Sign in to use this feature.

Years

Between: -

Subjects

remove_circle_outline
remove_circle_outline
remove_circle_outline
remove_circle_outline
remove_circle_outline
remove_circle_outline
remove_circle_outline
remove_circle_outline
remove_circle_outline

Journals

remove_circle_outline
remove_circle_outline
remove_circle_outline
remove_circle_outline
remove_circle_outline
remove_circle_outline
remove_circle_outline
remove_circle_outline
remove_circle_outline
remove_circle_outline
remove_circle_outline
remove_circle_outline
remove_circle_outline
remove_circle_outline
remove_circle_outline
remove_circle_outline

Article Types

Countries / Regions

remove_circle_outline
remove_circle_outline
remove_circle_outline
remove_circle_outline
remove_circle_outline
remove_circle_outline
remove_circle_outline

Search Results (1,261)

Search Parameters:
Keywords = L1 scheme

Order results
Result details
Results per page
Select all
Export citation of selected articles as:
15 pages, 3561 KB  
Article
Research on the Optimization Design of Drilling Parameters for Dynamic Point-the-Bit Rotary Steerable Systems
by Yulin Zhang, Deli Gao, Wenjun Huang, Mingchi Zhu, Wen Tian, Jincheng Huang and Yanzhao Chen
Appl. Sci. 2026, 16(8), 3856; https://doi.org/10.3390/app16083856 - 15 Apr 2026
Abstract
To improve the operational efficiency of the dynamic point-the-bit rotary steerable system (DPB-RSS) in deep and complex formations, this paper proposes a build-up rate (BUR) prediction model, a trajectory control model, and a mechanism–data fusion model for rate of penetration (ROP) prediction. Validation [...] Read more.
To improve the operational efficiency of the dynamic point-the-bit rotary steerable system (DPB-RSS) in deep and complex formations, this paper proposes a build-up rate (BUR) prediction model, a trajectory control model, and a mechanism–data fusion model for rate of penetration (ROP) prediction. Validation using field data from Well A indicates that the BUR and ROP models achieve prediction accuracies of 91.45% and 91.34%, respectively, demonstrating the reliability of the proposed models. Based on the validated models, a parameter sensitivity analysis was conducted for Well B to investigate the effects of weight on bit (WOB), rotary speed, and flow rate on drilling performance, thereby identifying a recommended operational parameter combination (WOB ≥ 60 kN, rotary speed = 105 rpm, and flow rate = 65 L/s). In addition, well trajectory control was implemented by dynamically adjusting the tool face angle and steering ratio using a compound control algorithm. Field application results further indicate that the proposed scheme can improve tool performance and provide useful guidance for efficient drilling with DPB-RSS. Full article
Show Figures

Figure 1

17 pages, 445 KB  
Article
On GRAND-Assisted Vector Random Linear Network Coding in Wireless Broadcasts
by Rina Su, Chengji Zhao, Qifu Sun and Linqi Song
Entropy 2026, 28(4), 450; https://doi.org/10.3390/e28040450 - 15 Apr 2026
Abstract
Recent works have combined random linear network coding (RLNC) with guessing random additive noise decoding (GRAND) to leverage RLNC packets to partially correct bit errors prior to RLNC decoding, so as to reduce the packet erasure rates in wireless broadcast networks. However, existing [...] Read more.
Recent works have combined random linear network coding (RLNC) with guessing random additive noise decoding (GRAND) to leverage RLNC packets to partially correct bit errors prior to RLNC decoding, so as to reduce the packet erasure rates in wireless broadcast networks. However, existing schemes are restricted to scalar RLNC over the finite field GF(2L). In this paper, we first formulate a general GRAND-assisted decoding framework for vector RLNC over the vector space GF(2)L, and further propose a design rule for vector RLNC schemes such that estimated error vectors can be efficiently obtained without incurring any additional computational overhead. Necessary and sufficient conditions for the correctness of every efficiently obtained estimated error vector are characterized. Two explicit vector RLNC schemes satisfying the proposed design rule are constructed. The first scheme is designed based on the matrix representation of GF(2L), and analytical results show that it achieves the same completion delay performance as the counterpart scalar RLNC scheme over GF(2L), while achieving up to a 37.3% reduction in coding computational complexity compared with the scalar one. The second scheme is designed based on sparse coding coefficient matrices. It further reduces computational complexity by up to 33.6% compared with the first scheme, at the cost of a slight degradation in completion delay performance. Full article
Show Figures

