Sign in to use this feature.

Years

Between: -

Subjects

remove_circle_outline
remove_circle_outline
remove_circle_outline
remove_circle_outline
remove_circle_outline
remove_circle_outline
remove_circle_outline
remove_circle_outline
remove_circle_outline

Journals

Article Types

Countries / Regions

remove_circle_outline
remove_circle_outline
remove_circle_outline
remove_circle_outline

Search Results (328)

Search Parameters:
Keywords = Hilbert space methods

Order results
Result details
Results per page
Select all
Export citation of selected articles as:
29 pages, 8022 KB  
Article
Quantum-Inspired Variational Inference for Non-Convex Stochastic Optimization: A Unified Mathematical Framework with Convergence Guarantees and Applications to Machine Learning in Communication Networks
by Abrar S. Alhazmi
Mathematics 2026, 14(7), 1236; https://doi.org/10.3390/math14071236 - 7 Apr 2026
Abstract
Non-convex stochastic optimization presents fundamental mathematical challenges across machine learning, wireless networks, data center resource allocation, and optical wireless communication systems, where complex loss landscapes with multiple local minima and saddle points impede classical variational inference methods. This paper introduces the Quantum-Inspired Variational [...] Read more.
Non-convex stochastic optimization presents fundamental mathematical challenges across machine learning, wireless networks, data center resource allocation, and optical wireless communication systems, where complex loss landscapes with multiple local minima and saddle points impede classical variational inference methods. This paper introduces the Quantum-Inspired Variational Inference (QIVI) framework, which systematically integrates quantum mechanical principles (superposition, entanglement, and measurement operators) into classical variational inference through rigorous mathematical formulations grounded in Hilbert space theory and operator algebras. We develop a unified optimization framework that encodes classical parameters as quantum-inspired states within finite-dimensional complex Hilbert spaces, employing unitary evolution operators and adaptive basis selection governed by gradient covariance eigendecomposition. The core mathematical contribution establishes that QIVI achieves a convergence rate of O(log2T/T1/2) for σ-strongly non-convex functions, provably improving upon the classical O(T1/4) rate, yielding a theoretical speedup factor of 1.851.96×. Comprehensive experiments across synthetic benchmarks, Bayesian neural networks, and real-world applications in network optimization and financial portfolio management demonstrate 23–47% faster convergence, 15–35% superior objective values, and 28–46% improved uncertainty calibration. The principal contributions include: (i) a rigorous Hilbert space-based mathematical framework for quantum-inspired variational inference grounded in operator algebras, (ii) a novel hybrid quantum–classical algorithm (QIVI) with adaptive basis selection via gradient covariance eigendecomposition, (iii) formal convergence proofs establishing provable improvement over classical methods, (iv) comprehensive empirical validation across diverse problem domains relevant to machine learning and network optimization, and (v) demonstration of the framework’s applicability to optimization problems arising in wireless networks, data center resource allocation, and network system design. Statistical validation using the Friedman test (χ2=847.3, p<0.001) and post hoc Wilcoxon signed-rank tests with Holm–Bonferroni correction confirm that QIVI’s improvements over all baseline methods are statistically significant at the α=0.05 level across all benchmark categories. The framework discovers 18.1 out of 20 true modes in multimodal distributions versus 9.1 for classical methods, demonstrating the potential of quantum-inspired optimization approaches for challenging stochastic problems arising in machine learning, wireless communication, and network optimization. Full article
Show Figures

