Sign in to use this feature.

Years

Between: -

Subjects

remove_circle_outline
remove_circle_outline
remove_circle_outline
remove_circle_outline
remove_circle_outline

Journals

Article Types

Countries / Regions

Search Results (147)

Search Parameters:
Keywords = HR+/HER2−

Order results
Result details
Results per page
Select all
Export citation of selected articles as:
31 pages, 970 KB  
Review
Navigating Treatment Sequencing in Advanced HR+/HER2− Breast Cancer After CDK4/6 Inhibitors: Biomarker-Driven Strategies and Emerging Therapies
by Dana P. Narvaez and David W. Cescon
Int. J. Mol. Sci. 2025, 26(21), 10366; https://doi.org/10.3390/ijms262110366 (registering DOI) - 24 Oct 2025
Abstract
Breast cancer remains a major global health challenge. In 2022, there were an estimated 2.3 million new cases and 670,000 deaths among women worldwide. Hormone receptor-positive (HR+)/human epidermal growth factor receptor 2-negative (HER2−) breast cancer accounts for approximately 70% of breast cancer diagnoses. [...] Read more.
Breast cancer remains a major global health challenge. In 2022, there were an estimated 2.3 million new cases and 670,000 deaths among women worldwide. Hormone receptor-positive (HR+)/human epidermal growth factor receptor 2-negative (HER2−) breast cancer accounts for approximately 70% of breast cancer diagnoses. The treatment landscape for advanced HR+)/HER2− breast cancer has been transformed by the introduction of CDK4/6 inhibitors in the first-line setting. However, therapeutic strategies following progression on CDK4/6 inhibitors remain heterogeneous and uncertainty exists in their optimal integration in clinical practice. This review aims to systematically examine available second-line and subsequent treatment options for HR+/HER2− metastatic breast cancer after progression on CDK4/6 inhibitors, with a focus on biomarker-driven strategies and emerging therapies. The therapeutic landscape beyond CDK4/6 inhibitors includes targeted agents guided by actionable biomarkers as well as novel selective estrogen receptor degraders (SERDs). In biomarker-unselected populations, options include CDK4/6 continuation strategies, endocrine monotherapy in selected cases, and cytotoxic therapy. The integration of molecular testing via next-generation sequencing has become standard of care in guiding these decisions. However, overlapping molecular alterations and a lack of consensus on treatment sequencing pose significant challenges. Prognostic factors such as circulating tumor DNA dynamics may further refine treatment personalization. Post-CDK4/6 therapy in HR+/HER2− metastatic breast cancer is an evolving and increasingly complex area of practice. Optimal treatment selection should be tailored to both tumor biology and patient-specific factors, supported by molecular testing and high-quality evidence. Full article
(This article belongs to the Special Issue Progress in New Agents to Treat Breast Cancer)
17 pages, 3759 KB  
Article
Disproportionality Analysis of Oral Toxicities Associated with PI3K/AKT/mTOR Pathway Inhibitors Using the FAERS Database
by Monica Marni, Djamilla Simoens, Nicholas Romero, Walter Keith Jones and Simon Kaja
Pharmaceuticals 2025, 18(10), 1580; https://doi.org/10.3390/ph18101580 - 19 Oct 2025
Viewed by 257
Abstract
Background: Stomatitis is a common adverse event associated with targeted therapies for hormone receptor-positive, HER2-negative (HR+/HER2–) breast cancer, particularly those inhibiting the PI3K/AKT/mTOR pathway. While mTOR-inhibitor-associated stomatitis is well established, less is known about its occurrence with other kinase inhibitors in real-world [...] Read more.
Background: Stomatitis is a common adverse event associated with targeted therapies for hormone receptor-positive, HER2-negative (HR+/HER2–) breast cancer, particularly those inhibiting the PI3K/AKT/mTOR pathway. While mTOR-inhibitor-associated stomatitis is well established, less is known about its occurrence with other kinase inhibitors in real-world settings. We performed a pharmacovigilance disproportionality analysis of the FDA Adverse Event Reporting System (FAERS) to evaluate stomatitis reports for alpelisib, capivasertib, everolimus, and palbociclib. Methods: Events were identified using four term sets—Stomatitis, Original Trial Terms (OTT), Comprehensive Trial Terms (CTT), and Stomatitis-Associated Main Terms (SAMT)—which reflect varying definitions and medical terminologies. Disproportionality analyses using reporting odds ratio (ROR), proportional reporting ratio (PRR), and Information Component (IC) were calculated with 95% confidence intervals. Results: All agents showed ROR and PRR >1, indicating higher odds and reporting proportions of stomatitis compared with other drugs. These findings were confirmed by IC analysis. Everolimus demonstrated the strongest association (ROR: 30.72 [29.61–31.88]), followed by alpelisib (ROR: 13.11 [11.79–14.58]) and palbociclib (ROR: 11.73 [11.35–12.11]). Capivasertib had the lowest reporting odds (ROR: 3.14 [1.81–5.43]), though limited by fewer reports. Differences between CTT and SAMT were minimal (~2%). Conclusions: These results support the use of the SAMT as an efficient screening tool. Furthermore, these findings underscore the need for optimized stomatitis detection and continued monitoring, particularly for PI3K and mTOR inhibitors, in both clinical trials and postmarketing surveillance. Full article
(This article belongs to the Special Issue Drug Safety and Risk Management in Clinical Practice)
Show Figures

