Sign in to use this feature.

Years

Between: -

Subjects

remove_circle_outline
remove_circle_outline
remove_circle_outline
remove_circle_outline

Journals

Article Types

Countries / Regions

Search Results (13)

Search Parameters:
Keywords = IFNt

Order results
Result details
Results per page
Select all
Export citation of selected articles as:
23 pages, 5048 KB  
Article
PGE2 Modulates Uterine Luminal Fluid Composition and Endometrial Function in Dairy Heifers During Diestrus
by Beibei Zhang, Yutong Yan, Yuan Han, Longgang Yan, Dong Zhou, Pengfei Lin and Yaping Jin
Animals 2026, 16(7), 1037; https://doi.org/10.3390/ani16071037 - 28 Mar 2026
Viewed by 272
Abstract
Prostaglandin E2 (PGE2) plays a critical role in regulating uterine endometrial function and supporting embryonic development during early pregnancy in ruminants. However, its precise roles in shaping the uterine microenvironment remain unclear. Herein, 1 mg PGE2 was infused daily [...] Read more.
Prostaglandin E2 (PGE2) plays a critical role in regulating uterine endometrial function and supporting embryonic development during early pregnancy in ruminants. However, its precise roles in shaping the uterine microenvironment remain unclear. Herein, 1 mg PGE2 was infused daily into the uterus of dairy heifers from days 12 to 14 of the estrus cycle. ULF was subsequently collected for integrated proteomic, metabolomic, and targeted lipidomic analyses. In addition, bovine endometrial epithelial cells were used to evaluate the effects of PGE2 on epithelial adhesion and responsiveness to interferon tau (IFNT). PGE2 infusion resulted in 909 differentially abundant proteins (DAPs), which are primarily associated with early embryonic development, immune regulation, and cell adhesion. Untargeted metabolomics analysis identified 587 altered metabolites, which were enriched in sphingolipid, arachidonic acid, phenylalanine, and tryptophan metabolism. Proteomic–metabolomic analyses showed that these alterations were primarily associated with early embryonic development, immune regulation, and cell adhesion. Targeted lipidomic analysis showed a global reduction in lipid accumulation, with glycerophospholipid metabolism and choline metabolism most significantly affected. In vitro, PGE2 reduced epithelial microvilli density, increased osteopontin (OPN) expression, and decreased the expression of junctional proteins (zona occludens-1 (ZO-1), E-cadherin (CDH1), and fibronectin 1 (FN1)). Moreover, PGE2 enhanced the responsiveness of bEECs to IFNT by interferon alpha/beta receptor 1 (IFNAR1) and IFNAR2, and prostaglandin E receptor 4 (PTGER4) was identified as the primary receptor mediating this response. Collectively, these findings suggest that PGE2 may modulate lipid metabolism and adhesion-related processes in the endometrium and influence endometrial responsiveness to IFNT, providing insights into molecular mechanisms associated with pregnancy establishment in dairy cows. Full article
(This article belongs to the Section Cattle)
Show Figures

