Sign in to use this feature.

Years

Between: -

Subjects

remove_circle_outline
remove_circle_outline
remove_circle_outline
remove_circle_outline
remove_circle_outline

Journals

Article Types

Countries / Regions

Search Results (11)

Search Parameters:
Keywords = Horn-Schunck method

Order results
Result details
Results per page
Select all
Export citation of selected articles as:
19 pages, 2281 KB  
Article
Melt-Pool Dynamics Quantification in LPBF via Move Contrast X-Ray Imaging
by Zenghao Song, Chengcong Ma, Yuelu Chen, Ke Li, Feixiang Wang and Tiqiao Xiao
Metals 2026, 16(5), 487; https://doi.org/10.3390/met16050487 - 30 Apr 2026
Viewed by 365
Abstract
The dynamic behavior within the melt pool governs the final quality of components fabricated by laser powder bed fusion (LPBF). To address key technical challenges—rapid keyhole evolution, low absorption contrast from metal vapor, and difficulties in quantifying internal flow fields—this study introduces move [...] Read more.
The dynamic behavior within the melt pool governs the final quality of components fabricated by laser powder bed fusion (LPBF). To address key technical challenges—rapid keyhole evolution, low absorption contrast from metal vapor, and difficulties in quantifying internal flow fields—this study introduces move contrast X-ray imaging (MCXI), a technique leveraging time-series frequency characteristics. Combined with a multi-scale Horn–Schunck global optical flow method, MCXI enables full-field quantitative extraction of the melt-pool velocity field. Experimental validation across feature points shows a relative deviation of less than 2% compared to independent manual feature-point tracking, confirming consistency with the best available experimental ground truth. Analysis reveals the keyhole tail evolution cycle comprises three distinct dynamic stages: expansion, stratification, and contraction, with its area increasing from 1329 μm2 to 6508 μm2 before stabilizing. For the first time, pore pinch-off events were quantitatively measured, revealing front and rear wall collision velocities of 7.98 m/s and 8.04 m/s, respectively, consistent with available high-fidelity simulations. Furthermore, analysis of the overall melt-pool momentum field demonstrates a near-equal distribution of positive and negative momentum, providing an internal self-consistency check confirming the absence of systematic directional bias in the extracted velocity field. This study enables quantitative analysis of LPBF melt-pool dynamics, providing a novel tool for process optimization and defect control. Full article
Show Figures

Figure 1

16 pages, 1943 KB  
Article
Exploring Optical Flow Methods for Automated Fall Detection System
by Simeon Karpuzov, Stiliyan Kalitzin, Stefan Tabakov, Dobromir Tsolyov and Georgi Petkov
Information 2026, 17(3), 300; https://doi.org/10.3390/info17030300 - 20 Mar 2026
Viewed by 414
Abstract
Falls pose severe risks to vulnerable populations, particularly the elderly and individuals with adverse neurological conditions, necessitating reliable and non-obstructive detection systems. While previous multi-modal approaches utilizing video and audio have demonstrated strong performance, they face significant limitations regarding sensitivity to environmental noise. [...] Read more.
Falls pose severe risks to vulnerable populations, particularly the elderly and individuals with adverse neurological conditions, necessitating reliable and non-obstructive detection systems. While previous multi-modal approaches utilizing video and audio have demonstrated strong performance, they face significant limitations regarding sensitivity to environmental noise. This paper presents a robust, video-only fall detection framework that eliminates reliance on acoustic data to enhance universality. We conduct a comprehensive comparative analysis of five optical flow (OF) algorithms—Horn–Schunck, Lucas–Kanade (LK), LK-Derivative of Gaussian, Farneback, and the spectral method SOFIA—to determine the range of applicability of each technique for capturing fall dynamics. Beyond detection accuracy, we investigate the computational efficiency of each configuration. This optimized, privacy-centric pipeline offers a scalable solution for continuous monitoring in home and clinical settings, addressing the critical need for immediate intervention following high-impact falls. Full article
Show Figures

