights two underlying mechanisms. First, structural reliance of the electricity sector. The sector’s profound dependence on large-scale renewable energy systems (e.g., hydropower plants, photovoltaic stations) serves as the cornerstone for decarbonizing primary energy production, particularly in economies transitioning toward grid modernization and energy storage integration. Second, strategic transition of traditional high-carbon industries. The petroleum and chemical sector actively integrates renewable energy through hybrid energy strategies (e.g., biomass co-firing, green hydrogen pilot projects), driven by dual motivations—policy mandates (e.g., carbon pricing, sectoral emission reduction targets) and market adaptation (e.g., low-carbon supply chain requirements).
The diversified renewable energy use patterns under consumption- and final production-based accounting highlight demand-side drivers across key sectors. For example, the transport sector’s (S5) prominence likely stems from accelerated electric vehicle adoption (e.g., EU’s 2035 combustion-engine ban [61] and biofuel mandates (e.g., Brazil’s ethanol blending policy [62]), reflecting policy-driven shifts in end-use decarbonization. Notably, the petroleum, chemical, and non-metallic mineral products sector (S4) demonstrates a dual transition: proactive adoption of green hydrogen for ammonia synthesis and reactive compliance with supply chain decarbonization requirements (e.g., Walmart’s Project Gigaton). These examples underscore how market signals and regulatory frameworks jointly shape renewable penetration beyond production-centric approaches.
Under the income-based accounting framework, while the electricity, gas, and water sector (S1) retains its leading position, its reduced share compared to the production-based perspective alongside the rising prominence of the financial and business sector (S2)— reveals the growing significance of indirect economic activities in shaping renewable energy transitions. The financial sector’s contribution likely stems from its role in financing renewable projects (e.g., green bonds, ESG investments) or facilitating carbon credit markets, illustrating how capital allocation and market mechanisms indirectly amplify renewable adoption. This divergence highlights that energy transitions are not solely driven by direct production activities but are increasingly mediated by economic value chains and service-oriented leverage points.

5. Conclusions and Policy Implications

This study utilizes the environmentally extended multi-regional input–output (EEIO) model to systematically analyze global disparities in renewable energy use from four perspectives (production-based, consumption-based, final production-based, and income-based) over the period of 2000 to 2021. The findings reveal significant heterogeneity across countries and on a per capita basis in the global renewable energy landscape. First, substantial cross-country’s disparities in renewable energy use are observed across all four perspectives. In 2021, the United States emerged as the largest user of renewable energy in terms of total usage. Although several developing countries (such as China (around 4 PJ/person) and India (approximately 3 PJ/person)) have demonstrated rapid growth in total renewable energy use, their per capita figures remain notably lower than those of developed countries due to demographic dilution effects. Second, countries’ roles within the global supply chain vary, resulting in considerable differences in renewable energy attribution across accounting frameworks. Resource-exporting countries such as Canada and South Africa exhibit high renewable energy usage under the income-based perspective, underscoring their upstream position in global production networks. In contrast, resource-importing economies like the United States and Brazil show lower income-based figures, highlighting their roles as downstream producers or final consumers. Finally, the electricity, gas, and water supply sector consistently ranks as the largest contributor to renewable energy use, particularly under the production- and income-based accounting. Additionally, sectors such as transport, food and beverages, and financial services emerge as major contributors in the consumption and final production perspectives, highlighting the complex and distributed nature of energy demand across economies.
Starting from the above conclusions, four policy suggestions are offered to address regional and personal disparities and enhance equitable energy transitions. First, for resource-exporting countries such as Canada, it is crucial to enhance their role as reliable global suppliers of renewable energy. Governments should establish national-level green certification systems, such as a green hydrogen certification program, to ensure traceability and credibility in international markets. Canada’s Hydrogen Strategy [63] already sets a framework for certification and cross-border cooperation, providing a replicable model for other exporters. Second, for resource-importing countries like the United States, the policy focus should be on ensuring equitable access to renewable energy across sectors and income groups. In the residential sector, means-tested subsidies and direct rebates can reduce the upfront costs of rooftop solar panels and heat pumps, especially for low- and middle-income households. The Inflation Reduction Act provides concrete examples, including tax credits and rebates, which can be expanded to additional clean technologies. Third, international coordination is essential to resolve mismatches between renewable energy production and consumption. The International Renewable Energy Agency [64] has advanced proposals for harmonized renewable energy certificate (REC) systems, which could serve as the basis for a globally recognized platform. Such a platform would standardize certification, enhance credibility in cross-border renewable energy trade, and ensure equitable participation by both exporters and importers. Fourth, the financial sector must play a catalytic role in accelerating energy transitions. Policymakers should promote green financial instruments such as sovereign green bonds, ESG-linked loans, and blended finance platforms to mobilize private capital for renewable energy deployment. The European Green Bond Standard proposed by the European Commission provides a concrete regulatory framework that enhances transparency, comparability, and investor confidence, offering a model for other regions [65]. Expanding voluntary carbon markets and linking them with renewable energy projects could further improve return-on-investment profiles and attract institutional investors.
Although this study provides a comprehensive analysis from multiple perspectives and closely aligns with its secondary research objectives, there are several important limitations that should be acknowledged. First, renewable energy was treated as a single category, without distinguishing among different sources such as wind, solar, or hydro, limiting insights into their distinct roles across regions and sectors. Second, the MRIO model assumes barrier-free trade between countries, without considering tariffs, non-tariff barriers, or other forms of trade restrictions. While these factors may significantly impact energy flows in reality, the MRIO model simplifies this assumption. Third, the MRIO model does not incorporate non-market factors such as geopolitical events or policy changes, which may play an important role in global energy supply chains.