Figure 1

17 pages, 1991 KB  
Article
Role of Glutathione in Alleviating Chilling Injury in Bovine Blastocysts: Mitochondrial Restoration and Apoptosis Inhibition
by Jingyu Ren, Fuhan Liu, Gang Liu, Biao Wang, Jie Zhu, Yongbin Liu and Yanfeng Dai
Antioxidants 2026, 15(1), 148; https://doi.org/10.3390/antiox15010148 - 22 Jan 2026
Viewed by 515
Abstract
Short-term hypothermic storage at 4 °C represents a promising non-freezing alternative for transporting bovine embryos and synchronizing assisted reproductive procedures. However, chilling induces oxidative stress, mitochondrial dysfunction, and apoptosis, which markedly impair post-preservation embryonic viability. Glutathione (GSH), a key intracellular antioxidant, may mitigate [...] Read more.
Short-term hypothermic storage at 4 °C represents a promising non-freezing alternative for transporting bovine embryos and synchronizing assisted reproductive procedures. However, chilling induces oxidative stress, mitochondrial dysfunction, and apoptosis, which markedly impair post-preservation embryonic viability. Glutathione (GSH), a key intracellular antioxidant, may mitigate these damaging effects, yet its protective mechanisms during bovine blastocyst hypothermic preservation remain unclear. Here, we investigated the impact of exogenous GSH supplementation on the survival, hatching ability, cellular integrity, mitochondrial function, and developmental potential of bovine blastocysts preserved at 4 °C for seven days. Optimization experiments revealed that 4 mM GSH provided the highest post-chilling survival and hatching rates. Using DCFH-DA, TUNEL, and γ-H2AX staining, we demonstrated that 4 °C preservation significantly increased intracellular reactive oxygen species (ROS), DNA fragmentation, and apoptosis. GSH supplementation markedly alleviated oxidative injury, reduced apoptotic cell ratio, and decreased DNA double-strand breaks. MitoTracker and JC-1 staining indicated severe chilling-induced mitochondrial suppression, including decreased mitochondrial activity and membrane potential (ΔΨm), which were largely restored by GSH. Gene expression analyses further revealed that chilling downregulated antioxidant genes (SOD2, GPX1, TFAM, NRF2), pluripotency markers (POU5F1, NANOG), and IFNT, while upregulating apoptotic genes (BAX, CASP3). GSH effectively reversed these alterations and normalized the BAX/BCL2 ratio. Moreover, SOX2/CDX2 immunostaining, total cell number, and ICM/TE ratio confirmed improved embryonic structural integrity and developmental competence. Collectively, our findings demonstrate that exogenous GSH protects bovine blastocysts from chilling injury by suppressing ROS accumulation, stabilizing mitochondrial function, reducing apoptosis, and restoring developmental potential. This study provides a mechanistic foundation for improving 4 °C embryo storage strategies in bovine reproductive biotechnology. Full article
Show Figures

Figure 1

22 pages, 3465 KB  
Review
Novel Aspects of the Physiology of Pregnancy in Domestic Ruminants
by Fuller W. Bazer, Thainá Minela and Gregory A. Johnson
Animals 2025, 15(18), 2672; https://doi.org/10.3390/ani15182672 - 12 Sep 2025
Viewed by 1899
Abstract
Mammals exhibit unique and highly variable mechanisms for the establishment and maintenance of pregnancy. Ruminants (e.g., sheep, cows, and goats) have novel mechanisms whereby the conceptus (embryo and its extra-embryonic membranes) signals for the establishment of pregnancy and exhibits unique metabolic pathways favoring [...] Read more.
Mammals exhibit unique and highly variable mechanisms for the establishment and maintenance of pregnancy. Ruminants (e.g., sheep, cows, and goats) have novel mechanisms whereby the conceptus (embryo and its extra-embryonic membranes) signals for the establishment of pregnancy and exhibits unique metabolic pathways favoring conceptus development. Embryos of ruminants reach the spherical blastocyst stage at 5 to 10 mm in diameter and then elongate rapidly to elongated filamentous conceptuses of greater than 250 mm as they make contact with the uterine luminal epithelium (LE) for implantation. During conceptus elongation the trophectoderm cells secrete interferon tau (IFNT), a novel pregnancy recognition signal for ruminants to ensure maintenance of a functional corpus luteum (CL) to secrete progesterone (P4) required for pregnancy. P4 induces uterine epithelia cells to express the endogenous Jaagsiekte Retrovirus (enJSRV) that may transactivate toll-like receptors 7 and 8 in the conceptus trophectoderm to induce secretion of IFNT, a classical viral–antiviral mechanism. IFNT silences expression of receptors for estradiol (E2) and oxytocin (OXTR), which abrogates the mechanism whereby oxytocin from CL and posterior pituitary would otherwise induce large pulses of prostaglandin F (PGF) by uterine epithelia to cause regression of the CL and its secretion of P4. IFNT has another novel role in silencing expression of not only ESR1 and OXTR, but all classical interferon-stimulated genes in the uterine LE and superficial glandular epithelium (sGE), but with P4 increasing expression of genes for transport of nutrients such as glucose and arginine into the uterine lumen to support conceptus development. Ruminant conceptuses convert glucose to fructose, a novel hexose sugar that cannot be transported back to the maternal circulation. Fructose is converted to fructose-1-PO4 for metabolism, not via the pathway for glycolysis but via the novel fructolysis pathway uninhibited by low pH, citrate, or ATP as is the case for glycolysis. Thus, fructose and its metabolites support the pentose cycle, hexosamine biosynthesis pathway, one-carbon metabolism, and the citric acid cycle for all cells of the conceptus. Arginine is another key nutrient transported into the uterine lumen by the uterine LE/sGE in response to P4 and IFNT. Arginine is metabolized to generate nitric oxide, polyamines, and creatine, essential for conceptus growth and development, while enhancing production of IFNT as a novel pregnancy recognition signal, and upregulating expression of genes in the uterine LE/sGE for transport of nutrients. Fructose is the major hexose sugar supporting major metabolic pathways required for conceptus growth and development in ruminants. Full article
Show Figures

