Interferon Tau (IFNt) and Interferon-Stimulated Genes (ISGs) Expression in Peripheral Blood Leukocytes and Correlation with Circulating Pregnancy-Associated Glycoproteins (PAGs) during Peri-Implantation and Early Pregnancy in Buffalo Cows
Abstract
Simple Summary
Abstract
1. Introduction
2. Materials and Methods
2.1. Animals and Experimental Design
2.2. Pregnancy Diagnosis
2.3. PAGs Radioimmunoassay
2.4. Isolation of PBMCs and PMNs
2.5. Gene expression Level of IFNt and ISGs: RNA Isolation, Reverse Trascription and qPCR
2.6. Statistical Analysis
3. Results
3.1. PAGs Concentration in Pregnant and Non-Pregnant Groups
3.2. ISGs Expression in PBMCs and PMNs in Pregnant and Non-Pregnant Groups
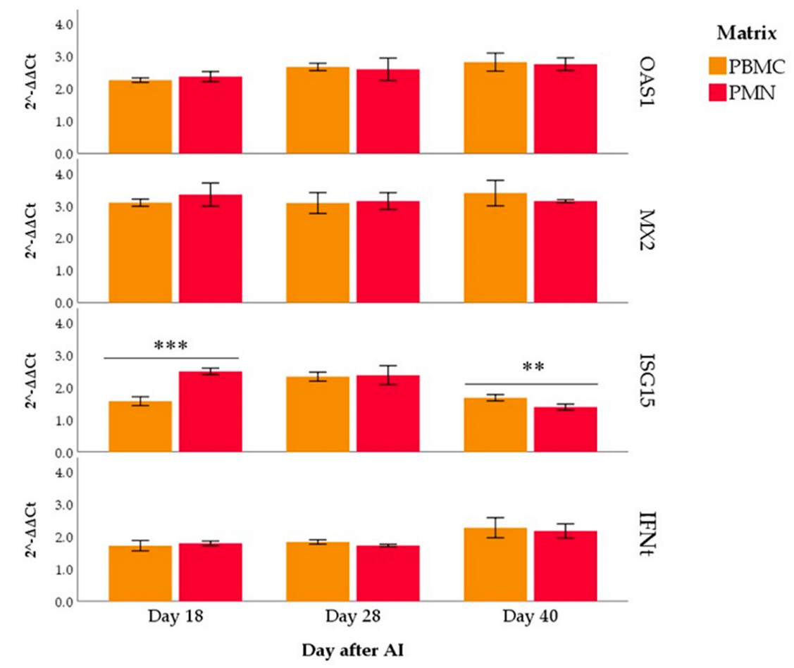
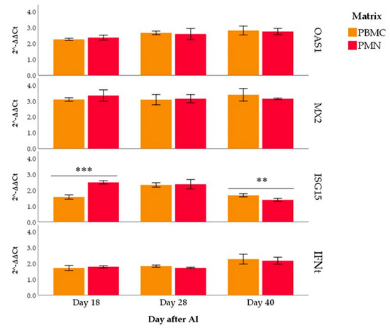
3.3. Differences between the PBMCs and PMNs Expression in Pregnant Group
3.4. Correlations between Plasma Concentration of PAGs and Genes Expression
4. Discussion
5. Conclusions
Author Contributions
Funding
Institutional Review Board Statement
Informed Consent Statement
Data Availability Statement
Conflicts of Interest
References
- Gray, C.A.; Burghardt, R.C.; Johnson, G.A.; Bazer, F.W.; Spencer, T.E. Evidence That Absence of Endometrial Gland Secretions in Uterine Gland Knockout Ewes Compromises Conceptus Survival and Elongation. Reprod. Camb. Engl. 2002, 124, 289–300. [Google Scholar] [CrossRef]
- Bazer, F.W.; Spencer, T.E.; Johnson, G.A.; Burghardt, R.C.; Wu, G. Comparative Aspects of Implantation. Reprod. Camb. Engl. 2009, 138, 195–209. [Google Scholar] [CrossRef] [PubMed]
- Groebner, A.E.; Rubio-Aliaga, I.; Schulke, K.; Reichenbach, H.D.; Daniel, H.; Wolf, E.; Meyer, H.H.D.; Ulbrich, S.E. Increase of Essential Amino Acids in the Bovine Uterine Lumen during Preimplantation Development. Reprod. Camb. Engl. 2011, 141, 685–695. [Google Scholar] [CrossRef] [PubMed]
- Forde, N.; Simintiras, C.A.; Sturmey, R.; Mamo, S.; Kelly, A.K.; Spencer, T.E.; Bazer, F.W.; Lonergan, P. Amino Acids in the Uterine Luminal Fluid Reflects the Temporal Changes in Transporter Expression in the Endometrium and Conceptus during Early Pregnancy in Cattle. PLoS ONE 2014, 9, e100010. [Google Scholar] [CrossRef] [PubMed]
- Thatcher, W.W.; Meyer, M.D.; Danet-Desnoyers, G. Maternal Recognition of Pregnancy. J. Reprod. Fertil.-Suppl. 1995, 49, 15–28. [Google Scholar] [CrossRef]
- Hansen, P.J.; Tríbulo, P. Regulation of Present and Future Development by Maternal Regulatory Signals Acting on the Embryo during the Morula to Blastocyst Transition—Insights from the Cow. Biol. Reprod. 2019, 101, 526–537. [Google Scholar] [CrossRef]
