Sign in to use this feature.

Years

Between: -

Subjects

remove_circle_outline
remove_circle_outline
remove_circle_outline

Journals

Article Types

Countries / Regions

Search Results (14)

Search Parameters:
Keywords = LNT/SCR

Order results
Result details
Results per page
Select all
Export citation of selected articles as:
17 pages, 3484 KB  
Article
Contributions of Washcoat Components in Different Configurations to the NOX and Oxygen Storage Performance of LNT Catalysts
by Can Özyalcin, Peter Mauermann, Jürgen Dornseiffer, Stefan Sterlepper, Marco Günther and Stefan Pischinger
Catalysts 2022, 12(9), 953; https://doi.org/10.3390/catal12090953 - 26 Aug 2022
Cited by 4 | Viewed by 2793
Abstract
In addition to SCR systems, lean NOX traps (LNTs) are also used for exhaust aftertreatment of lean burn internal combustion engines to sustainably reduce NOX emissions. Modern LNTs consist of different functional compounds to maximize the performance during NOX storage [...] Read more.
In addition to SCR systems, lean NOX traps (LNTs) are also used for exhaust aftertreatment of lean burn internal combustion engines to sustainably reduce NOX emissions. Modern LNTs consist of different functional compounds to maximize the performance during NOX storage and regeneration. Based on the material analysis of a serial production LNT, PGM loaded BaO, Al2O3, MgAl2O4, and CeO2 were identified as the main base materials. In this paper, the NOX storage capacity (NSC) of these compounds is investigated both as single catalysts and as physical mixtures to identify possible synergistic effects. Therefore, commercially available support materials were loaded with Platinum and tested in granular form under realistic conditions. To optimize the performance by reducing the diffusion pathways for NOX molecules during storage, PGM, BaO, and Ceria were combined in a composite by the incipient wetness impregnation of alumina. As a result, the temperature dependent NSC of the commercial LNT could be reached with the Pt/Rh/Ba10Ce25/Al2O3 infiltration composite, while reducing the oxygen storage capacity by about 45%. Without the additional Rhodium coating, the low-temperature NSC was insufficient, highlighting the important contribution of this precious metal to the overall performance of LNTs. Full article
Show Figures

Graphical abstract

29 pages, 3852 KB  
Article
Impact of Active Diesel Particulate Filter Regeneration on Carbon Dioxide, Nitrogen Oxides and Particle Number Emissions from Euro 5 and 6 Vehicles under Laboratory Testing and Real-World Driving
by Athanasios Dimaratos, Barouch Giechaskiel, Michaël Clairotte and Georgios Fontaras
Energies 2022, 15(14), 5070; https://doi.org/10.3390/en15145070 - 12 Jul 2022
Cited by 12 | Viewed by 4066
Abstract
Particulate mass concentration is a crucial parameter for characterising air quality. The diesel particulate filter (DPF) is the primary technology used to limit vehicle particle emissions, but it needs periodic cleaning, a process called regeneration. This study aims to assess the impact of [...] Read more.
Particulate mass concentration is a crucial parameter for characterising air quality. The diesel particulate filter (DPF) is the primary technology used to limit vehicle particle emissions, but it needs periodic cleaning, a process called regeneration. This study aims to assess the impact of active DPF regeneration on the performance and emissions of Euro 5 and 6 vehicles. The study examined both carbon dioxide (CO2) and pollutant (nitrogen oxides (NOx) and particle number (PN)) emissions for eight vehicles tested in the laboratory and on the road. Apart from the DPF, a wide range of emission control systems was covered in this experimental campaign, including exhaust gas recirculation (EGR), diesel oxidation catalyst (DOC), lean NOx trap (LNT) and selective catalytic reduction (SCR) catalyst, revealing the different impacts on NOx emissions. The regeneration frequency and duration were also determined and used to calculate the Ki factor, which accounts for the emissions with and without regeneration, weighted over the distance driven between two consecutive regeneration events. Based on these outcomes, representative emission factors (EF) were proposed for the regeneration phase only and the complete regeneration interval. In addition, the effect of regeneration on efficiency was estimated and compared with other energy consumers. The results indicated a significant impact of DPF regeneration on CO2, NOx and PN emissions, higher in the case of driving cycle testing in the laboratory. The relevant mechanisms behind the elevated emission levels were analysed, focusing on the regeneration period and the test phase following immediately after. The calculation of the Ki factor and the comparison with the official values revealed some weaknesses in its application in real-world conditions; to overcome these, new NOx EF values were calculated, depending on the emission control system. It was revealed that Euro 6 vehicles equipped with SCR could comply with the applicable limits when considering the complete regeneration interval. Finally, it was indicated that the DPF regeneration impact on vehicle efficiency is similar to that of driving with the air conditioning (A/C) system and headlights on. Full article
Show Figures