Figure 1

19 pages, 7267 KB  
Article
Effect of Bovine Follicular Fluid Small Extracellular Vesicles Isolated by Ultracentrifugation and Chromatography on In Vitro Oocyte Maturation and Embryo Development
by Felipe Pérez-García, Erwin Muñoz-Acuña, Cecilia Valencia, Luis Aguila, Ricardo Felmer and María Elena Arias
Int. J. Mol. Sci. 2025, 26(7), 2880; https://doi.org/10.3390/ijms26072880 - 22 Mar 2025
Cited by 4 | Viewed by 2405
Abstract
Small extracellular vesicles (sEVs) play a crucial role in intercellular communication and have demonstrated significant relevance in reproductive biotechnology, particularly in in vitro maturation (IVM) and bovine embryo production. This study evaluates the effects of bovine follicular fluid-derived extracellular vesicles (ffsEVs) isolated using [...] Read more.
Small extracellular vesicles (sEVs) play a crucial role in intercellular communication and have demonstrated significant relevance in reproductive biotechnology, particularly in in vitro maturation (IVM) and bovine embryo production. This study evaluates the effects of bovine follicular fluid-derived extracellular vesicles (ffsEVs) isolated using two methods: ultracentrifugation (UC) and size-exclusion chromatography (SEC) on oocyte maturation and preimplantational embryonic development. Significant differences in the size of ffsEVs obtained by both isolation methods were noted, with UC-derived ffsEVs (UC ffsEVs) being smaller than those isolated by SEC (SEC ffsEVs). UC ffsEVs were more effective in upregulating critical oocyte quality genes, such as HSF1 and CPT1B. However, no significant differences were observed in embryonic developmental rates. Furthermore, the expression of genes associated with preimplantational embryonic quality revealed that only the SEC ffsEVs group exhibited a significant increase in IFNT1 and SOX2 levels, indicating an enhancement in embryonic quality. Notably, blastocysts derived from SEC ffsEVs also showed a higher total cell count compared to those from UC ffsEVs. No differences were found in other critical genes like GLUT1 and CDX2. These results suggest that the use of SEC ffsEVs could improve the in vitro embryo production process, highlighting the importance of the isolation method in determining the functional efficacy of ffsEVs according to research objectives. Full article
(This article belongs to the Section Molecular Biology)
Show Figures

Figure 1

13 pages, 1239 KB  
Article
Interferon-Tau in Maternal Peripheral Blood and Its Relationship with Progesterone and Pregnancy-Associated Glycoproteins in the Early Phases of Gestation in Water Buffalo
by Olimpia Barbato, Laura Menchetti, Anna Beatrice Casano, Giovanni Ricci, Giovanna De Matteis, Stella Agradi, Giulio Curone, Gabriele Brecchia, Emilia Larisa Achihaei and Vittoria Lucia Barile
Animals 2024, 14(11), 1658; https://doi.org/10.3390/ani14111658 - 31 May 2024
Cited by 1 | Viewed by 3656
Abstract
The aim of this study was to investigate the interferon tau (IFNt) concentration in the peripheral maternal blood during the early phase of pregnancy in buffalo cows and improve the knowledge on the physiological importance of circulating IFNt, evaluating the possible interaction with [...] Read more.
The aim of this study was to investigate the interferon tau (IFNt) concentration in the peripheral maternal blood during the early phase of pregnancy in buffalo cows and improve the knowledge on the physiological importance of circulating IFNt, evaluating the possible interaction with pregnancy-associated glycoproteins (PAGs) and progesterone (P4). Blood samples were taken from buffalo cows on day 0 (day of AI), 7, 14, 18, 28, and 40 post insemination for the IFNt, PAG, and P4 analysis and to determine the IFNt mRNA expression. The animals were categorized ex post into Pregnant, Non-pregnant and Embryo mortality groups. The interferon value was influenced by group (p = 0.003), being always higher in pregnant buffalo cows than in non-pregnant ones, while the embryo mortality group showed intermediate values between those for pregnant and non-pregnant animals. The mRNA expression of IFNt was not influenced by groups or any time points. The regression analysis that included IFNt as the independent variable showed that PAGs, from day 18 (p < 0.01), and P4, from day 28 (p < 0.05), were positively associated with IFNt values. The close associations among IFNt, PAGs and P4 demonstrate that all three molecules work together for fetal–placental well-being and pregnancy support. Unfortunately, the great individual variability in circulating IFNt makes this analysis unsuitable for early pregnancy diagnosis. Full article
(This article belongs to the Special Issue Reproductive Management of Ruminants)
Show Figures