Figure 1

23 pages, 2400 KB  
Article
Variational Physics-Informed Neural Network for 3D Transient Melt Pool Thermal Modeling
by Zhenghao Xu, Xin Wang, Yuan Meng, Mingwei Wang and Xianglong Wang
Appl. Sci. 2026, 16(8), 3829; https://doi.org/10.3390/app16083829 - 14 Apr 2026
Abstract
Accurate prediction of transient melt pool thermal fields in Laser Powder Bed Fusion (LPBF) is essential for understanding melt pool geometry and defect formation mechanisms, yet conventional finite element methods (FEM) impose prohibitive computational costs for parametric process exploration. A variational physics-informed neural [...] Read more.
Accurate prediction of transient melt pool thermal fields in Laser Powder Bed Fusion (LPBF) is essential for understanding melt pool geometry and defect formation mechanisms, yet conventional finite element methods (FEM) impose prohibitive computational costs for parametric process exploration. A variational physics-informed neural network (VPINN) framework is presented for 3D transient thermal modeling of a GH3536 single-track LPBF scan. The framework incorporates a continuously differentiable Goldak double-ellipsoid moving heat source, temperature-dependent thermophysical property surrogates, and an effective heat-capacity treatment of latent heat associated with solid–liquid phase change and vaporization. These components are embedded in a weak-form residual-minimization scheme with octree-adaptive domain decomposition, hierarchical Legendre test functions, and sequential sliding-window time marching. Effective absorptivity is inferred jointly with the network parameters, using sparse experimental melt pool profiles as supervision. Within a parametric study covering laser powers from 100 to 140 W and scan speeds from 1000 to 1500 mm/s, the predicted melt pool width, depth, and aspect ratio agree closely with FEM benchmarks and cross-sectional optical micrograph measurements across both supervised and held-out interpolation conditions, with total relative L2 nodal temperature errors ranging from 3.23% to 6.75%. Following a one-time offline training investment of 15,323 s that simultaneously resolves the full parametric space, surrogate inference reduces per-condition query time from 3000–4000 s (FEM) to merely 4–5 s, delivering a speedup of two to three orders of magnitude and making the framework increasingly cost-effective for high-throughput parametric studies and digital-twin integration as the number of queried conditions grows. Full article
67 pages, 53787 KB  
Article
A Novel Generalized Time-Stepping Scheme for Time-Fractional Reaction–Diffusion Models Using a New Rational Function Approximation of Mittag-Leffler Functions
by Madushi U. Wickramasinghe and Olaniyi S. Iyiola
Axioms 2026, 15(4), 288; https://doi.org/10.3390/axioms15040288 - 14 Apr 2026
Abstract
The Mittag-Leffler function holds significant importance in fractional calculus due to its extensive applications in addressing challenges across science, engineering, biology, hydrology, and earth sciences. Notably, the closed-form solution of a time-fractional model naturally emerges as the Mittag-Leffler function (MLF), necessitating precise and [...] Read more.
The Mittag-Leffler function holds significant importance in fractional calculus due to its extensive applications in addressing challenges across science, engineering, biology, hydrology, and earth sciences. Notably, the closed-form solution of a time-fractional model naturally emerges as the Mittag-Leffler function (MLF), necessitating precise and efficient computations. Consequently, numerical approximations are essential for accurately calculating the Mittag-Leffler function. In this study, we develop a straightforward yet precise real pole rational approximation for the Mittag-Leffler function. We demonstrate first-order convergence and L-acceptability, which aid in mitigating unwanted oscillations. Additionally, we create an effective and precise first-order generalized exponential time differencing scheme to solve the time-fractional reaction–diffusion equations. We obtain and prove the convergence result using Grönwall-type inequality. Several numerical experiments are conducted to confirm the efficiency and accuracy of the proposed numerical scheme compared with exact solutions. The computational efficiency of the proposed method is compared with another existing first-order numerical technique. Furthermore, our proposed scheme is crucial for developing higher-order predictor–corrector schemes for solving time-fractional models. Full article
20 pages, 2403 KB  
Article
Application of BLUP-GGE Biplot in Mega-Environment Analysis and Test Location Evaluation of Wheat Regional Trials in the Huanghuai Winter Wheat Region in China
by Lihua Liu, Guangying Wang, Hongbo Li, Yangna Liu, Guohang Yang, Mingming Zhang, Pingping Qu, Xu Xu, Naiyin Xu, Jianwen Xu and Binshuang Pang
Agronomy 2026, 16(8), 800; https://doi.org/10.3390/agronomy16080800 - 14 Apr 2026
Abstract
The accurate delineation of mega-environments (MEs) and the rigorous evaluation of test locations are critical for optimizing regional variety trial schemes, particularly when addressing unbalanced datasets from multi-year, multi-location wheat (Triticum aestivum L.) trials. This study aimed at refining the regional wheat [...] Read more.
The accurate delineation of mega-environments (MEs) and the rigorous evaluation of test locations are critical for optimizing regional variety trial schemes, particularly when addressing unbalanced datasets from multi-year, multi-location wheat (Triticum aestivum L.) trials. This study aimed at refining the regional wheat trial framework in the Huanghuai Winter Wheat Region (HWWR) of China using an integrated BLUP-GGE biplot approach, which combines best linear unbiased prediction (BLUP) values with genotype main effect plus genotype-by-environment interaction (GGE) biplot analysis to account for temporal variability and experimental error. We systematically evaluated the BLUP-GGE biplot approach, focusing on its goodness of fit and its ability to resolve inter-location relationships. We further assessed test location representativeness, discriminating ability, and overall desirability via the BLUP-GGE biplot, and contrasted ME delineation outcomes between the traditional “which-won-where” polygon method and the test location clustering-based approach. The BLUP-GGE biplot explained 72.9% of total phenotypic variation, with all location vectors displaying positive correlations (maximum angle = 88.8°), confirming the ecological homogeneity of the target region and yielding robust evaluation results. Based on the ideal tester view, Puyang was identified as the most desirable location, followed by Zhumadian, Shangqiu, and Huixian, while Lianyungang and Suqian exhibited relatively poor comprehensive performance. MEs delineated by the “which-won-where” method showed strong inter-ME correlations and insufficient differentiation, whereas the location clustering-based method markedly enhanced inter-ME discrimination (maximum vector angle > 60°), stably partitioning the HWWR into three distinct MEs with clear cultivar–ME interaction patterns: ME1 (Lianyungang, Suqian, Fuyang, Suzhou, Guoyang, Huixian, Huai’an, Xinmaqiao, Huayin, and Yangling), ME2 (Luoyang, Xinxiang, Zhumadian, Shangqiu, Puyang, and Luohe), and ME3 (Baoji, Xuzhou, Yuanyang, Sheyang, and Xingyang). This study confirms the superiority of the BLUP-GGE biplot for analyzing unbalanced multi-year multi-environment trial data and validates a robust clustering strategy for ME delineation. The findings provide a scientific basis for optimizing wheat regional trial systems and facilitating precise cultivar deployment in the HWWR, and offer a reference for analogous studies on other crops or ecological regions. Full article
(This article belongs to the Special Issue Genotype × Environment Interactions in Crop Production—2nd Edition)
Show Figures