Figure 1

23 pages, 1270 KB  
Article
A Band-Aware Riemannian Network with Domain Adaptation for Motor Imagery EEG Signal Decoding
by Zhehan Wang, Yuliang Ma, Yicheng Du and Qingshan She
Brain Sci. 2026, 16(4), 363; https://doi.org/10.3390/brainsci16040363 - 27 Mar 2026
Viewed by 421
Abstract
Background: The decoding of motor imagery electroencephalography (MI-EEG) is constrained by core issues including low signal-to-noise ratio (SNR) and cross-session as well as cross-subject domain shift, which seriously impedes the practical deployment of brain–computer interfaces (BCIs). Methods: To address these challenges, this paper [...] Read more.
Background: The decoding of motor imagery electroencephalography (MI-EEG) is constrained by core issues including low signal-to-noise ratio (SNR) and cross-session as well as cross-subject domain shift, which seriously impedes the practical deployment of brain–computer interfaces (BCIs). Methods: To address these challenges, this paper proposes a novel end-to-end MI-EEG decoding method named BARN-DA. Two innovative modules, Band-Aware Channel Attention (BACA) and Multi-Scale Kernel Perception (MSKP), are designed: one enhances discriminative channel features by modeling channel information fused with frequency band feature representation, and the other captures complex data correlations via multi-scale parallel convolutions to improve the discriminability of the network’s feature extraction. Subsequently, the features are mapped onto the Riemannian manifold. For the source and target domain features residing on this manifold, a Riemannian Maximum Mean Discrepancy (R-MMD) loss is designed based on the log-Euclidean metric. This approach enables the effective embedding of Symmetric Positive Definite (SPD) matrices into the Reproducing Kernel Hilbert Space (RKHS), thereby reducing cross-domain discrepancies. Results: Experimental results on four public datasets demonstrate that the BARN-DA method achieves average cross-session classification accuracies of 84.65% ± 8.97% (BCIC IV 2a), 89.19% ± 7.69% (BCIC IV 2b), and 61.76% ± 12.68% (SHU), as well as average cross-subject classification accuracies of 65.49% ± 11.64% (BCIC IV 2a), 78.78% ± 8.44% (BCIC IV 2b), and 78.14% ± 14.41% (BCIC III 4a). Compared with state-of-the-art methods, BARN-DA obtains higher classification accuracy and stronger cross-session and cross-subject generalization ability. Conclusions: These results confirm that BARN-DA effectively alleviates low SNR and domain shift problems in MI-EEG decoding, providing an efficient technical solution for practical BCI systems. Full article
Show Figures

Figure 1

45 pages, 7117 KB  
Article
Topology-Based Machine Learning and Regime Identification in Stochastic, Heavy-Tailed Financial Time Series
by Prosper Lamothe-Fernández, Eduardo Rojas and Andriy Bayuk
Mathematics 2026, 14(7), 1098; https://doi.org/10.3390/math14071098 - 24 Mar 2026
Viewed by 216
Abstract
Classic machine learning and regime identification methods applied to financial time series lack theoretical guarantees and exhibit systematic failure modes: heavy-tails invalidate moment-based geometry, rendering distances and centroids dominated by extremes or unstable; jumps violate smoothness, destabilizing local regressions, kernel methods, and gradient-based [...] Read more.
Classic machine learning and regime identification methods applied to financial time series lack theoretical guarantees and exhibit systematic failure modes: heavy-tails invalidate moment-based geometry, rendering distances and centroids dominated by extremes or unstable; jumps violate smoothness, destabilizing local regressions, kernel methods, and gradient-based learning; and non-stationarity disrupts neighborhood relations, so distances in classical feature spaces no longer reflect meaningful proximity. To address these challenges, we propose a topology-based machine-learning framework grounded on probabilistic reconstruction of state-space geometry, which replaces moment- and smoothness-dependent representations with deformation-stable summaries of state-space geometry, preserving neighborhoods, adjacency, and topology. The finite-sample validity of homeomorphic state-space reconstruction, required for topology-based machine learning, is assessed through numerical studies on synthetic data with heavy tails, jumps, and known ground-truth regimes. Further diagnostics of local invertibility and bounded geometric distortion quantify when embedding windows are consistent with local diffeomorphic behavior, enabling metric-sensitive, geometry-aware learning. Clustering of Hilbert-space summaries accurately recovers underlying market tail-risk regimes with robust results across selected filtrations. Temporal, feature-space, and cluster-label null tests confirm that topology-based clustering captures genuine topological structure rather than noise or artifacts, and encodes temporal dependencies at local, mesoscopic, and network levels associated with market regimes. Full article
(This article belongs to the Section E: Applied Mathematics)
Show Figures

