Sign in to use this feature.

Years

Between: -

Subjects

remove_circle_outline
remove_circle_outline
remove_circle_outline

Journals

Article Types

Countries / Regions

Search Results (11)

Search Parameters:
Keywords = His-hCA II

Order results
Result details
Results per page
Select all
Export citation of selected articles as:
2223 KB  
Proceeding Paper
In Silico Assessment of Enaminone–Sulfanilamides as Potential Carbonic Anhydrase II Inhibitors: Molecular Docking and ADMET Prediction
by Yousra Ouafa Bouone, Abdeslem Bouzina, Rachida Mansouri and Nour-Eddine Aouf
Chem. Proc. 2024, 16(1), 117; https://doi.org/10.3390/ecsoc-28-20211 - 14 Nov 2024
Viewed by 403
Abstract
Carbonic anhydrases (CAs) are a group of zinc-containing enzymes involved in many physiological processes through their role in the maintenance of the equilibrium between bicarbonate and CO2 levels. Human carbonic anhydrases (hCAs) are recognized as important drug targets due to their major [...] Read more.
Carbonic anhydrases (CAs) are a group of zinc-containing enzymes involved in many physiological processes through their role in the maintenance of the equilibrium between bicarbonate and CO2 levels. Human carbonic anhydrases (hCAs) are recognized as important drug targets due to their major implication in the development of diseases including cancer. Sulfanilamide derivatives have been widely studied and have shown remarkable efficiency in inhibiting carbonic anhydrases, with the presence of SO2NH2 in their structure. Therefore, the sulfonamide moiety is considered as the leading scaffold in the search for new hCA inhibitors. Moreover, the introduction of an enaminone to sulfonamide-based CA inhibitors showed an enhancement of inhibitory activity. In this context, we were interested in the in silico investigation of benzenesulfonamide derivatives containing β-enaminone that were synthesized from dicarbonyl compounds and sulfanilamide under microwave irradiation. The in silico assessment includes a molecular docking simulation against hCA II (PDB: 2AW1). The docked ligands showed good docking score values (−8.099 and −7.053 kcal.mol−1), which indicates a good stability of the studied compounds within the active site. Further, significant interactions with the residues of the active site were observed, including metal coordination with Zn 262, an H-bond with Thr 199, and pi–pi stacking with the side chain of His94, which are considered as the key interactions for CA inhibition. A complementary in silico study that involved ADMET prediction was performed to learn more about the pharmacokinetic properties and the toxicity of the products in order to comprehend their ability to become drug-candidates. Full article
Show Figures

Figure 1

21 pages, 6790 KB  
Article
Hormetic Response of Photosystem II Function Induced by Nontoxic Calcium Hydroxide Nanoparticles
by Panagiota Tryfon, Ilektra Sperdouli, Julietta Moustaka, Ioannis-Dimosthenis S. Adamakis, Kleoniki Giannousi, Catherine Dendrinou-Samara and Michael Moustakas
Int. J. Mol. Sci. 2024, 25(15), 8350; https://doi.org/10.3390/ijms25158350 - 30 Jul 2024
Cited by 7 | Viewed by 1529
Abstract
In recent years, inorganic nanoparticles, including calcium hydroxide nanoparticles [Ca Ca(OH)2 NPs], have attracted significant interest for their ability to impact plant photosynthesis and boost agricultural productivity. In this study, the effects of 15 and 30 mg L−1 oleylamine-coated calcium hydroxide [...] Read more.
In recent years, inorganic nanoparticles, including calcium hydroxide nanoparticles [Ca Ca(OH)2 NPs], have attracted significant interest for their ability to impact plant photosynthesis and boost agricultural productivity. In this study, the effects of 15 and 30 mg L−1 oleylamine-coated calcium hydroxide nanoparticles [Ca(OH)2@OAm NPs] on photosystem II (PSII) photochemistry were investigated on tomato plants at their growth irradiance (GI) (580 μmol photons m−2 s−1) and at high irradiance (HI) (1000 μmol photons m−2 s−1). Ca(OH)2@OAm NPs synthesized via a microwave-assisted method revealed a crystallite size of 25 nm with 34% w/w of oleylamine coater, a hydrodynamic size of 145 nm, and a ζ-potential of 4 mV. Compared with the control plants (sprayed with distilled water), PSII efficiency in tomato plants sprayed with Ca(OH)2@OAm NPs declined as soon as 90 min after the spray, accompanied by a higher excess excitation energy at PSII. Nevertheless, after 72 h, the effective quantum yield of PSII electron transport (ΦPSII) in tomato plants sprayed with Ca(OH)2@OAm NPs enhanced due to both an increase in the fraction of open PSII reaction centers (qp) and to the enhancement in the excitation capture efficiency (Fv’/Fm’) of these centers. However, the decrease at the same time in non-photochemical quenching (NPQ) resulted in an increased generation of reactive oxygen species (ROS). It can be concluded that Ca(OH)2@OAm NPs, by effectively regulating the non-photochemical quenching (NPQ) mechanism, enhanced the electron transport rate (ETR) and decreased the excess excitation energy in tomato leaves. The delay in the enhancement of PSII photochemistry by the calcium hydroxide NPs was less at the GI than at the HI. The enhancement of PSII function by calcium hydroxide NPs is suggested to be triggered by the NPQ mechanism that intensifies ROS generation, which is considered to be beneficial. Calcium hydroxide nanoparticles, in less than 72 h, activated a ROS regulatory network of light energy partitioning signaling that enhanced PSII function. Therefore, synthesized Ca(OH)2@OAm NPs could potentially be used as photosynthetic biostimulants to enhance crop yields, pending further testing on other plant species. Full article
(This article belongs to the Special Issue Molecular Mechanisms of Plant Biostimulants)
Show Figures

