Sign in to use this feature.

Years

Between: -

Subjects

remove_circle_outline
remove_circle_outline
remove_circle_outline
remove_circle_outline
remove_circle_outline
remove_circle_outline
remove_circle_outline
remove_circle_outline
remove_circle_outline

Journals

remove_circle_outline
remove_circle_outline
remove_circle_outline
remove_circle_outline
remove_circle_outline
remove_circle_outline
remove_circle_outline
remove_circle_outline
remove_circle_outline
remove_circle_outline
remove_circle_outline
remove_circle_outline
remove_circle_outline
remove_circle_outline

Article Types

Countries / Regions

remove_circle_outline
remove_circle_outline
remove_circle_outline
remove_circle_outline
remove_circle_outline
remove_circle_outline

Search Results (1,194)

Search Parameters:
Keywords = MOD16

Order results
Result details
Results per page
Select all
Export citation of selected articles as:
31 pages, 10207 KB  
Article
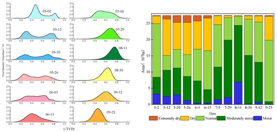
Synergistic Dynamic Optimization of Dry-Wet Edges in NDVI-LST/EVI-LST Feature Spaces and Surface Soil Moisture Monitoring Based on TVDI Crop Growth Periods in the Hetao Irrigation District
by Feng Miao, Yanying Bai and Sihao Li
Agriculture 2026, 16(5), 590; https://doi.org/10.3390/agriculture16050590 - 4 Mar 2026
Abstract
Precise spatiotemporal monitoring of soil moisture is fundamental to the efficient regulation and sustainable utilization of agricultural water resources in arid and semi-arid irrigation districts. This study focuses on the Yichang Irrigation District within the Hetao Irrigation Area to elucidate the spatiotemporal dynamics [...] Read more.
Precise spatiotemporal monitoring of soil moisture is fundamental to the efficient regulation and sustainable utilization of agricultural water resources in arid and semi-arid irrigation districts. This study focuses on the Yichang Irrigation District within the Hetao Irrigation Area to elucidate the spatiotemporal dynamics of surface soil moisture during the crop growing season. Multi-year Landsat 8/9 remote sensing imagery (2022–2024) was integrated with the Temperature Vegetation Dryness Index (TVDI) framework to construct two feature spaces, namely Normalized Difference Vegetation Index–Land Surface Temperature (NDVI–LST) and Enhanced Vegetation Index–Land Surface Temperature (EVI–LST). A dual-index complementary inversion strategy was applied for soil moisture estimation, and the outputs were validated against Soil Moisture Active Passive (SMAP) soil moisture products and MOD16 evapotranspiration products. Results indicated that the dry edges of the feature spaces derived from both vegetation indices exhibited double-inflection-point characteristics, with optimal fitting intervals located between the inflection points. The inflection point positions shifted dynamically with variations in crop coverage. During bare-soil and low-vegetation-coverage periods (May, June, and September), the minimum thresholds for low NDVI and EVI values were 0.07 and 0.06, respectively, whereas during high-vegetation-coverage periods in July and August, the minimum thresholds for both indices increased to 0.15. NDVI demonstrated superior performance during May, June, and September, whereas EVI exhibited greater advantages during active crop growth periods in July–August. The optimized model achieved robust inversion accuracy, with a validation R2 of 0.81 for the measured soil moisture in the 0–20 cm layer on 12 May 2024. The inversion results exhibited strong correlations with the SMAP soil moisture products (R2 = 0.663 during low crop coverage; R2 = 0.625 during high crop coverage) and MOD16 evapotranspiration data (R = 0.751). The spatiotemporal patterns of soil moisture were distinctly discerned. Following spring irrigation in May, abundant moisture in certain areas resulted in bimodal distribution patterns in the inversion results. June exhibited the lowest soil moisture content across the study area, with arid zones making up 36.67% of the total area. From July to August, concentrated precipitation coupled with summer irrigation reduced the proportion of extremely arid zones to below 0.98%. Full article
Show Figures

