Next Article in Journal
SAR Image Simulation in the Time Domain for Moving Ocean Surfaces
Previous Article in Journal
Pressure-Sensitive Paint Measurements of Transient Shock Phenomena
 
 
Font Type:
Arial Georgia Verdana
Font Size:
Aa Aa Aa
Line Spacing:
Column Width:
Background:
Article

Dosimeter-Type NOx Sensing Properties of KMnO4 and Its Electrical Conductivity during Temperature Programmed Desorption

1
Zentrum für Energietechnik, Bayreuth Engine Research Center (BERC), Department of Functional Materials, University of Bayreuth, 95440 Bayreuth, Germany
2
Ford Research and Advanced Engineering, Dearborn, MI 48124, USA
3
Department of Materials Science and Engineering, Massachusetts Institute of Technology, Cambridge, MA 02139, USA
*
Author to whom correspondence should be addressed.
Sensors 2013, 13(4), 4428-4449; https://doi.org/10.3390/s130404428
Submission received: 28 February 2013 / Revised: 22 March 2013 / Accepted: 25 March 2013 / Published: 2 April 2013
(This article belongs to the Section Chemical Sensors)

Abstract

: An impedimetric NOx dosimeter based on the NOx sorption material KMnO4 is proposed. In addition to its application as a low level NOx dosimeter, KMnO4 shows potential as a precious metal free lean NOx trap material (LNT) for NOx storage catalysts (NSC) enabling electrical in-situ diagnostics. With this dosimeter, low levels of NO and NO2 exposure can be detected electrically as instantaneous values at 380 °C by progressive NOx accumulation in the KMnO4 based sensitive layer. The linear NOx sensing characteristics are recovered periodically by heating to 650 °C or switching to rich atmospheres. Further insight into the NOx sorption-dependent conductivity of the KMnO4-based material is obtained by the novel eTPD method that combines electrical characterization with classical temperature programmed desorption (TPD). The NOx loading amount increases proportionally to the NOx exposure time at sorption temperature. The cumulated NOx exposure, as well as the corresponding NOx loading state, can be detected linearly by electrical means in two modes: (1) time-continuously during the sorption interval including NOx concentration information from the signal derivative or (2) during the short-term thermal NOx release.

1. Introduction

Highly sensitive, selective, stable and fast responding NOx sensing devices are required for the reliable detection of low levels of NOx in a number of important application areas, including automotive and industrial emissions control, as well as environmental and air quality monitoring (immission) [13]. Often, the main requirement is the ability to monitor NOx mean concentration values over extended periods (e.g., 1-hour value for immission legislation [4], or the emitted concentration per driven distance [5]) instead of the instantaneous concentration. Dosimeter, integrating or accumulating-type sensors, largely operated as optical or mass sensitive devices, are designed to meet these requirements. Analyte accumulation affects the sensor signal and is achieved either by the generation of a reaction product with the sensor active layer [611], or irreversible sorption of NOx onto the surface layer [1214], followed by periodic regeneration of the sorption capacity [12,1417].

Recently, impedimetric or resistive NOx dosimeters, based on materials utilized in automotive lean NOx trap catalysts (LNT), were successfully introduced [6,11,18]. Around 400 °C, these carbonate-based materials enable long-term detection of low levels of NO and NO2 by monitoring the increase in conductivity with increased NOx loading. The zero-level is reset by regeneration, achieved either by a step change in temperature or by exposure to reducing atmospheres [6].

In this study, KMnO4 is investigated as a low-cost alternative to commercial LNT formulations in a dosimeter-type NOx sensing device. KMnO4 is known as a strong oxidant [1921], forming nitrites and nitrates upon exposure to NOx, even above the KMnO4 decomposition temperature [22,23]. Following an investigation of its electrical properties, the NOx dosimeter-type sensing properties at elevated temperatures and the effect of periodic thermal regeneration are examined. The NOx dose is measured either during sorption or during regeneration by combining the conventional temperature programmed desorption method with the electrical sensor signal. This technique, denoted as eTPD, provides, for the first time, a quantitative correlation between the electrical properties and the NOx loading state of a material. This should be of interest for both sensing and catalyst diagnosis applications.

2. KMnO4/La-Al2O3 as Sensitive Layer

2.1. Sample Preparation and Characterization

The sensitive layer of the proposed NOx dosimeter was prepared from 17 mol% KMnO4 (Merck) deposited onto alumina, stabilized with 3% lanthanum (Puralox SCFa-140La3), serving as support oxide with surface area of 140 m2/g and mean particle diameter of 30 μm. The KMnO4/La-Al2O3 powder was prepared by multiple infiltration of an aqueous solution of KMnO4 into the La-Al2O3 powder, followed by drying at 100 °C and calcination at 600 °C for 5 h. Upon thermal decomposition KMnO4 is known to form various potassium- and manganese-containing compounds, like K2MnO4 and K3MnO4, as well as manganese oxide MnOx existing in different oxidation states [22,2430]. The decomposition of KMnO4 is reported by Boldyrev [25,26] to become noticeable in the temperature range from 205 to 280 °C. KMnO4-impregnation and firing decreased the surface area of the powder to 100 m2/g (obtained by BET method (named after the originators of the method: Brunauer, Emmett, and Teller) relying on the adsorption of gases to determine the specific surface area of powders). The SEM (scanning electron microscope) analysis of the fired KMnO4/La-Al2O3 powder is given in Figure 1 as a backscatter electron (BSE) image. The powder consists of spherical La-Al2O3-rich particles in the range of some tens of μm, partly embedded in a potassium and manganese comprising matrix, which was confirmed by energy-dispersive X-ray spectroscopy (EDX) measurements.

The KMnO4/La-Al2O3 powder was mixed with an organic binder (KD2721, Zschimmer & Schwarz) in order to obtain a processable paste. The paste was deposited by spatula onto a 96% pure alumina substrate equipped with gold interdigitated electrodes (area 5 × 6 mm, finger width/distance 100 μm) and fired at 600 °C. The sample was pre-conditioned for several hours at temperatures up to 650 °C in NOx containing oxygen-rich atmospheres.

The electrical properties of KMnO4/La-Al2O3 were investigated in a test apparatus as sketched in Figure 2. Following installation in a quartz-tube furnace with inner diameter of 22 mm, the sample was heated to temperatures between 300 to 650 °C. The KMnO4/La-Al2O3 layer was exposed to a 2 L/min lean gas flow (10% O2, 50% N2 humidified with a water bubbler at room temperature, and 5% CO2 diluted in N2 balance) with a gas exchange time of the system in the range of 8 s. The impedance of the KMnO4/La-Al2O3 sample was recorded by an impedance analyzer (Alpha High Performance Frequency Analyzer, Novocontrol).

2.2. Electrical Properties in the Unloaded State

The electrical properties of KMnO4/La-Al2O3 in the unloaded state (after regeneration of the NOx sorption sites) were evaluated from 300 to 650 °C by impedance spectroscopy in the frequency range of 1 Hz to 1 MHz. Plotting the impedances in the complex plane as Nyquist plots (real part Z′ and imaginary part Z″) yields near semicircular spectra at higher frequencies. This allows the bulk impedance to be modeled by a resistance R in parallel to a constant phase element CPE (RCPE). The corresponding impedance CPE expressed as a function of the model parameters n (ranging from 0 to 1) and Q as well as the angular frequency ω is given in Equation (1):

Z _ CPE ( ω ) = 1 Q ( i ω ) n

In Figure 3(a and b), examples for the corresponding Nyquist plots of the measured impedance data (dots) for 380 and 650 °C, together with the fitted RCPE curves in the upper frequency range (solid curves) and the corresponding fitting parameters, are displayed. While the KMnO4/La-Al2O3 sample has a resistance of 180 kΩ at 380 °C, it decreases to 3.4 kΩ upon heating to 650 °C.