Figure 1

22 pages, 4353 KB  
Article
Soil Particle Size Estimation via Optical Flow and Potential Function Analysis for Dam Seepage and Building Monitoring
by Shuangping Li, Lin Gao, Bin Zhang, Zuqiang Liu, Xin Zhang, Linjie Guan and Han Tang
Buildings 2025, 15(11), 1800; https://doi.org/10.3390/buildings15111800 - 24 May 2025
Cited by 1 | Viewed by 1066
Abstract
Soil particle size distribution is a critical parameter in geotechnical and hydraulic engineering, particularly in applications such as dam seepage monitoring, building foundation assessments, and sediment transport. This study presents a novel algorithm for estimating soil particle sizes by analyzing their falling velocities [...] Read more.
Soil particle size distribution is a critical parameter in geotechnical and hydraulic engineering, particularly in applications such as dam seepage monitoring, building foundation assessments, and sediment transport. This study presents a novel algorithm for estimating soil particle sizes by analyzing their falling velocities in water, combining optical flow computation with chaotic motion analysis. To address the limitations of the classical Horn and Schunck method, particularly its sensitivity to large displacements and brightness variations, we introduced a coarse-to-fine warping strategy, an image decomposition step to separate dominant structures from fine textures, and the Charbonnier penalty function. The improved model achieved competitive accuracy compared to advanced optical flow algorithms. To manage turbulence and motion noise during particle settling, we incorporated a global flow analysis framework using streaklines, streak flow, and potential functions. This enabled the segmentation of laminar, turbulent, and rebound flow regions without requiring individual particle tracking. Soil particle sizes were then back-calculated from laminar flow velocities using Stokes’ Law. Experimental results confirmed the method’s accuracy for particle sizes ranging from 20 mm to 0.7 mm, significantly extending the measurable range of Sedimaging systems. The proposed approach shows strong potential for integration into dam-related particle monitoring applications and building-related monitoring systems requiring fine-resolution analysis. Full article
Show Figures

Figure 1

19 pages, 5666 KB  
Article
A Novel Moving Object Detection Algorithm Based on Robust Image Feature Threshold Segmentation with Improved Optical Flow Estimation
by Jing Ding, Zhen Zhang, Xuexiang Yu, Xingwang Zhao and Zhigang Yan
Appl. Sci. 2023, 13(8), 4854; https://doi.org/10.3390/app13084854 - 12 Apr 2023
Cited by 13 | Viewed by 3859
Abstract
The detection of moving objects in images is a crucial research objective; however, several challenges, such as low accuracy, background fixing or moving, ‘ghost’ issues, and warping, exist in its execution. The majority of approaches operate with a fixed camera. This study proposes [...] Read more.
The detection of moving objects in images is a crucial research objective; however, several challenges, such as low accuracy, background fixing or moving, ‘ghost’ issues, and warping, exist in its execution. The majority of approaches operate with a fixed camera. This study proposes a robust feature threshold moving object identification and segmentation method with enhanced optical flow estimation to overcome these challenges. Unlike most optical flow Otsu segmentation for fixed cameras, a background feature threshold segmentation technique based on a combination of the Horn–Schunck (HS) and Lucas–Kanade (LK) optical flow methods is presented in this paper. This approach aims to obtain the segmentation of moving objects. First, the HS and LK optical flows with the image pyramid are integrated to establish the high-precision and anti-interference optical flow estimation equation. Next, the Delaunay triangulation is used to solve the motion occlusion problem. Finally, the proposed robust feature threshold segmentation method is applied to the optical flow field to attract the moving object, which is the. extracted from the Harris feature and the image background affine transformation model. The technique uses morphological image processing to create the final moving target foreground area. Experimental results verified that this method successfully detected and segmented objects with high accuracy when the camera was either fixed or moving. Full article
(This article belongs to the Section Computing and Artificial Intelligence)
Show Figures