Figure 1

16 pages, 2059 KB  
Article
Measures to Reduce the N2O Formation at Perovskite-Based Lean NOx Trap Catalysts under Lean Conditions
by Sabrina I. Ecker, Jürgen Dornseiffer, Stefan Baumann, Olivier Guillon, Henny J. M. Bouwmeester and Wilhelm A. Meulenberg
Catalysts 2021, 11(8), 917; https://doi.org/10.3390/catal11080917 - 29 Jul 2021
Cited by 4 | Viewed by 2819
Abstract
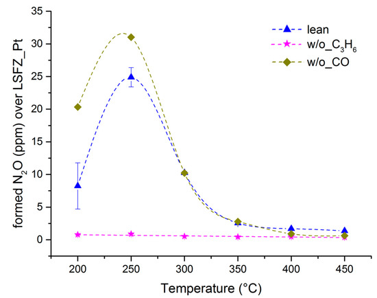
The net oxidising atmosphere of lean burn engines requires a special after-treatment catalyst for NOx removal from the exhaust gas. Lean NOx traps (LNT) are such kind of catalysts. To increase the efficiency of LNTs at low temperatures platinised perovskite-based infiltration [...] Read more.
The net oxidising atmosphere of lean burn engines requires a special after-treatment catalyst for NOx removal from the exhaust gas. Lean NOx traps (LNT) are such kind of catalysts. To increase the efficiency of LNTs at low temperatures platinised perovskite-based infiltration composites La0.5Sr0.5Fe1-xMxO3-δ/Al2O3 with M = Nb, Ti, Zr have been developed. In general, platinum based LNT catalysts show an undesired, hazardous formation of N2O in the lean operation mode due to a competing C3H6-selective catalytic reduction (SCR) at the platinum sites. To reduce N2O emissions an additional Rh-coating, obtained by incipient wetness impregnation, besides the Pt coating and a two-layered oxidation catalyst (2 wt.% Pd/20 wt.% CeO2/alumina)-LNT constitution, has been investigated. Though the combined Rh-Pt coating shows a slightly increased NOx storage capacity (NSC) at temperatures above 300 °C, it does not decrease N2O formation. The layered oxidation catalyst-LNT system shows a decrease in N2O formation of up to 60% at 200 °C, increasing the maximum NSC up to 176 µmol/g. Furthermore, the NSC temperature range is broadened compared to that of the pure LNT catalyst, now covering a range of 250–300 °C. Full article
(This article belongs to the Section Environmental Catalysis)
Show Figures