Graphical abstract

15 pages, 5078 KB  
Article
Authentication of Roasted Coffee Beans via LIBS: Statistical Principal Component Analysis
by Fatemah H. Alkallas, Ayman M. Mostafa, Effat A. Rashed, Amira Ben Gouider Trabelsi, M. A. I. Essawy and Reham A. Rezk
Coatings 2023, 13(10), 1790; https://doi.org/10.3390/coatings13101790 - 18 Oct 2023
Cited by 12 | Viewed by 2677
Abstract
Great efforts are constantly being made by industry-specific coffee agencies to standardize the certification of coffee quality. In consequence, international trade requires quick and reliable analyses because of their high cost, the risk of misclassification, the difficulty of large-scale analysis, and, most importantly, [...] Read more.
Great efforts are constantly being made by industry-specific coffee agencies to standardize the certification of coffee quality. In consequence, international trade requires quick and reliable analyses because of their high cost, the risk of misclassification, the difficulty of large-scale analysis, and, most importantly, the subjectivity generated by tasters. A powerful analytical method that can be used to accurately evaluate and identify coffee varieties is Laser-Induced Breakdown Spectroscopy (LIBS). In this study, it provided a quick, cost-effective, and residue-free method commonly used in laboratories for direct analysis, determining multi-elemental composition, and exploring the organic composition of roasted coffee. The mineral composition of eight varieties of pure roasted coffee was determined using a pulsed nanosecond laser produced from a Nd:YAG laser at 1064 nm. The most important spectral variables for coffee variety identification were sequestered using LIBS coupled with a chemometric-tool-based principal component analysis (PCA). The nine main wavelengths chosen corresponded to the elements of C(I), Mg(II, I), Ca(II), Fe(I), K(I), H(I), and O(I), in addition to the CN group. The overall findings indicated that using LIBS to identify coffee varieties is feasible based on a simple, quick, and eco-friendly strategy without the requirement for complex preparation or wasting time in preparation. Such studies can help to protect the coffee market and businesses by certifying product quality. Using LIBS and full statistical illustrations with PCA, the prevention of unfair competition, protection of consumers, and determination of coffee quality can be achieved. Full article
Show Figures