Figure 1

19 pages, 27878 KB  
Article
Hybrid Classifiers for Spatio-Temporal Abnormal Behavior Detection, Tracking, and Recognition in Massive Hajj Crowds
by Tarik Alafif, Anas Hadi, Manal Allahyani, Bander Alzahrani, Areej Alhothali, Reem Alotaibi and Ahmed Barnawi
Electronics 2023, 12(5), 1165; https://doi.org/10.3390/electronics12051165 - 28 Feb 2023
Cited by 38 | Viewed by 6425
Abstract
Individual abnormal behaviors vary depending on crowd sizes, contexts, and scenes. Challenges such as partial occlusions, blurring, a large number of abnormal behaviors, and camera viewing occur in large-scale crowds when detecting, tracking, and recognizing individuals with abnormalities. In this paper, our contribution [...] Read more.
Individual abnormal behaviors vary depending on crowd sizes, contexts, and scenes. Challenges such as partial occlusions, blurring, a large number of abnormal behaviors, and camera viewing occur in large-scale crowds when detecting, tracking, and recognizing individuals with abnormalities. In this paper, our contribution is two-fold. First, we introduce an annotated and labeled large-scale crowd abnormal behavior Hajj dataset, HAJJv2. Second, we propose two methods of hybrid convolutional neural networks (CNNs) and random forests (RFs) to detect and recognize spatio-temporal abnormal behaviors in small and large-scale crowd videos. In small-scale crowd videos, a ResNet-50 pre-trained CNN model is fine-tuned to verify whether every frame is normal or abnormal in the spatial domain. If anomalous behaviors are observed, a motion-based individual detection method based on the magnitudes and orientations of Horn–Schunck optical flow is proposed to locate and track individuals with abnormal behaviors. A Kalman filter is employed in large-scale crowd videos to predict and track the detected individuals in the subsequent frames. Then, means and variances as statistical features are computed and fed to the RF classifier to classify individuals with abnormal behaviors in the temporal domain. In large-scale crowds, we fine-tune the ResNet-50 model using a YOLOv2 object detection technique to detect individuals with abnormal behaviors in the spatial domain. The proposed method achieves 99.76% and 93.71% of average area under the curves (AUCs) on two public benchmark small-scale crowd datasets, UMN and UCSD, respectively, while the large-scale crowd method achieves 76.08% average AUC using the HAJJv2 dataset. Our method outperforms state-of-the-art methods using the small-scale crowd datasets with a margin of 1.66%, 6.06%, and 2.85% on UMN, UCSD Ped1, and UCSD Ped2, respectively. It also produces an acceptable result in large-scale crowds. Full article
(This article belongs to the Topic Computer Vision and Image Processing)
Show Figures

Figure 1

21 pages, 140129 KB  
Article
An Epipolar HS-NCC Flow Algorithm for DSM Generation Using GaoFen-3 Stereo SAR Images
by Jian Wang, Xiaolei Lv, Zenghui Huang and Xikai Fu
Remote Sens. 2023, 15(1), 129; https://doi.org/10.3390/rs15010129 - 26 Dec 2022
Cited by 11 | Viewed by 3016
Abstract
Radargrammetry is a widely used methodology to generate the large-scale Digital Surface Model (DSM). Stereo matching is the most challenging step in radargrammetry due to the significant geometric differences and the inherent speckle noise. The speckle noise results in significant grayscale differences of [...] Read more.
Radargrammetry is a widely used methodology to generate the large-scale Digital Surface Model (DSM). Stereo matching is the most challenging step in radargrammetry due to the significant geometric differences and the inherent speckle noise. The speckle noise results in significant grayscale differences of the same feature points, which makes the traditional Horn–Schunck (HS) flow or multi-window zero-mean normalized cross-correlation (ZNCC) methods degrade. Therefore, this paper proposes an algorithm named Epipolar HS-NCC Flow (EHNF) for dense stereo matching, which is an improved HS flow method with normalized cross-correction constraint based on epipolar stereo images. First, the epipolar geometry is applied to resample the image to realize the coarse stereo matching. Subsequently, the EHNF method forms a global energy function to achieve fine stereo matching. The EHNF method constructs a local normalized cross-correlation constraint term to compensate for the grayscale invariance constraint, especially for the SAR stereo images. Additionally, two assessment methods are proposed to calculate the optimal cross-correlation parameter and smoothness parameter according to the refined matched point pairs. Two GaoFen-3 (GF-3) image pairs from ascending and descending orbits and the open Light Detection and Ranging (LiDAR) data are utilized to fully evaluate the proposed method. The results demonstrate that the EHNF algorithm improves the DSM elevation accuracy by 9.6% and 27.0% compared with the HS flow and multi-window ZNCC methods, respectively. Full article
Show Figures

