Sign in to use this feature.

Years

Between: -

Subjects

remove_circle_outline
remove_circle_outline
remove_circle_outline
remove_circle_outline
remove_circle_outline
remove_circle_outline
remove_circle_outline

Journals

Article Types

Countries / Regions

Search Results (11)

Search Parameters:
Keywords = IDF formula

Order results
Result details
Results per page
Select all
Export citation of selected articles as:
33 pages, 3658 KB  
Article
Personalized Canine Diet Generation Using Machine Learning and Constraint Optimization
by Aliya Kalykulova, Kuanysh Bakirov, Aruzhan Shoman, Kadyrzhan Makangali and Gulzhan Tokysheva
Informatics 2026, 13(3), 34; https://doi.org/10.3390/informatics13030034 - 25 Feb 2026
Viewed by 356
Abstract
The growing demand for customized pet diets highlights the shortcomings of commercial dog foods designed for all breeds, especially when it comes to addressing breed-specific diseases, metabolic disorders, and health risks. This research presents the development and evaluation of a hybrid system for [...] Read more.
The growing demand for customized pet diets highlights the shortcomings of commercial dog foods designed for all breeds, especially when it comes to addressing breed-specific diseases, metabolic disorders, and health risks. This research presents the development and evaluation of a hybrid system for formulating wet canine food recipes. The system combines data on ingredients, veterinary feeds, and breed-related diseases; the architecture includes a recommendation module for ingredient selection and a linear programming block for recipe optimization, considering veterinary nutrient restrictions. The evaluation of the system included automatic classification of foods by specialization, visual analysis of recipe clustering, and comparison of formulas obtained by different models. The average precision of label recovery was 85.4% for TF-IDF and 88.2% for the E5 model. A comparison of ingredient extraction methods showed that machine learning produces more stable recipes, while the statistical approach provides greater variability. The developed system demonstrates potential for automating recipe creation, filling in missing data, and developing veterinary decision support platforms aimed at personalized diet selection based on the physiological needs of animals. Full article
(This article belongs to the Topic Decision Science Applications and Models (DSAM))
Show Figures

Figure 1

15 pages, 3126 KB  
Article
Excess Rainfall-Based Derivation of Intensity–Duration–Frequency Curves
by Enrico Creaco
Water 2025, 17(23), 3428; https://doi.org/10.3390/w17233428 - 2 Dec 2025
Viewed by 689
Abstract
This paper presents an innovative derivation of intensity–duration–frequency (IDF) curves, which play a crucial role in the design of hydraulic infrastructures. IDF curves are herein derived from excess rainfall, that is, the net rainfall obtained by removing abstractions related to hydrological losses from [...] Read more.
This paper presents an innovative derivation of intensity–duration–frequency (IDF) curves, which play a crucial role in the design of hydraulic infrastructures. IDF curves are herein derived from excess rainfall, that is, the net rainfall obtained by removing abstractions related to hydrological losses from total gross rainfall. When long fine fine-resolution time series of rainfall depth are available at a site, excess rainfall can be obtained by applying a simplified hydrological model of a catchment, including solely the gross-excess rainfall conversion. The application of annual maxima (AM) analysis on excess rainfall intensity data enables the construction of excess rainfall-based intensity–duration–frequency (ERIDF) curves. For assigned rainfall event criticality (return period) and duration, these curves directly provide the associated excess rainfall intensity value. This results in a better preservation of the return period in the rainfall–runoff transformation when used inside the rational formula for estimating peak water discharge, in comparison with the conventional approach adopted by practitioners, based on derivation of IDF curves and on the application of runoff coefficient for gross-excess rainfall conversion inside the rational formula. Full article
(This article belongs to the Section Hydrology)
Show Figures