Figure 1

22 pages, 504 KB  
Article
Approximate Controllability and Existence Results of the Sobolev-Type Fractional Stochastic Differential Equation Driven by a Fractional Brownian Motion
by Sadam Hussain, Muhammad Sarwar, Syed Khayyam Shah, Kamaleldin Abodayeh and Manuel De La Sen
Fractal Fract. 2026, 10(3), 203; https://doi.org/10.3390/fractalfract10030203 - 20 Mar 2026
Viewed by 185
Abstract
In this article, we investigate the existence and approximate controllability of a class of Sobolev-type fractional stochastic differential equations of order 1<δ<2 with infinite delay. The analysis is carried out in an abstract Hilbert space framework, incorporating fractional dynamics [...] Read more.
In this article, we investigate the existence and approximate controllability of a class of Sobolev-type fractional stochastic differential equations of order 1<δ<2 with infinite delay. The analysis is carried out in an abstract Hilbert space framework, incorporating fractional dynamics together with stochastic perturbations. By employing techniques from fractional calculus, semigroup theory, and fixed point theory, particularly the Banach contraction principle along with compactness arguments, we establish the existence of mild solutions for the proposed system. Subsequently, sufficient conditions for approximate controllability are derived by combining operator-theoretic methods with stochastic analysis. The novelty of this work lies in extending controllability results to Sobolev-type fractional stochastic systems of order 1<δ<2, where both the higher-order fractional structure and stochastic effects are treated simultaneously within a unified framework. This generalizes and complements several existing results in the literature that mainly address deterministic systems or fractional differential equations of order 0<δ1. Finally, an illustrative example is presented to demonstrate the applicability and effectiveness of the theoretical findings. Full article
Show Figures

Figure 1

13 pages, 630 KB  
Article
Step-Size Decay and Structural Stagnation in Greedy Sparse Learning
by Pablo M. Berná
Mathematics 2026, 14(6), 967; https://doi.org/10.3390/math14060967 - 12 Mar 2026
Viewed by 153
Abstract
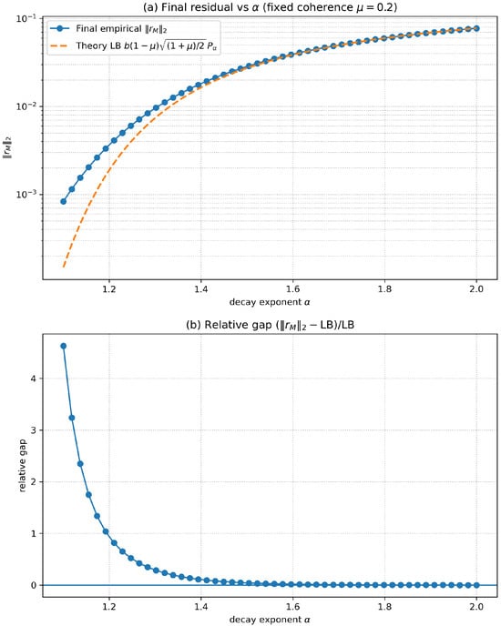
Greedy algorithms are central to sparse approximation and stage-wise learning methods such as matching pursuit and boosting. It is known that the Power-Relaxed Greedy Algorithm with step sizes mα may fail to converge when α>1 in general Hilbert spaces. [...] Read more.
Greedy algorithms are central to sparse approximation and stage-wise learning methods such as matching pursuit and boosting. It is known that the Power-Relaxed Greedy Algorithm with step sizes mα may fail to converge when α>1 in general Hilbert spaces. In this work, we revisit this phenomenon from a sparse learning perspective. We study realizable regression problems with controlled feature coherence and derive explicit lower bounds on the residual norm, showing that over-decaying step-size schedules induce structural stagnation even in low-dimensional sparse settings. Numerical experiments confirm the theoretical predictions and illustrate the role of feature coherence. Our results provide insight into step-size design in greedy sparse learning. Full article
(This article belongs to the Special Issue Nonlinear Approximation Theory in Banach Spaces)
Show Figures