The electrical conductivity σ of the KMnO4/La-Al2O3 specimen was estimated from the fitted R-values of the impedance in the RC dominated frequency range taking into account the electrode geometry. The electrode geometry is estimated from the capacitance of the uncoated structure, assuming a parallel-plate capacitor, as described in [31]. The resulting Arrhenius-like representation of σ as a function of inverse temperature 1/T in Figure 3(c) gives a thermal activation energy of the conductivity EA of 0.8 ± 0.1 eV. This thermally activated conductivity leads to an almost two decades increase from ∼5·10−7 S/cm at 380 °C to 3·10−5 S/cm at 650 °C.

Information regarding the electrical conductivity of KMnO4-based materials above the decomposition temperature in the literature is limited. In thermoelectric tests, KMnO4 and its decomposition products were identified as n-type semiconductors by Boldyrev and Kabanov, and in the literature cited therein [26,28]. Upon thermal decomposition, the conductivity of KMnO4 was found to increase, and depending on morphology, the conductivity was reported to range from 10−6 to 10−8 S/cm at 170 to 210 °C [26,28].

The lower conductivity of the KMnO4/La-Al2O3 based material under investigation compared to the reported conductivity of pure KMnO4 is attributed to the less conductive La-Al2O3 particles serving as support oxide in the applied sensitive coating. Recently published results on the K2CO3/La-Al2O3 system indicate a significant contribution of La-Al2O3 to the measured conductivity given its lower conductivity than that of pure K2CO3 [32].

3. NOx Sensing Properties

Similar to passive samplers, dosimeter-type gas sensors are operated in two alternating steps: Analyte molecules are progressively accumulated in the sensitive layer during a sorption period, followed by a regeneration procedure to release the formerly sorbed molecules. The focus of the next section is on the evaluation of the dosimeter-type NOx sensing characteristics of KMnO4/La-Al2O3 during NOx sorption as well as the efficiency of thermal regeneration.

3.1. Experimental Setup and Data Evaluation

To study the effect of NOx in the low ppm range, the KMnO4/La-Al2O3 sample was exposed to various NO and NO2 concentrations, cNO,in and cNO2,in for defined time intervals tNOx,in. NOx was admixed to the 2 L/min lean base gas flow (10% O2, 50% N2 humidified with a water bubbler at room temperature, and 5% CO2 diluted in N2 balance). The outlet concentrations were determined by a chemiluminescence detector, as illustrated in Figure 2. In accordance to the reported catalytic activity of Mn-containing LNTs [23,3336], as well as to results on LNT-based NOx dosimeters [6,18], the NOx sorption studies were performed at a sorption temperature Tsorption of 380 °C, with periodic heating to 650 °C for regeneration.

The sample impedance was recorded continuously during NOx exposure. Since the fitted n-parameters of ẔCPE (Equation (1)) of KMnO4/La-Al2O3 in the high frequency range were found to be close to 1 (≈0.95), Q can be approximated by the capacitance C and the RCPE equivalent circuit model can be simplified to an RC circuit. Thus, R is calculated from the absolute value of the impedance || and the phase angle φ at a fixed frequency according to Equation (2).

From the Nyquist plots in Figure 3, 10 kHz (marked in red) was selected as an appropriate measurement frequency to monitor the temperature dependent electrical properties in the RC dominated range over time and was used, if not denoted otherwise. The absolute value of the relative resistance change due to NOx exposure ΔRrel is denoted as the sensor signal, and is defined by Equation (3), with R0 being the base resistance in the NOx unloaded state:

R = | Z | 1 + tan 2 φ
Δ R rel = | Δ R | R 0 = R 0 R R 0

The analysis in terms of dosimeter-type sensing properties during NOx sorption at constant flow rates is illustrated in Figure 4. During the NOx loading stage, ΔRrel is expected to increase in the presence of NOx at Tsorption due to progressive NOx accumulation, without recovery (Figure 4(a)). In the case of a constant flow rate, the cumulated NOx exposure (or dose) ANOx,in is given by the time integral of cNOx,in as sketched in Figure 4(b), resulting in the unit ppm·s [6,16,37].

At a constant NOx concentration, ANOx,in scales linearly with tNOx,in. The resulting characteristic line in Figure 4(c) correlates ΔRrel with ANOx,in. It has been shown in detail for a similar material in [6] that in the case of a linear correlation, the signal derivative of a NOx dosimeter at a constant flow rate increases with the actual NOx concentration.

3.2. Cumulative NOx Detection at 380 °C

The presence of NOx was found to decrease the resistivity of KMnO4/La-Al2O3, with the electrical response continuing to satisfy the RC equivalent circuit (not shown). The temporal dependence of R on NOx at 380 °C was studied by exposing the sample to pulses of NO and NO2 for periods of tNOx,in = 100 s with concentrations ranging up to 16 ppm. The pulse heights in terms of cNO,in and cNO2,in, together with the resulting sensor response, are displayed in Figure 5(a). The sensor response ΔRrel (Equation (3)) increases stepwise in the presence of NO and NO2 without any recovery at 0 ppm NOx. The slope of ΔRrelvs. t increases with cNOx,in. The characteristic line in Figure 5(b) is extracted from the measured data points and the course of the NOx concentration according to Figure 4. ΔRrel correlates almost linearly with the cumulated NOx exposure ANOx,in, independent of the NOx species, up to at least 40% signal change with a NOx sensitivity of 4.8%/1,000 ppm·s. The specimen thus provides comparable sensitivity to both NO and NO2. Small deviations of the NO2 related data points from linearity at the initial stage of exposure may originate from NO2 adsorption on the inner surface of the feed lines. The sensing characteristics and in particularly the sensitivity of NOx dosimeter with a comparable sensitive material were found to be dependent on the temperature as well as on the thickness of the sensitive layer [6,16].

Figure 5 indicates the strong and progressive sorption of NO and NO2 onto KMnO4/La-Al2O3 at 380 °C with corresponding impact on its electrical conductivity. As in K-Mn-containing LNTs [21,23], NOx is expected accumulate on KMnO4/La-Al2O3 by forming stable nitrates on the potassium sites generated upon KMnO4 decomposition [22]. For LNTs it is well known that NO is first oxidized to NO2 on redox active sites provided by e.g., precious metals, followed by chemical NO2 storage by reaction with the alkaline (earth-) carbonates, mainly BaCO3 or K2CO3, to form nitrates [3840]. The observed increase in the conductivity of fully formulated LNTs in NOx enables their application as total NOx sensors [6,11,41] or for in-situ diagnostics of automotive catalysts [4143].

The requirement of an incorporated oxidant, for the purpose of NO sorption, was verified by electrical means. Pure BaCO3 or K2CO3, on the other hand, accumulates only NO2, enabling conductometric NO2 dosimetry, without NO cross-sensitivity [15,32]. Given the ability of KMnO4/La-Al2O3 to detect either NO or NO2, the oxidizing properties of KMnO4/La-Al2O3 are demonstrated to be sufficient to convert NO to NO2 prior to nitrate formation. This is consistent with MnOx, as a product of KMnO4 decomposition [25,27], being known as an effective oxidizing agent in NOx reduction catalysts [22,24,33,34,36,44]. The contribution of MnOx to the NOx sorption capacity at 380 °C cannot be excluded [4548].

The linear correlation between ΔRrel and ANOx,in in the low loading state of the NOx dosimeter based on KMnO4/La-Al2O3 in Figure 5 points on a sorption rate proportional to the NOx concentration. This linearity provides a dual-mode functionality: while the sensor response corresponds directly to the cumulated NOx exposure during the sorption period, the course of cNOx,in can be determined via the signal derivative as described in [6,14]. Furthermore, these results demonstrate that decomposed KMnO4 can be utilized in NOx dosimeters and catalysts without any need for expensive precious metal additives due to its intrinsic oxidizing nature.

3.3. NOx Concentration Sensitivity at 650 °C

An important criterion for a useful sensor is the ability to refresh or regenerate the device following accumulation of the target gas analyte, which in this study is NOx. The decreased thermodynamic stability of the formed nitrates upon heating limits the catalytic activity of LNTs [3840,49] and alters the cumulative NOx sensing characteristics of carbonates and LNT-based sensors [6,17,18,32]. According to Becerra et al.[22], nitrate and nitrite-like compounds formed on KMnO4-based materials decompose in the temperature range of ∼550 to 670 °C. Hence, a thermal release of sorbed NOx, leading to a recovery of the sorption sites of KMnO4/La-Al2O3, seems feasible.