Figure 1

14 pages, 778 KB  
Article
Effects of Between-Sprint Running Intensity on Repeated-Sprint Performance in Professional Soccer Players
by Gregory Bizas, Ilias Smilios, Pierros Thomakos and Gregory C. Bogdanis
Sports 2026, 14(3), 97; https://doi.org/10.3390/sports14030097 - 3 Mar 2026
Viewed by 85
Abstract
This study examined the effects of two different intensities of running between repeated sprints and compared them with passive recovery. Thirteen professional soccer players performed two sets of six 30 m sprints on three randomly assigned occasions. A 5 min passive rest period [...] Read more.
This study examined the effects of two different intensities of running between repeated sprints and compared them with passive recovery. Thirteen professional soccer players performed two sets of six 30 m sprints on three randomly assigned occasions. A 5 min passive rest period separated the two sets, while sprints were interspersed with either passive standing, running at 95% of the first lactate threshold (MOD) and running at maximum aerobic speed (HIGH). Performance decrements were greater in HIGH than MOD at the last sprint in both sets (set 1: 5.8 ± 4.2% vs. 2.6 ± 3.2%, p = 0.07; set 2: 9.1 ± 4.5% vs. 4.0 ± 6.1%, p = 0.016). Acceleration (0–15 m) was more affected than maximal-speed running (15–30 m) (condition × sprint interaction: p < 0.001). Mean and peak heart rate were higher in both running conditions than passive (p < 0.05), with no difference between MOD and HIGH. Blood lactate showed a significant set × condition interaction (p < 0.001), peaking at 13.6 ± 2.7 mmol·L−1 in HIGH, while blood lactate responses to passive and MOD were similar and peaked after the second set of sprints (10.7 ± 2.1 and 11.5 ± 2.8 mmol·L−1, respectively). Between-sprint running intensity markedly influenced fatigue development during repeated-sprint exercise. The HIGH condition elicited greater metabolic strain and performance decrements than MOD or passive conditions. Within the present protocol, passive standing was associated with smaller decrements in repeated-sprint performance despite high heart rate and blood lactate responses. Full article
Show Figures

Figure 1

22 pages, 3148 KB  
Article
Effects of Erosion Forms and Admixture on Cement Deterioration Characteristics in Sulfate Environment
by Ying Chen, Peng Liu and Zhiwu Yu
Materials 2026, 19(5), 885; https://doi.org/10.3390/ma19050885 - 27 Feb 2026
Viewed by 116
Abstract
The effects of solution concentration, admixtures, erosion form, and age on the flexural and compressive strength of Portland cement subjected to a sulfate environment were investigated, and the corresponding relationship between the mechanical properties and influencing factors of the cement specimen was proposed. [...] Read more.
The effects of solution concentration, admixtures, erosion form, and age on the flexural and compressive strength of Portland cement subjected to a sulfate environment were investigated, and the corresponding relationship between the mechanical properties and influencing factors of the cement specimen was proposed. Furthermore, the phase components, crystal morphology, microstructure, and morphology of erosion products were also investigated. The research findings indicate that the flexural and compressive strengths of specimens subjected to a sulfate environment for 4 months decreased as the content of admixture increased. There exists a GaussMod function between the content of fly ash and flexural strength of a specimen subjected to a sulfate environment, and the Boltzmann function can be used to characterize the variation between the slag content and compressive strength of the specimen. After being attacked by a saturated sulfate solution, the strength of specimens with fly ash increased at first and then decreased as the content of fly ash increased. In the semi-immersion erosion form, the strength of the specimens containing admixture that were attacked by sulfate was lower than that of the control sample. Admixture can observably change the morphology and microstructure of the specimens. Rodlike and slab-like sulfate erosion products can be easily observed in the specimens containing admixture that were attacked in the semi-immersion form. This is significant for further research on the mechanism and evolution process of concrete sulfate erosion and for predicting durability and conducting an operational life assessment of concrete constructions subjected to a sulfate environment. Full article
(This article belongs to the Section Construction and Building Materials)
Show Figures

Figure 1

29 pages, 11021 KB  
Article
Spatiotemporal Evolution Characteristics and Influencing Factors Analysis of Evapotranspiration in the Yellow River Basin from 2001 to 2022
by Zimiao He, Gangxiang Yuan, Zhe Liu, Shilong Hao, Ran Wei, Peiqing Xiao, Lu Zhang, Haoqiang Tong, Huanheng Dou and Yinghong Guo
Sustainability 2026, 18(5), 2280; https://doi.org/10.3390/su18052280 - 27 Feb 2026
Viewed by 99
Abstract
Under global warming, the intensification of the hydrological cycle highlights evapotranspiration (ET) as a key process governing land–atmosphere water and energy exchanges. Understanding the spatiotemporal variability of ET and its driving mechanisms is essential for regional hydrological and ecological studies. Based on MOD16 [...] Read more.
Under global warming, the intensification of the hydrological cycle highlights evapotranspiration (ET) as a key process governing land–atmosphere water and energy exchanges. Understanding the spatiotemporal variability of ET and its driving mechanisms is essential for regional hydrological and ecological studies. Based on MOD16 evapotranspiration products, meteorological data, and multi-source remote sensing datasets, this study systematically analyzed the spatiotemporal characteristics of evapotranspiration (ET) and its driving mechanisms in the Yellow River Basin during 2001–2022 using trend analysis, correlation analysis, and geographical detector methods. Results showed that ET exhibited a significant increasing trend across the YRB (5.29 mm·year−1), with extremely significant increases (p < 0.01) observed in 61.93% of the basin. Among climatic factors, precipitation, temperature, and wind speed exhibited significant increasing trends. Human activities were characterized by a significant increase in NDVI and land-use transitions toward forest and built-up land. Geographical detector results identified NDVI and precipitation as the strongest explanatory factors controlling ET spatial heterogeneity, with distinct driving mechanisms across the upper, middle, and lower reaches. Interaction effects among factors were stronger than individual effects, indicating that the spatial differentiation of ET is jointly controlled by climatic conditions and human activities. These findings empirically characterize the spatial heterogeneity, temporal trends, factor hierarchy, and interaction strength of ET variability at the basin scale and provide basin-scale evidence for understanding hydrological cycle responses under the combined influences of climate change and anthropogenic activities. Full article
Show Figures