Figure 1

14 pages, 1360 KB  
Article
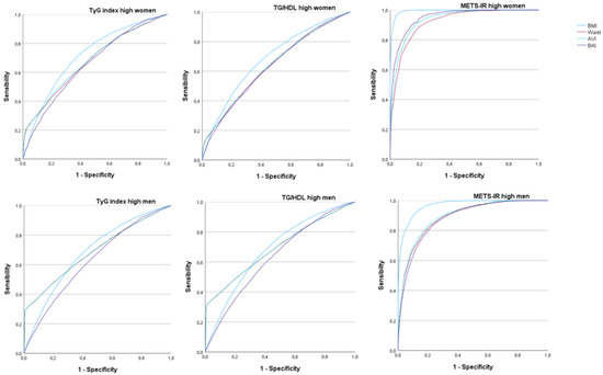
Relationship between Abdominal Volume Index and Body Adiposity Index and Scales of Insulin Resistance and Metabolic Syndrome
by José Ignacio Ramírez-Manent, Ángel Arturo López-González, Pilar Tomás-Gil, Pere Riutord-Sbert, Lucía Garrido-Sepulveda and María Teofila Vicente-Herrero
Diagnostics 2023, 13(21), 3356; https://doi.org/10.3390/diagnostics13213356 - 31 Oct 2023
Cited by 9 | Viewed by 3852
Abstract
Introduction, objectives: Obesity is a global health problem with a great negative impact on health. Among the pathologies caused by obesity are insulin resistance and metabolic syndrome, which constitute an increasingly common health problem in both developed and developing countries. The aim of [...] Read more.
Introduction, objectives: Obesity is a global health problem with a great negative impact on health. Among the pathologies caused by obesity are insulin resistance and metabolic syndrome, which constitute an increasingly common health problem in both developed and developing countries. The aim of this study was to examine the relationship between two scales that assess obesity—based on hip circumference—and metabolic syndrome (MetS) and insulin resistance risk scales as predictors of these alterations. Materials, methods: A descriptive, cross-sectional study was carried out on 193,462 workers from different Spanish regions and work groups between January 2019 and September 2021. Abdominal volume index (AVI) and body adiposity index (BAI) were evaluated to assess obesity and its association with insulin resistance using three risk scales (TyG index, Triglycerides/HDL, and METS-IR), while their association with metabolic syndrome was determined using the NCEP ATP III, IDF, and JIS models. Results: The results of the ROC curves to determine the predictive value of BAI and AVI in relation to the three criteria evaluated to calculate MetS in all instances presented a higher area under the curve (AUC) for AVI. The high values of AVI stand out for predicting MetS when applying the IDF criteria. The cut-off point in women was 13.70 with a Youden index of 0.802, whereas in men, the cut-off point was set at 17.59 with a Youden index of 0.672. Regarding the relationship of BAI and AVI with insulin resistance risk scales for both sexes, the AUC only revealed high values when using the METS-IR formula for both AVI and BAI. The AVI cut-off points to predict high values of insulin resistance risk scales in women were established at 13.12 with a Youden index of 0.722. In men, the cut-off point was 17.59, with a Youden index of 0.626. The BAI cut-off points in women were set at 33.88 with a Youden index of 0.748. In men, the cut-off point was 27.91, with a Youden index of 0.598. Conclusions: AVI demonstrated its value as a predictor of metabolic syndrome while exclusively applying the IDF criteria. AVI and BAI demonstrated their value as predictors of high values of insulin resistance risk scales only in the case of METS-IR. This predictive value is also higher in women. Full article
(This article belongs to the Section Pathology and Molecular Diagnostics)
Show Figures

Figure 1

15 pages, 1352 KB  
Article
Research on a Hotel Collaborative Filtering Recommendation Algorithm Based on the Probabilistic Language Term Set
by Erwei Wang, Yingyin Chen and Yumin Li
Mathematics 2023, 11(19), 4106; https://doi.org/10.3390/math11194106 - 28 Sep 2023
Cited by 10 | Viewed by 2693
Abstract
In the face of problems such as information overload and the information cocoon resulting from big data, it is a key point of current research to solve the problem of semantic fuzziness of online reviews and improve the accuracy of personalized recommendation algorithms [...] Read more.
In the face of problems such as information overload and the information cocoon resulting from big data, it is a key point of current research to solve the problem of semantic fuzziness of online reviews and improve the accuracy of personalized recommendation algorithms by using online reviews. Based on the advantage of the probabilistic language term set to deal with fuzzy information and the historical data of online hotel reviews, this paper proposes a collaborative filtering recommendation algorithm for hotels. Firstly, the text data of hotel online reviews are crawled by a crawler and processed by jieba and TF-IDF tools. Secondly, the hotel evaluation attribute set is constructed, and the sentiment analysis of the review statements is carried out with the help of the HowNet sentiment dictionary and manual annotation method. The probabilistic language term set is used to classify the data and derive statistics, and the maximum deviation method is used to determine the weight of each attribute. Then, the cosine similarity formula is fused with the modified cosine similarity formula to calculate the similarity and construct the decision matrix. Finally, combined with the historical data of the user’s hotel selection, the hotel recommendation results are generated. This paper collected review data from 10 hotels in Macau from the official “Ctrip” website. The proposed recommendation algorithm model was then applied to process and analyze the data, resulting in the generation of a ranked list of hotel recommendations. To validate the accuracy and effectiveness of this research, the recommendation results were compared with those produced by other algorithms. Full article
(This article belongs to the Special Issue Applications of Big Data Analysis and Modeling)
Show Figures