Figure 1

23 pages, 3833 KB  
Article
Extracellular Vesicles Secreted by Pre-Hatching Bovine Embryos Produced In Vitro and In Vivo Alter the Expression of IFNtau-Stimulated Genes in Bovine Endometrial Cells
by Constanza Aguilera, Alejandra Estela Velásquez, Miguel Angel Gutierrez-Reinoso, Yat Sen Wong, Barbara Melo-Baez, Joel Cabezas, Diego Caamaño, Felipe Navarrete, Daniela Rojas, Gonzalo Riadi, Fidel Ovidio Castro and Llretny Rodriguez-Alvarez
Int. J. Mol. Sci. 2023, 24(8), 7438; https://doi.org/10.3390/ijms24087438 - 18 Apr 2023
Cited by 18 | Viewed by 4151
Abstract
The embryo-maternal interaction occurs during the early stages of embryo development and is essential for the implantation and full-term development of the embryo. In bovines, the secretion of interferon Tau (IFNT) during elongation is the main signal for pregnancy recognition, but its expression [...] Read more.
The embryo-maternal interaction occurs during the early stages of embryo development and is essential for the implantation and full-term development of the embryo. In bovines, the secretion of interferon Tau (IFNT) during elongation is the main signal for pregnancy recognition, but its expression starts around the blastocyst stage. Embryos release extracellular vesicles (EVs) as an alternative mechanism of embryo-maternal communication. The aim of the study was to determine whether EVs secreted by bovine embryos during blastulation (D5-D7) could induce transcriptomic modifications, activating IFNT signaling in endometrial cells. Additionally, it aims to assess whether the EVs secreted by embryos produced in vivo (EVs-IVV) or in vitro (EVs-IVP) have different effects on the transcriptomic profiles of the endometrial cells. In vitro- and in vivo-produced bovine morulae were selected and individually cultured for 48 h to collect embryonic EVs (E-EVs) secreted during blastulation. E-EVs stained with PKH67 were added to in vitro-cultured bovine endometrial cells to assess EV internalization. The effect of EVs on the transcriptomic profile of endometrial cells was determined by RNA sequencing. EVs from both types of embryos induced several classical and non-classical IFNT-stimulated genes (ISGs) and other pathways related to endometrial function in epithelial endometrial cells. Higher numbers of differentially expressed genes (3552) were induced by EVs released by IVP embryos compared to EVs from IVV (1838). Gene ontology analysis showed that EVs-IVP/IVV induced the upregulation of the extracellular exosome pathway, the cellular response to stimulus, and the protein modification processes. This work provides evidence regarding the effect of embryo origin (in vivo or in vitro) on the early embryo-maternal interaction mediated by extracellular vesicles. Full article
(This article belongs to the Special Issue Extracellular Vesicles: The Biology and Therapeutic Applications)
Show Figures