Figure 1

18 pages, 616 KB  
Article
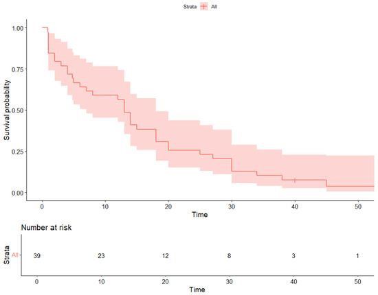
Efficacy of Subsequent Therapy in Patients with Hormone-Positive Advanced Breast Cancer with Disease Progression After CDK4/6 Inhibitor Therapy: Multicenter Real-Life Data
by Buket Şahin Çelik, Aslı Geçgel, Oğuzcan Özkan, Nargiz Majidova, Buket Erkan Özmarasalı, Gözde Ağdaş, İsmail Bayrakçı, Türkkan Evrensel and Erhan Gökmen
J. Clin. Med. 2025, 14(20), 7376; https://doi.org/10.3390/jcm14207376 - 18 Oct 2025
Viewed by 238
Abstract
Objectives: The aim of this study was to evaluate the effect of different systemic therapies after CDK4/6 inhibitor therapy on survival outcomes in HR+/HER2− metastatic breast cancer (MBC) patients. Methods: In this retrospective multicenter study, patients who continued chemotherapy (CT), everolimus [...] Read more.
Objectives: The aim of this study was to evaluate the effect of different systemic therapies after CDK4/6 inhibitor therapy on survival outcomes in HR+/HER2− metastatic breast cancer (MBC) patients. Methods: In this retrospective multicenter study, patients who continued chemotherapy (CT), everolimus + endocrine therapy (HT), and other hormonotherapy after treatment with a CDK4/6 inhibitor were compared. Clinicopathological data and survival outcomes were analyzed. Statistical analyses were performed using the SPSS v25 program, survival analyses were performed using the Kaplan–Meier method, and comparisons were made using the log-rank test. Results: A total of 145 patients were included in the study. The groups were similar in terms of baseline characteristics such as age, menopausal status, histology, stage, adjuvant treatment status, and metastatic spread pattern. The rate of recurrent disease was significantly higher in the CT and Everolimus + HT groups compared to the “Other” group (p = 0.027). However, there was no significant difference between the groups in terms of PFS and OS in the general population (p > 0.05). In subgroup analyses, OS was significantly longer in the everolimus + HT group compared to the CT group in those with recurrence duration ≥ 1 year and stable disease course > 6 months during CDK4/6 inhibitor treatment (p = 0.010 and p = 0.039). Conclusions: Although there was no significant difference in overall survival regarding the choice of treatment after a CDK4/6 inhibitor, everolimus + endocrine therapy was observed to have a positive effect on survival in some subgroups. This finding supports individualized treatment. Full article
(This article belongs to the Section Oncology)
Show Figures