- Zhu, D.; Ott, T.L.; Bazer, F.W. Enzyme-Linked Immunosorbent Assay for Ovine Interferon-τ. J. Interferon Cytokine Res. 1996, 16, 147–150. [Google Scholar] [CrossRef]
- Saugandhika, S.; Sharma, V.; Malik, H.; Saini, S.; Bag, S.; Kumar, S.; Singh, N.K.; Mohanty, A.K.; Malakar, D. Expression and Purification of Buffalo Interferon-Tau and Efficacy of Recombinant Buffalo Interferon-Tau for in Vitro Embryo Development. Cytokine 2015, 75, 186–196. [Google Scholar] [CrossRef]
- Ealy, A.D.; Yang, Q.E. Control of Interferon-Tau Expression during Early Pregnancy in Ruminants. Am. J. Reprod. Immunol. N. Y. N 1989 2009, 61, 95–106. [Google Scholar] [CrossRef]
- Roberts, R. Interferon-Tau, a Type 1 Interferon Involved in Maternal Recognition of Pregnancy. Cytokine Growth Factor Rev. 2007, 18, 403–408. [Google Scholar] [CrossRef]
- Bazer, F.W. Pregnancy Recognition Signaling Mechanisms in Ruminants and Pigs. J. Anim. Sci. Biotechnol. 2013, 4, 23. [Google Scholar] [CrossRef]
- Kowalczyk, A.; Czerniawska-Piątkowska, E.; Wrzecińska, M. The Importance of Interferon-Tau in the Diagnosis of Pregnancy. BioMed Res. Int. 2021, 2021, e9915814. [Google Scholar] [CrossRef] [PubMed]
- Pugliesi, G.; Miagawa, B.T.; Paiva, Y.N.; França, M.R.; Silva, L.A.; Binelli, M. Conceptus-Induced Changes in the Gene Expression of Blood Immune Cells and the Ultrasound-Accessed Luteal Function in Beef Cattle: How Early Can We Detect Pregnancy? Biol. Reprod. 2014, 91, 95. [Google Scholar] [CrossRef] [PubMed]
- Ruhmann, B.; Giller, K.; Hankele, A.K.; Ulbrich, S.E.; Schmicke, M. Interferon-τ Induced Gene Expression in Bovine Hepatocytes during Early Pregnancy. Theriogenology 2017, 104, 198–204. [Google Scholar] [CrossRef] [PubMed]
- Spencer, T.E.; Bazer, F.W. Conceptus Signals for Establishment and Maintenance of Pregnancy. Reprod. Biol. Endocrinol. 2004, 2, 49. [Google Scholar] [CrossRef]
- Shirasuna, K.; Matsumoto, H.; Kobayashi, E.; Nitta, A.; Haneda, S.; Matsui, M.; Kawashima, C.; Kida, K.; Shimizu, T.; Miyamoto, A. Upregulation of Interferon-Stimulated Genes and Interleukin-10 in Peripheral Blood Immune Cells during Early Pregnancy in Dairy Cows. J. Reprod. Dev. 2012, 58, 84–90. [Google Scholar] [CrossRef]
- Toji, N.; Koshi, K.; Furusawa, T.; Takahashi, T.; Ishiguro-Oonuma, T.; Kizaki, K.; Hashizume, K. A Cell-Based Interferon-Tau Assay with an Interferon-Stimulated Gene 15 Promoter. Biomed. Res. Tokyo Jpn. 2018, 39, 13–20. [Google Scholar] [CrossRef]