Graphical abstract

30 pages, 33501 KB  
Review
Aftertreatment Technologies for Diesel Engines: An Overview of the Combined Systems
by Ferenc Martinovic, Lidia Castoldi and Fabio Alessandro Deorsola
Catalysts 2021, 11(6), 653; https://doi.org/10.3390/catal11060653 - 21 May 2021
Cited by 42 | Viewed by 11578
Abstract
The abatement of the pollutants deriving from diesel engines in the vehicle sector still represents an interesting scientific and technological challenge due to increasingly limiting regulations. Meeting the stringent limits of NOx and soot emissions requires a catalytic system with great complexity, [...] Read more.
The abatement of the pollutants deriving from diesel engines in the vehicle sector still represents an interesting scientific and technological challenge due to increasingly limiting regulations. Meeting the stringent limits of NOx and soot emissions requires a catalytic system with great complexity, size of units, and number of units, as well as increased fuel consumption. Thus, an after-treatment device for a diesel vehicle requires the use of an integrated catalyst technology for a reduction in the individual emissions of exhaust gas. The representative technologies devoted to the reduction of NOx under lean-burn operation conditions are selective catalytic reduction (SCR) and the lean NOx trap (LNT), while soot removal is mainly performed by filters (DPF). These devices are normally used in sequence, or a combination of them has been proposed to overcome the drawbacks of the individual devices. This review summarizes the current state of NOx and soot abatement strategies. The main focus of this review is on combined technologies for NOx removal (i.e., LNT–SCR) and for the simultaneous removal of NOx and soot, like SCR-on-Filter (SCRoF), in series LNT/DPF and SCR/DPF, and LNT/DPF and SCR/DPF hybrid systems. Full article
(This article belongs to the Special Issue Selective Catalytic Reduction of NOx by NH3)
Show Figures

Figure 1

36 pages, 2112 KB  
Review
An Overview of Lean Exhaust deNOx Aftertreatment Technologies and NOx Emission Regulations in the European Union
by Tommaso Selleri, Anastasios D. Melas, Ameya Joshi, Dario Manara, Adolfo Perujo and Ricardo Suarez-Bertoa
Catalysts 2021, 11(3), 404; https://doi.org/10.3390/catal11030404 - 23 Mar 2021
Cited by 96 | Viewed by 13199
Abstract
This paper reviews the recent advances in the management of nitrogen oxide (NOx) emissions from the internal combustion engine of light-duty and heavy-duty vehicles, addressing both technical and legal aspects. Particular focus is devoted to the often-virtuous interaction between new legislation imposing more [...] Read more.
This paper reviews the recent advances in the management of nitrogen oxide (NOx) emissions from the internal combustion engine of light-duty and heavy-duty vehicles, addressing both technical and legal aspects. Particular focus is devoted to the often-virtuous interaction between new legislation imposing more restrictions on the permitted pollutant emission levels and new technologies developed in order to meet these restrictions. The review begins first with the American and then European directives promulgated in the 1970s, aimed at limiting emissions of pollutants from road transport vehicles. Particular attention is paid to the introduction of the Euro standards in the European Union for light- and heavy-duty vehicles, used as a legal and time frame reference for the evolution of emission aftertreatment systems (ATSs). The paper also describes governmental approaches implemented for the control of pollutant emissions in circulating vehicles, such as market surveillance and in-service conformity. In parallel, it is explained how the gradual introduction of small-scale devices aimed at the NOx control, such as lean NOx traps (LNTs) systems, and, most of all, the selective catalytic reduction (SCR) of NOx, permitted the application to road-transport vehicles of this ATS, originally designed in larger sizes for industrial usage. The paper reviews chemical processes occurring in SCR systems and their advantages and drawbacks with respect to the pollutant emission limits imposed by the legislation. Their potential side effects are also addressed, such as the emission of extra, not-yet regulated pollutants such as, for example, NH3 and N2O. The NOx, N2O, and NH3 emission level evolution with the various Euro standards for both light- and heavy-duty vehicles are reported in the light of experimental data obtained at the European Commission’s Joint Research Centre. It is observed that the new technologies, boosted by increasingly stricter legal limits, have led in the last two decades to a clear decrease of over one order of magnitude of NOx emissions in Diesel light-duty vehicles, bringing them to the same level as Euro 6 gasoline vehicles (10 mg/km to 20 mg/km in average). On the other hand, an obvious increase in the emissions of both NH3 and N2O is observed in both Diesel and gasoline light-duty vehicles, whereby NH3 emissions in spark-ignition vehicles are mainly linked to two-reaction mechanisms occurring in three-way catalysts after the catalyst light-off and during engine rich-operation. NH3 emissions measured in recent Euro 6 light-duty vehicles amount to a few mg/km for both gasoline and Diesel engines, whereby N2O emissions exceeding a dozen mg/km have been observed in Diesel vehicles only. The present paper can be regarded as part of a general assessment in view of the next EU emission standards, and a discussion on the role the SCR technology may serve as a NOx emission control strategy from lean-burn vehicles. Full article
(This article belongs to the Special Issue Selective Catalytic Reduction of NOx by NH3)
Show Figures