Figure 1

12 pages, 739 KB  
Article
Perceived Barriers to NGS-Based Molecular Profiling Among US Metastatic Breast Cancer Patients
by Nicholas Cadirov, Moumita Chaki, Olivia Foroughi, Omar Perez, Stella Redpath and Gary Gustavsen
Diagnostics 2025, 15(20), 2626; https://doi.org/10.3390/diagnostics15202626 - 17 Oct 2025
Viewed by 386
Abstract
Background/Objectives: Next-generation sequencing (NGS)-based molecular profiling has revolutionized personalized medicine and unlocked new treatment options for cancer patients. Clinical guideline bodies agree that patients diagnosed with HR+/HER2− metastatic breast cancer (mBC) may benefit from comprehensive somatic genomic profiling to identify candidates for [...] Read more.
Background/Objectives: Next-generation sequencing (NGS)-based molecular profiling has revolutionized personalized medicine and unlocked new treatment options for cancer patients. Clinical guideline bodies agree that patients diagnosed with HR+/HER2− metastatic breast cancer (mBC) may benefit from comprehensive somatic genomic profiling to identify candidates for established targeted therapies and clinical trials, yet many patients are not receiving it due to a lack of widespread access to NGS. Methods: To better understand the perceived barriers (if any) to NGS tests in mBC, a study was conducted across multiple stakeholders including medical oncologists, nurses, physician assistants, lab directors, pathologists, payers, and patients. Results: This study revealed that despite the awareness and recognition of the value proposition of NGS-based molecular profiling in mBC, inconsistent payer coverage, high out of pocket costs for patients, and challenges in managing reimbursement and prior authorization processes can lead to suboptimal utilization of NGS, which can subsequently lead to suboptimal treatment decisions where approved therapies exist. Interestingly, many payers (33%) were not aware of the current somatic biomarker testing recommendations from NCCN guidelines. As a result, payers identified the lack of clear clinical guidelines (74% ranked as top 3), the lack of internal consensus on which NGS tests to cover (45%), and the absence of internal expertise on NGS (39%) as the primary hurdles for broader NGS access. Conclusions: The results suggest that widespread HCP and payer education on clinical guidelines (e.g., NCCN) and utility for targeted therapy selection is crucial for enhanced adoption of NGS-based molecular profiling in mBC. Full article
(This article belongs to the Special Issue Advances in the Diagnosis and Management of Breast Cancer)
Show Figures

Figure 1

14 pages, 1627 KB  
Article
Molecular Subtypes and Survival Patterns in Female Breast Cancer: Insights from a 12-Year Cohort
by Ionut Marcel Cobec, Ingolf Juhasz-Böss, Peter Seropian, Sarah Huwer, Vlad Bogdan Varzaru, Andreas Rempen and Aurica Elisabeta Moatar
Medicina 2025, 61(10), 1858; https://doi.org/10.3390/medicina61101858 - 16 Oct 2025
Viewed by 169
Abstract
Background and Objectives: Breast cancer is one of the most common cancers in women and the most common cause of cancer death. Hormone receptors, specifically the estrogen receptor (ER) and progesterone receptor (PR), as well as human epidermal growth factor receptor-2 (Her2), are [...] Read more.
Background and Objectives: Breast cancer is one of the most common cancers in women and the most common cause of cancer death. Hormone receptors, specifically the estrogen receptor (ER) and progesterone receptor (PR), as well as human epidermal growth factor receptor-2 (Her2), are tumor-specific markers used to guide breast cancer therapy. The purpose of this study is to evaluate the impact of tumor biology, including ER, PR, and Her2 expression, on survival in female breast cancer. Materials and Methods: This retrospective cohort study represents an analysis of 2016 female breast cancer cases using anonymized data. We reviewed cases of female breast cancer diagnosed from 1 January 2010 to 31 December 2021, in the Clinic of Obstetrics and Gynecology, Diakoneo Diak Klinikum Schwäbisch Hall, Germany. Data on clinical, pathology, immunohistochemistry, and follow-up characteristics were retrieved from the clinic’s database. To interpret the data, we used the software IBM SPSS Statistics 20, and, to account for multiple comparisons, we used a Bonferroni-adjusted significance level of 0.004. In the survival analysis, the Kaplan–Meier method and the log-rank test of equality of survival distributions were applied. Results: Among 2016 female breast cancer cases, 84.5% (1703/2016) were hormone receptor (HR)-positive. The 5-year overall survival was 0.873 (95% CI (0.851, 0.895); 99.6% CI (0.841, 0.905)) for HR-positive patients and 0.760 (95% CI (0.713, 0.807); 99.6% CI (0.691, 0.829)) for HR-negative patients (p < 0.001). Statistically significant differences were observed among HR+/HER2+, HR+/HER2−, HR−/HER2+, and triple-negative subtypes (p = 0.003). When comparing survival distributions based solely on HER2 expression (positive vs. negative), no statistically significant difference was observed (p = 0.29). Conclusions: Statistically significant differences in unadjusted overall survival distributions were observed among breast cancer molecular subtypes. HR-positive breast cancers demonstrated better overall survival than HR-negative cancers, while no statistically significant difference in unadjusted survival was observed between HER2-positive and HER2-negative groups. Full article
(This article belongs to the Special Issue New Developments in Diagnosis and Management of Breast Cancer)
Show Figures