Figure 1

30 pages, 7755 KB  
Article
Application of Various Statistical Indicators for Drought Analysis Based on Remote Sensing Data: A Case Study of Three Major Provinces of Turkey
by Yunus Ziya KAYA
Sustainability 2026, 18(4), 2147; https://doi.org/10.3390/su18042147 - 22 Feb 2026
Viewed by 320
Abstract
Droughts are one of the most significant hazards that affect human life due to the imbalanced distribution of water across the world. Some parts of the world are usually dry, and meteorological conditions affect these regions rapidly. In water-scarce regions, droughts significantly put [...] Read more.
Droughts are one of the most significant hazards that affect human life due to the imbalanced distribution of water across the world. Some parts of the world are usually dry, and meteorological conditions affect these regions rapidly. In water-scarce regions, droughts significantly put at risk socio-economic stability and food security, which may cause a major challenge to sustainable development. Therefore, a precise definition of drought and the identification of early warning signals can help to minimize the negative effects of droughts, especially in terms of agriculture. In this study, drought signals of three major agricultural provinces of Turkey, namely Antalya, Şanlıurfa, and Konya, were investigated. For this purpose, the Standard Precipitation Index (SPI), Standardized Precipitation Evapotranspiration Index (SPEI), Evaporative Demand Drought Index (EDDI), and Vegetation Condition Index (VCI) were computed for each province. A composite score index was proposed for the evaluation of multiple indices together. All datasets were obtained from remote-sensing products to ensure reproducibility. A dataset for the 2003–2023 period was used. The monthly precipitation derived from CHIRPS data and potential evaporation (PEV) data were obtained from the ERA5-Land. Therefore, the SPEI and EDDI values were calculated by using ERA5-Land PEV values but not the evapotranspiration. The Normalized Difference Vegetation Index (NDVI) values for each province were obtained from the MODIS/Terra MOD13A3 v061. The Mann–Kendall test and Sen’s slope were applied to the computed time series to detect the trends. As a result, the dry and wet periods were identified for each province individually. The VCI was found to have an increasing trend for all tested provinces. Overall, from a future perspective, the most vulnerable province in terms of meteorological drought was indicated to be Antalya. Full article
Show Figures