Figure 1

11 pages, 2705 KB  
Article
Applying Self-Information-Inspired Encoding to Task-Based fMRI for Decoding Second-Language Proficiency During Naturalistic Speech Listening
by Xin Xiong, Chenyang Zhu, Chunwu Wang and Jianfeng He
Appl. Sci. 2026, 16(8), 3805; https://doi.org/10.3390/app16083805 - 14 Apr 2026
Abstract
Individual differences in second-language (L2) proficiency are expected to influence how listeners parse and represent continuous speech, yet their neural signatures under naturalistic conditions remain unclear. We investigated this question using task-based fMRI during continuous speech listening. A total of 43 healthy participants [...] Read more.
Individual differences in second-language (L2) proficiency are expected to influence how listeners parse and represent continuous speech, yet their neural signatures under naturalistic conditions remain unclear. We investigated this question using task-based fMRI during continuous speech listening. A total of 43 healthy participants completed four listening runs synchronized with MRI acquisition via PsychoPy(Peirce 2007), with eyes open throughout scanning. To promote sustained attention and comprehension, participants provided a native-language oral recall after each run. Based on behavioral proficiency scores, participants were grouped into low- (LP, n = 14), moderate- (MP, n = 14), and high-proficiency (HP, n = 15) groups. We evaluated three temporal information-encoding frameworks derived from BOLD dynamics: direct temporal series, functional connectivity (FC), and self-information weighted inter-subject correlation (ISC-W). Using a 10 × 5-fold nested cross-validation scheme, we tested both categorical classification (Support Vector Machines) for discrete proficiency groups (LP, MP, HP) and continuous multivariate regression (Ridge/Lasso) for continuous proficiency scores. Furthermore, we applied ROI-based ANOVA and univariate Neural Correlation Analysis (NCA) to identify key brain regions, evaluating significance via nonparametric permutation testing (1000 permutations) and False Discovery Rate (FDR) correction. Results indicated that while categorical classification yielded numerical trends—with ISC-W performing best—it did not reach statistical significance under stringent permutation testing. However, multivariate continuous regression using ISC-W features successfully predicted continuous proficiency scores with statistical significance (p < 0.05). Exploratory ROI analysis highlighted the bilateral orbital inferior frontal gyrus (IFG_orb_bilat) as a highly sensitive region. These findings suggest that L2 proficiency is best represented as a distributed, continuous neural variable, and that self-information weighting effectively filters background noise to capture cognitive variance. Methodologically, this study provides a reproducible pipeline integrating information-theoretic feature construction with rigorous whole-brain nonparametric inference. Full article
Show Figures