Figure 1

10 pages, 334 KB  
Article
CDK4/6 Inhibitors in Patients Aged 80 and Older with HR+/HER2− Metastatic Breast Cancer: A Real-World Multicenter Study
by Palma Fedele, Matteo Landriscina, Lucia Moraca, Antonio Cusmai, Antonio Gnoni, Antonella Licchetta, Laura Lanotte, Maria Nicla Pappagallo, Assunta Melaccio, Guido Giordano, Felicia Maria Maselli, Francesco Giuliani, Vincenzo Chiuri, Francesco Giotta, Federica Fumai and Gennaro Gadaleta-Caldarola
Cancers 2025, 17(20), 3302; https://doi.org/10.3390/cancers17203302 - 13 Oct 2025
Viewed by 524
Abstract
Background: Older adults aged ≥80 with HR+/HER2− metastatic breast cancer (MBC) are often underrepresented in clinical trials, leaving clinicians with limited data to guide treatment decisions. Given the increasing prevalence of this age group, real-world evidence is crucial to inform therapeutic strategies. Methods: [...] Read more.
Background: Older adults aged ≥80 with HR+/HER2− metastatic breast cancer (MBC) are often underrepresented in clinical trials, leaving clinicians with limited data to guide treatment decisions. Given the increasing prevalence of this age group, real-world evidence is crucial to inform therapeutic strategies. Methods: We performed a multicenter retrospective study across seven Italian oncology units, focusing on patients aged 80 or above who received CDK4/6 inhibitors in combination with endocrine therapy between January 2020 and May 2024. Baseline characteristics, treatment details, and adverse events were recorded. Primary endpoints were progression-free survival (PFS) and overall survival (OS); toxicity was assessed using CTCAE v5.0. Follow-up was estimated using the reverse Kaplan–Meier method. Results: Eighty patients were included, with a median age of 83. Over half had visceral metastases, and 41.0% were frail (G8 ≤ 14). Approximately 44.0% of patients started treatment at a reduced dose. The median PFS was 13 months (95.0% CI 9.3–18.0), and the median OS was 15 months (95.0% CI 11.8–18.2). Hematologic toxicity was frequent, with neutropenia occurring in 58.8% (25.0% grade ≥ 3) and anemia in 12.5% (2.5% grade ≥ 3). Asthenia was reported in 16.2% (5.0% grade ≥ 3). Diarrhea occurred in 3.8% overall, mainly in patients treated with abemaciclib (42.9% any grade; 14.3% grade ≥ 3). ALT/AST elevations were observed in 8.8% (1.2% grade ≥ 3), and QTc prolongation in 2.5% (1.2% grade ≥ 3, all with ribociclib). Grade ≥ 3 events were uncommon and generally manageable. Conclusions: CDK4/6 inhibitor-based therapy is feasible in patients aged ≥80 years, with outcomes and tolerability comparable to those observed in younger elderly. Our results highlight the importance of individualized treatment strategies in this oldest-old population. Full article
(This article belongs to the Section Cancer Therapy)
Show Figures