Figure 1

34 pages, 4168 KB  
Review
An Overview on the Catalytic Materials Proposed for the Simultaneous Removal of NOx and Soot
by Lidia Castoldi
Materials 2020, 13(16), 3551; https://doi.org/10.3390/ma13163551 - 12 Aug 2020
Cited by 25 | Viewed by 3782
Abstract
Vehicular pollution has become a major problem in urban areas due to the exponential increase in the number of automobiles. Typical exhaust emissions, which include nitrogen oxides (NOx), hydrocarbons (HC), carbon monoxide (CO), soot, and particulate matter (PM), doubtless have important [...] Read more.
Vehicular pollution has become a major problem in urban areas due to the exponential increase in the number of automobiles. Typical exhaust emissions, which include nitrogen oxides (NOx), hydrocarbons (HC), carbon monoxide (CO), soot, and particulate matter (PM), doubtless have important negative effects on the environment and human health, including cardiovascular effects such as cardiac arrhythmias and heart attacks, and respiratory effects such as asthma attacks and bronchitis. The mitigation measures comprise either the use of clean alternative fuels or the use of innovative technologies. Several existing emission control technologies have proven effective at controlling emissions individually, such as selective catalytic reduction (SCR) and lean NOx trap (LNT) to reduce NOx and diesel particulate filter (DPF) specifically for PM abatement. These after-treatment devices are the most profitable means to reduce exhaust emissions to acceptable limits (EURO VI norms) with very little or no impact on the engine performances. Additionally, the relative lack of physical space in which to install emissions-control equipment is a key challenge for cars, especially those of small size. For this reason, to reduce both volume and cost of the after-treatment devices integrated catalytic systems (e.g., a sort of a “single brick”) have been proposed, reducing both NOx and PM simultaneously. This review will summarize the currently reported materials for the simultaneous removal of NOx and soot, with particular attention to their nature, properties, and performances. Full article
(This article belongs to the Special Issue Nanocatalysts for Oxidation and Combustion)
Show Figures

Figure 1

16 pages, 2643 KB  
Article
Hybrid Technology for DeNOxing by LNT-SCR System for Efficient Diesel Emission Control: Influence of Operation Parameters in H2O + CO2 Atmosphere
by Marina Cortés-Reyes, Concepción Herrera, María Ángeles Larrubia and Luis J. Alemany
Catalysts 2020, 10(2), 228; https://doi.org/10.3390/catal10020228 - 14 Feb 2020
Cited by 10 | Viewed by 3583
Abstract
The behavior and operation parameters were analyzed for the hybrid LNT-SCR (Lean NOx-Trap–Selective Catalytic Reduction) system with advanced catalyst formulations. Pt-Ba-K/Al2O3 was used as an NSR (NOx Storage and Reduction) or LNT catalyst effective in NOx [...] Read more.
The behavior and operation parameters were analyzed for the hybrid LNT-SCR (Lean NOx-Trap–Selective Catalytic Reduction) system with advanced catalyst formulations. Pt-Ba-K/Al2O3 was used as an NSR (NOx Storage and Reduction) or LNT catalyst effective in NOx and soot simultaneous removal whereas Cu-SAPO-34 with 2 wt.% of copper inside the structure was the small pore zeolite employed as the SCR catalyst. Under alternating and cyclic wet conditions, feeding volumetric concentrations of 1000 ppm of NO, 3% of O2, 1.5% of water, 0.3% of CO2, and H2 as a reductant, the NOx-conversion values were above 95% and a complete mineralization to nitrogen was registered using θ ≤ 3 (20 s of regeneration) and a hydrogen content between 10,000 and 2000 ppm in the whole temperature range tested. An excess of hydrogen fed (above 1% v/v) during the rich phase is unnecessary. In addition, in the low temperature range below 250 °C, the effect is more noticeable due to the further ammonia production and its possible slip. These results open the way to the scale up of the coupled catalytic technologies for its use in real conditions while controlling the influence of the operation map. Full article
Show Figures