Figure 1

41 pages, 6177 KB  
Article
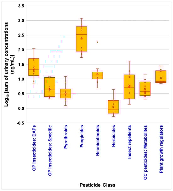
SPE–UHPLC–MS/MS Method for Simultaneous Quantification of 50 Pesticide Biomarkers Across Nine Current-Use Chemical Classes in Human Urine
by Ravikumar Jagani, Jasmin Chovatiya, Hiraj Patel, Sandipkumar Teraiya, Divya Pulivarthi and Syam S. Andra
J. Xenobiot. 2026, 16(2), 67; https://doi.org/10.3390/jox16020067 - 13 Apr 2026
Abstract
A comprehensive ultra-high-performance liquid chromatography-tandem mass spectrometry (UHPLC-MS/MS) method was developed for the simultaneous quantification of 50 pesticide biomarkers across nine current-use chemical classes in human urine. These classes include organophosphorus insecticides (which encompass dialkyl phosphates and specific metabolites), pyrethroid insecticides, fungicides, neonicotinoid [...] Read more.
A comprehensive ultra-high-performance liquid chromatography-tandem mass spectrometry (UHPLC-MS/MS) method was developed for the simultaneous quantification of 50 pesticide biomarkers across nine current-use chemical classes in human urine. These classes include organophosphorus insecticides (which encompass dialkyl phosphates and specific metabolites), pyrethroid insecticides, fungicides, neonicotinoid insecticides, herbicides, insect repellents, organochlorine pesticide metabolites, and plant growth regulators. The method employs solid-phase extraction (SPE) for sample preparation, requiring only 0.2 mL of urine. Chromatographic separation was optimized using a Hypersil Gold AQ column, achieving a total run time of 18 min. Mass spectrometric detection utilized polarity switching in electrospray ionization mode with multiple reaction monitoring. Method validation demonstrated satisfactory linearity (R2 > 0.99), high sensitivity with limits of detection ranging from 0.01 to 0.88 ng/mL, and extraction efficiencies between 85% and 113%. Precision and accuracy were within acceptable ranges, with relative standard deviations generally below 15%. The method’s robustness was confirmed through participation in external quality assessment schemes. Application to real samples revealed significant inter-individual variability in pesticide biomarker concentrations, with total measured biomarker levels ranging from 89 to 1242 ng/mL across the 10 individuals analyzed. This method offers comprehensive coverage of current-use pesticide chemical classes, including 30 biomarkers from the U.S. National Health and Nutrition Examination Survey (NHANES) biomonitoring program, and demonstrates improved sensitivity and broader analyte coverage compared to existing methods. The developed assay provides a valuable tool for large-scale biomonitoring studies and environmental health research. Full article
(This article belongs to the Topic Environmental Toxicology and Human Health—2nd Edition)
Show Figures