Figure 1

12 pages, 1143 KB  
Article
Interferon Tau (IFNt) and Interferon-Stimulated Genes (ISGs) Expression in Peripheral Blood Leukocytes and Correlation with Circulating Pregnancy-Associated Glycoproteins (PAGs) during Peri-Implantation and Early Pregnancy in Buffalo Cows
by Anna Beatrice Casano, Vittoria Lucia Barile, Laura Menchetti, Gabriella Guelfi, Gabriele Brecchia, Stella Agradi, Giovanna De Matteis, Maria Carmela Scatà, Francesco Grandoni and Olimpia Barbato
Animals 2022, 12(22), 3068; https://doi.org/10.3390/ani12223068 - 8 Nov 2022
Cited by 17 | Viewed by 3684
Abstract
The objective of this study was to analyze interferon-stimulated genes (ISGs) and interferon tau (IFNt) gene expression in peripheral blood leukocytes during the peri-implantation period and until 40 days of pregnancy in buffalo cows. Relationships were also examined between [...] Read more.
The objective of this study was to analyze interferon-stimulated genes (ISGs) and interferon tau (IFNt) gene expression in peripheral blood leukocytes during the peri-implantation period and until 40 days of pregnancy in buffalo cows. Relationships were also examined between the expression of ISGs and IFNt and pregnancy-associated glycoproteins (PAGs) peripheral plasma concentration. Buffalo cows were synchronized and artificially inseminated (d 0). Blood samples were collected on days 0, 18, 28 and 40 after artificial insemination (AI) for peripheral blood mononuclear cells (PBMCs) and polymorphonuclear leukocytes (PMNs) isolation and PAGs radioimmunoassay analysis. The study was carried out on 21 buffalo cows divided ex post into Pregnant (n = 12) and Non-pregnant (n = 9) groups. Steady state levels of OAS1, MX2, ISG15 and IFNt mRNA were measured by RT-qPCR and their estimated marginal means (p < 0.01 for all) were higher in pregnant than non-pregnant buffaloes, both in PBMCs and PMNs. In PBMCs, pairwise comparisons showed that OAS1 and MX2 expressions differed between pregnant and non-pregnant buffaloes on all the days of observation (p < 0.001), while significant differences in ISG15 and IFNt started from day 28 post-AI (p < 0.05). In PMNs, ISG15 expression differed between groups only at days 18 and 28 (p < 0.001), while comparisons were always significant for IFNt (p < 0.05). The expression of all genes, except ISG15 as determined in PMNs, was positively associated with PAGs plasma concentrations (p < 0.05). This work showed a significant increase in ISGs and IFNt expressions in PBMCs and PMNs in buffalo during the peri-implantation period and early pregnancy, and their correlation with PAGs plasma concentration. Full article
(This article belongs to the Special Issue Recent Developments in Buffalo Reproduction)
Show Figures

Figure 1

21 pages, 1177 KB  
Article
Effects of Extra-Long-Acting Recombinant Bovine FSH (bscrFSH) on Cattle Superovulation
by Miguel A. Gutiérrez-Reinoso, Constanza J. Aguilera, Felipe Navarrete, Joel Cabezas, Fidel O. Castro, Ignacio Cabezas, Oliberto Sánchez, Manuel García-Herreros and Lleretny Rodríguez-Alvarez
Animals 2022, 12(2), 153; https://doi.org/10.3390/ani12020153 - 9 Jan 2022
Cited by 23 | Viewed by 8402
Abstract
Over the last few years, several commercial FSH products have been developed for cattle superovulation (SOV) purposes in Multiple Ovulation and Embryo Transfer (MOET) programs. The SOV response is highly variable among individuals and remains one of the main limiting factors in obtaining [...] Read more.
Over the last few years, several commercial FSH products have been developed for cattle superovulation (SOV) purposes in Multiple Ovulation and Embryo Transfer (MOET) programs. The SOV response is highly variable among individuals and remains one of the main limiting factors in obtaining a profitable number of transferable embryos. In this study, follicle stimulating hormone (FSH) from different origins was included in two SOV protocols, (a) FSH from purified pig pituitary extract (NIH-FSH-p; two doses/day, 12 h apart, four consecutive days); and (b) extra-long-acting bovine recombinant FSH (bscrFSH; a single dose/day, four consecutive days), to test the effects of bscrFSH on the ovarian response, hormone profile levels, in vivo embryo production and the pluripotency gene expression of the obtained embryos. A total of 68 healthy primiparous red Angus cows (Bos taurus) were randomly distributed into two experimental groups (n = 34 each). Blood sample collection for progesterone (P4) and cortisol (C) level determination was performed together with ultrasonographic assessment for ovarian size, follicles (FL) and corpora lutea (CL) quantification in each SOV protocol (Day 0, 4, 8, and 15). Moreover, FSH profiles were monitorised throughout both protocols (Day 0, 4, 5, 6, 7, 8, 9, 10, and 15). In vivo embryo quantity and quality (total structures, morulae, blastocysts, viable, degenerated and blocked embryos) were recorded in each SOV protocol. Finally, embryo quality in both protocols was assessed by the analysis of the expression level of crucial genes for early embryo development (OCT4, IFNt, CDX2, BCL2, and BAX). P4 and cortisol concentration peaks in both SOV protocols were obtained on Day 15 and Day 8, respectively, which were statistically different compared to the other time-points (p < 0.05). Ovarian dimensions increased from Day 0 to Day 15 irrespective of the SOV protocol considered (p < 0.05). Significant changes in CL number were observed over time till Day 15 irrespective of the SOV protocol applied (p < 0.05), being non- significantly different between SOV protocols within each time-point (p > 0.05). The number of CL was higher on Day 15 in the bscrFSH group compared to the NIH-FSH-p group (p < 0.05). The number of embryonic structures recovered was higher in the bscrFSH group (p = 0.025), probably as a result of a tendency towards a greater number of follicles developed compared to the NIH-FSH-p group. IFNt and BAX were overexpressed in embryos from the bscrFSH group (p < 0.05), with a fold change of 16 and 1.3, respectively. However, no statistical differences were detected regarding the OCT4, CDX2, BCL2, and BCL2/BAX expression ratio (p > 0.05). In conclusion, including bscrFSH in SOV protocols could be an important alternative by reducing the number of applications and offering an improved ovarian response together with better embryo quality and superior performance in embryo production compared to NIH-FSH-p SOV protocols. Full article
(This article belongs to the Special Issue Applied Reproduction in Farm Animals)
Show Figures