Figure 1

26 pages, 12878 KB  
Article
Simulation Model of Wind and Wave-Induced Doppler Shifts for Multi-Band Radars and Its Application in SAR-Based Ocean Current Inversion
by Zhenyong Guan, Yubin Zhang and Xiaoliang Chu
Sensors 2026, 26(4), 1343; https://doi.org/10.3390/s26041343 - 19 Feb 2026
Viewed by 219
Abstract
The wind and wave-induced Doppler shift (WDS) significantly affects the accuracy of ocean surface current fields retrieved from synthetic aperture radar (SAR). Understanding how different factors affect WDS is therefore essential for improving current inversion accuracy. Existing studies have predominantly focused on single-band [...] Read more.
The wind and wave-induced Doppler shift (WDS) significantly affects the accuracy of ocean surface current fields retrieved from synthetic aperture radar (SAR). Understanding how different factors affect WDS is therefore essential for improving current inversion accuracy. Existing studies have predominantly focused on single-band WDS, mainly in the C-band, while investigations across other radar bands remain limited. In this study, we simulate the dynamic ocean surface height field and velocity field, and the radar backscatter from the ocean surface that includes the effect of breaking waves. Based on the Doppler shift theory of ocean surface motion proposed by Chapron, we develop a WDS simulation model with potential applicability to multiple radar bands. The performance of the model is verified by comparing its results with those from the CDOP, KaDOP and KuMOD models. The correlation coefficient between the proposed model and the CDOP model reaches 0.97, with mean deviation (MD), mean absolute error (MAE), and root-mean-square error (RMSE) not exceeding −2.07 Hz, 3.35 Hz, and 4.49 Hz, respectively. For comparisons with the KaDOP model, the correlation coefficient is 0.93, and the MD, MAE, and RMSE are within −21.23 Hz, 42.37 Hz, and 52.20 Hz. For comparisons with the KuMOD model, the correlation coefficient is 0.98, and the MD, MAE, and RMSE are within −2.60 Hz, 7.13 Hz, and 9.08 Hz. These results demonstrate that the proposed model can effectively predict the WDS for both C-, Ka-, and Ku-band radar returns. Furthermore, we investigate the impacts of radar parameters, including frequency band, polarization, and incidence angle, as well as wind field forcing on WDS, showing the model’s applicability across multiple radar bands. Finally, the proposed model is applied to current retrieval using Sentinel-1 ocean (OCN) data, and the inversion accuracy is assessed against collocated high-frequency (HF) radar observations. The MD, MAE, and RMSE of the current retrieval using the proposed model are −0.04 m/s, 0.26 m/s, and 0.32 m/s, which are close to those from the CDOP-based retrieval (MD, MAE, and RMSE of −0.02 m/s, 0.25 m/s, and 0.30 m/s). These results demonstrate that the proposed model performs well in ocean surface current inversion and shows potential for further application to ocean current retrieval based on radar data across different frequency bands. Full article
(This article belongs to the Section Radar Sensors)
Show Figures

Figure 1

47 pages, 645 KB  
Review
A Survey of Lattice-Based Physical-Layer Security for Wireless Systems with p-Modular Lattice Constructions
by Hassan Khodaiemehr, Khadijeh Bagheri, Amin Mohajer, Chen Feng, Daniel Panario and Victor C. M. Leung
Entropy 2026, 28(2), 235; https://doi.org/10.3390/e28020235 - 18 Feb 2026
Viewed by 256
Abstract
Physical-layer security (PLS) provides an information-theoretic framework for securing wireless communications by exploiting channel and signal-structure asymmetries, thereby avoiding reliance on computational hardness assumptions. Within this setting, lattice codes and their algebraic constructions play a central role in achieving secrecy over Gaussian and [...] Read more.
Physical-layer security (PLS) provides an information-theoretic framework for securing wireless communications by exploiting channel and signal-structure asymmetries, thereby avoiding reliance on computational hardness assumptions. Within this setting, lattice codes and their algebraic constructions play a central role in achieving secrecy over Gaussian and fading wiretap channels. This article offers a comprehensive survey of lattice-based wiretap coding, covering foundational concepts in algebraic number theory, Construction A over number fields, and the structure of modular and unimodular lattice families. We review key secrecy metrics, including secrecy gain, flatness factor, and equivocation, and consolidate classical and recent results to provide a unified perspective that links wireless-channel models with their underlying algebraic lattice structures. In addition, we review a newly proposed family of p-modular lattices in Khodaiemehr, H., 2018 constructed from cyclotomic fields Q(ζp) for primes p1(mod4) via a generalized Construction A framework. We characterize their algebraic and geometric properties and establish a non-existence theorem showing that such constructions cannot be extended to prime-power cyclotomic fields Q(ζpn) with n>1. Finally, motivated by the fact that these p-modular lattices naturally yield mixed-signature structures for which classical theta series diverge, we integrate recent advances on indefinite theta series and modular completions. Drawing on Vignéras’ differential framework and generalized error functions, we outline how modularly completed indefinite theta series provide a principled analytic foundation for defining secrecy-relevant quantities in the indefinite setting. Overall, this work serves both as a survey of algebraic lattice techniques for PLS and as a source of new design insights for secure wireless communication systems. Full article
(This article belongs to the Special Issue Wireless Communications: Signal Processing Perspectives, 2nd Edition)
Show Figures