Figure 1

13 pages, 2077 KB  
Article
Selective Sorption of Molybdenum (VI) from Strongly Acidic Sulfate Media Using Macroporous Weak-Base Anion-Exchange Resins
by Bagdaulet Kenzhaliyev, Almagul Ultarakova, Nina Lokhova, Arailym Mukangaliyeva, Azamat Yessengaziyev and Kaisar Kassymzhanov
Processes 2026, 14(8), 1225; https://doi.org/10.3390/pr14081225 - 10 Apr 2026
Viewed by 159
Abstract
Depletion of reserves of rich copper–porphyry ore deposits necessitates the development of highly efficient methods for Mo (VI) extraction from complex, corrosive hydro-metallurgical media. The present study undertakes a comprehensive assessment of sorptive concentration of Mo (VI) from strongly acidic sulfate solutions (120 [...] Read more.
Depletion of reserves of rich copper–porphyry ore deposits necessitates the development of highly efficient methods for Mo (VI) extraction from complex, corrosive hydro-metallurgical media. The present study undertakes a comprehensive assessment of sorptive concentration of Mo (VI) from strongly acidic sulfate solutions (120 g/L H2SO4) by employing a spectrum of commercially available strong- and weak-base anion-exchange resins. It has been established that the macroporous weak-base anion exchanger Purolite A-100 demonstrates decisive superiority over gel-type analogs (Lewatit M-800, AB-17), facilitating unimpeded intra-gel diffusion of bulky molybdenyl sulfato-complexes anions, thereby circumventing the obstructive “sieve effect.” Thermodynamic and kinetic investigations revealed that the sorption process exhibits pronounced concentration- and pH-dependent characteristics. Peak extraction efficiency (up to 95.91%) is achieved at pH ≈ 1, a finding that correlates with the region of maximal protonation of tertiary amino groups within the resin matrix. Kinetic acceleration of mass transfer upon heating to 80 °C has been experimentally confirmed, yielding 94.6% extraction within 60 min. The obtained results corroborate the prospective integration of macroporous weak-base anion exchangers into operational hydro-metallurgical schemes as an environmentally benign and efficacious alternative to conventional solvent extraction of molybdenum. Full article
15 pages, 681 KB  
Article
Relaxation Music in Broiler Chicken Production: The Effect of Ambient Music on Pectoral Muscle Quality
by Patrycja Ciborowska, Damian Bień, Anna Zalewska, Jakub Urban, Arkadiusz Matuszewski, Paweł Solarczyk, Karwan Yaseen Kareem, Marta Gajewska, Justyna Więcek and Monika Michalczuk
Animals 2026, 16(8), 1155; https://doi.org/10.3390/ani16081155 - 10 Apr 2026
Viewed by 209
Abstract
Ross 308 chickens were randomly divided into 2 groups of 600 birds each: a control group (C) and an experimental group (M). The birds were reared for 42 days in accordance with the flock management guidelines. Group M was exposed to music for [...] Read more.
Ross 308 chickens were randomly divided into 2 groups of 600 birds each: a control group (C) and an experimental group (M). The birds were reared for 42 days in accordance with the flock management guidelines. Group M was exposed to music for 2 h/day and for 30 min before slaughter (~70 dB). After slaughter, the carcasses were cooled, and after 24 h, the pectoral muscles were collected for further physicochemical analyses. The study results revealed a lower value of drip loss in the pectoral muscles of the chickens from group M than in those from group C (p ≤ 0.01). Moreover, the muscles from group M chickens had higher pH values at 15 min, 1 h, and 12 h (p ≤ 0.01) and also at 4 h (p ≤ 0.05) post-mortem. Pectoral muscles of group M chickens also showed lower L* and b* color parameters (p ≤ 0.01), collagen content (p ≤ 0.05), and GSH concentration (p ≤ 0.01), compared to control birds. Exposure to ambient relaxation music in the scheme used in the study may be an effective form of environmental enrichment for broiler chickens, leading to physicochemical changes in their pectoral muscles consistent with potentially lower pre-slaughter stress. Full article
(This article belongs to the Special Issue Factors Influencing the Quality of Meat and Milk Products)
Show Figures