Figure 1

18 pages, 2787 KB  
Article
Regulated and Non-Regulated Emissions from Euro 6 Diesel, Gasoline and CNG Vehicles under Real-World Driving Conditions
by Ricardo Suarez-Bertoa, Martin Pechout, Michal Vojtíšek and Covadonga Astorga
Atmosphere 2020, 11(2), 204; https://doi.org/10.3390/atmos11020204 - 14 Feb 2020
Cited by 84 | Viewed by 11263
Abstract
The transport sector is one of the main sources air pollutants. Different exhaust after-treatment systems have been implemented over the years to control the emissions of criteria pollutants. However, while reducing the emissions of the target compounds these systems can lead to the [...] Read more.
The transport sector is one of the main sources air pollutants. Different exhaust after-treatment systems have been implemented over the years to control the emissions of criteria pollutants. However, while reducing the emissions of the target compounds these systems can lead to the emissions of other pollutants and/or greenhouse gases such as NH3 or N2O. Following the implementation of the Real Driving Emissions (RDE) test procedure in the EU, vehicles have been equipped with more complex after-treatment configurations. The impact that these technologies may have on the emissions of non-regulated pollutants during real-world driving have not been evaluated until now. In the current study we present the on-road emissions of a series of non-regulated pollutants, including NH3, N2O, CH4 and HCHO, measured with a portable FTIR from a series of Euro 6d, Euro 6c and Euro 6d-TEMP, gasoline diesel and compressed natural gas (CNG) vehicles during real-world testing. The obtained results show that it is possible to measure N2O, NH3, CH4 and HCHO during on-road operation. The results also highlight the importance of the measurement of the emissions of these pollutants during real-world driving, as the emissions of NH3 (a particulate matter precursor) and those of N2O and CH4 (green-house gases) can be high from some vehicle technologies. NH3 emissions were up to 49 mg/km for gasoline passenger cars, up to 69 mg/km for the CNG light-commercial vehicle and up to 17 mg/km a diesel passenger car equipped with a selective catalytic reduction system (SCR). On the other hand, N2O and CH4 emissions accounted for up to 9.8 g CO2 eqv/km for a diesel passenger car equipped with a combination of diesel oxidation catalysts (DOC), lean NOx traps (LNT), SCR and possibly an ammonia slip catalyst ASC. Full article
(This article belongs to the Special Issue 10th Anniversary of Atmosphere: Air Quality)
Show Figures

Figure 1

25 pages, 10999 KB  
Review
Perovskite-Based Catalysts as Efficient, Durable, and Economical NOx Storage and Reduction Systems
by Jon A. Onrubia-Calvo, Beñat Pereda-Ayo and Juan R. González-Velasco
Catalysts 2020, 10(2), 208; https://doi.org/10.3390/catal10020208 - 9 Feb 2020
Cited by 25 | Viewed by 6440
Abstract
Diesel engines operate under net oxidizing environment favoring lower fuel consumption and CO2 emissions than stoichiometric gasoline engines. However, NOx reduction and soot removal is still a technological challenge under such oxygen-rich conditions. Currently, NOx storage and reduction (NSR), also [...] Read more.
Diesel engines operate under net oxidizing environment favoring lower fuel consumption and CO2 emissions than stoichiometric gasoline engines. However, NOx reduction and soot removal is still a technological challenge under such oxygen-rich conditions. Currently, NOx storage and reduction (NSR), also known as lean NOx trap (LNT), selective catalytic reduction (SCR), and hybrid NSR–SCR technologies are considered the most efficient control after treatment systems to remove NOx emission in diesel engines. However, NSR formulation requires high platinum group metals (PGMs) loads to achieve high NOx removal efficiency. This requisite increases the cost and reduces the hydrothermal stability of the catalyst. Recently, perovskites-type oxides (ABO3) have gained special attention as an efficient, economical, and thermally more stable alternative to PGM-based formulations in heterogeneous catalysis. Herein, this paper overviews the potential of perovskite-based formulations to reduce NOx from diesel engine exhaust gases throughout single-NSR and combined NSR–SCR technologies. In detail, the effect of the synthesis method and chemical composition over NO-to-NO2 conversion, NOx storage capacity, and NOx reduction efficiency is addressed. Furthermore, the NOx removal efficiency of optimal developed formulations is compared with respect to the current NSR model catalyst (1–1.5 wt % Pt–10–15 wt % BaO/Al2O3) in the absence and presence of SO2 and H2O in the feed stream, as occurs in the real automotive application. Main conclusions are finally summarized and future challenges highlighted. Full article
Show Figures