Figure 1

34 pages, 13632 KB  
Article
Spatiotemporal Evolution of Vegetation Cover and Identification of Driving Factors Based on kNDVI and XGBoost-SHAP: A Study from Qinghai Province, China
by Hongkui Yang, Yousan Li, Lele Zhang, Xufeng Mao, Xiaoyang Liu, Mingxin Yang, Zhide Chang, Jin Deng and Rong Yang
Land 2026, 15(2), 338; https://doi.org/10.3390/land15020338 - 16 Feb 2026
Viewed by 259
Abstract
Vegetation cover characteristics underpin the understanding of regional ecosystem status and guide sustainable development. While extensive research has documented long-term vegetation dynamics in Qinghai Province, critical gaps remain in identifying driving factors, quantifying their thresholds, and uncovering nonlinear relationships governing vegetation cover. In [...] Read more.
Vegetation cover characteristics underpin the understanding of regional ecosystem status and guide sustainable development. While extensive research has documented long-term vegetation dynamics in Qinghai Province, critical gaps remain in identifying driving factors, quantifying their thresholds, and uncovering nonlinear relationships governing vegetation cover. In view of this, based on the MOD13Q1V6 dataset from the Google Earth Engine (GEE) platform, this study constructed a kernel normalized difference vegetation index (kNDVI) dataset for Qinghai Province spanning the period 2001–2023. Furthermore, the spatiotemporal characteristics and future evolution trends of vegetation cover were revealed by employing methods including the Theil–Sen–Mann–Kendall (Theil–Sen–MK) trend test, Hurst exponent, and centroid migration model. At a grid scale of 5 km × 5 km, based on the combined model of Extreme Gradient Boosting and SHapley Additive exPlanations (XGBoost-SHAP), this study integrated 10 multi-source remote sensing variables related to natural conditions, socioeconomic factors, and geographical accessibility to reveal the nonlinear effects between driving factors and kNDVI and identify the key threshold inflection points. The results showed the following: (1) From 2001 to 2023, the kNDVI of Qinghai Province exhibited a fluctuating growth trend with an annual growth rate of 0.0016 per year, presenting a spatial pattern of being higher in the southeast and lower in the northwest. Specifically, the kNDVI of unused land achieved the highest growth rate (65.96%), which was significantly higher than that of other land use types. (2) The kNDVI in Qinghai Province was dominated by stable areas, accounting for 52.75%. Future trend analysis indicated that the region was primarily characterized by sustainable improvement zones (39.91%), while areas with uncertain future trends accounted for 39.70%. (3) The XGBoost-SHAP model revealed that the annual mean precipitation (AMP) (47.26%) and Digital Elevation Model (DEM) (20.40%) exerted substantial impacts on the kNDVI. Marginal effect curves identified distinct threshold inflection points for the major characteristic factors: AMP = 363.2 mm (95%CI: 361.2–365.2 mm), DEM = 4463.9 m (95%CI: 4446.0–4481.1 m), grazing intensity = 1.8 SU (Stocking Unit)·ha−1 (95%CI: 1.8–1.9 SU·ha−1), and slope = 2.8° (95%CI: 2.7–3.0°) and 19.0° (95%CI: 18.8–19.3°). The interaction combinations of AMP × DEM and DEM × distance to construction land exerted a strong positive effect on the kNDVI in the study area, which was conducive to enhancing vegetation cover. These findings verified the effectiveness of ecological projects implemented in Qinghai Province to a certain extent and provided data support for subsequent differentiated restoration and management. Full article
(This article belongs to the Section Land – Observation and Monitoring)
Show Figures

Figure 1

12 pages, 272 KB  
Communication
Estimating the Parameter of Direct Effects in Crossover Designs: The Case of 6 Periods and 2 Treatments
by Miltiadis S. Chalikias
Stats 2026, 9(1), 17; https://doi.org/10.3390/stats9010017 - 12 Feb 2026
Viewed by 186
Abstract
The present study investigates the derivation of optimal repeated measurement designs for two treatments, six periods, and n experimental units, focusing exclusively on the direct effects of the treatments. The optimal designs are determined for cases where n ≡ 0 or 1, 2, [...] Read more.
The present study investigates the derivation of optimal repeated measurement designs for two treatments, six periods, and n experimental units, focusing exclusively on the direct effects of the treatments. The optimal designs are determined for cases where n ≡ 0 or 1, 2, 3, 4 (mod 4). The adopted optimality criterion aims at minimizing the variance of the estimator of the direct effects, thereby ensuring maximum precision in parameter estimation and increased design efficiency. The results presented extend and complement earlier studies on optimal two-treatment repeated-measurement designs for a smaller number of periods, and are closely related to more recent work focusing on optimality with respect to direct effects. Overall, this work contributes to the theoretical framework of optimal design methodology by providing new insights into the structure and efficiency of repeated measurement designs, and lays the groundwork for future extensions incorporating treatment–period interactions. Full article
(This article belongs to the Section Statistical Methods)
31 pages, 12934 KB  
Article
Numerical Analysis of the Flow Downstream of the Exhaust Nozzle of a Miniature Turbojet Engine During Co-Combustion of Kerosene and Hydrogen
by Łukasz Brodzik, Bartosz Ciupek, Grigore Cican, Łukasz Semkło and Dominik Schroeder
Energies 2026, 19(4), 938; https://doi.org/10.3390/en19040938 - 11 Feb 2026
Viewed by 189
Abstract
Research related to the use of hydrogen is crucial because it can be a significant factor in reducing exhaust emissions into the environment. This work represents the second stage of research related to the analysis of exhaust gases from a miniature GTM 400 [...] Read more.
Research related to the use of hydrogen is crucial because it can be a significant factor in reducing exhaust emissions into the environment. This work represents the second stage of research related to the analysis of exhaust gases from a miniature GTM 400 MOD turbojet engine. Based on the parameters obtained in the experiment, a numerical study of the flow downstream of the exhaust nozzle was performed in ANSYS software (version R1, 2025). The main goal of the calculations was to obtain the temperature distribution and compare the values at checkpoints where actual measurements were taken. The study was conducted in two stages. In the first stage, the engine operated conventionally, burning kerosene. In the second stage, co-combustion of kerosene and hydrogen occurred in the engine. The numerical analysis enabled the visualization of the flow phenomenon for these stages within the considered rotational speeds. The analysis examined flow in domains where the gap was included and excluded. This gap was created by the different diameters of the container opening and the engine nozzle outlet. The study showed that ignoring the gap allows for temperatures closer to the experimental values. Results deemed satisfactory were less likely to be found in vortex areas, but more likely in areas closer to the container walls and the engine exhaust stream itself. The results of the conducted tests showed that the Root Mean Square Error RMSE was within the range of 9.5–22.8% relative to the average temperature values obtained from experimental measurements. The highest turbulence intensity occurred for hydrogen co-combustion at a higher rotational speed, reaching 284% for Variant 2 and 300% for Variant 1. The largest standard deviation for both fuel types at a distance of 0.083 m from the container wall was 68.5 K for variant 2 and 76 K for variant 1. At a distance of 0.166 m from the container wall, the deviation was 76 K for variant 2 and 83.8 K for variant 1. Full article
Show Figures