The effect of NOx on the resistivity of KMnO4/La-Al2O3 was studied at 650 °C to investigate this temperature as being suitable for regeneration. The sample was exposed to the NOx concentration profile shown in Figure 6(a) with up to 8 ppm NO and 75 ppm NO2. ΔRrel is calculated from the impedance at 1 MHz due to the increased conductivity. Again, the conductivity of KMnO4/La-Al2O3 increases in the presence of NOx. But, as shown in Figure 6(b), at 650 °C, the value for ΔRrel follows the course of cNOx,in (instead of ∫cNOx,in dt) being characteristic of a common concentration-detecting gas sensor response. Despite the corresponding concentration-related characteristic line in Figure 6(c), which gives a linear correlation, the low sensitivity of only 2.7%/100 ppm NO2 limits the application of KMnO4/La-Al2O3 as a NOx sensing material operated at 650 °C.

The reversibly sensor response at 650 °C in Figure 6 indicates that the equilibrium of the NOx sorption on the KMnO4-based material is shifted to the side of the reactants and the resulting fast desorption goes along with the loss of NOx accumulation capability. Hence, 650 °C seems an appropriate temperature to release formerly sorbed NOx and to recover the sorption capacity, as well as the electrical properties of KMnO4/La-Al2O3. The reversibility of the sensor response of KMnO4/La-Al2O3 at 650 °C is consistent with results on an LNT-based NOx dosimeter [17].

3.4. Efficiency of Thermal Regeneration

In the following test series, the efficiency of thermal regeneration, the reproducibility of the dosimeter-type NOx sensing characteristics, and the influence of NOx exposure time were studied. The same KMnO4/La-Al2O3 sample was exposed to 8 ppm NO2 or NO at 380 °C in periods of 250, 500, 750, 1,000, and 2,000 s. Between each NOx exposure period, the sample was regenerated at 650 °C for about 5 min in the lean gas flow. The sensor responses as a function of tNO2,in and tNO,in are compared in Figure 7. The five NO2-borne curves of ΔRrel depicted in Figure 7(a) are almost identical in the corresponding overlapping time scales; please note that the data points corresponding to the longest NO2 exposure of 2,000 s are partly masked by the other data curves. The corresponding NO curves up to 1,000 s in Figure 7(b) are overlapping as well. The sensor behaves linearly (following an initial incubation period) up to a resistance change of about 40%, with the slope of ΔRrel in Figure 7(a) being nearly constant up to about 1,000 s (8,000 ppm·s NO2). The nonlinearity at the beginning of NOx exposure in Figures 5 and 7, i.e., the slight initial slope increase during the first 375 s in NO2 (3,000 ppm·s NO2), is assumed to be caused by NOx (in particular NO2) being adsorbed on the feed gas lines resulting in a delayed sensor response. Further NO2 exposure leads to a decrease in the slope and ΔRrel reaches a value of 70% after half an hour in 8 ppm NO2. By definition, ΔRrel cannot reach 100% as the conductivity increases, resulting in a flattening of the curve of ΔRrel with continuing NOx loading. It is expected that a greater sensitive layer thickness would increase the linear range to higher NOx levels, but at reduced sensitivity (slope d(ΔRrel)/dANOx,in), as reported for LNT-based dosimeters [16].

The reproducibility of the sensor response in Figure 7 indicates that the sorption sites of the KMnO4/La-Al2O3-based dosimeter material can be recovered by releasing sorbed NOx thermally. Heating up to 650 °C restores the NOx sensing characteristics at 380 °C, independent of the former NOx exposure duration. The base resistance in the unloaded state R0 was found to decrease slightly with time without impacting the NOx sensitivity. This might be attributed to small morphological changes during thermal aging, which, however, are too small to be seen by SEM. It is noteworthy to mention that the dosimeter principle avoids such long term signal drifts by definition, since the zero level of ΔRrel is reset after each regeneration step. This is one of the key advantages of conductometric dosimeters compared to classical semiconductor gas sensors.

4. Electrical Conductivity during Temperature Programmed Desorption (eTPD)

As in temperature programmed desorption (TPD) studies, the course of the NOx concentration due to NOx desorption during thermal regeneration gives quantitative information about the amount of stored NOx in KMnO4/La-Al2O3. Combining TPD with simultaneous electrical characterization (eTPD), an electrical readout of the cumulative sorbed NOx during the short thermal regeneration periods results. To obtain further insight into the relation between the NOx loading state and the electrical behavior during NOx sorption and release, eTPD is applied to the KMnO4/La-Al2O3 formulation.

4.1. eTPD Setup and Data Evaluation

eTPD on KMnO4/La-Al2O3 is performed with the experimental arrangement shown in Figure 2. The eTPD related data and their evaluation are summarized in Figure 8.

To recover the NOx sensing characteristics of KMnO4/La-Al2O3 in between the NOx sorption intervals in the lean gas flow in Figure 7, the sample was heated from 380 °C (Tsorption) to 650 °C (Tdesorption) with a heating rate of 74 °C/min from 425 to 635 °C, while monitoring the impedance at 10 kHz. The temperature increase started at theat, 50 s after the end of the preceding NOx dosing interval. The resulting NOx desorption curve (Figure 8(a)) is displayed as a NOx concentration creleased. At tstart = theat + 50 s an increase of NOx is observed in the outlet until tend. As illustrated in Figure 8(b), at a constant flow rate, the time integral of creleased, evaluated in the time interval of tendtstart = 300 s, reflects the released NOx amount Areleased. Areleased is expected to be proportional to the quantity of sorbed NOx, if the sorption sites are fully recovered by heating.

The conductance G of KMnO4/La-Al2O3, with G = 1/R, was found to be affected by the temperature and the NOx loading level, both changing during thermal regeneration. As sketched in Figure 8(a), NOx release results in a convergence of G to G0 = 1/R0, G0 being the temperature dependent conductance in the unloaded state. The time integral of the conductance upon heating, relative to those of G0, is evaluated as the cumulative electrical response FG. FG is calculated according to Equation (4) and is shown in Figure 8(b) as the area between the curves corresponding to the two loading states. In the ideal case, FG would be a measurand for Areleased (Figure 8(c)) and would depend linearly on the cumulative sorbed NOx amount.