Author Contributions

Methodology, H.H.; Data curation, Z.W.; Writing—original draft preparation, Z.W.; Writing—review and editing, H.H.; software, Z.J.; supervision, T.L.; data curation, Z.Q. All authors have read and agreed to the published version of the manuscript.

Funding

This work was supported by the National Social Science Fund of China under Grant [number 24BTJ014].

Institutional Review Board Statement

Not applicable.

Informed Consent Statement

Not applicable.

Data Availability Statement

Original data used in this paper can be found from the Eora Global Supply Chain Database (Available online: https://worldmrio.com/eora26/ (Accessed on 30 June 2024)) and the World Bank (Available online: http://data.worldbank.org (Accessed on 30 June 2024)).

Acknowledgments

We are grateful for insightful comments and suggestions made by the editor and anonymous reviewers.

Conflicts of Interest

The authors declare no conflicts of interest.

Abbreviations

The following abbreviations are used in this manuscript:
MRIOMulti-regional input–output
EEIOEnvironmentally extended input–output
EJExajoules
PJPetajoules
TJTerajoules
EoraEora Global Supply Chain Database
GDPGross domestic product
PTCProduction Tax Credit
ITCInvestment Tax Credit
RECRenewable energy certificate
ESGEnvironmental, Social, and Governance
IPCCIntergovernmental Panel on Climate Change
PVPhotovoltaic
IRAInflation Reduction Act

Appendix A

Figure A1. Total renewable energy use for the selected ten countries over the period 2000—2021.The dashed lines represent the impact of the 2008 global financial crisis.
Figure A1. Total renewable energy use for the selected ten countries over the period 2000—2021.The dashed lines represent the impact of the 2008 global financial crisis.
Sustainability 17 07822 g0a1
Figure A2. Per capita renewable energy use for the selected ten countries every five years. Note: To enhance clarity, the figure displays data at five-year intervals instead of annual values. For continuous trends and major fluctuation events (e.g., the 2008 financial crisis), please refer to Appendix A Figure A1.
Figure A2. Per capita renewable energy use for the selected ten countries every five years. Note: To enhance clarity, the figure displays data at five-year intervals instead of annual values. For continuous trends and major fluctuation events (e.g., the 2008 financial crisis), please refer to Appendix A Figure A1.
Sustainability 17 07822 g0a2