Figure 1

15 pages, 2093 KB  
Article
Empagliflozin and Dapagliflozin Increase Na+ and Inward Rectifier K+ Current Densities in Human Cardiomyocytes Derived from Induced Pluripotent Stem Cells (hiPSC-CMs)
by María Dago, Teresa Crespo-García, Anabel Cámara-Checa, Josu Rapún, Marcos Rubio-Alarcón, María Marín, Juan Tamargo, Ricardo Caballero and Eva Delpón
Cells 2022, 11(23), 3707; https://doi.org/10.3390/cells11233707 - 22 Nov 2022
Cited by 16 | Viewed by 3514
Abstract
Dapagliflozin (dapa) and empagliflozin (empa) are sodium-glucose cotransporter-2 inhibitors (SGLT2is) that reduce morbidity and mortality in heart failure (HF) patients. Sodium and inward rectifier K+ currents (INa and IK1), carried by Nav1.5 and Kir2.1 channels, respectively, are responsible for [...] Read more.
Dapagliflozin (dapa) and empagliflozin (empa) are sodium-glucose cotransporter-2 inhibitors (SGLT2is) that reduce morbidity and mortality in heart failure (HF) patients. Sodium and inward rectifier K+ currents (INa and IK1), carried by Nav1.5 and Kir2.1 channels, respectively, are responsible for cardiac excitability, conduction velocity, and refractoriness. In HF patients, Nav1.5 and Kir2.1 expression are reduced, enhancing risk of arrhythmia. Incubation with dapa or empa (24-h,1 µM) significantly increased INa and IK1 densities recorded in human-induced pluripotent stem cell-cardiomyocytes (hiPSC-CMs) using patch-clamp techniques. Dapa and empa, respectively, shifted to more hyperpolarized potentials the INa activation and inactivation curves. Identical effects were observed in Chinese hamster ovary (CHO) cells that were incubated with dapa or empa and transiently expressed human Nav1.5 channels. Conversely, empa but not dapa significantly increased human Kir2.1 currents in CHO cells. Dapa and empa effects on INa and IK1 were also apparent in Ca-calmodulin kinase II-silenced CHO cells. Cariporide, a Na+/H+ exchanger type 1 (NHE1) inhibitor, did not increase INa or IK1 in hiPSC-CMs. Dapa and empa at therapeutic concentrations increased INa and IK1 in healthy human cardiomyocytes. These SGLT2is could represent a new class of drugs with a novel and long-pursued antiarrhythmic mechanism of action. Full article
Show Figures

Figure 1

15 pages, 3023 KB  
Article
New Carbonic Anhydrase-II Inhibitors from Marine Macro Brown Alga Dictyopteris hoytii Supported by In Silico Studies
by Kashif Rafiq, Ajmal Khan, Najeeb Ur Rehman, Sobia Ahsan Halim, Majid Khan, Liaqat Ali, Abdullah Hilal Al-Balushi, Haitham Khamis Al-Busaidi and Ahmed Al-Harrasi
Molecules 2021, 26(23), 7074; https://doi.org/10.3390/molecules26237074 - 23 Nov 2021
Cited by 8 | Viewed by 3142
Abstract
In continuation of phytochemical investigations of the methanolic extract of Dictyopteris hoytii, we have obtained twelve compounds (112) through column chromatography. Herein, three compounds, namely, dimethyl 2-bromoterepthalate (3), dimethyl 2,6-dibromoterepthalate (4), and (E)-3-(4-(dimethoxymethyl)phenyl) [...] Read more.
In continuation of phytochemical investigations of the methanolic extract of Dictyopteris hoytii, we have obtained twelve compounds (112) through column chromatography. Herein, three compounds, namely, dimethyl 2-bromoterepthalate (3), dimethyl 2,6-dibromoterepthalate (4), and (E)-3-(4-(dimethoxymethyl)phenyl) acrylic acid (5) are isolated for the first time as a natural product, while the rest of the compounds (1, 2, 612) are known and isolated for the first time from this source. The structures of the isolated compounds were elucidated by advanced spectroscopic 1D and 2D NMR techniques including 1H, 13C, DEPT, HSQC, HMBC, COSY, NEOSY, and HR-MS and comparison with the reported literature. Furthermore, eight compounds (1320) previously isolated by our group from the same source along with the currently isolated compounds (112) were screened against the CA-II enzyme. All compounds, except 6, 8, 14, and 17, were evaluated for in vitro bovine carbonic anhydrase-II (CA-II) inhibitory activity. Eventually, eleven compounds (1, 4, 5, 7, 9, 10, 12, 13, 15, 18, and 19) exhibited significant inhibitory activity against CA-II with IC50 values ranging from 13.4 to 71.6 μM. Additionally, the active molecules were subjected to molecular docking studies to predict the binding behavior of those compounds. It was observed that the compounds exhibit the inhibitory potential by specifically interacting with the ZN ion present in the active site of CA-II. In addition to ZN ion, two residues (His94 and Thr199) play an important role in binding with the compounds that possess a carboxylate group in their structure. Full article
(This article belongs to the Special Issue Innovative Marine Molecules: Chemistry, Biology and Analysis)
Show Figures