Figure 1

15 pages, 4207 KB  
Communication
Enhancing Ultrasonic Crack Sizing Accuracy in Rails: The Role of Effective Velocity and Hilbert Envelope Extraction
by Trung Thanh Ho and Toan Thanh Dao
Micromachines 2026, 17(3), 346; https://doi.org/10.3390/mi17030346 - 12 Mar 2026
Viewed by 284
Abstract
Ultrasonic testing is a prevalent method for non-destructive evaluation of railway rails; however, conventional Time-of-Flight (ToF) approaches applied in practical dry-coupled inspections often rely on simplified assumptions regarding wave propagation velocity and neglect complex waveform characteristics. This paper presents a robust [...] Read more.
Ultrasonic testing is a prevalent method for non-destructive evaluation of railway rails; however, conventional Time-of-Flight (ToF) approaches applied in practical dry-coupled inspections often rely on simplified assumptions regarding wave propagation velocity and neglect complex waveform characteristics. This paper presents a robust depth estimation framework for surface-breaking cracks that enhances sizing accuracy through effective velocity calibration and Hilbert envelope extraction. Unlike standard methods that assume the free-space speed of sound in air (343 m/s) for wave propagation within the air-filled gap of a surface-breaking crack, we propose an effective velocity model derived from in situ calibration to account for the boundary layer viscosity and thermal conduction effects within narrow crack geometries. The signal processing chain incorporates spectral analysis, band-pass filtering, and Hilbert Transform-based envelope detection to mitigate noise and resolve phase ambiguities. Experimental validation on steel specimens with controlled defects (0.2–10.0 mm) demonstrates that the proposed method achieves an exceptional linear correlation (R2 ≈ 0.9976). The calibrated effective velocity was determined to be 289.3 m/s, approximately 15.6% lower than the speed of sound in air, confirming the significant influence of confinement effects. Furthermore, excitation parameters were optimized, identifying that high-voltage excitation (≥110 V) and a tuned pulse width (≈150 ns) are critical for maximizing the signal-to-noise ratio. The results confirm that combining physical model calibration with advanced signal analysis significantly reduces systematic errors, paving the way for portable, high-precision rail inspection systems. Full article
(This article belongs to the Collection Piezoelectric Transducers: Materials, Devices and Applications)
Show Figures

Figure 1

14 pages, 1320 KB  
Article
An Adaptive Damped Double-Inertial Parallel Algorithm for Common Fixed-Point Problems with Applications to Image Restoration
by Supalin Tiammee, Suthep Suantai and Jukrapong Tiammee
Mathematics 2026, 14(5), 880; https://doi.org/10.3390/math14050880 - 5 Mar 2026
Viewed by 234
Abstract
Inertial methods are widely used to accelerate the convergence of iterative algorithms for solving fixed-point problems. However, standard inertial terms often introduce undesirable oscillations, particularly in high-dimensional settings. In this paper, we propose a novel parallel double inertial algorithm with adaptive damping control [...] Read more.
Inertial methods are widely used to accelerate the convergence of iterative algorithms for solving fixed-point problems. However, standard inertial terms often introduce undesirable oscillations, particularly in high-dimensional settings. In this paper, we propose a novel parallel double inertial algorithm with adaptive damping control (D-DIMPMHA) for finding a common fixed point of a finite family of nonexpansive mappings in real Hilbert spaces. By integrating a double inertial step with a self-adaptive damping parameter, the proposed method effectively balances momentum and stability, thereby mitigating numerical oscillations without requiring vanishing inertial conditions. We establish the weak convergence theorem of the generated sequence under suitable control conditions. Furthermore, the practical efficiency of the algorithm is demonstrated through numerical experiments on large-scale convex feasibility problems and image restoration problems. Comparative results indicate that the proposed algorithm achieves superior convergence speed and higher restoration quality compared to existing single inertial methods and FISTA. Full article
(This article belongs to the Section C1: Difference and Differential Equations)
Show Figures