- Gifford, C.A.; Racicot, K.; Clark, D.S.; Austin, K.J.; Hansen, T.R.; Lucy, M.C.; Davies, C.J.; Ott, T.L. Regulation of Interferon-Stimulated Genes in Peripheral Blood Leukocytes in Pregnant and Bred, Nonpregnant Dairy Cows. J. Dairy Sci. 2007, 90, 274–280. [Google Scholar] [CrossRef]
- Green, J.C.; Okamura, C.S.; Poock, S.E.; Lucy, M.C. Measurement of Interferon-Tau (IFN-Tau) Stimulated Gene Expression in Blood Leukocytes for Pregnancy Diagnosis within 18-20d after Insemination in Dairy Cattle. Anim. Reprod. Sci. 2010, 121, 24–33. [Google Scholar] [CrossRef]
- Kizaki, K.; Shichijo-Kizaki, A.; Furusawa, T.; Takahashi, T.; Hosoe, M.; Hashizume, K. Differential Neutrophil Gene Expression in Early Bovine Pregnancy. Reprod. Biol. Endocrinol. 2013, 11, 6. [Google Scholar] [CrossRef]
- Matsuyama, S.; Kojima, T.; Kato, S.; Kimura, K. Relationship between Quantity of IFNT Estimated by IFN-Stimulated Gene Expression in Peripheral Blood Mononuclear Cells and Bovine Embryonic Mortality after AI or ET. Reprod. Biol. Endocrinol. 2012, 10, 21. [Google Scholar] [CrossRef] [PubMed]
- Thakur, N.; Singh, G.; Paul, A.; Bharati, J.; Rajesh, G.; Gm, V.; Chouhan, V.S.; Bhure, S.K.; Maurya, V.P.; Singh, G.; et al. Expression and Molecular Cloning of Interferon Stimulated Genes in Buffalo (Bubalus Bubalis). Theriogenology 2017, 100, 50–58. [Google Scholar] [CrossRef] [PubMed]
- Xie, S.C.; Low, B.G.; Nagel, R.J.; Kramer, K.K.; Anthony, R.V.; Zoli, A.P.; Beckers, J.F.; Roberts, R.M. Identification of the Major Pregnancy-Specific Antigens of Cattle and Sheep as Inactive Members of the Aspartic Proteinase Family. Proc. Natl. Acad. Sci. USA 1991, 88, 10247–10251. [Google Scholar] [CrossRef] [PubMed]
- Green, J.A.; Xie, S.; Roberts, R.M. Pepsin-Related Molecules Secreted by Trophoblast. Rev. Reprod. 1998, 3, 62–69. [Google Scholar] [CrossRef] [PubMed]
- Barbato, O.; Sousa, N.M.; Klisch, K.; Clerget, E.; Debenedetti, A.; Barile, V.L.; Malfatti, A.; Beckers, J.F. Isolation of New Pregnancy-Associated Glycoproteins from Water Buffalo (Bubalus Bubalis) Placenta by Vicia Villosa Affinity Chromatography. Res. Vet. Sci. 2008, 85, 457–466. [Google Scholar] [CrossRef]
- Barbato, O.; Sousa, N.M.; Debenedetti, A.; Canali, C.; Todini, L.; Beckers, J.F. Validation of a New Pregnancy-Associated Glycoprotein Radioimmunoassay Method for the Detection of Early Pregnancy in Ewes. Theriogenology 2009, 72, 993–1000. [Google Scholar] [CrossRef]
- Barbato, O.; Melo de Sousa, N.; Barile, V.L.; Canali, C.; Beckers, J.-F. Purification of Pregnancy-Associated Glycoproteins from Late-Pregnancy Bubalus Bubalis Placentas and Development of a Radioimmunoassay for Pregnancy Diagnosis in Water Buffalo Females. BMC Vet. Res. 2013, 9, 89. [Google Scholar] [CrossRef]