Figure 1

17 pages, 6893 KB  
Article
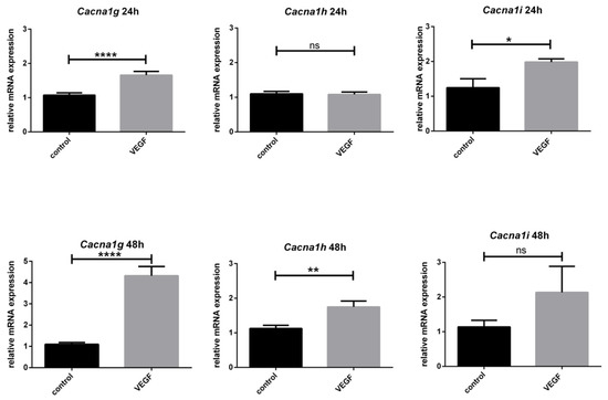
Expression Pattern of T-Type Ca2+ Channels in Cerebellar Purkinje Cells after VEGF Treatment
by Jonas Tjaden, Annika Eickhoff, Sarah Stahlke, Julian Gehmeyr, Matthias Vorgerd, Verena Theis, Veronika Matschke and Carsten Theiss
Cells 2021, 10(9), 2277; https://doi.org/10.3390/cells10092277 - 1 Sep 2021
Cited by 6 | Viewed by 3359
Abstract
T-type Ca2+ channels, generating low threshold calcium influx in neurons, play a crucial role in the function of neuronal networks and their plasticity. To further investigate their role in the complex field of research in plasticity of neurons on a molecular level, [...] Read more.
T-type Ca2+ channels, generating low threshold calcium influx in neurons, play a crucial role in the function of neuronal networks and their plasticity. To further investigate their role in the complex field of research in plasticity of neurons on a molecular level, this study aimed to analyse the impact of the vascular endothelial growth factor (VEGF) on these channels. VEGF, known as a player in vasculogenesis, also shows potent influence in the central nervous system, where it elicits neuronal growth. To investigate the influence of VEGF on the three T-type Ca2+ channel isoforms, Cav3.1 (encoded by Cacna1g), Cav3.2 (encoded by Cacna1h), and Cav3.3 (encoded by Cacna1i), lasermicrodissection of in vivo-grown Purkinje cells (PCs) was performed, gene expression was analysed via qPCR and compared to in vitro-grown PCs. We investigated the VEGF receptor composition of in vivo- and in vitro-grown PCs and underlined the importance of VEGF receptor 2 for PCs. Furthermore, we performed immunostaining of T-type Ca2+ channels with in vivo- and in vitro-grown PCs and showed the distribution of T-type Ca2+ channel expression during PC development. Overall, our findings provide the first evidence that the mRNA expression of Cav3.1, Cav3.2, and Cav3.3 increases due to VEGF stimulation, which indicates an impact of VEGF on neuronal plasticity. Full article
(This article belongs to the Section Intracellular and Plasma Membranes)
Show Figures

Figure 1

16 pages, 4501 KB  
Article
Inhibition of Carbonic Anhydrase IX Promotes Apoptosis through Intracellular pH Level Alterations in Cervical Cancer Cells
by Ebru Temiz, Ismail Koyuncu, Mustafa Durgun, Murat Caglayan, Ataman Gonel, Eray Metin Güler, Abdurrahim Kocyigit and Claudiu T. Supuran
Int. J. Mol. Sci. 2021, 22(11), 6098; https://doi.org/10.3390/ijms22116098 - 5 Jun 2021
Cited by 34 | Viewed by 4919
Abstract
Carbonic anhydrase IX (CAIX) is a hypoxia-related protein that plays a role in proliferation in solid tumours. However, how CAIX increases proliferation and metastasis in solid tumours is unclear. The objective of this study was to investigate how a synthetic CAIX inhibitor triggers [...] Read more.
Carbonic anhydrase IX (CAIX) is a hypoxia-related protein that plays a role in proliferation in solid tumours. However, how CAIX increases proliferation and metastasis in solid tumours is unclear. The objective of this study was to investigate how a synthetic CAIX inhibitor triggers apoptosis in the HeLa cell line. The intracellular effects of CAIX inhibition were determined with AO/EB, AnnexinV-PI, and γ-H2AX staining; measurements of intracellular pH (pHi), reactive oxygen species (ROS), and mitochondrial membrane potential (MMP); and analyses of cell cycle, apoptotic, and autophagic modulator gene expression (Bax, Bcl-2, caspase-3, caspase-8, caspase-9, caspase-12, Beclin, and LC3), caspase protein level (pro-caspase 3 and cleaved caspase-3, -8, -9), cleaved PARP activation, and CAIX protein level. Sulphonamide CAIX inhibitor E showed the lowest IC50 and the highest selectivity index in CAIX-positive HeLa cells. CAIX inhibition changed the morphology of HeLa cells and increased the ratio of apoptotic cells, dramatically disturbing the homeostasis of intracellular pHi, MMP and ROS levels. All these phenomena consequent to CA IX inhibition triggered apoptosis and autophagy in HeLa cells. Taken together, these results further endorse the previous findings that CAIX inhibitors represent an important therapeutic strategy, which is worth pursuing in different cancer types, considering that presently only one sulphonamide inhibitor, SLC-0111, has arrived in Phase Ib/II clinical trials as an antitumour/antimetastatic drug. Full article
(This article belongs to the Special Issue Carbonic Anhydrase and Carbonic Anhydrase Inhibitors)
Show Figures