Figure 1

21 pages, 630 KB  
Article
Hormone Receptor Positive/HER2 Negative Breast Carcinoma: Association of PIK3CA Mutational Status with PD-L1 and Tumor Cell Microenvironment and Their Prognostic Significance
by Danijel Lopac, Emina Babarović, Justin Hagen, Petra Valković Zujić, Damir Grebić and Ita Hadžisejdić
Int. J. Mol. Sci. 2025, 26(19), 9489; https://doi.org/10.3390/ijms26199489 - 28 Sep 2025
Viewed by 367
Abstract
Novel research data in different cancer types indicate that mutations within PIK3CA might serve as a biomarker of an improved response to immune therapy. Therefore, the aim of this study was to evaluate and examine possible differences in the tumor microenvironment composition and [...] Read more.
Novel research data in different cancer types indicate that mutations within PIK3CA might serve as a biomarker of an improved response to immune therapy. Therefore, the aim of this study was to evaluate and examine possible differences in the tumor microenvironment composition and PD-L1 expression as well the prognostic significance of CD4, CD8, CD68, and CD163 in PIK3CA mutated and non-mutated hormone receptor positive and HER2 negative (HR+/HER2−) breast carcinoma. Breast carcinoma tissue was analyzed by Cobas PIK3CA mutation test for the presence of PIK3CA mutation and immunohistochemistry was applied to assess PD-L1 expression and CD4, CD8, CD68, and CD163 infiltration within tumor. Statistically significant association was observed between PD-L1 expression and the presence of PIK3CA exon 20 mutation (p = 0.044), with PD-L1–positive patients predominantly harboring this mutation. Tumors harboring PIK3CA mutations exhibited moderate to strong statistically significant positive correlations between PD-L1 expression and infiltration by CD8 cells (rs = 0.462, p = 0.0027), CD68 cells (rs = 0.398, p = 0.0134), and CD163 cells (rs = 0.617, p < 0.0001). In patients with PIK3CA mutation and exon 20 PIK3CA mutation there was statistically significant longer survival without recurrence (p = 0.026 and p = 0.041, respectively). Research regarding PD-L1 expression, immune cells and PIK3CA mutations might have an impact on how to determine therapeutic approaches for patients with HR+/HER2− breast carcinoma. Full article
Show Figures

Figure 1

10 pages, 610 KB  
Article
Discrepancies Between the Tennessee Nomogram and Oncotype DX: Implications for the Korean Breast Cancer Population—The BRAIN Study
by Suk Jun Lee, Joo Heung Kim, Jee Hyun Ahn, So Hyeon Gwon, Ilkyun Lee, Seho Park and Nak-Hoon Son
Cancers 2025, 17(18), 3083; https://doi.org/10.3390/cancers17183083 - 21 Sep 2025
Viewed by 463
Abstract
Background: Oncotype DX (ODX) is widely used to estimate recurrence risk and guide adjuvant therapy in hormone receptor-positive (HR+), HER2-negative early-stage breast cancer. However, limited accessibility and high costs have prompted the use of alternative clinical models, such as the Tennessee nomogram. This [...] Read more.
Background: Oncotype DX (ODX) is widely used to estimate recurrence risk and guide adjuvant therapy in hormone receptor-positive (HR+), HER2-negative early-stage breast cancer. However, limited accessibility and high costs have prompted the use of alternative clinical models, such as the Tennessee nomogram. This study aimed to validate the predictive performance of the Tennessee nomogram in a Korean breast cancer cohort and identify factors contributing to discrepancies between nomogram predictions and ODX results. Methods: We retrospectively analyzed data on1298 patients with HR+/HER2−, node-negative invasive breast cancer who underwent ODX testing between May 2013 and August 2023. Predictive probabilities were calculated using the Tennessee nomogram and compared with actual ODX recurrence scores. Sensitivity, specificity, accuracy, positive predictive value (PPV), negative predictive value (NPV), and area under the curve (AUC) were determined. Discordant cases were examined for clinicopathologic characteristics contributing to prediction errors. Results: The nomogram demonstrated an overall accuracy of 86.1% (sensitivity 0.130, specificity 0.989, AUC 0.776). Discordant results were observed in 13.9% of cases, primarily in patients with a high histologic grade, PR negativity, and elevated Ki-67 index. Most false negatives clustered within the ODX score range of 25–30, suggesting underestimation of risk in borderline-high cases. Conclusions: The Tennessee nomogram may be a useful surrogate when ODX testing is unavailable, but caution is warranted in patients with aggressive tumor biology. In such cases, ODX testing should be prioritized to guide adjuvant therapy decisions. Full article
(This article belongs to the Section Clinical Research of Cancer)
Show Figures