Figure 1

30 pages, 2996 KB  
Article
An Efficient Time-Space Two-Grid Compact Difference Method for the Nonlinear Schrödinger Equation: Analysis and Simulation
by Chelimuge Bai, Siriguleng He and Eerdun Buhe
Axioms 2026, 15(4), 275; https://doi.org/10.3390/axioms15040275 - 9 Apr 2026
Viewed by 83
Abstract
This article proposes a novel time-space two-grid high-order compact difference scheme for the one-dimensional nonlinear Schrödinger equation subject to Dirichlet boundary conditions. In comparison with the fully nonlinear compact difference scheme, the proposed methodology combines a small-scale nonlinear fourth-order compact difference algorithm on [...] Read more.
This article proposes a novel time-space two-grid high-order compact difference scheme for the one-dimensional nonlinear Schrödinger equation subject to Dirichlet boundary conditions. In comparison with the fully nonlinear compact difference scheme, the proposed methodology combines a small-scale nonlinear fourth-order compact difference algorithm on a time-space coarse grid and a large-scale linearized correction compact difference algorithm on a fine grid. In contrast to the time two-grid compact difference method, the proposed scheme applies the two-grid technique in both the spatial and temporal domains, thereby further improving computational efficiency. Solutions from the coarse grid are projected onto the fine grid via a temporally linear and spatially cubic Lagrange interpolation operator. Unconditional stability and optimal convergence rates, which are fourth-order in space and second-order in time, are proven in both the discrete L2 and L norms, without any constraints on the grid ratio. In addition to the standard techniques of the energy method, a discrete Sobolev inequality and an a priori error estimate are employed to demonstrate stability and high-order convergence. Finally, the theoretical results are validated through numerical experiments, which confirm the robustness and reliability of the proposed approach. A single-soliton experiment demonstrates that, compared with the fully nonlinear compact difference scheme, the proposed method achieves a significant reduction in CPU time while maintaining a comparable level of accuracy. Additional experiments further illustrate the algorithm’s effectiveness in simulating two-soliton interactions and soliton birth. These findings establish the proposed scheme as a highly efficient alternative to conventional nonlinear approaches. Full article
(This article belongs to the Section Mathematical Analysis)
16 pages, 1033 KB  
Article
Modified Shamir Threshold Scheme for Secure Storage of Biometric Data
by Saule Nyssanbayeva, Nursulu Kapalova and Saltanat Beisenova
Computers 2026, 15(4), 228; https://doi.org/10.3390/computers15040228 - 7 Apr 2026
Viewed by 187
Abstract
The security of biometric data is a critical challenge in modern information security due to their uniqueness and non-revocability. Compromise of biometric characteristics leads to irreversible consequences; therefore, storing or transmitting them in plaintext is unacceptable. This paper addresses the confidentiality and integrity [...] Read more.
The security of biometric data is a critical challenge in modern information security due to their uniqueness and non-revocability. Compromise of biometric characteristics leads to irreversible consequences; therefore, storing or transmitting them in plaintext is unacceptable. This paper addresses the confidentiality and integrity of fingerprint data using cryptographic protection methods. Considering the specific nature of biometrics, fingerprint features are used only to generate a cryptographic secret rather than being stored directly. To protect the derived secret, a modified threshold secret-sharing scheme based on non-positional polynomial notation and the Chinese Remainder Theorem is proposed. The method generates a cryptographic secret from fingerprint minutiae described by spatial coordinates and ridge orientation. Concatenating minutiae coordinates and converting them into binary form produces a unique value deterministically linked to a specific user. Compared to the classical Shamir scheme, the modified scheme reduces the computational complexity of secret reconstruction from O(n log2n) to O(k log k), decreases data storage requirements by 30–40% through compact polynomial remainders, and increases successful secret reconstruction by 12–15% in the presence of noise in biometric samples. The results show that the proposed algorithm can be effectively applied in biometric authentication systems to protect personal data in distributed environments. Security analysis confirms resistance to major attack classes and demonstrates practical applicability in real-world systems. Full article
(This article belongs to the Section ICT Infrastructures for Cybersecurity)
Show Figures