- Barbato, O.; Menchetti, L.; Sousa, N.M.; Malfatti, A.; Brecchia, G.; Canali, C.; Beckers, J.F.; Barile, V.L. Pregnancy-Associated Glycoproteins (PAGs) Concentrations in Water Buffaloes (Bubalus Bubalis) during Gestation and the Postpartum Period. Theriogenology 2017, 97, 73–77. [Google Scholar] [CrossRef]
- Wallace, R.M.; Pohler, K.G.; Smith, M.F.; Green, J.A. Placental PAGs: Gene Origins, Expression Patterns, and Use as Markers of Pregnancy. Reprod. Camb. Engl. 2015, 149, R115–R126. [Google Scholar] [CrossRef]
- Roberts, R.M.; Xie, S.; Mathialagan, N. Maternal Recognition of Pregnancy. Biol. Reprod. 1996, 54, 294–302. [Google Scholar] [CrossRef]
- Dosogne, H.; Burvenich, C.; Freeman, A.E.; Kehrli, M.E., Jr.; Detilleux, J.C.; Sulon, J.; Beckers, J.-F.; Hoeben, D. Pregnancy-Associated Glycoprotein and Decreased Polymorphonuclear Leukocyte Function in Early Post-Partum Dairy Cows. Vet. Immunol. Immunopathol. 1999, 67, 47–54. [Google Scholar] [CrossRef]
- Del Vecchio, R.P.; Sutherland, W.D.; Sasser, R.G. Bovine Luteal Cell Production in Vitro of Prostaglandin E2, Oxytocin and Progesterone in Response to Pregnancy-Specific Protein B and Prostaglandin F2 Alpha. J. Reprod. Fertil. 1996, 107, 131–136. [Google Scholar] [CrossRef] [PubMed]
- Weems, Y.S.; Lammoglia, M.A.; Vera-Avila, H.R.; Randel, R.D.; Sasser, R.G.; Weems, C.W. Effects of Luteinizing Hormone (LH), PGE2, 8-Epi-PGE1, 8-Epi-PGF2 Alpha, Trichosanthin and Pregnancy Specific Protein B (PSPB) on Secretion of Prostaglandin (PG) E (PGE) or F2 Alpha (PGF2 Alpha) in Vitro by Corpora Lutea (CL) from Nonpregnant and Pregnant Cows. Prostaglandins Other Lipid Mediat. 1998, 55, 359–376. [Google Scholar] [CrossRef]
- Austin, K.J.; King, C.P.; Vierk, J.E.; Sasser, R.G.; Hansen, T.R. Pregnancy-Specific Protein B Induces Release of an Alpha Chemokine in Bovine Endometrium. Endocrinology 1999, 140, 542–545. [Google Scholar] [CrossRef]
- Barile, V.L.; Menchetti, L.; Casano, A.B.; Brecchia, G.; Melo de Sousa, N.; Zelli, R.; Canali, C.; Beckers, J.F.; Barbato, O. Approaches to Identify Pregnancy Failure in Buffalo Cows. Animals 2021, 11, 487. [Google Scholar] [CrossRef] [PubMed]
- Barbato, O.; Menchetti, L.; Brecchia, G.; Barile, V.L. Using Pregnancy-Associated Glycoproteins (PAGs) to Improve Reproductive Management: From Dairy Cows to Other Dairy Livestock. Animals 2022, 12, 2033. [Google Scholar] [CrossRef]
- Karen, A.; Darwish, S.; Ramoun, A.; Tawfeek, K.; Van Hanh, N.; De Sousa, N.; Sulon, J.; Szenci, O.; Beckers, J.-F. Accuracy of Ultrasonography and Pregnancy-Associated Glycoprotein Test for Pregnancy Diagnosis in Buffaloes. Theriogenology 2007, 68, 1150–1155. [Google Scholar] [CrossRef] [PubMed]