References

  1. IPCC, Climate Change 2023: Synthesis Report. 2023. Available online: https://doi.org/10.59327/IPCC/AR6-9789291691647 (accessed on 15 January 2025).
  2. NIU, S.-L.; Chen, W.-N. Global change and ecosystems research progress and prospect. Chin. J. Plant Ecol. 2020, 44, 449. [Google Scholar] [CrossRef]
  3. International Energy Agency World Energy Outlook 2024. 2024. Available online: https://www.iea.org/reports/world-energy-outlook-2024 (accessed on 20 February 2025).
  4. Li, M.; Liu, X.; Yang, M. Analyzing the regional inequality of renewable energy consumption and its driving factors: Evidence from China. Renewable Energy. Renew. Energy 2024, 223, 120043. [Google Scholar] [CrossRef]
  5. Sinha, A. Inequality of renewable energy generation across OECD countries: A note. Renew. Sustain. Energy Rev. 2017, 79, 9–14. [Google Scholar] [CrossRef]
  6. Li, Z.; Luan, R.; Lin, B. The trend and factors affecting renewable energy distribution and disparity across countries. Energy 2022, 254, 124265. [Google Scholar] [CrossRef]
  7. Liu, Y. Energy consumption inequality in China: What can an agent-based model tell us? Energy Environ. 2023, 34, 3020–3038. [Google Scholar] [CrossRef]
  8. Lan, J.; Malik, A.; Lenzen, M.; McBain, D.; Kanemoto, K. A structural decomposition analysis of global energy footprints. Appl. Energy 2016, 163, 436–451. [Google Scholar] [CrossRef]
  9. Chen, Q.; Xu, C.; Wang, Q. Critical contributors and transmission paths of energy consumption in China’s supply chains network. Energy Policy 2025, 198, 114481. [Google Scholar] [CrossRef]
  10. Safi, A.; Chen, Y.; Wahab, S.; Ali, S.; Yi, X.; Imran, M. Financial Instability and Consumption-based Carbon Emission in E-7 Countries: The Role of Trade and Economic Growth. Sustain. Prod. Consum. 2021, 27, 383–391. [Google Scholar] [CrossRef]
  11. Wu, X.; Guo, J.; Meng, J.; Chen, G. Energy use by globalized economy: Total-consumption-based perspective via multi-region input-output accounting. Sci. Total Environ. 2019, 662, 65–76. [Google Scholar] [CrossRef] [PubMed]
  12. Wang, Q.; Jiang, F.; Li, R. Assessing supply chain greenness from the perspective of embodied renewable energy—A data envelopment analysis using multi-regional input-output analysis. Renew. Energy 2022, 189, 1292–1305. [Google Scholar] [CrossRef]
  13. Wang, Q.; Liu, Y. India’s renewable energy: New insights from multi-regional input output and structural decomposition analysis. J. Clean. Prod. 2021, 283, 124230. [Google Scholar] [CrossRef]
  14. Li, R.; Wang, Q.; Han, X.; Yang, X. Trajectory and drivers of China’s consumption-based and production-based renewable energy consumption. Energy Strategy Rev. 2023, 47, 101083. [Google Scholar] [CrossRef]
  15. Meng, J.; Hu, X.; Chen, P.; Coffman, D.M.; Han, M. The unequal contribution to global energy consumption along the supply chain. J. Environ. Manag. 2020, 268, 110701. [Google Scholar] [CrossRef] [PubMed]
  16. Gibbon, P. Upgrading primary production: A global commodity chain approach. World Dev. 2001, 29, 345–363. [Google Scholar] [CrossRef]
  17. Hull, B.Z. Are supply (driven) chains forgotten? Int. J. Logist. Manag. 2005, 16, 218–236. [Google Scholar] [CrossRef]
  18. Marques, A.; Rodrigues, J.; Domingos, T. International trade and the geographical separation between income and enabled carbon emissions. Ecol. Econ. 2013, 89, 162–169. [Google Scholar] [CrossRef]
  19. Steininger, K.W.; Lininger, C.; Meyer, L.H.; Muñoz, P.; Schinko, T. Multiple carbon accounting to support just and effective climate policies. Nat. Clim. Change 2016, 6, 35–41. [Google Scholar] [CrossRef]
  20. Zhai, M.Y.; Huang, G.H.; Liu, H.Z.; Liu, L.R.; He, C.Y.; Liu, Z.P. Three-perspective energy-carbon nexus analysis for developing China’s policies of CO2-emission mitigation. Sci. Total Environ. 2020, 705, 135857. [Google Scholar] [CrossRef] [PubMed]