Figure 1

13 pages, 736 KB  
Article
Single-Center Real World Study of Everolimus and Exemestane in HR+/HER2− Metastatic Breast Cancer Following CDK4/6 Inhibitor Therapy
by Yunus Emre Altıntaş, Oğuzcan Kınıkoğlu, Deniz Işık, Aziz Batu, Ayberk Bayramgil, Büşra Niğdelioğlu, Uğur Özkerim, Sıla Öksüz, Heves Sürmeli, Nedim Turan and Hatice Odabaş
Curr. Oncol. 2025, 32(9), 503; https://doi.org/10.3390/curroncol32090503 - 10 Sep 2025
Viewed by 828
Abstract
Background: Hormone receptor-positive (HR+), HER2− negative metastatic breast cancer (MBC) is the most common subtype of advanced breast cancer. Resistance to endocrine therapy often develops, particularly after CDK4/6 inhibitors. Everolimus, an mTOR inhibitor, may restore hormone sensitivity, but real-world data after CDK4/6 and [...] Read more.
Background: Hormone receptor-positive (HR+), HER2− negative metastatic breast cancer (MBC) is the most common subtype of advanced breast cancer. Resistance to endocrine therapy often develops, particularly after CDK4/6 inhibitors. Everolimus, an mTOR inhibitor, may restore hormone sensitivity, but real-world data after CDK4/6 and chemotherapy are limited. Methods: This retrospective, single-center study included 70 patients with HR+/HER2− MBC who progressed on CDK4/6 inhibitors and at least one line of chemotherapy. All received daily oral everolimus (10 mg) plus exemestane (25 mg). Tumor response was assessed via RECIST v1.1, and survival outcomes were estimated using the Kaplan–Meier method. Results: Median progression-free survival was 6.6 months and overall survival was 22.6 months. The disease control rate was 88.6%, with 57.1% showing partial response. Fatigue (20%), skin toxicity (8.6%), and stomatitis (5.7%) were the most common adverse events. No grade 3–4 toxicities or discontinuations occurred. No clinical or pathological variables significantly influenced survival. Conclusions: Everolimus plus exemestane provided meaningful clinical benefit and manageable toxicity in heavily pretreated HR+/HER2− MBC patients. This regimen remains a valid later-line option, particularly in settings with limited access to newer targeted therapies or genomic testing. Full article
(This article belongs to the Section Breast Cancer)
Show Figures

Graphical abstract

25 pages, 1351 KB  
Systematic Review
Unlocking the Potential of Immune Checkpoint Inhibitors in HR+/HER2− Breast Cancer: A Systematic Review
by Giuseppe Di Grazia, Arianna Dri, Angela Grieco, Claudia Martinelli, Michela Palleschi, Federica Martorana, Giacomo Barchiesi, Grazia Arpino, Carmine De Angelis, Michelino De Laurentiis, Lucia Del Mastro, Fabio Puglisi, Paolo Vigneri and Mario Giuliano
Cancers 2025, 17(17), 2940; https://doi.org/10.3390/cancers17172940 - 8 Sep 2025
Viewed by 1049
Abstract
Background: Hormone-receptor-positive (HR+)/HER2-negative (HER2−) breast cancer (BC) is characterized by low immunogenicity and an immunosuppressive microenvironment. These features likely contribute to the inconsistent clinical activity of immune checkpoint inhibitors (ICIs) in this BC subtype. We conducted a systematic review of clinical trials evaluating [...] Read more.
Background: Hormone-receptor-positive (HR+)/HER2-negative (HER2−) breast cancer (BC) is characterized by low immunogenicity and an immunosuppressive microenvironment. These features likely contribute to the inconsistent clinical activity of immune checkpoint inhibitors (ICIs) in this BC subtype. We conducted a systematic review of clinical trials evaluating ICIs in HR+/HER2− BC patients, focusing on potential biomarkers of response and resistance to these drugs. Methods: We systematically searched in Medline via PubMed, EMBASE, and CENTRAL for phase II/III clinical trials published between 2013 and 2023, testing ICIs alone or in combination with other agents in HR+/HER2− BC patients at any stage. All the searches were performed up to 27 January 2024. Data on study characteristics, clinical outcomes, and biomarker profiles were extracted, and due to study heterogeneity, a narrative synthesis was performed, without risk-of-bias assessment or meta-analysis. Results: Twenty-five studies were included, with 3298 patients enrolled overall. Eighteen of these trials enrolled patients with advanced disease. All trials investigated ICI combination regimens, more frequently with chemotherapy, CDK4/6 inhibitors, or other immunotherapeutic agents. Most of the studies enrolling patients with advanced disease failed to show a significant clinical activity of ICIs. In the early setting, neoadjuvant chemo-immunotherapy with nivolumab or pembrolizumab increased the rate of complete responses compared to chemotherapy alone. Moreover, high programmed death-ligand 1 (PD-L1) expression, low ER (estrogen receptor), and high tumor-infiltrating lymphocyte (TIL) levels correlated with improved outcomes. Consistently, markers indicating enhanced immune activation, such as the MammaPrint High 2 (MP2) genomic signature, were associated with increased ICI sensitivity. Discussion: Despite the limited overall efficacy, ICIs may represent a viable therapeutic option for a selected subset of HR+/HER2− BC patients. However, this systematic review is limited by study heterogeneity and the inclusion of ongoing or immature trials, which prevents quantitative analysis and may affect future conclusions on ICIs in HR+/HER2− breast cancer. Finally, optimized combination strategies could enhance tumor immunogenicity, while predictive biomarkers such as PD-L1, TILs, or specific genomic signatures could identify responsive patients. Full article
Show Figures