Figure 1

14 pages, 328 KB  
Article
Differential Average Daily Gain of Pregnant Holstein × Gyr Heifers: Effects on Future Milk Production
by Antônio Paulo de Oliveira Neto, Tássia Barrera de Paula e Silva, Kellen Ribeiro Oliveira, Luis Henrique Rodrigues Silva, Poliana Teixeira Rocha Salgado, Simone Eliza Facioni Guimarães, Alex Lopes Silva and Polyana Pizzi Rotta
Dairy 2026, 7(1), 17; https://doi.org/10.3390/dairy7010017 - 10 Feb 2026
Viewed by 309
Abstract
This study examined the effects of average daily gain (ADG) during gestation on growth, nutrient digestibility, metabolic response, and subsequent milk yield and composition in dairy heifers. Twenty pregnant Holstein × Gyr heifers (450 ± 5.0 kg; 18 ± 1.1 months) were randomly [...] Read more.
This study examined the effects of average daily gain (ADG) during gestation on growth, nutrient digestibility, metabolic response, and subsequent milk yield and composition in dairy heifers. Twenty pregnant Holstein × Gyr heifers (450 ± 5.0 kg; 18 ± 1.1 months) were randomly assigned to moderate (MOD; target 0.35 kg/day) or high (HIG; target 0.70 kg/day) ADG groups, and received a total mixed ration from day 70 of gestation until calving. Body growth, blood metabolites, and lactation performance after birth were measured. At calving, HIG heifers had greater body weight (p < 0.01) and thoracic perimeter (p = 0.02). Nutrient digestibility and most blood metabolites were not affected by ADG (p > 0.05), except for triiodothyronine concentrations, which differed between treatments over time (p < 0.01). Milk yield and energy-corrected milk were not affected by gestational ADG (p > 0.10), while milk fat and total solids showed numerical treatment × week interactions (p ≤ 0.10). These results indicate that higher ADG during gestation increases body reserves at calving but does not affect milk yield. The moderate ADG for Holstein × Gyr heifers during gestation may improve milk quality through higher fat and solids content, emphasizing the importance of tailoring growth strategies for heifers during gestation. Full article
(This article belongs to the Section Dairy Animal Nutrition and Welfare)
14 pages, 2208 KB  
Article
Effects of Bench Press Volume on Performance, Recovery, and Physiological Response
by José A. Páez-Maldonado, África Calvo Lluch, Manuel Ortega-Becerra and Fernando Pareja-Blanco
Sports 2026, 14(2), 76; https://doi.org/10.3390/sports14020076 - 9 Feb 2026
Viewed by 457
Abstract
Background: The purpose of the study was to examine the effects of training volume in bench press (BP) on acute mechanical, metabolic, and cardiovascular responses, and the time course of recovery. Methods: Fourteen men with moderate resistance training experience performed, in randomized order [...] Read more.
Background: The purpose of the study was to examine the effects of training volume in bench press (BP) on acute mechanical, metabolic, and cardiovascular responses, and the time course of recovery. Methods: Fourteen men with moderate resistance training experience performed, in randomized order and separated by one week, three BP protocols differing in volume: 3 (LOW), 15 (MOD), and 24 (HIG) repetitions. To isolate the effect of training volume by minimizing fatigue accumulation across repetitions, short rest periods were inserted between repetitions. The rest duration was individualized based on the performance impairment induced in each repetition. A battery of tests was performed at baseline (Pre) and post-exercise, in the following order: (a) heart rate (HR), blood systolic and diastolic pressure (SBP and DBP), and oxygen saturation (SpO2), (b) blood lactate, and (c) dynamic strength test, which was also conducted at 24 h-Post and 48 h-Post. Results: Performance within-session (best, average, and last velocity, as well as velocity loss) was similar for all protocols. A significant “protocol × time” interaction was observed for SBP, although no significant differences between protocols were found. No significant differences were observed for DBP or SpO2. All protocols showed similar lactate concentrations at Post and similarly increased velocity at 60% 1RM load at 24 h-Post and 48 h-Post. Conclusions: individualizing inter-repetition rest periods based on velocity loss allows matching fatigue across different bench press volumes, which produced similar mechanical, metabolic, and cardiovascular responses, indicating that volume alone does not determine acute physiological load. Full article
Show Figures