Figure 1

21 pages, 2647 KB  
Article
mRNA Expressions of Candidate Genes in Gestational Day 16 Conceptus and Corresponding Endometrium in Repeat Breeder Dairy Cows with Suboptimal Uterine Environment Following Transfer of Different Quality Day 7 Embryos
by Ramanathan K. Kasimanickam and Vanmathy R. Kasimanickam
Animals 2021, 11(4), 1092; https://doi.org/10.3390/ani11041092 - 11 Apr 2021
Cited by 8 | Viewed by 2902
Abstract
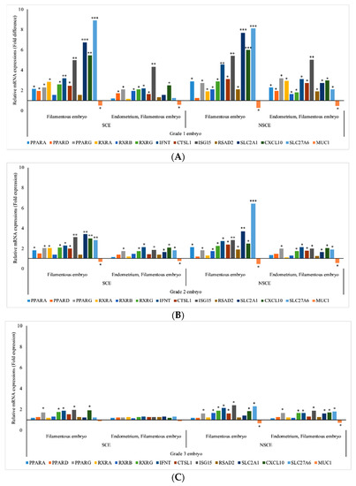
Effect of the gestational day (GD) 7 embryo quality grade (QG) and subclinical endometritis (SCE) on mRNA and protein expressions of candidate genes [Interferon-τ (IFNT), IFN stimulated genes (ISG15, CTSL1, RSAD2, SLC2A1, CXCL10, and SLC27A6), Peroxisome proliferator activated receptors [...] Read more.
Effect of the gestational day (GD) 7 embryo quality grade (QG) and subclinical endometritis (SCE) on mRNA and protein expressions of candidate genes [Interferon-τ (IFNT), IFN stimulated genes (ISG15, CTSL1, RSAD2, SLC2A1, CXCL10, and SLC27A6), Peroxisome proliferator activated receptors (PPARA, D, and G), Retinoid X receptors (RXRA, B, and G), and Mucin-1 (MUC1)] in GD16 conceptus and corresponding endometrium were evaluated. After screening of performance records (n = 2389) and selection of repeat breeders (n = 681), cows with SCE (≥6% polymorphonuclear neutrophils—PMN; n = 180) and no-SCE (<6%PMN; n = 180) received GD7 embryos of different QGs. Based on GD16 conceptus recovery, cows with SCE (n = 30) and No- SCE (n = 30) that received GD7 embryos QG1 (good, n = 20), 2 (fair, n = 20), and 3 (poor, n = 20) were included for gene analysis. mRNA and protein expressions (IFNT, ISG15, CXCL10, PPARG, RXRG, SLC2A1, and SLC27A6) differed between SCE and embryo QG groups. All genes but MUC1 and all proteins but MUC1 expression was greater in filamentous conceptus and corresponding endometrium vs. tubular conceptus and matching endometrium in SCE and embryo QG groups. In conclusion, disrupted embryo-uterine communication by altered expression of candidate genes in SCE cows, and in cows following the transfer of poor embryo negatively programs the conceptus development and plausibly affects conceptus survival. Full article
(This article belongs to the Section Animal Reproduction)
Show Figures