F G = t start t end [ log G ( t ) log G 0 ( t ) ] d t

4.2. Evaluation of the Released Amount

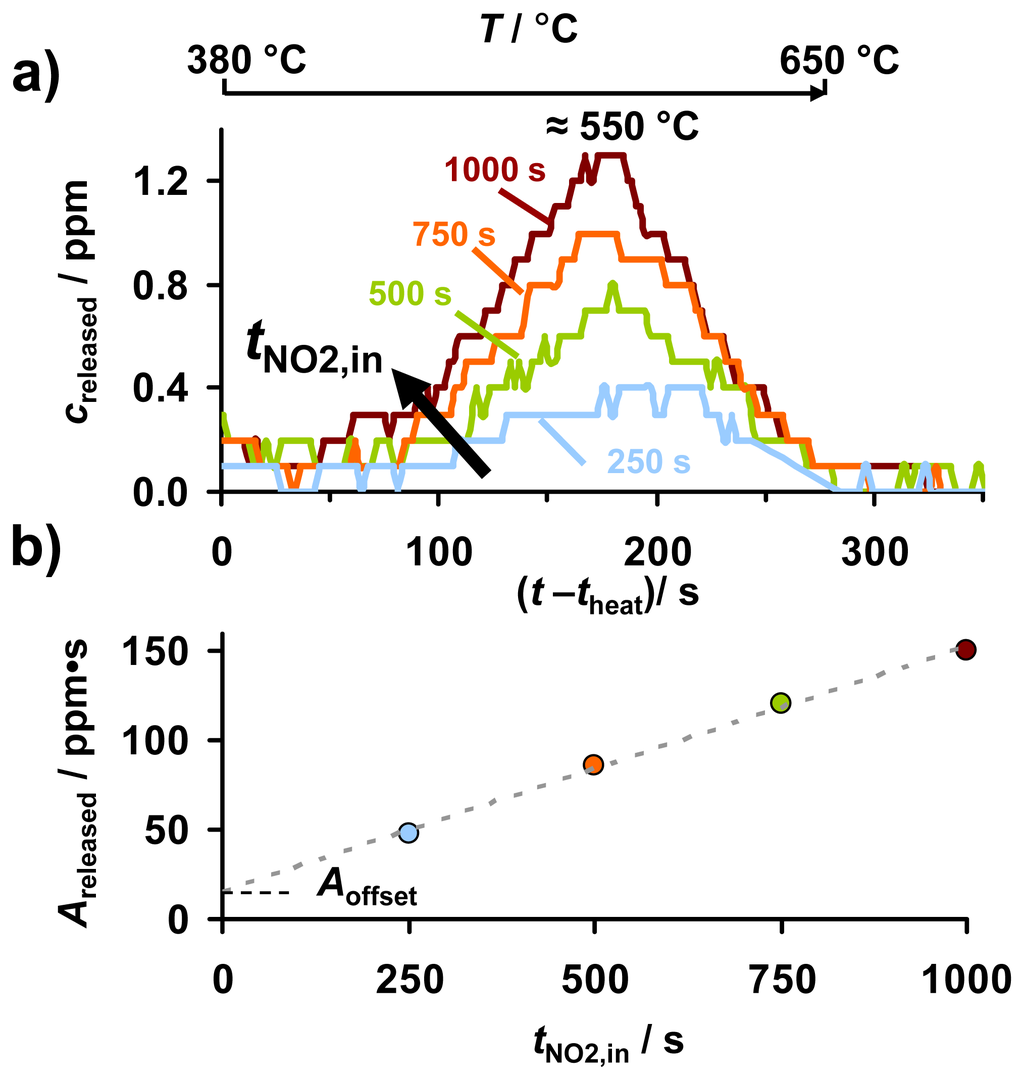
In Figure 7, the resistance responses of KMnO4/La-Al2O3 during an NO2 sorption series at 380 °C with various exposure periods tNO2,in are reported. The subsequent regeneration by heating to 650 °C to release the formerly sorbed NOx can be analyzed in terms of TPD. The corresponding outlet NOx concentrations creleased in the lean 2 L/min gas flow, with a resolution of 0.1 ppm given by the CLD, for tNO2,in up to 1,000 s are compared in Figure 9. After 1,000 s in 8 ppm NO2 (red curve, as indicated in Figure 9), KMnO4/La-Al2O3 starts to release NOx at about 400 °C. creleased increases with temperature, and at about 550 °C, a maximum is reached at about 1.3 ppm. Shorter NO2 exposure periods, representing a lower amount of NOx loading, yield lower peak heights of creleased. At 650 °C, creleased reaches zero for all curves, indicating the end of NOx release. Additionally, both peak maximum and desorption onset are shifted to lower temperatures with increasing tNO2,in. The latter points to a lower stability of the sorbed NOx with increased NOx loading. Concerning the low values of creleased, it should be considered that the evolved NOx is diluted in the 2 L/min lean gas flow and that the sensitive KMnO4 coating amounts only to an area of about 30 mm2 (5 × 6 mm).

The reproducibility of the dosimeter-type NOx sensing characteristics at 380 °C (Figure 7) and the missing NOx accumulation at 650 °C (Figure 6) reveal that the NOx sorption capacity of KMnO4/La-Al2O3 can be recovered by heating to 650 °C. Therefore, the quantity of sorbed NO2 on KMnO4/La-Al2O3 can be estimated from the subsequently thermally released NOx amount Areleased, being the area under the desorption peak as shown in Figure 8(b). Figure 9(b) reveals that Areleased and hence the amount of NOx sorbed in KMnO4/La-Al2O3 increases almost linearly (with only a small offset) with NO2 exposure, reflected by tNO2,in. Consequently, NO2 is sorbed on KMnO4/La-Al2O3 with a time constant sorption rate during the 8 ppm NO2 exposure periods. After 1,000 s in 8 ppm NO2, resulting in a cumulated NO2 exposure of 8,000 ppm·s, about 150 ppm·s NOx are released. This indicates that only about 1.9% of the NO2 in the passing gas flow is sorbed in the KMnO4 based sensitive layer. The gas velocity of 5.3 m/min together the sensitive area length of 6 mm amounts to a residence time of about 70 ms, being comparable to those in catalysts [37]. However, the huge gas volume above the sensitive layer in the 22 mm diameter quartz tube inhibits full NOx storage in this NOx dosimeter setup. The small offset of Areleased in Figure 9(b) amounts to about Aoffset ≈ 15 ppm·s. If one divides this value by the integration time of 300 s, one obtains an average concentration of 0.05 ppm NOx. A closer look at Figure 9(a) reveals that this is (roughly) the offset of the NOx concentration measurement by the CLD with a resolution of 0.1 ppm. As a conclusion, the offset of Areleased can be attributed to an integration error. The analysis of the corresponding data after NO exposure yield the same qualitative results (data not shown here) but with a smaller offset. Hence, a further explanation might be the partial overlap of creleased with the preceding decay of cNO2,in due to NO2 adsorption in the feed lines.

The observed sensor response ΔRrel of KMnO4/La-Al2O3 during NOx sorption at 380 °C (Figure 7) obviously corresponds to the amount of loaded NOx. In Figure 10, ΔRrel, caused by 8 ppm NO or NO2 for up to 1,000 s, is related to Areleased, which is obtained from the subsequent regeneration shown in Figure 9. For NO exposure, as well as for NO2 exposure, ΔRrel increases linearly with Areleased. Hence, in the investigated range, ΔRrel serves as a linear measure for the NO and NO2 loading levels of KMnO4/La-Al2O3, and due to the constant NOx sorption rate (Figure 9(b)), also for the cumulated NOx exposure (NOx dose). Thereby, the conductivity of KMnO4/La-Al2O3 is slightly more sensitive to NO compared to NO2. From a catalytic point of view, it would be expected that NO2 in the gas flow influences the material's properties more than NO, since NO2 can be sorbed directly as nitrate, whereas NO needs to be oxidized first [23,36]. However, the manganese oxide components of the decomposed KMnO4 might become reduced upon oxidizing NO, thereby affecting the conductivity of KMnO4/La-Al2O3 and hence the NO sensitivity. The delay in the sensor response resulting in an x-axis intercept in Figure 10 is expected to be caused by the already discussed inaccuracy of the determination of Areleased by integration of small values of evolved NOx (AOffset ≈ 15 ppm·s in Figure 9(b)). In addition, NOx (in particular NO2) adsorption to the feed lines lowers the sensor response but increases the analyzed value for the desorbed amount.

Combining the classical TPD method, with the dosimeter-type electrical response of KMnO4/La-Al2O3, demonstrates the possibility of sensing NOx exposure and of electrically monitoring the NOx loading level of the NOx sorbent in-situ, both with linear correlation at low loading.

4.3. Electrical Information upon Thermal Regeneration

The conductance upon releasing NOx provides information about the amount of previously sorbed NOx. This may also be useful for NOx dosimetry. Figure 11a depicts the courses of the conductance G during thermal regeneration after exposure to 8 ppm NO2, for the different loading states indicated by its specific NOx exposure period tNO2,in. The course of the temperature is shown for comparison (black dots). G0 reflects the conductance in the NOx unloaded state corresponding to tNO2,in = 0.

Being thermally activated, G0 increases by nearly two orders of magnitude, which agrees with Figure 3. At 380 °C, the conductance in the partly NOx loaded state G is higher than G0. The difference between G and G0 corresponds to the cumulative NOx response, ΔRrel (Figure 7). With progressive temperature, log G increases like log G0. The difference between log G and log G0 increases with tNO2,in, indicating a correlation with the NOx loading level. Between about 480 and 530 °C, the curves of G start to converge to those of G0. Finally, above about 620 °C (230 s) all curves of G coincide with G0 indicating that the unloaded state is recovered. A more detailed analysis reveals that the inflection point in the course of log G corresponds to the onset of NOx release shown in Figure 9(a) as creleased. The temperature of the minimum in the slope of log G coincides with the temperature of the maximum of creleased. Both are being shifted to lower temperatures, the higher the former loading level was. Hence, the convergence of the curves of log G to the reference in the unloaded state can be attributed to thermal NOx release from KMnO4/La-Al2O3, which decreases the temperature-dependent conductivity to the unloaded value.