Figure 1

22 pages, 1359 KB  
Article
Kernel VICReg for Self-Supervised Learning in Reproducing Kernel Hilbert Space
by M. Hadi Sepanj, Benyamin Ghojogh, Saed Moradi and Paul Fieguth
Big Data Cogn. Comput. 2026, 10(3), 78; https://doi.org/10.3390/bdcc10030078 - 5 Mar 2026
Viewed by 385
Abstract
Self-supervised learning (SSL) has emerged as a powerful paradigm for representation learning by optimizing geometric objectives, such as invariance to augmentations, variance preservation, and feature decorrelation, without requiring labels. However, most existing methods operate in Euclidean space, limiting their ability to capture nonlinear [...] Read more.
Self-supervised learning (SSL) has emerged as a powerful paradigm for representation learning by optimizing geometric objectives, such as invariance to augmentations, variance preservation, and feature decorrelation, without requiring labels. However, most existing methods operate in Euclidean space, limiting their ability to capture nonlinear dependencies and geometric structures. In this work, we propose Kernel VICReg, a novel self-supervised learning framework that pulls the VICReg objective into a Reproducing Kernel Hilbert Space (RKHS). By kernelizing each term of the loss, variance, invariance, and covariance, we obtain a general formulation that operates on double-centered kernel matrices and Hilbert–Schmidt norms, enabling nonlinear feature learning without explicit mappings. We demonstrate that Kernel VICReg mitigates the risk of representational collapse under challenging conditions and improves performance on datasets exhibiting nonlinear structure or limited sample regimes. Empirical evaluations across MNIST, CIFAR-10, STL-10, TinyImageNet, and ImageNet100 show consistent gains over Euclidean VICReg, with particularly strong improvements on datasets where nonlinear structures are prominent. UMAP visualizations are provided only as a qualitative illustration of embedding geometry and are not used as a calibration or statistical validation. Our results suggest that kernelizing SSL objectives is a promising direction for bridging classical kernel methods with modern representation learning. Full article
(This article belongs to the Section Artificial Intelligence and Multi-Agent Systems)
Show Figures

Figure 1

15 pages, 1351 KB  
Article
An Operator Analysis on Stochastic Differential Equation (SDE)-Based Diffusion Generative Models
by Yunpei Wu and Yoshinobu Kawahara
Entropy 2026, 28(3), 290; https://doi.org/10.3390/e28030290 - 4 Mar 2026
Viewed by 549
Abstract
Score-based generative models, grounded in stochastic differential equations (SDEs), excel in producing high-quality data but suffer from slow sampling due to the extensive nonlinear computations required for iterative score function evaluations. We propose an innovative approach that integrates score-based reverse SDEs with kernel [...] Read more.
Score-based generative models, grounded in stochastic differential equations (SDEs), excel in producing high-quality data but suffer from slow sampling due to the extensive nonlinear computations required for iterative score function evaluations. We propose an innovative approach that integrates score-based reverse SDEs with kernel methods, leveraging the derivative reproducing property of reproducing kernel Hilbert spaces (RKHSs) to efficiently approximate the eigenfunctions and eigenvalues of the Fokker–Planck operator. This enables data generation through linear combinations of eigenfunctions, transforming computationally intensive nonlinear operations into efficient linear ones, thereby significantly reducing computational overhead. Notably, our experimental results demonstrate remarkable progress: despite a slight reduction in sample diversity, the sampling time for a single image on the CIFAR-10 dataset is reduced to an impressive 0.29 s, marking a substantial advancement in efficiency. This work introduces novel theoretical and practical tools for generative modeling, establishing a robust foundation for real-time applications. Full article
Show Figures