Figure 1

9 pages, 249 KB  
Article
The Role of Pharmacists and Community Pharmacies in the Screening, Knowledge, and Awareness of Diabetes Mellitus Type 2 in Jordanian People Visiting Community Pharmacies
by Anas Khaleel, Mona Abu-Asal, Abdullah Bassam Zakariea, Rowan Alejielat and Anas Z. Al-Nweiran
J. Clin. Med. 2023, 12(3), 923; https://doi.org/10.3390/jcm12030923 - 24 Jan 2023
Cited by 7 | Viewed by 2626
Abstract
Background: According to the International Diabetes Federation (IDF), diabetes is increasing exponentially worldwide and will become more prevalent than ever in the Middle East by 2045, with a 110% increase. This study aims to clarify the role of pharmacists and community pharmacies in [...] Read more.
Background: According to the International Diabetes Federation (IDF), diabetes is increasing exponentially worldwide and will become more prevalent than ever in the Middle East by 2045, with a 110% increase. This study aims to clarify the role of pharmacists and community pharmacies in the screening, knowledge, and awareness of Type 2 diabetes among Jordanian people who visit community pharmacies in Amman, Jordan. Methods: Study design: This was a cross-sectional prospective study that was conducted from September to December 2021 in Amman, Jordan. Data were collected using a standardized questionnaire that was composed of multiple parts. The first part collected information on demographics, residence, educational level, and insurance status; the second part was composed of 14 knowledge assessing questions; the last part was composed of the American Diabetes Association (ADA) diabetes risk score card test. Additionally, after confirming that each participant had returned their completed sheets, participants who scored greater than 5 had their blood sugar levels checked using a finger-prick blood test. The questionnaire was administered in person by a trained researcher. Using Slovin’s formula, a 95% confidence interval (CI), and a 0.05 margin of error, the sample size was determined to be 267 participants. The study included 305 participants. Descriptive and regression analyses were performed by using the Statistical Package for Social Science (SPSS) with a significance level of p < 0.05. Results: A significant relationship was found between specialty (medical education) and the knowledge of risk factors for Type 2 diabetes mellitus (T2DM), (p < 0.012). In terms of knowledge, from a total of 13 correct knowledge points (13 marks for correct answers out of 14), some subjects scored slightly higher than others (n = 175; 57.4% of participants scored above 7, nearly over half of the correct answers, compared to n = 130; 42.6% scoring below 7). We found 132 individuals (44%) with risk scores of five or above (high risk for developing T2DM according to ADA). Smokers comprised n = 138, 45%, and nonsmokers comprised n = 148, 48%. Although 50.5% of the participants (n = 154) held a bachelor’s, master’s, or doctorate degree, these degrees did not improve the participants’ overall general knowledge levels. The association was tested using chi-squared analysis, but no significance was found. Conclusions: Random visitors to Jordanian community pharmacies are expected to benefit from awareness and educational campaigns. These test results revealed a lack of knowledge, indicating the need for education to dispel myths and highlight the serious risks associated with T2DM. The study discovered that participants’ understanding of diabetes disease prevention through lifestyle and dietary changes was inadequate. A specialist-led educational program may increase knowledge among visitors who participate. In order to prevent the spread of diabetes, more campaigns and health-promoting and prevention educational activities are required. Full article
(This article belongs to the Special Issue Clinical Research and Management of Diabetes Complications)
12 pages, 670 KB  
Article
Waist Circumference Is an Essential Factor in Predicting Insulin Resistance and Early Detection of Metabolic Syndrome in Adults
by José Ignacio Ramírez-Manent, Andrés Martínez Jover, Caroline Silveira Martinez, Pilar Tomás-Gil, Pau Martí-Lliteras and Ángel Arturo López-González
Nutrients 2023, 15(2), 257; https://doi.org/10.3390/nu15020257 - 4 Jan 2023
Cited by 68 | Viewed by 6666
Abstract
Background: Metabolic syndrome (Met-S) is considered one of the most important health problems of the 21st century. It includes a group of metabolic disorders that increase the risk of cardiovascular diseases such as overweight and obesity, elevated lipid profile and blood pressure and [...] Read more.
Background: Metabolic syndrome (Met-S) is considered one of the most important health problems of the 21st century. It includes a group of metabolic disorders that increase the risk of cardiovascular diseases such as overweight and obesity, elevated lipid profile and blood pressure and insulin resistance (IR). Based on the information mentioned above in which there seems to be a relationship between IR and Met-S, the objective of this work was twofold: on the one hand, to assess the relationship between the values of different insulin resistance risk scales and Met-S determined with three different scales, and on the other, to determine whether any of the components of Met-S predispose more to the appearance of IR. Methods: A descriptive cross-sectional study of 418,343 workers. Waist circumference was measured and evaluated together with six formulas to assess the insulin resistance index. Categorical variables were evaluated by calculating the frequency and distribution of each one. For quantitative variables, mean and standard deviation were determined, and Student’s t-test was applied, while for qualitative variables, the chi-square test was performed. The usefulness of the different risk scales for insulin resistance for predicting metabolic syndrome was evaluated using ROC curves, the area under the curve (AUC), as well as their cut-off points for sensitivity, specificity, and the Youden index. Results: People with metabolic syndrome applying any criteria had higher values in the IR risk scales. The different IR scales made it possible to adequately classify people with metabolic syndrome. Of the three definitions of Met-S, the one that showed the greatest relationship with IR was IDF. Conclusions: Most risk scales for insulin resistance enable the presence of metabolic syndrome to be adequately classified, finding the best ones if the International Diabetes Federation (IDF) criteria are applied. Of the elements included in the Met-S, the one that seems to increase the risk of presenting IR the most is waist circumference; hence, the Met-S definition that is most related to IR is that of the IDF, which is the only one of the three in which a high value of waist circumference is necessary to be able to diagnose Met-S. Waist circumference can be considered the central essential component for detecting insulin resistance and, therefore, the early detection of metabolic syndrome. Full article
(This article belongs to the Topic Metabolism and Health)
Show Figures