  21. Li, Y.J.; Chen, B.; Fang, D.L.; Zhang, B.Y.; Bai, J.H.; Liu, G.Y.; Zhang, Y. Drivers of energy-related PM2.5 emissions in the Jing-Jin-Ji region between 2002 and 2015. Appl. Energy 2021, 288, 116668. [Google Scholar] [CrossRef]
  22. Wen, W.; Su, Y.; Tang, Y.E.; Zhang, X.M.; Hu, Y.C.; Ben, Y.W.; Qu, S. Evaluating carbon emissions reduction compliance based on ‘dual control’ policies of energy consumption and carbon emissions in China. J. Environ. Manag. 2024, 367, 121990. [Google Scholar] [CrossRef]
  23. Leontief, W.W. Studies in the Structure of the American Economy: Theoretical and Empirical Explorations in Input-Output Analysis; Oxford University Press: New York, NY, USA, 1953. [Google Scholar]
  24. Tarne, P.; Lehmann, A.; Finkbeiner, M. A comparison of Multi-Regional Input-Output databases regarding transaction structure and supply chain analysis. J. Clean. Prod. 2018, 196, 1486–1500. [Google Scholar] [CrossRef]
  25. Moses, L.N. The stability of interregional trading patterns and input-output analysis. Am. Econ. Rev. 1955, 45, 803–826. [Google Scholar]
  26. Rocco, M.V.; Ferrer, R.J.F.; Colombo, E. Understanding the energy metabolism of World economies through the joint use of Production- and Consumption-based energy accountings. Appl. Energy 2018, 211, 590–603. [Google Scholar] [CrossRef]
  27. Yi, K.; Meng, J.; Yang, H.; He, C.; Henze, D.K.; Liu, J.; Guan, D.; Liu, Z.; Zhang, L.; Zhu, X.; et al. The cascade of global trade to large climate forcing over the Tibetan Plateau glaciers. Nat. Commun. 2019, 10, 3281. [Google Scholar] [CrossRef] [PubMed]
  28. Ghosh, A. Input-output approach in an allocation system. Economica 1958, 25, 58–64. Available online: http://www.jstor.org/stable/2550694 (accessed on 20 February 2025). [CrossRef]
  29. Lenzen, M.M.; Moran, D.; Kanemoto, K.; Geschke, A. Building Eora: A Global Multi-Region Input–Output Database at High Country and Sector Resolution. Econ. Syst. Res. 2013, 25, 20–49. [Google Scholar] [CrossRef]
  30. Lenzen, M.K.; Kanemoto, K.; Moran, D.; Geschke, A. Mapping the Structure of the World Economy. Environ. Sci. Technol. 2012, 46, 8374–8381. [Google Scholar] [CrossRef]
  31. Bank, W. World Development Indicators. Available online: http://data.worldbank.org (accessed on 10 November 2024).
  32. Gozgor, G. Are shocks to renewable energy consumption permanent or transitory? An empirical investigation for Brazil, China, and India. Renew. Sustain. Energy Rev. 2016, 66, 913–919. [Google Scholar] [CrossRef]
  33. Liu, W.; Fan, W.; Hong, Y.; Chen, C. A study on the comprehensive evaluation and analysis of China’s renewable energy development and regional energy development. Front. Energy Res. 2021, 9, 635570. [Google Scholar] [CrossRef]
  34. Zhang, F.; Gallagher, K.S. Innovation and technology transfer through global value chains: Evidence from China’s PV industry. Energy Policy 2016, 94, 191–203. [Google Scholar] [CrossRef]
  35. US Energy Information Administration. Annual Energy Outlook 2022: With Projections to 2050; US Energy Information Administration: Washington, DC, USA, 2022. Available online: https://www.eia.gov/outlooks/aeo/pdf/AEO2022_Narrative.pdf (accessed on 15 August 2025).
  36. Afordable Care Act. In Inflation Reduction Act Guidebook: Clean Energy and Climate Provisions; The White House: Washington, DC, USA, 2022. Available online: https://www.whitehouse.gov/wp-content/uploads/2022/12/Inflation-Reduction-Act-Guidebook.pdf (accessed on 15 August 2025).
  37. Muhammed, G.; Tekbiyik-Ersoy, N. Development of Renewable Energy in China, USA, and Brazil: A Comparative Study on Renewable Energy Policies. Sustainability 2020, 12, 9136. [Google Scholar] [CrossRef]