- Nguyen, V.H.; Barbato, O.; Bui, X.N.; Beckers, J.-F.; de Sousa, N.M. Assessment of Pregnancy-Associated Glycoprotein (PAG) Concentrations in Swamp Buffalo Samples from Fetal and Maternal Origins by Using Interspecies Antisera. Anim. Sci. J. 2012, 83, 683–689. [Google Scholar] [CrossRef]
- Barbato, O.; Menchetti, L.; Sousa, N.M.; Brecchia, G.; Malfatti, A.; Canali, C.; Beckers, J.-F.; Barile, V.L. Correlation of Two Radioimmunoassay Systems for Measuring Plasma Pregnancy-Associated Glycoproteins Concentrations during Early Pregnancy and Postpartum Periods in Water Buffalo. Reprod. Domest. Anim. 2018, 53, 1483–1490. [Google Scholar] [CrossRef]
- Barile, V.; Terzano, G.; Pacelli, C.; Todini, L.; Malfatti, A.; Barbato, O. LH Peak and Ovulation after Two Different Estrus Synchronization Treatments in Buffalo Cows in the Daylight-Lengthening Period. Theriogenology 2015, 84, 286–293. [Google Scholar] [CrossRef]
- Zoli, A.P.; Beckers, J.F.; Wouters-Ballman, P.; Closset, J.; Falmagne, P.; Ectors, F. Purification and Characterization of a Bovine Pregnancy-Associated Glycoprotein. Biol. Reprod. 1991, 45, 1–10. [Google Scholar] [CrossRef] [PubMed]
- Barbato, O.; Guelfi, G.; Menchetti, L.; Brecchia, G.; Melo de Sousa, N.; Canali, C.; Grandoni, F.; Scatà, M.C.; De Matteis, G.; Casano, A.B.; et al. Investigation of PAG2 MRNA Expression in Water Buffalo Peripheral Blood Mononuclear Cells and Polymorphonuclear Leukocytes from Maternal Blood at the Peri-Implantation Period. Vet. Sci. 2019, 6, 8. [Google Scholar] [CrossRef] [PubMed]
- Bustin, S.A.; Benes, V.; Garson, J.A.; Hellemans, J.; Huggett, J.; Kubista, M.; Mueller, R.; Nolan, T.; Pfaffl, M.W.; Shipley, G.L.; et al. The MIQE Guidelines: Minimum Information for Publication of Quantitative Real-Time PCR Experiments. Clin. Chem. 2009, 55, 611–622. [Google Scholar] [CrossRef] [PubMed]
- Filipescu, I.E.; Leonardi, L.; Menchetti, L.; Guelfi, G.; Traina, G.; Casagrande-Proietti, P.; Piro, F.; Quattrone, A.; Barbato, O.; Brecchia, G. Preventive Effects of Bovine Colostrum Supplementation in TNBS-Induced Colitis in Mice. PLoS ONE 2018, 13, e0202929. [Google Scholar] [CrossRef]
- Livak, K.J.; Schmittgen, T.D. Analysis of Relative Gene Expression Data Using Real-Time Quantitative PCR and the 2(-Delta Delta C(T)) Method. Methods San Diego Calif 2001, 25, 402–408. [Google Scholar] [CrossRef]
- Field, A.P.; Miles, J.; Field, Z. Discovering Statistics Using SPSS, 3rd ed.; SAGE Publications: London, UK, 2009; Volume 81, ISBN 978-1-84787-906-6. [Google Scholar]