The comparison of the curves of the conductance G during regeneration (Figure 11(a)) suggests that the deviation of the course of log G from log G0 might reflect the amount of previously sorbed NOx. In fact, Figure 11(b) reveals a linear correlation between FG calculated according to Equation (4) and the preceding sorption interval tNO2,in. Accounting for the time constant NO and NO2 sorption rate in the low loading state (exemplarily shown for NO2 in Figure 9(b)), FG is also a linear function of Areleased as shown in Figure 11(c) for NO and NO2 exposure, respectively. Therefore, besides of ΔRrel, the cumulated electrical response FG of KMnO4/La-Al2O3 during regeneration may also be a suitable sensor signal for the cumulated NOx exposure and the in-situ loading level. Again, the resulting sensitivity to NO is slightly higher than those to NO2. Furthermore, the sensor response exhibits an offset, in particular, for NO2. Besides of the small integration error Aoffset when determining the area under the low level concentration curve during desorption in Figure 9a, these offsets likely originate from NO2 adsorption in the feed lines.

Considering the electrode geometry, the conductivity σ can be calculated from the conductance and the data from Figure 11(a) can be plotted in an Arrhenius-like representation in the area of a constant heating rate as depicted in Figure 12. The data points of the electrical characterization of the KMnO4/La-Al2O3 sample after equilibration at various temperatures shown in Figure 3(c) are added to Figure 12 as black dots. Concerning the thermally activated conductivity in the unloaded state, the direct comparison reveals that the eTPD data agree well with those obtained in the equilibrated state. This confirms the recovery of the sorption sites by heating to 650 °C. The NOx saturated state of the carbonates was found to give a more pronounced transition in the curve of the equilibrated temperature-dependent conductivity upon thermal decomposition [32].

The investigation of NOx sorption on KMnO4/La-Al2O3 demonstrates that eTPD enables one to correlate the analyte-induced electrical response quantitatively with the actual analyte loading state. This is achieved by observing the electrical properties and the gas desorption characteristics simultaneously. The eTPD method might enhance the understanding of the analyte sorption related electrical properties of functional materials applied for gas sensing or catalysis. Approaches on interpreting the conductivity during thermally releasing gas species are reported in the literature as well, but—to our knowledge—only without a simultaneous quantitative analysis of the desorption peak and hence with a missing correlation with the actual loading state under identical conditions. Colin et al.[50] and Fortin et al.[51] modeled the electrical influence of chemisorbed gases on semiconductors upon heating and verified it for the system oxygen-CdSe. The slope of the conductivity is reported to give information on desorption or binding energies of the species [5153]. Rossé et al.[53] explains in detail the course of the resistivity in the Arrhenius-like representation during TPD being dependent on the heating rate and the amount of chemisorbed species. Additionally, the recovery of the initial loading state is described as a convergence to the unloaded reference. This description agrees fully with the interpretation of the results on NOx loaded KMnO4/La-Al2O3 in Figure 11. However, applying eTPD, these electrical results were additionally verified by the analysis of the simultaneous desorption peak (Figure 9(a)). Yamazoe et al.[54] and Rodríguez-Gonzáles et al.[55] compared the conductivity with the evolution of desorbed gases as well, but these tests were performed on multiple samples in different setups. The Simon group [5557] investigated the temperature dependent NH3 loading level of zeolites being active for the selective catalytic reduction (SCR) of NOx. The conductivity upon heating reveals information on the conduction mechanism, the NH3 desorption temperature as well as the SCR active temperature region allowing for in-situ reaction monitoring. Kubinski et al.[58] demonstrated that the average resistance during the thermally-induced NH3 release from an SCR zeolite catalyst correlates with the former NH3 exposure. This enables in-situ monitoring of the amount of sorbed NH3 with a higher sensitivity compared to those in the NH3 sorption mode [58].

The equivalency of the two conductivity-related sensor responses ΔRrel and FG of KMnO4/La-Al2O3 as a measure for the cumulated NOx exposure is demonstrated in Figure 13 as a monotone and almost linear correlation, independent of the type of exposed NOx species. Both values can be applied as NOx dosimeter-type sensor responses and correlate linearly with the quantity of sorbed NOx, enabling in-situ monitoring of the loading state, although they are analyzed upon NOx sorption at 380 °C (ΔRrel) and upon NOx release by heating up to 650 °C (FG), respectively. Hence, dependent on the application and the information of interest, two different sensing modes are feasible with the proposed impedimetric NOx dosimeter based on KMnO4. In both cases, NOx is accumulated in the sensitive layer at sorption temperature and thermally released during periodic regeneration intervals. However, in the first method, the change in the conductance during NOx accumulation in the low loading state is monitored as a continuous and linear measure for the cumulated NOx exposure as well as for the amount of sorbed NOx. Concentration information can be obtained time-continuously from the signal derivative. On the contrary, in the second method, the integrated difference between the conductivity during NOx release upon heating and the conductivity in the unloaded state serves as the measurand. Unfortunately, no time-continuous information on the NOx concentration can be obtained.

Simultaneous NOx detection in the sorption and release mode may be realized on one single sensor platform, with multiple independently heated sensitive layers, as described in [17]. A combination of both sensing modes to extract further information will be the focus of further research. The redundant sensing information is expected to enable a plausibility consideration of the time resolved sensor signal during NOx sorption and of the regeneration success. Additionally, the linear measurement range for the NOx exposure is expected to be enhanced in the regeneration mode. Another important issue of gas sensors is the sensitivity to other gases as well as poisoning of sensitive layers, e.g., by SO2 [59,60]. Since interfering gases might affect NOx sorption and release as well as the temperature-dependent conductivity differently, a combination of the electrical responses upon NOx sorption and release might be particularly useful.

5. Conclusions

This initial study demonstrates the suitability of decomposed KMnO4 deposited on La-stabilized alumina as dosimeter-type sensitive material with two different operation methods and as a NOx sorbent in catalysts with electrical in-situ characterization potential. The impedimetric sensor response to low levels of NO and NO2 was found to be irreversible under isothermal conditions at 380 °C. These dosimeter-type sensing characteristics are reproducible if sorbed NOx is released by heating up to 650 °C to recover the sorption capacity. The resistance change of KMnO4/La-Al2O3 in the low loaded state correlates linearly with the cumulated NOx exposure, enabling low level NOx detection due to the NOx oxidizing and sorbing capability of the KMnO4-based material. The sensor responds slightly more sensitively to NO than to NO2.

By combining the electrical response with thermal programmed desorption (eTPD), the change in the electrical properties of KMnO4/La-Al2O3 can be related to the thermally released quantity of NOx. This novel method enables the quantitative correlation between the electrical response and the NOx loading in the sensor (or catalyst) material. The amount of NOx sorbed on KMnO4/La-Al2O3, estimated from the released amount, increases linearly with the cumulated NOx exposure (or dose), resulting in a time constant NOx sorption rate. The resistance change during NOx sorption correlates linearly with the amount of sorbed NOx and hence with the NOx exposure. Therefore, information on the NOx concentration can be obtained time-continuously from the signal derivative. Additionally, the thermally activated conductivity of KMnO4 is affected by the NOx release upon heating. The deviation from the course of the temperature-dependent conductivity in the unloaded state is another linear measure for the previously stored amount of NOx. As a result, NOx exposure and NOx loading dependent electrical response can be analyzed either during NOx sorption or release enabling dosimeter-like NOx sensing or electrical in-situ monitoring.