Figure 1

15 pages, 1073 KB  
Review
Emerging Role of Extracellular Vesicles in Embryo–Maternal Communication throughout Implantation Processes
by Keigo Nakamura, Kazuya Kusama, Yoshihito Suda, Hiroshi Fujiwara, Masatoshi Hori and Kazuhiko Imakawa
Int. J. Mol. Sci. 2020, 21(15), 5523; https://doi.org/10.3390/ijms21155523 - 1 Aug 2020
Cited by 32 | Viewed by 6691
Abstract
In ruminants, the establishment of proper conceptus–endometrial communication is essential for conceptus implantation and subsequent successful placentation. Accumulated evidence supports the idea that extracellular vesicles (EVs) present in uterine lumen are involved in conceptus–endometrial interactions during the preimplantation period. EVs make up a [...] Read more.
In ruminants, the establishment of proper conceptus–endometrial communication is essential for conceptus implantation and subsequent successful placentation. Accumulated evidence supports the idea that extracellular vesicles (EVs) present in uterine lumen are involved in conceptus–endometrial interactions during the preimplantation period. EVs make up a new field of intercellular communicators, which transport a variety of bioactive molecules, including soluble and membrane-bound proteins, lipids, DNA, and RNAs. EVs thus regulate gene expression and elicit biological effects including increased cell proliferation, migration, and adhesion in recipient cells. Uterine EVs are interactive and coordinate with ovarian progesterone (P4), trophectoderm-derived interferon tau (IFNT) and/or prostaglandins (PGs) in the physiological or pathological microenvironment. In this review, we will focus on intrauterine EVs in embryo–maternal interactions during the early stage of pregnancy, especially the implantation period in ruminant ungulates. Full article
(This article belongs to the Special Issue Extracellular Vesicles in Reproduction)
Show Figures

Figure 1

19 pages, 1509 KB  
Article
Protein Synthesis by Day 16 Bovine Conceptuses during the Time of Maternal Recognition of Pregnancy
by Irene Malo Estepa, Haidee Tinning, Elton Jóse Rosas Vasconcelos, Beatriz Fernandez-Fuertes, José María Sánchez, Gregory W. Burns, Thomas E. Spencer, Pat Lonergan and Niamh Forde
Int. J. Mol. Sci. 2020, 21(8), 2870; https://doi.org/10.3390/ijms21082870 - 20 Apr 2020
Cited by 16 | Viewed by 5467
Abstract
Interferon Tau (IFNT), the conceptus-derived pregnancy recognition signal in cattle, significantly modifies the transcriptome of the endometrium. However, the endometrium also responds to IFNT-independent conceptus-derived products. The aim of this study was to determine what proteins are produced by the bovine conceptus that [...] Read more.
Interferon Tau (IFNT), the conceptus-derived pregnancy recognition signal in cattle, significantly modifies the transcriptome of the endometrium. However, the endometrium also responds to IFNT-independent conceptus-derived products. The aim of this study was to determine what proteins are produced by the bovine conceptus that may facilitate the pregnancy recognition process in cattle. We analysed by mass spectrometry the proteins present in conceptus-conditioned media (CCM) after 6 h culture of Day 16 bovine conceptuses (n = 8) in SILAC media (arginine- and lysine-depleted media supplemented with heavy isotopes) and the protein content of extracellular vesicles (EVs) isolated from uterine luminal fluid (ULF) of Day 16 pregnant (n = 7) and cyclic (n = 6) cross-bred heifers on day 16. In total, 11,122 proteins were identified in the CCM. Of these, 5.95% (662) had peptides with heavy labelled amino acids, i.e., de novo synthesised by the conceptuses. None of these proteins were detected in the EVs isolated from ULF. Pregnancy-associated glycoprotein 11, Trophoblast Kunitz domain protein 1 and DExD-Box Helicase 39A were de novo produced and present in the CCM from all conceptuses and in previously published CCM data following 6 and 24 h. A total of 463 proteins were present in the CCM from all the conceptuses in the present study, and after 6 and 24 h culture in a previous study, while expression of their transcripts was not detected in endometrium indicating that they are likely conceptus-derived. Of the proteins present in the EVs, 67 were uniquely identified in ULF from pregnant heifers; 35 of these had been previously reported in CCM from Day 16 conceptuses. This study has narrowed a set of conceptus-derived proteins that may be involved in EV-mediated IFNT-independent embryo–maternal communication during pregnancy recognition in cattle. Full article
(This article belongs to the Special Issue Embryo-Maternal Interactions Underlying Reproduction in Mammals)
Show Figures