  38. Hieu, V.M.; Mai, N.H. Impact of renewable energy on economic growth? Novel evidence from developing countries through MMQR estimations. Environ. Sci. Pollut. Res. 2023, 30, 578–593. [Google Scholar] [CrossRef]
  39. IEA. World Energy Balances 2023 Edition Database Documentation. 2023. Available online: https://www.iea.org/data-and-statistics/data-product/world-energy-balances (accessed on 15 February 2025).
  40. IEA. Germany 2020 Energy Policy Review. 2020. Available online: https://www.iea.org/reports/germany-2020 (accessed on 22 May 2025).
  41. Ministry of New and Renewable Energy. Annual Report 2019–20; Government of India: New Delhi, India, 2020. Available online: https://www.mnre.gov.ws/wp-content/uploads/2024/10/AR-2019-2020-English.pdf (accessed on 20 February 2025).
  42. Susskind, L.; Chun, J.; Gant, A.; Hodgkins, C.; Cohen, J.; Lohmar, S. Sources of opposition to renewable energy projects in the United States. Energy Policy 2022, 165, 112922. [Google Scholar] [CrossRef]
  43. Brunner, E.J.; Schwegman, D.J. Commercial wind energy installations and local economic development: Evidence from US counties. Energy Policy 2022, 165, 112993. [Google Scholar] [CrossRef]
  44. Julie, D.; Rosemberg, A. Renewable Energy Tracker 2024. 2024. Available online: https://climatenetwork.org/wp-content/uploads/2024/10/CAN-I-Renewable-Energy-Tracker-2024.pdf (accessed on 20 February 2025).
  45. Zhen, W.; Xin-gang, Z.; Ying, Z. Biased technological progress and total factor productivity growth: From the perspective of China’s renewable energy industry. Renew. Sustain. Energy Rev. 2021, 146, 111136. [Google Scholar] [CrossRef]
  46. Werner, D.; Lazaro, L.L.B. The policy dimension of energy transition: The Brazilian case in promoting renewable energies (2000–2022). Energy Policy 2023, 175, 113480. [Google Scholar] [CrossRef]
  47. Cui, C.; Lonergan, K.E.; Sansavini, G. Policy-driven transformation of global solar PV supply chains and resulting impacts. Nat. Commun. 2025, 16, 6742. [Google Scholar] [CrossRef] [PubMed]
  48. Pelkmans, L.E. Implementation of Bioenergy in Brazil—2021 Update. Paris, 2021. Available online: https://www.ieabioenergy.com/wp-content/uploads/2021/11/CountryReport2021_Brazil_final.pdf (accessed on 20 February 2025).
  49. Eberhard, A.; Naude, R. The South African Renewable Energy Independent Power Producer Procurement Programme: A review and lessons learned. J. Energy South. Afr. 2017, 27, 1–14. [Google Scholar] [CrossRef]
  50. International Energy Agency. World Energy Outlook 2021. 2021. Available online: https://www.iea.org/reports/world-energy-outlook-2021 (accessed on 20 February 2025).
  51. Meidan, M. The Outlook for China’s Fossil Fuel Consumption Under the Energy Transition and its Geopolitical Implications. Oxford Institute for Energy Studies: Oxford, UK, 2023; Available online: https://www.oxfordenergy.org/wpcms/wp-content/uploads/2023/06/CE8-The-outlook-for-Chinas-fossil-fuel-consumption.pdf (accessed on 20 February 2025).
  52. Hannah, R.M.R.; Pablo, R. Renewable Energy. 2020. Available online: https://ourworldindata.org/renewable-energy (accessed on 11 May 2025).
  53. International Renewable Energy Agency (IRENA). Renewable Energy Statistics 2021. 2021. Available online: https://www.irena.org/publications (accessed on 20 February 2025).
  54. Rahman, M.M.; Husnain, M.I.U.; Azimi, M.N. An environmental perspective of energy consumption, overpopulation, and human capital barriers in South Asia. Sci. Rep. 2024, 14, 4420. [Google Scholar] [CrossRef]
  55. Estevão, J.; Lopes, J.D. SDG7 and renewable energy consumption: The influence of energy sources. Technol. Forecast. Soc. Change 2024, 198, 123004. [Google Scholar] [CrossRef]