- Melo, G.D.; Pinto, L.M.F.; Rocha, C.C.; Motta, I.G.; Silva, L.A.; da Silveira, J.C.; Gonella-Diaza, A.M.; Binelli, M.; Pugliesi, G. Type I Interferon Receptors and Interferon-τ-Stimulated Genes in Peripheral Blood Mononuclear Cells and Polymorphonuclear Leucocytes during Early Pregnancy in Beef Heifers. Reprod. Fertil. Dev. 2020, 32, 953–966. [Google Scholar] [CrossRef]
- Han, H.; Austin, K.J.; Rempel, L.A.; Hansen, T.R. Low Blood ISG15 MRNA and Progesterone Levels Are Predictive of Non-Pregnant Dairy Cows. J. Endocrinol. 2006, 191, 505–512. [Google Scholar] [CrossRef]
- Mishra, S.R.; Sarkar, M. Interferon Stimulated Genes (Isgs): Novel Pregnancy Specific Biomarker In Buffaloes (Bubalus Bubalis). J. Immunol. Sci. 2018, 2, 48–51. [Google Scholar]
- Yankey, S.J.; Hicks, B.A.; Carnahan, K.G.; Assiri, A.M.; Sinor, S.J.; Kodali, K.; Stellflug, J.N.; Stellflug, J.N.; Ott, T.L. Expression of the Antiviral Protein Mx in Peripheral Blood Mononuclear Cells of Pregnant and Bred, Non-Pregnant Ewes. J. Endocrinol. 2001, 170, R7–R11. [Google Scholar] [CrossRef]
- Buragohain, L.; Kumar, R.; Nanda, T.; Phulia, S.K.; Mohanty, A.K.; Kumar, S.; Balhara, S.; Ghuman, S.; Singh, I.; Balhara, A.K. Serum MX2 Protein as Candidate Biomarker for Early Pregnancy Diagnosis in Buffalo. Reprod. Domest. Anim. Zuchthyg. 2016, 51, 453–460. [Google Scholar] [CrossRef]
- Jiemtaweeboon, S.; Shirasuna, K.; Nitta, A.; Kobayashi, A.; Schuberth, H.-J.; Shimizu, T.; Miyamoto, A. Evidence That Polymorphonuclear Neutrophils Infiltrate into the Developing Corpus Luteum and Promote Angiogenesis with Interleukin-8 in the Cow. Reprod. Biol. Endocrinol. 2011, 9, 79. [Google Scholar] [CrossRef] [PubMed]
- Manjari, P.; Hyder, I.; Kapoor, S.; Senthilnathan, M.; Dang, A.K. Exploring the Concentration-Dependent Actions of Interferon-τ on Bovine Neutrophils to Understand the Process of Implantation. J. Cell. Biochem. 2018, 119, 10087–10094. [Google Scholar] [CrossRef]
- Toji, N.; Shigeno, S.; Kizaki, K.; Koshi, K.; Matsuda, H.; Hashiyada, Y.; Imai, K.; Takahashi, T.; Ishiguro-Oonuma, T.; Hashizume, K. Evaluation of Interferon-Stimulated Genes in Peripheral Blood Granulocytes as Sensitive Responders to Bovine Early Conceptus Signals. Vet. J. Lond. Engl. 2017, 229, 37–44. [Google Scholar] [CrossRef]
- Sheikh, A.A.; Hooda, O.K.; Kalyan, A.; Kamboj, A.; Mohammed, S.; Alhussien, M.; Reddi, S.; Shimray, P.G.; Rautela, A.; Pandita, S.; et al. Interferon-Tau Stimulated Gene Expression: A Proxy to Predict Embryonic Mortality in Dairy Cows. Theriogenology 2018, 120, 61–67. [Google Scholar] [CrossRef] [PubMed]