Figure 1

27 pages, 486 KB  
Article
Symmetry-Based Perspectives on Hamiltonian Quantum Search Algorithms and Schrödinger’s Dynamics Between Orthogonal States
by Carlo Cafaro and James Schneeloch
Symmetry 2026, 18(3), 422; https://doi.org/10.3390/sym18030422 - 28 Feb 2026
Viewed by 200
Abstract
It is known that the continuous-time variant of Grover’s search algorithm is characterized by quantum search frameworks that are governed by stationary Hamiltonians, which result in search trajectories confined to the two-dimensional subspace of the complete Hilbert space formed by the source and [...] Read more.
It is known that the continuous-time variant of Grover’s search algorithm is characterized by quantum search frameworks that are governed by stationary Hamiltonians, which result in search trajectories confined to the two-dimensional subspace of the complete Hilbert space formed by the source and target states. Specifically, the search approach is ineffective when the source and target states are orthogonal. In this paper, we employ normalization, orthogonality, and energy limitations to demonstrate that it is unfeasible to breach time-optimality between orthogonal states with constant Hamiltonians when the evolution is limited to the two-dimensional space spanned by the initial and final states. Deviations from time-optimality for unitary evolutions between orthogonal states can only occur with time-dependent Hamiltonian evolutions or, alternatively, with constant Hamiltonian evolutions in higher-dimensional subspaces of the entire Hilbert space. Ultimately, we employ our quantitative analysis to provide meaningful insights regarding the relationship between time-optimal evolutions and analog quantum search methods. We determine that the challenge of transitioning between orthogonal states with a constant Hamiltonian in a sub-optimal time is closely linked to the shortcomings of analog quantum search when the source and target states are orthogonal and not interconnected by the search Hamiltonian. In both scenarios, the fundamental cause of the failure lies in the existence of an inherent symmetry within the system. Full article
(This article belongs to the Special Issue Feature Papers in 'Physics' Section 2025)
Show Figures

Figure 1

18 pages, 4871 KB  
Article
From Quantum to Classical Within the Framework of Integral Quantization
by Ligia M. C. S. Rodrigues, Evaldo M. F. Curado, Diego Noguera and Alan C. Maioli
Symmetry 2026, 18(3), 403; https://doi.org/10.3390/sym18030403 - 25 Feb 2026
Viewed by 437
Abstract
Integral quantization is a powerful framework for mapping classical phase-space functions—defined on a symplectic manifold—onto quantum operators in a Hilbert space. It encompasses several quantization methods, such as coherent-state quantization, and inherently incorporates operator symmetrization. The formalism relies on a choice of weight [...] Read more.
Integral quantization is a powerful framework for mapping classical phase-space functions—defined on a symplectic manifold—onto quantum operators in a Hilbert space. It encompasses several quantization methods, such as coherent-state quantization, and inherently incorporates operator symmetrization. The formalism relies on a choice of weight function, whose flexibility allows for a family of possible quantizations. In this work, we address the inverse problem: given a quantum operator, how can one determine a classical phase-space function whose integral quantization reproduces exactly that operator? We propose a systematic method, within the integral quantization framework, to construct such a classical function, which depends on the chosen weight. We demonstrate that quantizing the resulting function recovers the original operator, thereby establishing a consistent two-way mapping between classical and quantum descriptions. The method is applied to several physically relevant operators: the projector, a mixed-state density operator, the annihilation operator, and an entangled state. We also analyze how quantum entanglement manifests in the structure of the corresponding classical phase-space function. Full article
Show Figures

Figure 1

31 pages, 686 KB  
Article
On a Method for Constructing Optimal Difference Formulas Using Discrete Operators with Variable Coefficients
by Kholmat Shadimetov and Shermamat Esanov
Algorithms 2026, 19(2), 163; https://doi.org/10.3390/a19020163 - 19 Feb 2026
Viewed by 293
Abstract
This paper deals with the problem of constructing optimal difference formulas in the Hilbert space H2m0,1 through Sobolev’s method. Firstly, Sobolev’s method of construction of optimal difference formulas in the Hilbert space H2m0,1 [...] Read more.
This paper deals with the problem of constructing optimal difference formulas in the Hilbert space H2m0,1 through Sobolev’s method. Firstly, Sobolev’s method of construction of optimal difference formulas in the Hilbert space H2m0,1, which is based on the discrete analogue Lhβ, is described. Secondly, a discrete analogue Lhβ of differential operator d2dx2+2sgnxddx+11d2dx2m2 having variable coefficients is contructed. Thirdly, for m=2 the optimal difference formula is obtained. Finally, at the end of the paper, we present some numerical results, which serves to confirm the numerical convergence of the optimal difference formula. Full article
Show Figures