Graphical abstract

14 pages, 2773 KB  
Article
Deactivation of Cu/SSZ-13 NH3-SCR Catalyst by Exposure to CO, H2, and C3H6
by Xavier Auvray, Oana Mihai, Björn Lundberg and Louise Olsson
Catalysts 2019, 9(11), 929; https://doi.org/10.3390/catal9110929 - 6 Nov 2019
Cited by 11 | Viewed by 5800
Abstract
Lean nitric oxide (NOx)-trap (LNT) and selective catalytic reduction (SCR) are efficient systems for the abatement of NOx. The combination of LNT and SCR catalysts improves overall NOx removal, but there is a risk that the SCR catalyst [...] Read more.
Lean nitric oxide (NOx)-trap (LNT) and selective catalytic reduction (SCR) are efficient systems for the abatement of NOx. The combination of LNT and SCR catalysts improves overall NOx removal, but there is a risk that the SCR catalyst will be exposed to high temperatures and rich exhaust during the LNTs sulfur regeneration. Therefore, the effect of exposure to various rich conditions and temperatures on the subsequent SCR activity of a Cu-exchanged chabazite catalyst was studied. CO, H2, C3H6, and the combination of CO + H2 were used to simulate rich conditions. Aging was performed at 800 °C, 700 °C, and, in the case of CO, 600 °C, in a plug-flow reactor. Investigation of the nature of Cu sites was performed with NH3-temperature-programed desorption (TPD) and diffuse reflectance infrared Fourier transform spectroscopy (DRIFT) of probe molecules (NH3 and NO). The combination of CO and H2 was especially detrimental to SCR activity and to NH3 oxidation. Rich aging with low reductant concentrations resulted in a significantly larger deactivation compared to lean conditions. Aging in CO at 800 °C caused SCR deactivation but promoted high-temperature NH3 oxidation. Rich conditions greatly enhanced the loss of Brønsted and Lewis acid sites at 800 °C, indicating dealumination and Cu migration. However, at 700 °C, mainly Brønsted sites disappeared during aging. DRIFT spectroscopy analysis revealed that CO aging modified the Cu2+/CuOH+ ratio in favor of the monovalent CuOH+ species, as opposed to lean aging. To summarize, we propose that the reason for the increased deactivation observed for mild rich conditions is the transformation of the Cu species from Z2Cu to ZCuOH, possibly in combination with the formation of Cu clusters. Full article
(This article belongs to the Special Issue Catalysis for the Removal of Gas-Phase Pollutants)
Show Figures