Figure 1

17 pages, 767 KB  
Systematic Review
Prognostic Value of Circulating Tumor DNA in HR+/HER2− Stage I–III Breast Cancer: A Systematic Review
by Ismail Ajjawi, Mariya Rozenblit, Alejandro Rios-Hoyo and Maryam B. Lustberg
Cancers 2025, 17(17), 2831; https://doi.org/10.3390/cancers17172831 - 29 Aug 2025
Viewed by 1113
Abstract
Background: Hormone receptor-positive (HR+), HER2-negative breast cancer accounts for the majority of breast cancer diagnoses. While outcomes have improved with neoadjuvant and adjuvant therapies, the risk of late recurrence persists, and there remains a critical need for reliable biomarkers to guide prognosis [...] Read more.
Background: Hormone receptor-positive (HR+), HER2-negative breast cancer accounts for the majority of breast cancer diagnoses. While outcomes have improved with neoadjuvant and adjuvant therapies, the risk of late recurrence persists, and there remains a critical need for reliable biomarkers to guide prognosis and post-treatment surveillance. Circulating tumor DNA (ctDNA), detectable via liquid biopsy, has emerged as a promising tool for monitoring minimal residual disease and predicting survival outcomes. This systematic review evaluates the association between ctDNA detection during neoadjuvant or adjuvant treatment and survival outcomes in early-stage HR+/HER2− breast cancer. Methods: This systematic review was conducted in accordance with PRISMA guidelines. A comprehensive literature search of Ovid MEDLINE and Embase was conducted to identify studies published through 3 May 2024 that evaluated ctDNA as a prognostic biomarker in stage I–III HR+/HER2− breast cancer. We included studies reporting recurrence-free survival, invasive disease-free survival, or overall survival and excluded non-original studies, conference abstracts, and non-English articles. Data extraction and qualitative synthesis were performed, and the risk of bias was qualitatively assessed across studies. No review protocol was registered. Results: Eleven studies comprising 1644 patients met the inclusion criteria. In the neoadjuvant setting, ctDNA positivity prior to treatment initiation was associated with inferior survival outcomes. In the adjuvant setting, detection of ctDNA during or after treatment was consistently linked to poorer recurrence-free and invasive disease-free survival. Across studies, ctDNA detection was a significant negative prognostic marker. Conclusions: This systematic review supports the prognostic value of ctDNA in HR+/HER2− early-stage breast cancer. Limitations include small sample sizes, observational study designs, and heterogeneity in ctDNA assays. Standardization of ctDNA testing methods and further prospective trials are needed to validate its clinical utility and explore its potential role in guiding therapeutic interventions. Full article
(This article belongs to the Special Issue Liquid Biopsy in Breast Cancer (2nd Edition))
Show Figures

Figure 1

5 pages, 2300 KB  
Commentary
Could 18F-FES PET Be a New Driver in Therapeutic Choice for Metastatic HR+/HER2− Patients?
by Maria Vita Sanò, Alessandro Russo, Lorenza Marino, Sarah Pafumi, Martina Di Pietro and Giuseppina Rosaria Rita Ricciardi
Diagnostics 2025, 15(17), 2139; https://doi.org/10.3390/diagnostics15172139 - 25 Aug 2025
Viewed by 740
Abstract
Hormone receptor-positive (HR+)/human epidermal growth factor receptor 2-negative (HER2−) breast cancer is the most prevalent subtype. Positron emission tomography (PET) imaging with 16α-18F-fluoro-17β-fluoroestradiol (18F-FES), a radiolabeled form of estradiol, enables the assessment in vivo of ER expression, ER heterogeneity in metastatic [...] Read more.
Hormone receptor-positive (HR+)/human epidermal growth factor receptor 2-negative (HER2−) breast cancer is the most prevalent subtype. Positron emission tomography (PET) imaging with 16α-18F-fluoro-17β-fluoroestradiol (18F-FES), a radiolabeled form of estradiol, enables the assessment in vivo of ER expression, ER heterogeneity in metastatic sites and functionally active ER capable of ligand binding. This imaging modality has been recently approved as a diagnostic tool for detecting ER-positive lesions in patients with recurrent or metastatic breast cancer. Despite promising activity, the role of this powerful tool is still debated. Herein we critically analyzed current evidence supporting the use of 18F-FES PET in metastatic ER+/HER2− breast cancer, highlighting the potential challenges for clinical implementation. Full article
(This article belongs to the Special Issue Emerging Predictive Biomarkers in Breast Cancer)
Show Figures