Figure 1

24 pages, 17936 KB  
Article
Remote-Sensing Estimation of Evapotranspiration for Multiple Land Cover Types Based on an Improved Canopy Conductance Model
by Jianfeng Wang, Xiaozhou Xin, Zhiqiang Ye, Shihao Zhang, Tianci Li and Shanshan Yu
Remote Sens. 2026, 18(3), 513; https://doi.org/10.3390/rs18030513 - 5 Feb 2026
Viewed by 270
Abstract
Evapotranspiration (ET) links the water cycle with the energy balance and serves as a key driving process for ecosystem functioning and water resource management. Canopy conductance (Gc) plays a central role in regulating transpiration, but many models inadequately represent its regulatory mechanisms and [...] Read more.
Evapotranspiration (ET) links the water cycle with the energy balance and serves as a key driving process for ecosystem functioning and water resource management. Canopy conductance (Gc) plays a central role in regulating transpiration, but many models inadequately represent its regulatory mechanisms and show varying applicability across different land cover types. This study develops a remote-sensing ET estimation approach suitable for large scales and diverse land cover types and proposes an improved canopy conductance model for daily latent heat flux (LE) estimation. By integrating the canopy radiation transfer concept from the K95 model into the multiplicative Jarvis framework, an improved canopy conductance model is developed that includes limiting effects from photosynthetically active radiation (PAR), vapor pressure deficit (VPD), air temperature (T), and soil moisture (θ). Eighteen combinations of limiting functions are designed to evaluate structural performance differences. Using observations from 79 global flux sites during 2015–2023 and integrating multi-source datasets, including ERA5, MODIS, and SMAP, a two-stage parameter optimization was applied to determine the optimal limiting function combination for each land cover type. And nine sites from nine different land cover types were selected for independent spatial validation. Temporal validation within the optimization sites shows that, at the daily scale, the model achieves a Kling–Gupta efficiency (KGE) of 0.82, a correlation coefficient (R) of 0.82, and a Root Mean Square Error (RMSE) of 27.83 W/m2, demonstrating strong temporal stability. Spatial validation over independent holdout sites achieved KGE = 0.84, R = 0.84, and RMSE = 22.53 W/m2. At the 8-day scale, when evaluated over the holdout sites, the model achieves KGE = 0.87, R = 0.88, and RMSE = 18.74 W/m2. Compared with the K95 and Jarvis models, KGE increases by about 34% and 15%, while RMSE decreases by about 38% and 12%, respectively. Relative to the MOD16 and PML-V2 products, KGE increases by about 32% and 16%, while RMSE decreases by about 33% and 17%, respectively. Comprehensive comparisons show that explicitly coupling canopy structure with multiple environmental constraints within the Jarvis framework, together with structure optimization across land cover types, can markedly improve large-scale remote-sensing ET retrieval accuracy while maintaining physical consistency and physiological rationality. This provides an effective pathway and parameterization scheme for producing ET products applicable across ecosystems. Full article
Show Figures