Figure 1

30 pages, 4959 KB  
Article
Optimized Decision Model for Soil-Moisture Control Lower Limits and Evapotranspiration-Based Irrigation Replenishment Ratios Based on AquaCrop-OSPy, PyFAO56, and NSGA-II and Its Application
by Xu Liu, Zhaolong Liu, Wenhui Tang, Zhichao An, Jun Liang, Yanling Chen, Yuxin Miao, Hainie Zha and Krzysztof Kusnierek
Agriculture 2026, 16(7), 806; https://doi.org/10.3390/agriculture16070806 - 4 Apr 2026
Viewed by 252
Abstract
As water resources are becoming increasingly scarce in the North China Plain, irrigation strategies that simultaneously improve grain yield and reduce irrigation water input are needed for winter wheat (Triticum aestivum L.) production. Current irrigation decision rules are based either on fixed [...] Read more.
As water resources are becoming increasingly scarce in the North China Plain, irrigation strategies that simultaneously improve grain yield and reduce irrigation water input are needed for winter wheat (Triticum aestivum L.) production. Current irrigation decision rules are based either on fixed soil moisture thresholds or on evapotranspiration (ET)-based ratios applied uniformly across the growing season, limiting their flexibility for growth stage-specific irrigation management. In this study, a multi-objective simulation optimization framework was developed to jointly optimize soil moisture lower control limits (irrigation trigger thresholds) and evapotranspiration-based irrigation replenishment ratios across key winter wheat growth stages. The framework integrated the AquaCrop-OSPy crop model with the PyFAO56 soil moisture balance, irrigation scheduling model and the NSGA-II evolutionary optimization algorithm. A field experiment was conducted during the 2024–2025 growing season in Laoling City, Shandong Province, China, employing a four-dense–one-sparse strip cropping pattern with two irrigation treatments: T1 (subsurface sprinkler irrigation) and T2 (shallow subsurface drip irrigation). The AquaCrop-OSPy model was calibrated and validated using measured canopy cover, aboveground biomass, grain yield, and soil moisture content in the 0–60 cm soil layer. Simulated canopy cover and grain yield showed good agreement with observations, with the coefficient of determination (R2) ranging from 0.87 to 0.94. For grain yield, the normalized root mean square error (NRMSE) ranged from 2.24% to 3.75%, and the root mean square error (RMSE) ranged from 0.29 to 0.54 t·ha−1. For aboveground biomass, R2 was 0.99, while RMSE ranged from 1.02 to 1.11 t·ha−1, and NRMSE ranged from 14.25% to 15.49%. The PyFAO56 irrigation strategy model simulated average root-zone soil-moisture dynamics with satisfactory accuracy, with an R2 of 0.86 and an RMSE of 5%. Multi-objective optimization (maximizing yield while minimizing irrigation volume) generated 23 Pareto-optimal irrigation strategies, with irrigation volumes ranging from 51 to 128 mm, corresponding yields ranging from 9.8 to 10.8 t·ha−1, and irrigation water use efficiency (IWUE) ranging from 0.08 to 0.19 t·ha−1·mm−1. Correlation analysis within the Pareto set indicated that soil-moisture control lower limits during the regreening–jointing stage and higher soil-moisture control lower limits during the flowering–maturity stage were key controlling factors for achieving high yields and irrigation water use efficiency. The Entropy-Weighted Ranked Minimum Distance method identified an optimal irrigation scheme involving two irrigations (one at the end of the jointing stage and another at the beginning of the grain filling stage) involving an irrigation depth of 75 mm, achieving a simulated yield of 10.4 t·ha−1 and an IWUE of 0.16 t·ha−1·mm−1. The proposed AquaCrop-PyFAO56-NSGA-II framework provides a flexible, process-based workflow for jointly optimizing irrigation control thresholds and evapotranspiration-based irrigation replenishment ratios across different winter wheat growth stages. Under the monitored conditions of the 2024–2025 wet season, the framework identified a two-irrigation strategy that balanced grain yield and irrigation input. This study should, therefore, be regarded as a proof-of-concept evaluation conducted in a well-instrumented single-site field setting rather than as a universally transferable recommendation. Because model calibration, within-season validation, and optimization were all based on one wet growing season at one site, the derived stage-specific thresholds, Pareto front, and S5 recommendation are most applicable to hydro-climatic conditions similar to the study year and should be further tested across contrasting year-types and locations before broader extrapolation. Full article
(This article belongs to the Topic Water Management in the Age of Climate Change)
Show Figures

Figure 1

17 pages, 1106 KB  
Article
Glucose and Xylose Production Under a Biorefinery Approach: Essential Oil Extraction, Hydrolysis of Orange Residues, and Reaction Kinetics at Pilot Scale
by Edson E. Armenta, Marcos A. Coronado, José R. Ayala, Jesús M. Armenta, Daniela G. Montes and Benjamín A. Rojano
Processes 2026, 14(7), 1154; https://doi.org/10.3390/pr14071154 - 3 Apr 2026
Viewed by 269
Abstract
The orange juice industry generates large amounts of waste, leading to significant environmental impacts. Within the framework of a citrus biorefinery, this study evaluates an integrated pilot-scale scheme combining essential oil extraction with hydrolysis of orange waste. A self-designed modular system was used, [...] Read more.
The orange juice industry generates large amounts of waste, leading to significant environmental impacts. Within the framework of a citrus biorefinery, this study evaluates an integrated pilot-scale scheme combining essential oil extraction with hydrolysis of orange waste. A self-designed modular system was used, characterized by ease of operation and maintenance, consisting of a 20 L sealed reactor and a condenser with water recirculation. Essential oil extraction was carried out by hydrodistillation, producing 35 mL of essential oil per run and a yield of 2.57 mL per 100 g of orange peel. Hydrolysis was investigated using a 23 factorial design considering time (30 and 60 min), waste type (with and without pulp), and H2SO4 concentration (0 and 0.25% v/v). ANOVA results showed that the waste type was the dominant factor, while the acid concentration had no significant effect. The optimal hydrolysis condition was waste with pulp, 0% acid, and 30 min, achieving 108.5 g/L of glucose and 30.4 g/L of xylose. Under these conditions, the kinetics of glucose and xylose release were determined. The energy consumption was 45.96 MJ, equivalent to 70.61 kJ/g of glucose and 236.59 kJ/g of xylose, with corresponding costs of 0.0017 and 0.0057 USD/g, respectively. Orange waste containing pulp, obtained directly from juice-processing facilities, exhibits greater valorization potential than orange waste without pulp to produce essential oil, glucose, and xylose within a biorefinery scheme. Full article
(This article belongs to the Special Issue Biomass Energy Conversion for Efficient and Sustainable Utilization)
Show Figures