Figure 1

15 pages, 4566 KB  
Article
Developing Intensity-Duration-Frequency (IDF) Curves Based on Rainfall Cumulative Distribution Frequency (CDF) for Can Tho City, Vietnam
by Huynh Vuong Thu Minh, Kim Lavane, Le Thi Lanh, Lam Van Thinh, Nguyen Phuoc Cong, Tran Van Ty, Nigel K. Downes and Pankaj Kumar
Earth 2022, 3(3), 866-880; https://doi.org/10.3390/earth3030050 - 1 Aug 2022
Cited by 13 | Viewed by 7106
Abstract
Information on the relationship between rainfall intensity, duration and accumulation frequency or return period (IDF) is commonly utilized in the design and management of urban drainage systems. Can Tho City, located in the Vietnamese Mekong Delta, is a city which has recently invested [...] Read more.
Information on the relationship between rainfall intensity, duration and accumulation frequency or return period (IDF) is commonly utilized in the design and management of urban drainage systems. Can Tho City, located in the Vietnamese Mekong Delta, is a city which has recently invested heavily in upgrading its stormwater drainage systems in the hope of preventing reoccurring flood events. Yet, much of these works were designed based on obsolete and outdated IDF rainfall curves. This paper presents an updated IDF curve for design rainfall for Can Tho City. For each duration and designated return period, a cumulative distribution function (CDF) was developed using the Pearson III, Log-Pearson III, and Log-Normal distribution functions. In order to choose the best IDF rainfall curve for Can Tho City, the CDF rainfall curve and empirical formulas used in Vietnam and Asia (Vietnamese standard 7957:2008, Department of Hydrology, Ministry of Transportation, Talbot, Kimijima, and Bermard) were compared. The goodness of fit between the IDF relationship generated by the frequency analysis (CDF curve), and that predicted by the IDF empirical formulas was assessed using the efficiency index (EI), and the root mean squared error (RMSE). The IDF built from Vietnam’s standard TCVN 7957:2008 with new parameters (A = 9594, C = 0.5, b = 26, n = 0.96) showed the best performance, with the highest values of EI (0.84 EI 0.93) and the lowest values of RMSE (2.5 RMSE 3.2), when compared to the other remnants. Full article
Show Figures