Figure 1

10 pages, 1658 KB  
Article
Fast Immobilization of Human Carbonic Anhydrase II on Ni-Based Metal-Organic Framework Nanorods with High Catalytic Performance
by Mengzhao Jiao, Jie He, Shanshan Sun, Frank Vriesekoop, Qipeng Yuan, Yanhui Liu and Hao Liang
Catalysts 2020, 10(4), 401; https://doi.org/10.3390/catal10040401 - 6 Apr 2020
Cited by 17 | Viewed by 4739
Abstract
Carbonic anhydrase (CA) has received considerable attention for its ability to capture carbon dioxide efficiently. This study reports a simple strategy for immobilizing recombinant carbonic anhydrase II from human (hCA II) on Ni-based MOFs (Ni-BTC) nanorods, which was readily achieved in a one-pot [...] Read more.
Carbonic anhydrase (CA) has received considerable attention for its ability to capture carbon dioxide efficiently. This study reports a simple strategy for immobilizing recombinant carbonic anhydrase II from human (hCA II) on Ni-based MOFs (Ni-BTC) nanorods, which was readily achieved in a one-pot immobilization of His-tagged hCA II (His-hCA II). Consequently, His-hCA II from cell lysate could obtain an activity recovery of 99% under optimal conditions. After storing for 10 days, the immobilized His-hCA II maintained 40% activity while the free enzyme lost 91% activity. Furthermore, during the hydrolysis of p-nitrophenyl acetic acid, immobilized His-hCA II exhibited excellent reusability and still retained more than 65% of the original activity after eight cycles. In addition, we also found that Ni-BTC had no fixation effect on proteins without histidine-tag. These results show that the Ni-BTC MOFs have a great potential with high efficiency for and specific binding of immobilized enzymes. Full article
(This article belongs to the Special Issue MOFs for Advanced Applications)
Show Figures

Graphical abstract

10 pages, 1203 KB  
Article
Activation Effects of Carnosine- and Histidine-Containing Dipeptides on Human Carbonic Anhydrases: A Comprehensive Study
by Giulio Vistoli, Giancarlo Aldini, Laura Fumagalli, Clelia Dallanoce, Andrea Angeli and Claudiu T. Supuran
Int. J. Mol. Sci. 2020, 21(5), 1761; https://doi.org/10.3390/ijms21051761 - 4 Mar 2020
Cited by 21 | Viewed by 4312
Abstract
l-Carnosine (β-Ala-l-His) and several other histidine-containing peptides, including two N-methylated forms on the imidazole ring (l-anserine and l-balenine), two derivatives modified on the carboxyl function (carcinine and l-carnosinamide), two analogues differing in the length of the [...] Read more.
l-Carnosine (β-Ala-l-His) and several other histidine-containing peptides, including two N-methylated forms on the imidazole ring (l-anserine and l-balenine), two derivatives modified on the carboxyl function (carcinine and l-carnosinamide), two analogues differing in the length of the N-terminal residue (l-homocarnosine and Gly-l-His) and the N-acetyl derivatives, were investigated as activators of four isoforms of the metalloenzyme carbonic anhydrase (CA, EC 4.2.1.1). The four human isoforms hCA I, II, VA and IX were activated in the low to high micromolar range, with a rather complex structure activity relationship. A performed computational study allowed us to rationalize these results and to propose a binding mode of these activators within the enzyme active site. Similarly to other CA activators, the here studied peptides could find relevant pharmacological applications such as in the management of CA deficiencies, for therapy memory and enhancing cognition or for artificial tissues engineering. Full article
(This article belongs to the Special Issue Protease and Carbonic Anhydrase Inhibitors, II)
Show Figures