- Panda, B.S.K.; Mohapatra, S.K.; Chaudhary, D.; Alhussien, M.N.; Kapila, R.; Dang, A.K. Proteomics and Transcriptomics Study Reveals the Utility of ISGs as Novel Molecules for Early Pregnancy Diagnosis in Dairy Cows. J. Reprod. Immunol. 2020, 140, 103148. [Google Scholar] [CrossRef] [PubMed]
- Oliveira, J.F.; Henkes, L.E.; Ashley, R.L.; Purcell, S.H.; Smirnova, N.P.; Veeramachaneni, D.N.R.; Anthony, R.V.; Hansen, T.R. Expression of Interferon (IFN)-Stimulated Genes in Extrauterine Tissues during Early Pregnancy in Sheep Is the Consequence of Endocrine IFN-τ Release from the Uterine Vein. Endocrinology 2008, 149, 1252–1259. [Google Scholar] [CrossRef] [PubMed]
- Bott, R.C.; Ashley, R.L.; Henkes, L.E.; Antoniazzi, A.Q.; Bruemmer, J.E.; Niswender, G.D.; Bazer, F.W.; Spencer, T.E.; Smirnova, N.P.; Anthony, R.V.; et al. Uterine Vein Infusion of Interferon Tau (IFNT) Extends Luteal Life Span in Ewes. Biol. Reprod. 2010, 82, 725–735. [Google Scholar] [CrossRef]
- Stevenson, J.L.; Dalton, J.C.; Ott, T.L.; Racicot, K.E.; Chebel, R.C. Correlation between Reproductive Status and Steady-State Messenger Ribonucleic Acid Levels of the Myxovirus Resistance Gene, MX2, in Peripheral Blood Leukocytes of Dairy Heifers. J. Anim. Sci. 2007, 85, 2163–2172. [Google Scholar] [CrossRef] [PubMed]
- Dalmaso de Melo, G.; Mello, B.P.; Ferreira, C.A.; Souto Godoy Filho, C.A.; Rocha, C.C.; Silva, A.G.; Reese, S.T.; Madureira, E.H.; Pohler, K.G.; Pugliesi, G. Applied Use of Interferon-Tau Stimulated Genes Expression in Polymorphonuclear Cells to Detect Pregnancy Compared to Other Early Predictors in Beef Cattle. Theriogenology 2020, 152, 94–105. [Google Scholar] [CrossRef]
- Spencer, T.E.; Bazer, F.W. Biology of Progesterone Action during Pregnancy Recognition and Maintenance of Pregnancy. Front. Biosci.-Landmark 2002, 7, 1879–1898. [Google Scholar] [CrossRef]



| Name | Sequence | NCBI RefSeq | Amplicon |
|---|---|---|---|
| IFNt | AY535404.1 | 99 bp | |
| Probe | 5′-/56-FAM/CCAGGGCAT/ZEN/CCATGTCTTCCTGAA/3IABkFQ/ | ||
| Fw | CCATTCTGACCGTGAAGAAGTA | ||
| Rev | TCATCTCCACTCTGATGATTTCC | ||
| ISG15 | NM_001291322.1 | 95 bp | |
| Probe | 5′-/56-FAM/TGAGGGACT/ZEN/CCATGACAGTATCCGA/3IABkFQ/ | ||
| Fw | CTGAAGGTGAAGATGCTAGGG | ||
| Rev | ATCTTCTGGGCGATGAACTG | ||
| MX2 | KM591576.1 | 100 bp | |
| Probe | 5′/56-FAM/AAGAGGCAC/ZEN/ACTCCGACTTTCCAC/3IABkFQ | ||
| Fw | GTCATGTGGCTGTCCTTCA | ||
| Rev | TGGCTGCTCATGGAAGTAAA | ||
| OAS1 | XM_025267539.1 | 88 bp | |
| Probe | 5′/56FAM/AGCGCCGAG/ZEN/GAGAATTCATCGAAG/3IABkFQ/ | ||
| Fw | GTCGTCTTCCTCACCAATCTC | ||