Figure 1

19 pages, 5419 KB  
Article
High-Accuracy Recognition and Localization of Moving Targets in an Indoor Environment Using Binocular Stereo Vision
by Jing Ding, Zhigang Yan and Xuchen We
ISPRS Int. J. Geo-Inf. 2021, 10(4), 234; https://doi.org/10.3390/ijgi10040234 - 6 Apr 2021
Cited by 34 | Viewed by 4797
Abstract
To obtain effective indoor moving target localization, a reliable and stable moving target localization method based on binocular stereo vision is proposed in this paper. A moving target recognition extraction algorithm, which integrates displacement pyramid Horn–Schunck (HS) optical flow, Delaunay triangulation and Otsu [...] Read more.
To obtain effective indoor moving target localization, a reliable and stable moving target localization method based on binocular stereo vision is proposed in this paper. A moving target recognition extraction algorithm, which integrates displacement pyramid Horn–Schunck (HS) optical flow, Delaunay triangulation and Otsu threshold segmentation, is presented to separate a moving target from a complex background, called the Otsu Delaunay HS (O-DHS) method. Additionally, a stereo matching algorithm based on deep matching and stereo vision is presented to obtain dense stereo matching points pairs, called stereo deep matching (S-DM). The stereo matching point pairs of the moving target were extracted with the moving target area and stereo deep matching point pairs, then the three dimensional coordinates of the points in the moving target area were reconstructed according to the principle of binocular vision’s parallel structure. Finally, the moving target was located by the centroid method. The experimental results showed that this method can better resist image noise and repeated texture, can effectively detect and separate moving targets, and can match stereo image points in repeated textured areas more accurately and stability. This method can effectively improve the effectiveness, accuracy and robustness of three-dimensional moving target coordinates. Full article
Show Figures

Figure 1

41 pages, 3949 KB  
Article
A System for the Detection of Persons in Intelligent Buildings Using Camera Systems—A Comparative Study
by Miroslav Schneider, Zdenek Machacek, Radek Martinek, Jiri Koziorek and Rene Jaros
Sensors 2020, 20(12), 3558; https://doi.org/10.3390/s20123558 - 23 Jun 2020
Cited by 7 | Viewed by 3605
Abstract
This article deals with the design and implementation of a prototype of an efficient Low-Cost, Low-Power, Low Complexity–hereinafter (L-CPC) an image recognition system for person detection. The developed and presented methods for processing, analyzing and recognition are designed exactly for inbuilt devices (e.g., [...] Read more.
This article deals with the design and implementation of a prototype of an efficient Low-Cost, Low-Power, Low Complexity–hereinafter (L-CPC) an image recognition system for person detection. The developed and presented methods for processing, analyzing and recognition are designed exactly for inbuilt devices (e.g., motion sensor, identification of property and other specific applications), which will comply with the requirements of intelligent building technologies. The paper describes detection methods using a static background, where, during the search for people, the background image field being compared does not change, and a dynamic background, where the background image field is continually adjusted or complemented by objects merging into the background. The results are compared with the output of the Horn-Schunck algorithm applied using the principle of optical flow. The possible objects detected are subsequently stored and evaluated in the actual algorithm described. The detection results, using the change detection methods, are then evaluated using the Saaty method in order to determine the most successful configuration of the entire detection system. Each of the configurations used was also tested on a video sequence divided into a total of 12 story sections, in which the normal activities of people inside the intelligent building were simulated. Full article
Show Figures

Figure 1

25 pages, 15031 KB  
Article
Vision-Based Obstacle Avoidance Strategies for MAVs Using Optical Flows in 3-D Textured Environments
by Gangik Cho, Jongyun Kim and Hyondong Oh
Sensors 2019, 19(11), 2523; https://doi.org/10.3390/s19112523 - 2 Jun 2019
Cited by 37 | Viewed by 6938
Abstract
Due to payload restrictions for micro aerial vehicles (MAVs), vision-based approaches have been widely studied with their light weight characteristics and cost effectiveness. In particular, optical flow-based obstacle avoidance has proven to be one of the most efficient methods in terms of obstacle [...] Read more.
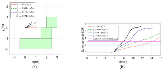
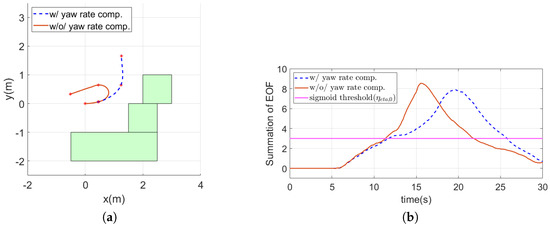
Due to payload restrictions for micro aerial vehicles (MAVs), vision-based approaches have been widely studied with their light weight characteristics and cost effectiveness. In particular, optical flow-based obstacle avoidance has proven to be one of the most efficient methods in terms of obstacle avoidance capabilities and computational load; however, existing approaches do not consider 3-D complex environments. In addition, most approaches are unable to deal with situations where there are wall-like frontal obstacles. Although some algorithms consider wall-like frontal obstacles, they cause a jitter or unnecessary motion. To address these limitations, this paper proposes a vision-based obstacle avoidance algorithm for MAVs using the optical flow in 3-D textured environments. The image obtained from a monocular camera is first split into two horizontal and vertical half planes. The desired heading direction and climb rate are then determined by comparing the sum of optical flows between half planes horizontally and vertically, respectively, for obstacle avoidance in 3-D environments. Besides, the proposed approach is capable of avoiding wall-like frontal obstacles by considering the divergence of the optical flow at the focus of expansion and navigating to the goal position using a sigmoid weighting function. The performance of the proposed algorithm was validated through numerical simulations and indoor flight experiments in various situations. Full article
(This article belongs to the Section State-of-the-Art Sensors Technologies)
Show Figures