Figure 1

32 pages, 8875 KB  
Article
Mechanism of Action of Non-Synonymous Single Nucleotide Variations Associated with α-Carbonic Anhydrase II Deficiency
by Taremekedzwa Allan Sanyanga, Bilal Nizami and Özlem Tastan Bishop
Molecules 2019, 24(21), 3987; https://doi.org/10.3390/molecules24213987 - 4 Nov 2019
Cited by 21 | Viewed by 5438
Abstract
Human carbonic anhydrase II (CA-II) is a Zinc (Zn 2 + ) metalloenzyme responsible for maintenance of acid-base balance within the body through the reversible hydration of CO 2 to produce protons (H + ) and bicarbonate (BCT). Due to its importance, alterations [...] Read more.
Human carbonic anhydrase II (CA-II) is a Zinc (Zn 2 + ) metalloenzyme responsible for maintenance of acid-base balance within the body through the reversible hydration of CO 2 to produce protons (H + ) and bicarbonate (BCT). Due to its importance, alterations to the amino acid sequence of the protein as a result of single nucleotide variations (nsSNVs) have detrimental effects on homeostasis. Six pathogenic CA-II nsSNVs, K18E, K18Q, H107Y, P236H, P236R and N252D were identified, and variant protein models calculated using homology modeling. The effect of each nsSNV was analyzed using motif analysis, molecular dynamics (MD) simulations, principal component (PCA) and dynamic residue network (DRN) analysis. Motif analysis identified 11 functionally important motifs in CA-II. RMSD data indicated subtle SNV effects, while PCA analysis revealed that the presence of BCT results in greater conformational sampling and free energy in proteins. DRN analysis showed variant allosteric effects, and the average betweenness centrality (BC) calculations identified Glu117 as the most important residue for communication in CA-II. The presence of BCT was associated with a reduction to Glu117 usage in all variants, suggesting implications for Zn 2 + dissociation from the CA-II active site. In addition, reductions to Glu117 usage are associated with increases in the usage of the primary and secondary Zn 2 + ligands; His94, His96, His119 and Asn243 highlighting potential compensatory mechanisms to maintain Zn 2 + within the active site. Compared to traditional MD simulation investigation, DRN analysis provided greater insights into SNV mechanism of action, indicating its importance for the study of missense mutation effects in proteins and, in broader terms, precision medicine related research. Full article
Show Figures

Figure 1

12 pages, 1468 KB  
Article
The Crystal Structure of a hCA VII Variant Provides Insights into the Molecular Determinants Responsible for Its Catalytic Behavior
by Martina Buonanno, Anna Di Fiore, Emma Langella, Katia D’Ambrosio, Claudiu T. Supuran, Simona Maria Monti and Giuseppina De Simone
Int. J. Mol. Sci. 2018, 19(6), 1571; https://doi.org/10.3390/ijms19061571 - 24 May 2018
Cited by 28 | Viewed by 4608
Abstract
Although important progress has been achieved in understanding the catalytic mechanism of Carbonic Anhydrases, a detailed picture of all factors influencing the catalytic efficiency of the various human isoforms is still missing. In this paper we report a detailed structural study and theoretical [...] Read more.
Although important progress has been achieved in understanding the catalytic mechanism of Carbonic Anhydrases, a detailed picture of all factors influencing the catalytic efficiency of the various human isoforms is still missing. In this paper we report a detailed structural study and theoretical pKa calculations on a hCA VII variant. The obtained data were compared with those already known for another thoroughly investigated cytosolic isoform, hCA II. Our structural studies show that in hCA VII the network of ordered water molecules, which connects the zinc bound solvent molecule to the proton shuttle His64, is altered compared to hCA II, causing a reduction of the catalytic efficiency. Theoretical calculations suggest that changes in solvent network are related to the difference in pKa of the proton shuttle in the two enzymes. The residue that plays a major role in determining the diverse pKa values of the proton shuttle is the one in position four, namely His for hCA II and Gly for hCA VII. This residue is located on the protein surface, outside of the active site cavity. These findings are in agreement with our previous studies that highlighted the importance of histidines on the protein surface of hCA II (among which His4) as crucial residues for the high catalytic efficiency of this isoform. Full article
Show Figures

Figure 1

Back to TopTop