Figure 1

17 pages, 4614 KB  
Article
Comparative Analysis of Developed Rainfall Intensity–Duration–Frequency Curves for Erbil with Other Iraqi Urban Areas
by Dalshad Ahmed Kareem, Aumed Rahman M Amen, Andam Mustafa, Mehmet Ishak Yüce and Michał Szydłowski
Water 2022, 14(3), 419; https://doi.org/10.3390/w14030419 - 29 Jan 2022
Cited by 26 | Viewed by 9783
Abstract
Rainfall Intensity–Duration–Frequency (IDF) relationships are widely used in water infrastructure design and construction. IDF curves represent the relationship between rainfall intensity, duration, and frequency, and are obtained by analyzing observed data. These relationships are critical for the safe design of flood protection structures, [...] Read more.
Rainfall Intensity–Duration–Frequency (IDF) relationships are widely used in water infrastructure design and construction. IDF curves represent the relationship between rainfall intensity, duration, and frequency, and are obtained by analyzing observed data. These relationships are critical for the safe design of flood protection structures, storm sewers, culverts, bridges, etc. In this study, the IDF curves and empirical IDF formulas for the city of Erbil were developed for the first time by employing the annual maximum rainfall data for a period of 39 years (1980–2018), which is the only available recorded data. Statistical techniques such as Gumbel and Log-Pearson Type III (LPT III) were utilized to determine the IDF curves and empirical equations from daily rainfall data for several standard durations and return periods. The correlation between the rainfall intensities obtained from IDF curves and the empirical formula presented a reliable match, with a coefficient of determination of (R2 = 1). The results were compared to previously developed IDF curves and empirical formulas in Iraqi cities to show their reliability. Moreover, the results can be an initial step for authorities to establish required guidelines in the studied area, and in the design process of the storm water infrastructure of urban basins in the future. Full article
(This article belongs to the Section Hydrology)
Show Figures

Figure 1

22 pages, 5635 KB  
Article
Urban Flood Analysis in Ungauged Drainage Basin Using Short-Term and High-Resolution Remotely Sensed Rainfall Records
by Zhihua Zhu, Yueying Yang, Yanpeng Cai and Zhifeng Yang
Remote Sens. 2021, 13(11), 2204; https://doi.org/10.3390/rs13112204 - 4 Jun 2021
Cited by 5 | Viewed by 3773
Abstract
Analyzing flooding in urban areas is a great challenge due to the lack of long-term rainfall records. This study hereby seeks to propose a modeling framework for urban flood analysis in ungauged drainage basins. A platform called “RainyDay” combined with a nine-year record [...] Read more.
Analyzing flooding in urban areas is a great challenge due to the lack of long-term rainfall records. This study hereby seeks to propose a modeling framework for urban flood analysis in ungauged drainage basins. A platform called “RainyDay” combined with a nine-year record of hourly, 0.1° remotely sensed rainfall data are used to generate extreme rainfall events. These events are used as inputs to a hydrological model. The comprehensive characteristics of urban flooding are reflected through the projection pursuit method. We simulate runoff for different return periods for a typical urban drainage basin. The combination of RainyDay and short-record remotely sensed rainfall can reproduce recent observed rainfall frequencies, which are relatively close to the design rainfall calculated by the intensity-duration-frequency formula. More specifically, the design rainfall is closer at high (higher than 20-yr) return period or long duration (longer than 6 h). Contrasting with the flood-simulated results under different return periods, RainyDay-based estimates may underestimate the flood characteristics under low return period or short duration scenarios, but they can reflect the characteristics with increasing duration or return period. The proposed modeling framework provides an alternative way to estimate the ensemble spread of rainfall and flood estimates rather than a single estimate value. Full article
Show Figures