| Rev | CTTCCAGCTGTCTCCTGATTT | ||
| ACTB | NM_001290932.1 | 99 bp | |
| Probe | 5′/56-FAM/TGGCACCCA/ZEN/GCACAATGAAGATCA/3IABkFQ | ||
| Fw | CGGACAGGATGCAGAAAGA | ||
| Rev | TACTCTGTGTGGATTGGCG |
| Gene | PMNs | PBMCs |
|---|---|---|
| OAS1 | 0.705 *** | 0.611 *** |
| MX2 | 0.639 *** | 0.566 ** |
| ISG15 | 0.379 * | 0.055 |
| IFNt | 0.601 *** | 0.650 *** |
Publisher’s Note: MDPI stays neutral with regard to jurisdictional claims in published maps and institutional affiliations. |
© 2022 by the authors. Licensee MDPI, Basel, Switzerland. This article is an open access article distributed under the terms and conditions of the Creative Commons Attribution (CC BY) license (https://creativecommons.org/licenses/by/4.0/).
Share and Cite
Casano, A.B.; Barile, V.L.; Menchetti, L.; Guelfi, G.; Brecchia, G.; Agradi, S.; De Matteis, G.; Scatà, M.C.; Grandoni, F.; Barbato, O. Interferon Tau (IFNt) and Interferon-Stimulated Genes (ISGs) Expression in Peripheral Blood Leukocytes and Correlation with Circulating Pregnancy-Associated Glycoproteins (PAGs) during Peri-Implantation and Early Pregnancy in Buffalo Cows. Animals 2022, 12, 3068. https://doi.org/10.3390/ani12223068
Casano AB, Barile VL, Menchetti L, Guelfi G, Brecchia G, Agradi S, De Matteis G, Scatà MC, Grandoni F, Barbato O. Interferon Tau (IFNt) and Interferon-Stimulated Genes (ISGs) Expression in Peripheral Blood Leukocytes and Correlation with Circulating Pregnancy-Associated Glycoproteins (PAGs) during Peri-Implantation and Early Pregnancy in Buffalo Cows. Animals. 2022; 12(22):3068. https://doi.org/10.3390/ani12223068
Chicago/Turabian StyleCasano, Anna Beatrice, Vittoria Lucia Barile, Laura Menchetti, Gabriella Guelfi, Gabriele Brecchia, Stella Agradi, Giovanna De Matteis, Maria Carmela Scatà, Francesco Grandoni, and Olimpia Barbato. 2022. "Interferon Tau (IFNt) and Interferon-Stimulated Genes (ISGs) Expression in Peripheral Blood Leukocytes and Correlation with Circulating Pregnancy-Associated Glycoproteins (PAGs) during Peri-Implantation and Early Pregnancy in Buffalo Cows" Animals 12, no. 22: 3068. https://doi.org/10.3390/ani12223068
APA StyleCasano, A. B., Barile, V. L., Menchetti, L., Guelfi, G., Brecchia, G., Agradi, S., De Matteis, G., Scatà, M. C., Grandoni, F., & Barbato, O. (2022). Interferon Tau (IFNt) and Interferon-Stimulated Genes (ISGs) Expression in Peripheral Blood Leukocytes and Correlation with Circulating Pregnancy-Associated Glycoproteins (PAGs) during Peri-Implantation and Early Pregnancy in Buffalo Cows. Animals, 12(22), 3068. https://doi.org/10.3390/ani12223068