Figure 1

27 pages, 453 KB  
Article
Efficient and Structure-Preserving Numerical Methods for Time–Space Fractional Diffusion in Heterogeneous Biological Tissues
by José A. Rodrigues
Foundations 2026, 6(2), 16; https://doi.org/10.3390/foundations6020016 - 2 Apr 2026
Viewed by 158
Abstract
Time–space fractional diffusion equations are widely used to model anomalous transport in heterogeneous biological tissues, where memory effects, spatial nonlocality, and coefficient variability are intrinsically coupled. However, existing numerical approaches typically treat these aspects in isolation, and a fully discrete framework that simultaneously [...] Read more.
Time–space fractional diffusion equations are widely used to model anomalous transport in heterogeneous biological tissues, where memory effects, spatial nonlocality, and coefficient variability are intrinsically coupled. However, existing numerical approaches typically treat these aspects in isolation, and a fully discrete framework that simultaneously accounts for heterogeneity, long-memory effects, and computational efficiency remains lacking. In this work, a fully discrete numerical method is developed and analyzed. The method integrates heterogeneous diffusion coefficients and memory-efficient temporal discretization within a unified variational framework. It combines a finite element approximation of a spectral fractional elliptic operator with an implicit L1 discretization of the Caputo derivative enhanced by a sum-of-exponentials approximation of the memory kernel. Unconditional stability, preservation of a discrete energy structure, and a fully discrete error estimate are established, explicitly separating temporal, spatial, and kernel approximation errors. The proposed approach reduces memory complexity from O(N) to O(logN) without compromising accuracy. Numerical experiments confirm the theoretical convergence rates, demonstrate stable behavior across all tested configurations, and illustrate the impact of heterogeneous coefficients on anomalous transport dynamics. Full article
(This article belongs to the Section Mathematical Sciences)
Show Figures

Figure 1

25 pages, 17827 KB  
Article
Synergistic PCM–Liquid Thermal Management for Large-Format Cylindrical Batteries Under High-Rate Discharge
by Chunyun Shen, Chengxuan Su, Zheming Zhang, Fang Wang, Zekun Wang and Shiming Wang
Appl. Sci. 2026, 16(7), 3200; https://doi.org/10.3390/app16073200 - 26 Mar 2026
Viewed by 316
Abstract
The push for higher energy density in electric vehicles has resulted in large-sized lithium-ion batteries, but their geometric upscaling exacts a heavy thermal price. Under high-rate discharge, these massive cells become heat traps, risking thermal runaway. To tame this instability, this paper engineered [...] Read more.
The push for higher energy density in electric vehicles has resulted in large-sized lithium-ion batteries, but their geometric upscaling exacts a heavy thermal price. Under high-rate discharge, these massive cells become heat traps, risking thermal runaway. To tame this instability, this paper engineered a hybrid management strategy fusing liquid cooling, Phase Change Materials (PCMs), and flow deflectors. With a primary focus on the structural optimization of the cooling channel, a three-dimensional numerical model, calibrated using experimentally determined thermophysical properties, was developed to overcome the thermal bottlenecks of conventional cooling architectures. Results indicated that the initial channel optimization effectively reduced the maximum temperature to 327.7 K, but it still remained near the safety threshold. Integrating PCM radically altered the thermal landscape, slashing the outlet temperature differential by 41.67% (from 2.76 K to 1.61 K) compared to pure liquid cooling and blunting peak thermal spikes. Furthermore, to overcome laminar stagnation, strategic deflector baffles were introduced to agitate the coolant, enhancing heat dissipation. Specifically, the optimal half-coverage (L = 1/2) baffle configuration successfully lowered the maximum temperature to 322.42 K while substantially reducing the system pressure drop from 948.16 Pa to 627.57 Pa, achieving a 33.33% reduction compared to the full-coverage scheme. Finally, a multi-variable sensitivity analysis confirmed the extraordinary engineering robustness of the optimized configuration, demonstrating a negligible maximum temperature fluctuation of less than 0.5% despite ±10% operational and material uncertainties. This synergistic system actively stabilizes the thermal envelope, offering a robust engineering blueprint for next-generation high-power battery packs. Full article
(This article belongs to the Section Applied Thermal Engineering)
Show Figures

Figure 1

Back to TopTop