Figure 1

19 pages, 2580 KB  
Article
Bovine Viral Diarrhoea Virus Infection Disrupts Uterine Interferon Stimulated Gene Regulatory Pathways During Pregnancy Recognition in Cows
by Zhangrui Cheng, Laura E Brown and D Claire Wathes
Viruses 2020, 12(1), 1; https://doi.org/10.3390/v12010001 - 18 Dec 2019
Cited by 12 | Viewed by 4408
Abstract
In cattle, conceptus-derived interferon tau (IFNT) is the pregnancy recognition (PR) signal. Our previous studies showed that non-cytopathic bovine viral diarrhoea virus (ncpBVDV) infection inhibited IFNT-induced interferon stimulated gene (ISG) expression, potentially causing early embryonic death. This study investigated the effect of bovine [...] Read more.
In cattle, conceptus-derived interferon tau (IFNT) is the pregnancy recognition (PR) signal. Our previous studies showed that non-cytopathic bovine viral diarrhoea virus (ncpBVDV) infection inhibited IFNT-induced interferon stimulated gene (ISG) expression, potentially causing early embryonic death. This study investigated the effect of bovine viral diarrhoea virus (BVDV) infection on upstream regulatory pathways of ISG production using an established PR model. Uterine endometrial cells from 10 apparently healthy and BVDV free cows were cultured and treated with 0 or 100 ng/mL IFNT for 24 h in the presence or absence of ncpBVDV infection. Microarray and pathway analysis were used to determine the IFNT-induced upstream regulators. Expression of the genes associated with the identified pathways were quantified with qPCR. IFNT challenge activated the signalling pathways associated with IFN receptors, JAK1/TYK2, IRFs and STATs and ncpBVDV infection inhibited the activation of IFNT on this pathway. Inhibition of this upstream signalling pathway may thus reduce ISG production to disrupt maternal PR. In addition, the reduction of uterine immunity by ncpBVDV infection may predispose the animals to uterine infection, which in turn impairs their reproductive performance. This provides a mechanism of how BVDV infection leads to early pregnancy failure in cows. Full article
(This article belongs to the Special Issue Viral Evasion or Suppression of Host Immunity)
Show Figures

Figure 1

16 pages, 2388 KB  
Article
Possible Roles of CC- and CXC-Chemokines in Regulating Bovine Endometrial Function during Early Pregnancy
by Ryosuke Sakumoto, Ken-Go Hayashi, Shiori Fujii, Hiroko Kanahara, Misa Hosoe, Tadashi Furusawa and Keiichiro Kizaki
Int. J. Mol. Sci. 2017, 18(4), 742; https://doi.org/10.3390/ijms18040742 - 31 Mar 2017
Cited by 55 | Viewed by 7233
Abstract
The aim of the present study was to determine the possible roles of chemokines in regulating bovine endometrial function during early pregnancy. The expression of six chemokines, including CCL2, CCL8, CCL11, CCL14, CCL16, and CXCL10, was higher in the endometrium at 15 and [...] Read more.
The aim of the present study was to determine the possible roles of chemokines in regulating bovine endometrial function during early pregnancy. The expression of six chemokines, including CCL2, CCL8, CCL11, CCL14, CCL16, and CXCL10, was higher in the endometrium at 15 and 18 days of pregnancy than at the same days in non-pregnant animals. Immunohistochemical staining showed that chemokine receptors (CCR1, CCR2, CCR3, and CXCR3) were expressed in the epithelial cells and glandular epithelial cells of the bovine endometrium as well as in the fetal trophoblast obtained from a cow on day 18 of pregnancy. The addition of interferon-τ (IFNT) to an endometrial tissue culture system increased CCL8 and CXCL10 expression in the tissues, but did not affect CCL2, CCL11, and CCL16 expression. CCL14 expression by these tissues was inhibited by IFNT. CCL16, but not other chemokines, clearly stimulated interferon-stimulated gene 15 (ISG15) and myxovirus-resistance gene 1 (MX1) expression in these tissues. Cyclooxygenase 2 (COX2) expression decreased after stimulation with CCL8 and CCL14, and oxytocin receptor (OTR) expression was decreased by CCL2, CCL8, CCL14, and CXCL10. Collectively, the expression of chemokine genes is increased in the endometrium during early pregnancy. These genes may contribute to the regulation of endometrial function by inhibiting COX2 and OTR expression, subsequently decreasing prostaglandin production and preventing luteolysis in cows. Full article
(This article belongs to the Special Issue Regulation of Chemokine-Receptor Interactions and Functions)
Show Figures

Figure 1

Back to TopTop