Graphical abstract

14 pages, 2078 KB  
Article
Melatonin Potentiates the Therapeutic Effects of Metformin in Women with Metabolic Syndrome
by Sattar J. Abood, Waleed K. Abdulsahib, Saad A. Hussain and Sajida H. Ismail
Sci. Pharm. 2020, 88(2), 28; https://doi.org/10.3390/scipharm88020028 - 3 Jun 2020
Cited by 19 | Viewed by 9188
Abstract
Objective: This study evaluated the effect of melatonin on the response of patients suffering from metabolic syndrome (MEBS) treated with metformin. Design: This study used two-armed groups in a double-blind, randomized controlled clinical trial. Materials and Methods: A randomized double-blind placebo-controlled study was [...] Read more.
Objective: This study evaluated the effect of melatonin on the response of patients suffering from metabolic syndrome (MEBS) treated with metformin. Design: This study used two-armed groups in a double-blind, randomized controlled clinical trial. Materials and Methods: A randomized double-blind placebo-controlled study was carried out on female patients diagnosed as having MEBS, according to the International Diabetes Federation (IDF) diagnosing criteria of MEBS (2005), from the outpatient clinic in Al-Zahraa Teaching Hospital/Kut, Iraq. They were diagnosed utilizing laboratory and clinical investigations, then randomized into two groups. The first group (group A) was treated with metformin (500 mg) twice daily, in addition to a placebo formula once daily at bedtime for three months. The second group (group B) was treated with metformin (500 mg) twice daily after meals, in addition to melatonin (10 mg) once daily at bedtime for three months. Results: The treatment of patients with MEBS using metformin–melatonin showed an improvement in most MEBS components such as fasting serum glucose (FSG), lipid profile, and body mass index (BMI), in addition to a reduction in insulin resistance and hyperinsulinemia. Simultaneously, there were increments in serum uric acid (UA), leptin, prolactin (PRL), and estradiol levels, while serum progesterone level decreased. Furthermore, patients treated with metformin–placebo showed less improvement in the studied parameters compared to that produced due to the inclusion of melatonin in the treatment protocol. Conclusion: Melatonin improves the effect of metformin on several components of MEBS such as FSG, lipid profile, and BMI, in addition to insulin resistance and hyperinsulinemia, compared to metformin alone. Full article
Show Figures

Figure 1

14 pages, 1289 KB  
Technical Note
Physical Parameterization of IDF Curves Based on Short-Duration Storms
by Alfonso Gutierrez-Lopez, Sergio Bernardo Jimenez Hernandez and Carlos Escalante Sandoval
Water 2019, 11(9), 1813; https://doi.org/10.3390/w11091813 - 30 Aug 2019
Cited by 12 | Viewed by 10292
Abstract
Intensity–duration–frequency (IDF) curves are empirical mathematical formulations that have been used for years in engineering for planning, design, and operation of hydraulic projects. The expression proposed by Sherman (1931) has been validated and used largely by many researchers. In all cases, the four [...] Read more.
Intensity–duration–frequency (IDF) curves are empirical mathematical formulations that have been used for years in engineering for planning, design, and operation of hydraulic projects. The expression proposed by Sherman (1931) has been validated and used largely by many researchers. In all cases, the four parameters of this formulation are obtained through a numerical procedure. Although these parameters are obtained from historical rainfall observations, the optimization of these parameters implies an infinite combination between them and all those solutions would be valid. Of the four parameters, only one of them (C) has units, and for this reason, a physical sense of parameter C is searched for. Having certainty that some of them can be measured in situ would represent a great advance for modern hydrology. With data from 523 storms monitored every minute, a parametric adjustment was made to the Sherman equation and the typical duration of storms at each site was also obtained. To demonstrate how rainfall intensities vary with the change in C value, rainfall intensities calculations for of 5, 10, 15, and 20 min rainfall duration are used to validate the proposed methodology. The results show that typical storm duration is correlated with the additive parameter of Sherman’s formula. Full article
(This article belongs to the Special Issue Urban Rainfall Analysis and Flood Management)
Show Figures

Figure 1

Back to TopTop