Figure 1

14 pages, 268 KB  
Article
Some Properties of Relay Fusion Frames in Finite Dimensions
by Jianxia Zhang, Zuhua Guo, Guoqing Hong, Fugen Gao and Xinyan Li
Axioms 2026, 15(2), 148; https://doi.org/10.3390/axioms15020148 - 18 Feb 2026
Viewed by 283
Abstract
In this paper, we analyze the relationship between relay fusion frames and standard fusion frames in finite-dimensional real Hilbert spaces. We propose an optimal design method for tight relay fusion frames in the setting of orthogonal subspaces. Additionally, we prove the existence of [...] Read more.
In this paper, we analyze the relationship between relay fusion frames and standard fusion frames in finite-dimensional real Hilbert spaces. We propose an optimal design method for tight relay fusion frames in the setting of orthogonal subspaces. Additionally, we prove the existence of non-trivial relay operators and establish stability results for both subspaces and relay operators, showing that small perturbations preserve the relay fusion frame property with frame bounds converging to the original ones. We also present a sufficient condition for constructing relay fusion frames from scaled operators of existing fusion frames and show that invertible relay operators induce fusion frames. Full article
(This article belongs to the Section Mathematical Analysis)
20 pages, 483 KB  
Article
Numerical Simulation of the Kudryashov–Sinelshchikov Equation for Modeling Pressure Waves in Liquids with Gas Bubbles
by Gayatri Das, Bibekananda Sitha, Rajesh Kumar Mohapatra, Predrag Stanimirović and Tzung-Pei Hong
Mathematics 2026, 14(4), 710; https://doi.org/10.3390/math14040710 - 17 Feb 2026
Viewed by 357
Abstract
The Kudryashov–Sinelshchikov equation (KSE) is crucial in modeling pressure waves in liquids containing gas bubbles, capturing both nonlinear wave phenomena and dispersion effects. This article applies the reproducing kernel Hilbert space method (RKHSM) to find a numerical solution for the time-fractional KSE. We [...] Read more.
The Kudryashov–Sinelshchikov equation (KSE) is crucial in modeling pressure waves in liquids containing gas bubbles, capturing both nonlinear wave phenomena and dispersion effects. This article applies the reproducing kernel Hilbert space method (RKHSM) to find a numerical solution for the time-fractional KSE. We develop a numerical solution to the KSE using the RKHSM, which offers an efficient and accurate approach for solving nonlinear partial differential equations due to its smoothness and orthogonality properties. The key components of this method include the reproducing kernel (RK) theory, important Hilbert spaces, normal basis, orthogonalization, and homogenization. We construct an appropriate RK and derive an iterative solution that converges rapidly to the exact solution. The effectiveness of this approach is demonstrated through numerical simulations in which we analyze the behavior of pressure waves and compare the results with existing analytical and numerical solutions. The RKHSM consistently demonstrates highly accurate, rapid convergence, and remarkable stability across a wide range of problems. Thus, the RKHSM is a promising tool for studying wave propagation in bubbly liquids. Full article
(This article belongs to the Special Issue Recent Developments in Theoretical and Applied Mathematics)
Show Figures

Figure 1

14 pages, 320 KB  
Article
A Pre-Conditioning CQ Algorithm with Double Inertia and Self-Updated Stepsizes for Split Feasibility Problems in Hilbert Spaces
by Yu Zhang and Xiaojun Ma
Symmetry 2026, 18(2), 321; https://doi.org/10.3390/sym18020321 - 10 Feb 2026
Viewed by 283
Abstract
In this work, we propose a double inertial pre-conditioning CQ Algorithm for split feasibility problem in real Hilbert spaces, in which, we use the double inertial steps and new stepsizes to speed up the convergent rate. We also compute the only one projection [...] Read more.
In this work, we propose a double inertial pre-conditioning CQ Algorithm for split feasibility problem in real Hilbert spaces, in which, we use the double inertial steps and new stepsizes to speed up the convergent rate. We also compute the only one projection onto the nonempty closed convex set C in our proposed method. These help improve the numerical results. Next, we establish the weak convergence of the sequence generated by our method. Finally, we use a numerical experiment to demonstrate our theoretical results. Full article
(This article belongs to the Section Mathematics)
Show Figures

Figure 1

Back to TopTop