  56. EPA. Summary of Inflation Reduction Act Provisions Related to Renewable Energy. 2022. Available online: https://www.epa.gov/green-power-markets/summary-inflation-reduction-act-provisions-related-renewable-energy (accessed on 22 May 2025).
  57. IRENA. Socio-Economic Footprint of the Energy Transition: South Africa; Energy Agency Abu Dhabi: Abu Dhabi, United Arab Emirates, 2023. [Google Scholar]
  58. Li, M.; Han, C.; Meng, L.; Liu, P. Spatiotemporal dynamics and factors of renewable energy mismatch in China. Renew. Sustain. Energy Rev. 2025, 212, 115424. [Google Scholar] [CrossRef]
  59. IEA. World Energy Outlook 2023. 2023. Available online: https://www.iea.org/reports/world-energy-outlook-2023 (accessed on 15 February 2025).
  60. Ali, M.I.; Islam, M.M.; Ceh, B. Green versus grey: Impact of renewable and non-renewable energy usage on Canada’s growth trajectory in the context of internal and external forces. Sustain. Futures 2024, 8, 100258. [Google Scholar] [CrossRef]
  61. European Commission. Fit for 55: Delivering the EU’s 2030 Climate Target; European Commission: Brussels, Belgium, 2023; Available online: https://ec.europa.eu/commission/presscorner/detail/en/ip_23_763 (accessed on 15 February 2025).
  62. Aguiar, D.R.D.; Taheripour, F.; Silva, D.A.L. Ethanol fuel in Brazil: Policies and carbon emission avoidance. Biofuels 2025, 16, 248–258. [Google Scholar] [CrossRef]
  63. Natural Resources Canada. Hydrogen Strategy for Canada. 2022. Available online: https://www.nrcan.gc.ca/sites/nrcan/files/environment/hydrogen/NRCan_Hydrogen-Strategy-Canada-na-en-v3.pdf (accessed on 20 February 2025).
  64. International Renewable Energy Agency. Renewable Energy Certificates: Facilitating Renewable Energy Deployment. 2020. Available online: https://www.irena.org/Publications/2020/Dec/Renewable-Energy-Certificates (accessed on 15 August 2025).
  65. European Commission. Proposal for a Regulation of the European Parliament and of the Council on European Green Bonds 2021. Available online: https://eur-lex.europa.eu/resource.html?format=PDF&uri=cellar:e77212e8-df07-11eb-895a-01aa75ed71a1.0001.02/DOC_1 (accessed on 15 February 2025).
Figure 1. Results for the ten countries across four perspectives: (a) total renewable energy use and (b) per capita renewable energy use in 2021.
Figure 1. Results for the ten countries across four perspectives: (a) total renewable energy use and (b) per capita renewable energy use in 2021.
Sustainability 17 07822 g001
Table 1. Definitions of variables used in Equations (3)–(10) and in the main text.
Table 1. Definitions of variables used in Equations (3)–(10) and in the main text.
VariableParameterUnitDescription
P R E r TJProduction-based renewable energy use in region r
E r TJ thousands of dollars−1direct renewable energy intensity vector for regions r, but zeros for all other regions
X thousands of dollarssector’s total output
P P R E r P R E r / P r TJ person−1per capita production-based renewable energy use in region r
P r personpopulation in region r
C R E r TJConsumption-based renewable energy use in region r
E TJ thousands of dollars−1each sector’s renewable energy use divided by the sector’s total output X
I A 1 thousands of dollarsLeontief inverse matrix
y r thousands of dollarsfinal consumption of products in region r from each sector from all regions
P C R E r C R E r / P r TJ person−1per capita consumption-based renewable energy use in region r
F R E r TJfinal production-based renewable energy use in region r
y r thousands of dollarsthe final consumption of all regions from region r
P F R E r F R E r / P r TJ person−1per capita final production-based renewable energy use in region r
I R E r TJIncome-based renewable energy use in region r
V r thousands of dollarsprimary input of each sector in region r
I B 1 thousands of dollarsGhosh Inverse matrix
E TJ thousands of dollars−1the transpose of E