Acknowledgments

The authors gratefully acknowledge material preparation by Tina Weller, SEM analysis by Angelika Mergner (both of Lehrstuhl für Funktionsmaterialien), XRD analysis by Sandra Haupt and Wolfgang Milius (both of Lehrstuhl für Anorganische Chemie I, J. Breu) and the possibility to perform BET measurements at Lehrstuhl für Chemische Verfahrenstechnik (A. Jess). R.M. thanks the German Research Foundation (DFG) for supporting this work under grant number MO 1060/15-1 and under MO 1060/9-1 as part of the collaboration with H.L.T. H.L.T. thanks the Division of Materials Research, National Science Foundation under the Material World Network (DMR-0908627) as part of the collaboration with R.M. This publication was funded by the German Research Foundation (DFG) and the University of Bayreuth in the funding program “Open Access Publishing”.

References

  1. Fergus, J.W. Materials for high temperature electrochemical NOx gas sensors. Sens. Actuators B Chem. 2007, 121, 652–663. [Google Scholar]
  2. Yamazoe, N.; Miura, N. Environmental gas sensing. Sens. Actuators B Chem. 1994, 20, 95–102. [Google Scholar]
  3. Afzal, A.; Cioffi, N.; Sabbatini, L.; Torsi, L. NOxsensors based on semiconducting metal oxide nanostructures: Progress and perspectives. Sens. Actuators B Chem. 2012. [Google Scholar] [CrossRef]
  4. Directive 2008/50/EC of the european parliament and of the council of 21 May 2008 on ambient air quality and cleaner air for europe. Off. J. EU 2008, L152/1, 1–44.
  5. Twigg, M.V. Progress and future challenges in controlling automotive exhaust gas emissions. Appl. Catal. B 2007, 70, 2–15. [Google Scholar]
  6. Groβ, A.; Beulertz, G.; Marr, I.; Kubinski, D.J.; Visser, J.H.; Moos, R. Dual mode NOx sensor: Measuring both the accumulated amount and instantaneous level at low concentrations. Sensors 2012, 12, 2831–2850. [Google Scholar]
  7. Matsuguchi, M.; Kadowaki, Y.; Tanaka, M. A QCM-based NO2 gas detector using morpholine-functional cross-linked copolymer coatings. Sens. Actuators B Chem. 2005, 108, 572–575. [Google Scholar]
  8. Sasaki, D.Y.; Singh, S.; Cox, J.D.; Pohl, P.I. Fluorescence detection of nitrogen dioxide with perylene/PMMA thin films. Sens. Actuators B Chem. 2001, 72, 51–55. [Google Scholar]
  9. Tanaka, T.; Guilleux, A.; Ohyama, T.; Maruo, Y.Y.; Hayashi, T. A ppb-level NO2 gas sensor using coloration reactions in porous glass. Sens. Actuators B Chem. 1999, 56, 247–253. [Google Scholar]
  10. Jung, W.; Sahner, K.; Leung, A.; Tuller, H.L. Acoustic wave-based NO2 sensor: Ink-jet printed active layer. Sens. Actuators B Chem. 2009, 141, 485–490. [Google Scholar]
  11. Geupel, A.; Schönauer, D.; Röder-Roith, U.; Kubinski, D.J.; Mulla, S.; Ballinger, T.H.; Chen, H.-Y.; Visser, J.H.; Moos, R. Integrating nitrogen oxide sensor: A novel concept for measuring low concentrations in the exhaust gas. Sens. Actuators B Chem. 2010, 145, 756–761. [Google Scholar]
  12. Brunet, J.; Parra Garcia, V.; Pauly, A.; Varenne, C.; Lauron, B. An optimised gas sensor microsystem for accurate and real-time measurement of nitrogen dioxide at ppb level. Sens. Actuators B Chem. 2008, 134, 632–639. [Google Scholar]
  13. Yamazoe, N.; Shimanoe, K. Overview of Gas Sensor Technology. In Science and Technology of Chemiresistor Gas Sensors; Aswal, D.K., Gupta, S.K., Eds.; Nova Science Publishers, Inc.: New York, NY, USA, 2007; pp. 1–31. [Google Scholar]
  14. Shu, J.H.; Wikle, H.C.; Chin, B.A. Passive chemiresistor sensor based on iron (II) phthalocyanine thin films for monitoring of nitrogen dioxide. Sens. Actuators B Chem. 2010, 148, 498–503. [Google Scholar]
  15. Groβ, A.; Bishop, S.R.; Yang, D.J.; Tuller, H.L.; Moos, R. The electrical properties of NOx-storing carbonates during NOx exposure. Solid State Ionics 2012, 225, 317–323. [Google Scholar]
  16. Groβ, A.; Richter, M.; Kubinski, D.J.; Visser, J.H.; Moos, R. The effect of the thickness of the sensitive layer on the performance of the accumulating NOx sensor. Sensors 2012, 12, 12329–12346. [Google Scholar]
  17. Brandenburg, A.; Kita, J.; Groβ, A.; Moos, R. Novel tube-type LTCC transducers with buried heaters and inner interdigitated electrodes as a platform for gas sensing at various high temperatures. Sens. Actuators B Chem. 2013. [Google Scholar] [CrossRef]
  18. Geupel, A.; Kubinski, D.J.; Mulla, S.; Ballinger, T.H.; Chen, H.Y.; Visser, J.H.; Moos, R. Integrating NOx sensor for automotive exhausts—a novel concept. Sens. Lett. 2011, 9, 311–315. [Google Scholar]
  19. Fruhberger, B.; Stirling, N.; Grillo, F.G.; Ma, S.; Ruthven, D.; Lad, R.J.; Frederick, B.G. Detection and quantification of nitric oxide in human breath using a semiconducting oxide based chemiresistive microsensor. Sens. Actuators B Chem. 2001, 76, 226–234. [Google Scholar]
  20. Brogren, C.; Karlsson, H.T.; Bjerle, I. Absorption of NO in an alkaline solution of KMnO4. Chem. Eng. Technol. 1997, 20, 396–402. [Google Scholar]
  21. Wei, Z.-S.; Niu, H.-J.; Ji, Y.-F. Simultaneous removal of SO2 and NOx by microwave with potassium permanganate over zeolite. Fuel Process. Technol. 2009, 90, 324–329. [Google Scholar]
  22. Becerra, M.E.; Arias, N.P.; Giraldo, O.H.; López-Suárez, F.E.; Illán-Gómez, M.J.; Bueno-López, A. Soot combustion manganese catalysts prepared by thermal decomposition of KMnO4. Appl. Catal. B 2011, 102, 260–266. [Google Scholar]
  23. Lesage, T.; Saussey, J.; Malo, S.; Hervieu, M.; Hedouin, C.; Blanchard, G.; Daturi, M. Operando FTIR study of NOx storage over a Pt/K/Mn/Al2O3-CeO2 catalyst. Appl. Catal. B 2007, 72, 166–177. [Google Scholar]
  24. Becerra, M.-E.; Arias, N.-P.; Giraldo, O.-H.; López-Suárez, F.-E.; Illán-Gómez, M.-J.; Bueno-López, A. Alumina-supported manganese catalysts for soot combustion prepared by thermal decomposition of KMnO4. Catalysts 2012, 2, 352–367. [Google Scholar]
  25. Boldyrev, V.V. Mechanism of thermal decomposition of potassium permanganate in the solid phase. J. Phys. Chem. Solids 1969, 30, 1215–1223. [Google Scholar]
  26. Boldyrev, V.V. Topochemistry of thermal decompositions of solids. Thermochimica Acta 1986, 100, 315–338. [Google Scholar]
  27. Galwey, A.K.; Brown, M.E. An appreciation of the chemical approach of V. V. Boldyrev to the study of the decomposition of solids. J. Therm. Anal. Calorim. 2007, 90, 9–22. [Google Scholar]
  28. Kabanov, A.A. The application of electrophysical effects to the study of the thermal decomposition of solids. Russ. Chem. Rev. 1971, 40, 953–963. [Google Scholar]
  29. Rosseinsky, D.R.; Tonge, J.S. Electron transfer in solids. Temperature dependence of dielectric relaxation and conductivity in mixed-valence potassium manganate–permanganate. J. Chem. Soc. Faraday Trans. 1982, 78, 3595–3603. [Google Scholar]
  30. Kappenstein, C.; Pirault-Roy, L.; Guérin, M.; Wahdan, T.; Ali, A.A.; Al-Sagheer, F.A.; Zaki, M.I. Monopropellant decomposition catalysts: V. Thermal decomposition and reduction of permanganates as models for the preparation of supported MnOx catalysts. Appl. Catal. A 2002, 234, 145–153. [Google Scholar]
  31. Schönauer, D.; Moos, R. Detection of water droplets on exhaust gas sensors. Sens. Actuators B Chem. 2010, 148, 624–629. [Google Scholar]
  32. Groβ, A.; Weller, T.; Tuller, H.L.; Moos, R. Electrical conductivity study of NOxtrap materials BaCO3and K2CO3/La-Al2O3during NOxexposure. Sens. Actuators B Chem. 2013. [Google Scholar] [CrossRef]
  33. Wu, X.; Lin, F.; Wang, L.; Weng, D.; Zhou, Z. Preparation methods and thermal stability of Ba-Mn-Ce oxide catalyst for NOx-assisted soot oxidation. J. Environ. Sci. 2011, 23, 1205–1210. [Google Scholar]
  34. Wu, X.; Liu, S.; Lin, F.; Weng, D. Nitrate storage behavior of Ba/MnOx-CeO2 catalyst and its activity for soot oxidation with heat transfer limitations. J. Hazard. Mater. 2010, 181, 722–728. [Google Scholar]
  35. Xiao, J.-H.; Li, X.-H.; Deng, S.; Xu, J.-C.; Wang, L.-F. The NOx oxidation-storage and tolerance of SO2 poison of Mn/Ba/Al2O3 catalyst. Acta Phys. Chim. Sin. 2006, 22, 815–819. [Google Scholar]
  36. Xiao, J.; Li, X.; Deng, S.; Wang, F.; Wang, L. NOx storage-reduction over combined catalyst Mn/Ba/Al2O3–Pt/Ba/Al2O3. Catal. Commun. 2008, 9, 563–567. [Google Scholar]
  37. Beulertz, G.; Groβ, A.; Moos, R.; Kubinski, D.J.; Visser, J.H. Determining the total amount of NOx in a gas stream – Advances in the accumulating gas sensor principle. Sens. Actuators B Chem. 2012, 175, 157–162. [Google Scholar]
  38. Gill, L.J.; Blakeman, P.G.; Twigg, M.V.; Walker, A.P. The use of NOx adsorber catalysts on diesel engines. Top. Catal. 2004, 28, 157–164. [Google Scholar]
  39. Roy, S.; Baiker, A. NOx storage-reduction catalysis: From mechanism and materials properties to storage-reduction performance. Chem. Rev. 2009, 109, 4054–4091. [Google Scholar]
  40. Epling, W.S.; Campbell, L.E.; Yezerets, A.; Currier, N.W.; Parks, J.E. II. Overview of the fundamental reactions and degradation mechanism of NOx storage/reduction catalysts. Catal. Rev. Sci. Eng. 2004, 46, 163–245. [Google Scholar]
  41. Fremerey, P.; Reiβ, S.; Geupel, A.; Fischerauer, G.; Moos, R. Determination of the NOx loading of an automotive lean NOx trap by directly monitoring the electrical properties of the catalyst material itself. Sensors 2011, 11, 8261–8280. [Google Scholar]
  42. Moos, R.; Zimmermann, C.; Birkhofer, T.; Knezevic, A.; Plog, C.; Busch, M.R.; Ried, T. Sensor for Directly Determining the State of a NOxStorage Catalyst. Proceedings of the SAE World Congress and Exhibition, Detroit, MI, USA, 14–17 April 2008. [CrossRef]