Graphical abstract

29 pages, 3868 KB  
Article
Emission Factors Derived from 13 Euro 6b Light-Duty Vehicles Based on Laboratory and On-Road Measurements
by Victor Valverde, Bernat Adrià Mora, Michaël Clairotte, Jelica Pavlovic, Ricardo Suarez-Bertoa, Barouch Giechaskiel, Covadonga Astorga-LLorens and Georgios Fontaras
Atmosphere 2019, 10(5), 243; https://doi.org/10.3390/atmos10050243 - 2 May 2019
Cited by 67 | Viewed by 8213
Abstract
Tailpipe emissions of a pool of 13 Euro 6b light-duty vehicles (eight diesel and five gasoline-powered) were measured over an extensive experimental campaign that included laboratory (chassis dynamometer), and on-road tests (using a portable emissions measurement system). The New European Driving Cycle (NEDC) [...] Read more.
Tailpipe emissions of a pool of 13 Euro 6b light-duty vehicles (eight diesel and five gasoline-powered) were measured over an extensive experimental campaign that included laboratory (chassis dynamometer), and on-road tests (using a portable emissions measurement system). The New European Driving Cycle (NEDC) and the Worldwide harmonised Light-duty vehicles Test Cycle (WLTC) were driven in the laboratory following standard and extended testing procedures (such as low temperatures, use of auxiliaries, modified speed trace). On-road tests were conducted in real traffic conditions, within and outside the boundary conditions of the regulated European Real-Driving Emissions (RDE) test. Nitrogen oxides (NOX), particle number (PN), carbon monoxide (CO), total hydrocarbons (HC), and carbon dioxide (CO2) emission factors were developed considering the whole cycles, their sub-cycles, and the first 300 s of each test to assess the cold start effect. Despite complying with the NEDC type approval NOX limit, diesel vehicles emitted, on average, over the WLTC and the RDE 2.1 and 6.7 times more than the standard limit, respectively. Diesel vehicles equipped with only a Lean NOX trap (LNT) averaged six and two times more emissions over the WLTC and the RDE, respectively, than diesel vehicles equipped with a selective catalytic reduction (SCR) catalyst. Gasoline vehicles with direct injection (GDI) emitted eight times more NOX than those with port fuel injection (PFI) on RDE tests. Large NOX emissions on the urban section were also recorded for GDIs (122 mg/km). Diesel particle filters were mounted on all diesel vehicles, resulting in low particle number emission (~1010 #/km) over all testing conditions including low temperature and high dynamicity. GDIs (~1012 #/km) and PFIs (~1011 #/km) had PN emissions that were, on average, two and one order of magnitude higher than for diesel vehicles, respectively, with significant contribution from the cold start. PFIs yielded high CO emission factors under high load operation reaching on average 2.2 g/km and 3.8 g/km on WLTC extra-high and RDE motorway, respectively. The average on-road CO2 emissions were ~33% and 41% higher than the declared CO2 emissions at type-approval for diesel and gasoline vehicles, respectively. The use of auxiliaries (AC and lights on) over the NEDC led to an increase of ~20% of CO2 emissions for both diesel and gasoline vehicles. Results for NOX, CO and CO2 were used to derive average on-road emission factors that are in good agreement with the emission factors proposed by the EMEP/EEA guidebook. Full article
(This article belongs to the Special Issue Traffic-Related Emissions)
Show Figures

Figure 1

13 pages, 2701 KB  
Article
High-Throughput Screening as a Supplemental Tool for the Development of Advanced Emission Control Catalysts: Methodological Approaches and Data Processing
by Andreas Sundermann and Olga Gerlach
Catalysts 2016, 6(2), 23; https://doi.org/10.3390/catal6020023 - 29 Jan 2016
Cited by 17 | Viewed by 9465
Abstract
A high-throughput (HT) screening platform developed at hte with the application focus on automotive catalysis is described. hte HT units are configured for performing steady-state testing, as well as dynamic tests with fast feed switches, such as lean/rich excursions for the evaluation of [...] Read more.
A high-throughput (HT) screening platform developed at hte with the application focus on automotive catalysis is described. hte HT units are configured for performing steady-state testing, as well as dynamic tests with fast feed switches, such as lean/rich excursions for the evaluation of NOx storage capacity and efficiency of lean NOx traps (LNT), ammonia storage capacity for selective catalytic reduction (SCR), evaluation of oxygen storage capacity (OSC), as well as lambda sweep tests for screening of three-way catalysts (TWC). Even though catalysts are screened on a rather small scale (~100 mg powder), experience showed that dosing rather complex gas mixtures in concentrations close to that found in real exhaust for the given application is mandatory to generate relevant data. The objective of this work is to give additional insight into HT technology. In the industrial research laboratory, HT screening has matured to become a reliable approach for rapid screening of both reaction parameter spaces, as well as material properties relevant for exhaust gas catalyst development. Due to the speed of optimized screening involving 48 parallel reactors, automated handling of primary data is an imported requirement. Software for data reduction, like estimation of light-off temperature, needs to be robust and handle results for diverse sample libraries in an unattended fashion. In combination with the statistical design of experiment and multivariate data analysis, HT testing has become a valuable enhancement to automotive catalyst development. Full article
(This article belongs to the Special Issue High-Throughput Catalysts)
Show Figures