P I R E r I R E r / P r TJ person−1per capita income-based renewable energy use in region r
Table 2. Results for the top ten countries from the perspective of production-based renewable energy use in 2021.
Table 2. Results for the top ten countries from the perspective of production-based renewable energy use in 2021.
CountriesTotal Renewable Energy Use (TJ)Per Capita Renewable Energy Use (PJ/Person)
USA5,451,701.9516.42
China4,172,289.252.95
Brazil4,115,603.9119.20
South Africa3,567,607.0760.07
India2,445,845.211.74
Canada1,764,046.1346.13
Germany1,165,185.9914.01
Indonesia1,037,571.663.79
Japan874,413.476.96
Italy756,115.5312.79
Table 3. Results for the top ten countries from the perspective of consumption-based renewable energy use in 2021.
Table 3. Results for the top ten countries from the perspective of consumption-based renewable energy use in 2021.
CountriesTotal Renewable Energy Use (TJ)Per Capita Renewable Energy Use (PJ/Person)
USA6,560,930.82 19.75892495
Brazil4,325,029.76 20.17965742
China4,137,512.57 2.929502796
South Africa2,542,052.15 42.80107146
India2,070,746.03 1.471156026
Canada1,384,770.75 36.21275291
Germany1,319,215.72 15.85670568
Japan1,061,496.64 8.44591971
Italy852,445.15 14.41568432
Indonesia849,392.12 3.102766086
Table 4. Results for the top ten countries from the perspective of final production-based renewable energy use in 2021.
Table 4. Results for the top ten countries from the perspective of final production-based renewable energy use in 2021.
CountriesTotal Renewable Energy Use (TJ)Per Capita Renewable Energy Use (PJ/Person)
USA6,226,498.1518.75
China4,582,740.853.24
Brazil4,363,980.2020.36
Russia2,671,649.2018.46
India2,272,395.021.61
Germany1,552,157.0618.66
Canada1,384,205.0636.20
Japan1,071,858.688.53
Italy942,554.2615.94
France882,536.6813.02
Table 5. Results for the top ten countries from the perspective of income-based renewable energy use in 2021.
Table 5. Results for the top ten countries from the perspective of income-based renewable energy use in 2021.
CountriesTotal Renewable Energy Use (TJ)Per Capita Renewable Energy Use (PJ/Person)
USA5,759,438.4717.35
China4,422,647.853.13
Brazil3,784,808.7717.66
South Africa3,046,578.9951.30
India2,204,677.411.57
Canada1,642,731.5142.96
Germany1,334,242.7816.04
Russia1,014,155.287.01
Indonesia989,047.333.61
Japan875,424.646.97
Disclaimer/Publisher’s Note: The statements, opinions and data contained in all publications are solely those of the individual author(s) and contributor(s) and not of MDPI and/or the editor(s). MDPI and/or the editor(s) disclaim responsibility for any injury to people or property resulting from any ideas, methods, instructions or products referred to in the content.

Share and Cite

MDPI and ACS Style

He, H.; Wang, Z.; Jiang, Z.; Liu, T.; Qin, Z. The Regional and Personal Disparities of Global Renewable Energy Use from Four Perspectives. Sustainability 2025, 17, 7822. https://doi.org/10.3390/su17177822

AMA Style

He H, Wang Z, Jiang Z, Liu T, Qin Z. The Regional and Personal Disparities of Global Renewable Energy Use from Four Perspectives. Sustainability. 2025; 17(17):7822. https://doi.org/10.3390/su17177822

Chicago/Turabian Style

He, He, Zhuanting Wang, Zekai Jiang, Tian Liu, and Zifei Qin. 2025. "The Regional and Personal Disparities of Global Renewable Energy Use from Four Perspectives" Sustainability 17, no. 17: 7822. https://doi.org/10.3390/su17177822

APA Style

He, H., Wang, Z., Jiang, Z., Liu, T., & Qin, Z. (2025). The Regional and Personal Disparities of Global Renewable Energy Use from Four Perspectives. Sustainability, 17(17), 7822. https://doi.org/10.3390/su17177822

Note that from the first issue of 2016, this journal uses article numbers instead of page numbers. See further details here.

Article Metrics

Back to TopTop