  43. Moos, R.; Wedemann, M.; Spörl, M.; Reiβ, S.; Fischerauer, G. Direct catalyst monitoring by electrical means: An overview on promising novel principles. Top. Catal. 2009, 52, 2035–2040. [Google Scholar]
  44. Le Phuc, N.; Courtois, X.; Can, F.; Royer, S.; Marecot, P.; Duprez, D. NOx removal efficiency and ammonia selectivity during the NOx storage-reduction process over Pt/BaO(Fe, Mn, Ce)/Al2O3 model catalysts. Part I: Influence of Fe and Mn addition. Appl. Catal. B 2011, 102, 353–361. [Google Scholar]
  45. Bentrup, U.; Brückner, A.; Richter, M.; Fricke, R. NOx adsorption on MnO2/NaY composite: An in situ FTIR and EPR study. Appl. Catal. B 2001, 32, 229–241. [Google Scholar]
  46. Fricke, R.; Schreier, E.; Eckelt, R.; Richter, M.; Trunschke, A. Non-isothermal NOxstorage/release over manganese based traps: Mechanistic considerations. Top. Catal. 2004, 30/31, 193–198. [Google Scholar]
  47. Kijlstra, W.S.; Brands, D.S.; Poels, E.K.; Bliek, A. Mechanism of the selective catalytic reduction of NO by NH3 over MnOx/Al2O3. J. Catal. 1997, 171, 208–218. [Google Scholar]
  48. Li, W.B.; Yang, X.F.; Chen, L.F.; Wang, J.A. Adsorption/desorption of NOx on MnO2/ZrO2 oxides prepared in reverse microemulsions. Catal. Today 2009, 148, 75–80. [Google Scholar]
  49. Takeuchi, M.; Matsumoto, S. NOx storage-reduction catalysts for gasoline engines. Top. Catal. 2004, 28, 151–156. [Google Scholar]
  50. Colin, Y.; Fortin, B.; Raoult, F. Resistance variation of a semiconduction thin film during a thermal desorption. Phys. Status Solidi A 1981, 67, 485–495. [Google Scholar]
  51. Fortin, B.; Larzul, H.; Lebigot, J.; Raoult, F.; Rosse, G. Model for the resistance variation of a thin semiconducting film during temperature- programmed desorption: Application to the O2-CdSe system. Thin Solid Films 1985, 131, 51–68. [Google Scholar]
  52. Sanjines, R.; Lévy, F.; Demarne, V.; Grisel, A. Some aspects of the interaction of oxygen with polycrystalline SnOx thin films. Sens. Actuators B Chem. 1990, 1, 176–182. [Google Scholar]
  53. Rossé, G.; Raoult, F.; Fortin, B. Regeneration of CdSe thin films after oxygen chemisorption. Thin Solid Films 1984, 111, 175–181. [Google Scholar]
  54. Yamazoe, N.; Fuchigami, J.; Kishikawa, M.; Seiyama, T. Interactions of tin oxide surface with O2, H2O and H2. Surf. Sci. 1979, 86, 335–344. [Google Scholar]
  55. Rodríguez-González, L.; Rodríguez-Castellón, E.; Jiménez-López, A.; Simon, U. Correlation of TPD and impedance measurements on the desorption of NH3 from zeolite H-ZSM-5. Solid State Ionics 2008, 179, 1968–1973. [Google Scholar]
  56. Simons, T.; Simon, U. Zeolites as nanoporous, gas-sensitive materials for in situ monitoring of DeNOx-SCR. Beilstein J. Nanotechnol. 2012, 3, 667–673. [Google Scholar]
  57. Simons, T.; Simon, U. Zeolite H-ZSM-5: A Microporous Proton Conductor for the in situMonitoring of DeNOx-SCR. Mater. Res. Soc. Symp. Proc. 2011. [Google Scholar] [CrossRef]
  58. Kubinski, D.J.; Visser, J.H. Sensor and method for determining the ammonia loading of a zeolite SCR catalyst. Sens. Actuators B Chem. 2008, 130, 425–429. [Google Scholar]
  59. Groβ, A.; Hanft, D.; Beulertz, G.; Marr, I.; Kubinski, D.J.; Visser, J.H.; Moos, R. The effect of SO2on the sensitive layer of a NOxdosimeter. Sens. Actuators B Chem. 2012. [Google Scholar] [CrossRef]
  60. Rettig, F.; Moos, R.; Plog, C. Sulfur adsorber for thick-film exhaust gas sensors. Sens. Actuators B Chem. 2003, 93, 36–42. [Google Scholar]
Figure 1. SEM image (BSE) of KMnO4/La-Al2O3 powder after firing. The Al-rich particles and the K-Mn-rich matrix are indicated.
Figure 1. SEM image (BSE) of KMnO4/La-Al2O3 powder after firing. The Al-rich particles and the K-Mn-rich matrix are indicated.
Sensors 13 04428f1 1024
Figure 2. Sensor setup and test apparatus including the gas dosing system, a quartz tube furnace containing the KMnO4/La-Al2O3 sample and a chemiluminescence detector (CLD, 700 EL ht, Ecophysics).
Figure 2. Sensor setup and test apparatus including the gas dosing system, a quartz tube furnace containing the KMnO4/La-Al2O3 sample and a chemiluminescence detector (CLD, 700 EL ht, Ecophysics).
Sensors 13 04428f2 1024
Figure 3. Thermal activated conductivity of KMnO4/La-Al2O3: (a) Nyquist plot of the impedance Ẕ at 380 and 650 °C, (b) enlargement of 650 °C data, (c) Arrhenius-like representation of conductivity σ from 300 to 650 °C. Further time-continuous impedance measurements were conducted at 10 kHz (see Section 3.1) and the 10 kHz data points in (a) and (b) are highlighted.
Figure 3. Thermal activated conductivity of KMnO4/La-Al2O3: (a) Nyquist plot of the impedance Ẕ at 380 and 650 °C, (b) enlargement of 650 °C data, (c) Arrhenius-like representation of conductivity σ from 300 to 650 °C. Further time-continuous impedance measurements were conducted at 10 kHz (see Section 3.1) and the 10 kHz data points in (a) and (b) are highlighted.
Sensors 13 04428f3 1024
Figure 4. Data analysis during progressive NOx accumulation at Tsorption: (a) increase in sensor response ΔRrel during NOx sorption, (b) determination of cumulated NOx exposure ANOx,in, (c) characteristic ΔRrelvs. ANOx,in line.
Figure 4. Data analysis during progressive NOx accumulation at Tsorption: (a) increase in sensor response ΔRrel during NOx sorption, (b) determination of cumulated NOx exposure ANOx,in, (c) characteristic ΔRrelvs. ANOx,in line.
Sensors 13 04428f4 1024
Figure 5. NOx sensing properties at 380 °C (10% O2, 50% N2/H2O, 5% CO2 in N2): (a) stepwise increase of sensor response ΔRrel (Equation (3)) during cyclic exposure to NO or NO2, (b) resulting linear ΔRrelvs. ANOx,in characteristic line.
Figure 5. NOx sensing properties at 380 °C (10% O2, 50% N2/H2O, 5% CO2 in N2): (a) stepwise increase of sensor response ΔRrel (Equation (3)) during cyclic exposure to NO or NO2, (b) resulting linear ΔRrelvs. ANOx,in characteristic line.
Sensors 13 04428f5 1024
Figure 6. NOx concentration detection at 650 °C: (a) course of NOx concentration cNOx,in, (b) sensor response ΔRrel, (c) linear correlation between ΔRrel and cNOx,in.
Figure 6. NOx concentration detection at 650 °C: (a) course of NOx concentration cNOx,in, (b) sensor response ΔRrel, (c) linear correlation between ΔRrel and cNOx,in.
Sensors 13 04428f6 1024
Figure 7. Repeated sensor response to 8 ppm NOx intervals with intermediate regeneration: (a) sensor response ΔRrel during NO2 for NO2 exposure of tNO2,in as indicated, (b) ΔRrel during NO for tNO,in as indicated.
Figure 7. Repeated sensor response to 8 ppm NOx intervals with intermediate regeneration: (a) sensor response ΔRrel during NO2 for NO2 exposure of tNO2,in as indicated, (b) ΔRrel during NO for tNO,in as indicated.
Sensors 13 04428f7 1024
Figure 8. Data analysis for eTPD: (a) time dependence of conductance log G and outlet NOx concentration creleased, (b) determination of released amount Areleased and electrical response FG, (c) FG as a function of Areleased.
Figure 8. Data analysis for eTPD: (a) time dependence of conductance log G and outlet NOx concentration creleased, (b) determination of released amount Areleased and electrical response FG, (c) FG as a function of Areleased.
Sensors 13 04428f8 1024
Figure 9. NOx release during heating to 650 °C after 8 ppm NO2 exposure for 250 s, 500 s, 750 s, and 1,000 s: (a) outlet NOx concentration creleased, (b) area Areleased below the curve as depicted in Figure 8(b) as a function of NO2 loading time tNO2,in.
Figure 9. NOx release during heating to 650 °C after 8 ppm NO2 exposure for 250 s, 500 s, 750 s, and 1,000 s: (a) outlet NOx concentration creleased, (b) area Areleased below the curve as depicted in Figure 8(b) as a function of NO2 loading time tNO2,in.
Sensors 13 04428f9 1024
Figure 10. Correlation between the sensor response ΔRrel during NO and NO2 sorption and the NOx amount Areleased obtained from subsequent TPD.
Figure 10. Correlation between the sensor response ΔRrel during NO and NO2 sorption and the NOx amount Areleased obtained from subsequent TPD.
Sensors 13 04428f10 1024
Figure 11. eTPD results after 8 ppm NOx for up to 1,000 s: (a) conductance log G and temperature T during TPD, (b) cumulated electrical response FG (calculated acc. to Equation (4)) vs. the NOx loading time tNO2,in, (c) FG as a function of the amount of released NOxAreleased for NO and NO2 loading, as determined in Figure 9.
Figure 11. eTPD results after 8 ppm NOx for up to 1,000 s: (a) conductance log G and temperature T during TPD, (b) cumulated electrical response FG (calculated acc. to Equation (4)) vs. the NOx loading time tNO2,in, (c) FG as a function of the amount of released NOxAreleased for NO and NO2 loading, as determined in Figure 9.
Sensors 13 04428f11 1024
Figure 12. Arrhenius-like plot of the eTPD data in different loading states (lines) compared to the equilibrated unloaded state (black dots).
Figure 12. Arrhenius-like plot of the eTPD data in different loading states (lines) compared to the equilibrated unloaded state (black dots).
Sensors 13 04428f12 1024
Figure 13. Correlation between electrical responses ΔRrel (during sorption) and FG (upon regeneration) affected by NOx exposure.
Figure 13. Correlation between electrical responses ΔRrel (during sorption) and FG (upon regeneration) affected by NOx exposure.
Sensors 13 04428f13 1024