Graphical abstract

22 pages, 658 KB  
Article
Dosimeter-Type NOx Sensing Properties of KMnO4 and Its Electrical Conductivity during Temperature Programmed Desorption
by Andrea Groß, Michael Kremling, Isabella Marr, David J. Kubinski, Jacobus H. Visser, Harry L. Tuller and Ralf Moos
Sensors 2013, 13(4), 4428-4449; https://doi.org/10.3390/s130404428 - 2 Apr 2013
Cited by 11 | Viewed by 8509
Abstract
An impedimetric NOx dosimeter based on the NOx sorption material KMnO4 is proposed. In addition to its application as a low level NOx dosimeter, KMnO4 shows potential as a precious metal free lean NOx trap material (LNT) [...] Read more.
An impedimetric NOx dosimeter based on the NOx sorption material KMnO4 is proposed. In addition to its application as a low level NOx dosimeter, KMnO4 shows potential as a precious metal free lean NOx trap material (LNT) for NOx storage catalysts (NSC) enabling electrical in-situ diagnostics. With this dosimeter, low levels of NO and NO2 exposure can be detected electrically as instantaneous values at 380 °C by progressive NOx accumulation in the KMnO4 based sensitive layer. The linear NOx sensing characteristics are recovered periodically by heating to 650 °C or switching to rich atmospheres. Further insight into the NOx sorption-dependent conductivity of the KMnO4-based material is obtained by the novel eTPD method that combines electrical characterization with classical temperature programmed desorption (TPD). The NOx loading amount increases proportionally to the NOx exposure time at sorption temperature. The cumulated NOx exposure, as well as the corresponding NOx loading state, can be detected linearly by electrical means in two modes: (1) time-continuously during the sorption interval including NOx concentration information from the signal derivative or (2) during the short-term thermal NOx release. Full article
(This article belongs to the Section Chemical Sensors)
Show Figures

15 pages, 1292 KB  
Review
Catalysts as Sensors—A Promising Novel Approach in Automotive Exhaust Gas Aftertreatment
by Ralf Moos
Sensors 2010, 10(7), 6773-6787; https://doi.org/10.3390/s100706773 - 13 Jul 2010
Cited by 62 | Viewed by 16329
Abstract
Sensors that detect directly and in situ the status of automotive exhaust gas catalysts by monitoring the electrical properties of the catalyst coating itself are overviewed. Examples included in this review are the in-situ determination of the electrical impedance of three-way catalysts based [...] Read more.
Sensors that detect directly and in situ the status of automotive exhaust gas catalysts by monitoring the electrical properties of the catalyst coating itself are overviewed. Examples included in this review are the in-situ determination of the electrical impedance of three-way catalysts based on ceria-zirconia solutions and of lean NOx traps of earth-alkaline based coatings, as well as approaches to determine the ammonia loading in Fe-SCR-zeolites with electrical ac measurements. Even more sophisticated approaches based on interactions with electromagnetic waves are also reviewed. For that purpose, metallic stick-like antennas are inserted into the exhaust pipe. The catalyst properties are measured in a contactless manner, directly indicating the catalyst status. The radio frequency probes gauge the oxygen loading degree of three-way catalysts, the NOx-loading of lean NOx traps, and the soot loading of Diesel particulate filters Full article
(This article belongs to the Section Chemical Sensors)
Show Figures

Back to TopTop