Figure 1

21 pages, 4016 KB  
Article
Coupling Mechanisms Between Vegetation Phenology and Gross Primary Productivity in Alpine Grasslands on the Southern Slope of the Qilian Mountains
by Fangyu Wang, Yi Zhang, Guangchao Cao, Meiliang Zhao and Yinggui Wang
Atmosphere 2026, 17(2), 169; https://doi.org/10.3390/atmos17020169 - 4 Feb 2026
Viewed by 345
Abstract
Understanding the coupling mechanisms between vegetation phenology and carbon productivity is essential for assessing ecosystem responses to climate change and guiding sustainable grassland management. This study focuses on stable alpine grasslands on the southern slope of the Qilian Mountains from 2001 to 2020, [...] Read more.
Understanding the coupling mechanisms between vegetation phenology and carbon productivity is essential for assessing ecosystem responses to climate change and guiding sustainable grassland management. This study focuses on stable alpine grasslands on the southern slope of the Qilian Mountains from 2001 to 2020, a climatically sensitive but relatively under-investigated transition zone on the northeastern Tibetan Plateau. We utilized MODIS NDVI time-series (MOD13Q1) and the latest PML V2 gross primary productivity (GPP) product at 500 m resolution to quantify changes in the start (SOS), end (EOS), and length (LOS) of the growing season. A pixel-wise linear regression approach was applied to evaluate the sensitivity of GPP to phenological metrics, explicitly characterizing how much GPP changes in response to unit shifts in SOS, EOS and LOS. Compared with previous studies that mainly described large-scale correlations between phenology and GPP or relied on coarser GPP products, this study provides a pixel-level, sensitivity-based assessment of phenology–carbon coupling in alpine grasslands using a long-term, phenology–GPP dataset tailored to the Qilian alpine region. The results revealed trends of earlier SOS, delayed EOS, and extended LOS, accompanied by a gradual increase in GPP. However, phenology–GPP coupling exhibited notable spatial heterogeneity. In mid- and low-altitude areas, extended growing seasons enhanced GPP, whereas high-altitude zones showed limited or even negative responses, likely due to climatic constraints such as cold stress and thermal–moisture mismatches. To better understand these spatial differences, we constructed a three-dimensional phenology–GPP sensitivity space and applied k-means clustering to delineate three ecological functional zones: (1) high carbon sink potential, (2) ecologically fragile regions, and (3) neutral buffers. This sensitivity-based functional zonation moves beyond traditional correlation analyses and provides a process-oriented and spatially explicit framework for ecosystem service assessment, carbon sink enhancement and adaptive land-use strategies in sensitive mountain environments. Full article
(This article belongs to the Special Issue Vegetation and Climate Relationships (3rd Edition))
Show Figures

Graphical abstract

28 pages, 16686 KB  
Article
Reverse Vaccinology and Immune Simulation of a Novel Multiepitope Vaccine Targeting Brucella Virulence
by Mostafa F. Abushahba
Biologics 2026, 6(1), 6; https://doi.org/10.3390/biologics6010006 - 3 Feb 2026
Viewed by 371
Abstract
Background/Objectives: Brucella is a major global One Health threat, causing an estimated 2.1 million human infections and substantial livestock losses annually, with no vaccine currently available for humans, underscoring the urgent need for a safe and effective vaccine. Methods: Employing a [...] Read more.
Background/Objectives: Brucella is a major global One Health threat, causing an estimated 2.1 million human infections and substantial livestock losses annually, with no vaccine currently available for humans, underscoring the urgent need for a safe and effective vaccine. Methods: Employing a reverse vaccinology approach, a novel 175-mer multiepitope vaccine (Mvax) targeting Brucella FrpB was computationally designed in this study, incorporating two B-cell, two MHC class I (MHC-I), and three MHC class II (MHC-II) epitopes selected for their high predicted antigenicity, safety, and IFN-γ-inducing potential. Human β-defensin-3 (hBD3) was fused to the N-terminus as an adjuvant, followed by comprehensive in silico evaluation of the construct. Results: Population coverage analysis predicted 99.59% global MHC class I/II coverage for selected epitopes. In silico analyses predicted that Mvax has high solubility (Protein-SOL score: 0.808), a high antigenicity score (VaxiJen: 1.06), and a negative GRAVY index (−0.881), indicating favorable predicted physicochemical characteristics. iMODS, CABS-Flex 3, and molecular dynamics simulations suggested theoretical stability trends for the modeled vaccine complexes. C-ImmSim immune simulations further predicted elevated Th1 cell populations and associated cytokines (IL-12, IFN-γ, IL-2) following both single and multiple simulated Mvax exposures. Conclusions: The computational analyses described here provide a theoretical modeling basis for an antivirulence multi-epitope vaccine design against human brucellosis, with predicted metrics and simulated immune responses requiring empirical validation. Full article
(This article belongs to the Section Vaccines)
Show Figures

Figure 1

Back to TopTop