Figure 1

20 pages, 11769 KB  
Article
Operational Application of Optical Flow Techniques to Radar-Based Rainfall Nowcasting
by Wang-chun Woo and Wai-kin Wong
Atmosphere 2017, 8(3), 48; https://doi.org/10.3390/atmos8030048 - 25 Feb 2017
Cited by 211 | Viewed by 15892
Abstract
Hong Kong Observatory has been operating an in-house developed rainfall nowcasting system called “Short-range Warning of Intense Rainstorms in Localized Systems (SWIRLS)” to support rainstorm warning and rainfall nowcasting services. A crucial step in rainfall nowcasting is the tracking of radar echoes to [...] Read more.
Hong Kong Observatory has been operating an in-house developed rainfall nowcasting system called “Short-range Warning of Intense Rainstorms in Localized Systems (SWIRLS)” to support rainstorm warning and rainfall nowcasting services. A crucial step in rainfall nowcasting is the tracking of radar echoes to generate motion fields for extrapolation of rainfall areas in the following few hours. SWIRLS adopted a correlation-based method in its first operational version in 1999, which was subsequently replaced by optical flow algorithm in 2010 and further enhanced in 2013. The latest optical flow algorithm employs a transformation function to enhance a selected range of reflectivity for feature tracking. It also adopts variational optical flow computation that takes advantage of the Horn–Schunck approach and the Lucas–Kanade method. This paper details the three radar echo tracking algorithms, examines their performances in several significant rainstorm cases and summaries verification results of multi-year performances. The limitations of the current approach are discussed. Developments underway along with future research areas are also presented. Full article
(This article belongs to the Special Issue Radar Meteorology)
Show Figures

Figure 1

32 pages, 1653 KB  
Article
Efficient Hardware Implementation of the Horn-Schunck Algorithm for High-Resolution Real-Time Dense Optical Flow Sensor
by Mateusz Komorkiewicz, Tomasz Kryjak and Marek Gorgon
Sensors 2014, 14(2), 2860-2891; https://doi.org/10.3390/s140202860 - 12 Feb 2014
Cited by 28 | Viewed by 9970
Abstract
This article presents an efficient hardware implementation of the Horn-Schunck algorithm that can be used in an embedded optical flow sensor. An architecture is proposed, that realises the iterative Horn-Schunck algorithm in a pipelined manner. This modification allows to achieve data throughput of [...] Read more.
This article presents an efficient hardware implementation of the Horn-Schunck algorithm that can be used in an embedded optical flow sensor. An architecture is proposed, that realises the iterative Horn-Schunck algorithm in a pipelined manner. This modification allows to achieve data throughput of 175 MPixels/s and makes processing of Full HD video stream (1; 920 × 1; 080 @ 60 fps) possible. The structure of the optical flow module as well as pre- and post-filtering blocks and a flow reliability computation unit is described in details. Three versions of optical flow modules, with different numerical precision, working frequency and obtained results accuracy are proposed. The errors caused by switching from floating- to fixed-point computations are also evaluated. The described architecture was tested on popular sequences from an optical flow dataset of the Middlebury University. It achieves state-of-the-art results among hardware implementations of single scale methods. The designed fixed-point architecture achieves performance of 418 GOPS with power efficiency of 34 GOPS/W. The proposed floating-point module achieves 103 GFLOPS, with power efficiency of 24 GFLOPS/W. Moreover, a 100 times speedup compared to a modern CPU with SIMD support is reported. A complete, working vision system realized on Xilinx VC707 evaluation board is also presented. It is able to compute optical flow for Full HD video stream received from an HDMI camera in real-time. The obtained results prove that FPGA devices are an ideal platform for embedded vision systems. Full article
(This article belongs to the Section Physical Sensors)
Show Figures

Back to TopTop