Share and Cite

MDPI and ACS Style

Groß, A.; Kremling, M.; Marr, I.; Kubinski, D.J.; Visser, J.H.; Tuller, H.L.; Moos, R. Dosimeter-Type NOx Sensing Properties of KMnO4 and Its Electrical Conductivity during Temperature Programmed Desorption. Sensors 2013, 13, 4428-4449. https://doi.org/10.3390/s130404428

AMA Style

Groß A, Kremling M, Marr I, Kubinski DJ, Visser JH, Tuller HL, Moos R. Dosimeter-Type NOx Sensing Properties of KMnO4 and Its Electrical Conductivity during Temperature Programmed Desorption. Sensors. 2013; 13(4):4428-4449. https://doi.org/10.3390/s130404428

Chicago/Turabian Style

Groß, Andrea, Michael Kremling, Isabella Marr, David J. Kubinski, Jacobus H. Visser, Harry L. Tuller, and Ralf Moos. 2013. "Dosimeter-Type NOx Sensing Properties of KMnO4 and Its Electrical Conductivity during Temperature Programmed Desorption" Sensors 13, no. 4: 4428-4449. https://doi.org/10.3390/s130404428

APA Style

Groß, A., Kremling, M., Marr, I., Kubinski, D. J., Visser, J. H., Tuller, H. L., & Moos, R. (2013). Dosimeter-Type NOx Sensing Properties of KMnO4 and Its Electrical Conductivity during Temperature Programmed Desorption. Sensors, 13(4), 4428-4449. https://doi.org/10.3390/s130404428

Article Metrics

Back to TopTop