Figure 1

16 pages, 584 KB  
Article
Effectiveness and Safety of Sacituzumab Govitecan in Real-World Clinical Practice in Patients with Metastatic Triple-Negative and HR+/HER2-Negative Breast Cancer
by Fernando Lago-Ballester, Adrián Martínez-Orea, Ana Laorden-Carrasco, María Sacramento Díaz-Carrasco, José Carlos Titos-Arcos, María Carmen Mira-Sirvent, Ginés Luengo-Gil and Mónica Martínez-Penella
Biomedicines 2025, 13(9), 2059; https://doi.org/10.3390/biomedicines13092059 - 23 Aug 2025
Viewed by 1409
Abstract
Background/Objectives: Sacituzumab govitecan (SG) is an antibody–drug conjugate targeting Trop-2 that has demonstrated clinical benefits in randomised trials for patients with metastatic triple-negative breast cancer (mTNBC) and metastatic hormone receptor-positive/HER2-negative (HR+/HER2− mBC) disease. However, real-world data on its effectiveness and safety are limited, [...] Read more.
Background/Objectives: Sacituzumab govitecan (SG) is an antibody–drug conjugate targeting Trop-2 that has demonstrated clinical benefits in randomised trials for patients with metastatic triple-negative breast cancer (mTNBC) and metastatic hormone receptor-positive/HER2-negative (HR+/HER2− mBC) disease. However, real-world data on its effectiveness and safety are limited, especially in patients with poor performance status or central nervous system (CNS) involvement. This study aimed to evaluate the real-world outcomes of SG in these two subtypes. Methods: We conducted a retrospective, multicentre, observational study across three tertiary hospitals in Spain. Patients with mTNBC or HR+/HER2− mBC treated with SG between June 2022 and March 2025 were included. Clinical data, treatment history, adverse events (AEs), and survival outcomes were also recorded. The median progression-free survival (mPFS) and median overall survival (mOS) were estimated using Kaplan–Meier analysis. Univariate and multivariate analyses were performed to identify the factors influencing outcomes. The association between granulocyte colony-stimulating factor (G-CSF) prophylaxis and neutropenia was assessed using Fisher’s exact test. Results: A total of 56 patients were included in this study (33 with mTNBC and 23 with HR+/HER2− mBC). In the mTNBC group, mPFS was 4.0 months (95% CI: 1.94–5.98) and mOS was 11.0 months (95% CI: 4.80–17.12). In the HR+/HER2− mBC group, mPFS was 3.7 months (95% CI: 2.02–5.44) and mOS was 20.2 months (95% CI: 3.9–36.5). Fatigue, neutropenia, and gastrointestinal toxicity were the most common AEs. Primary G-CSF prophylaxis was not associated with a reduced incidence of neutropenia (p = 0.434). Conclusions: In routine practice, SG shows effectiveness comparable to that of randomised trials across both subtypes, with a safety profile consistent with pivotal studies. The observed toxicity profile was consistent with that described in pivotal clinical trials and other studies. The prophylactic use of G-CSF was not associated with an impact on the occurrence of neutropenia, but the incidence of neutropenia was lower than that in clinical trials and other studies that did not administer G-CSF prophylactically. Full article
(This article belongs to the Section Drug Discovery, Development and Delivery)
Show Figures

Figure 1

21 pages, 3038 KB  
Article
Exploring the Interplay Between Gut Microbiota and the Melatonergic Pathway in Hormone Receptor-Positive Breast Cancer
by Aurora Laborda-Illanes, Soukaina Boutriq, Lucía Aranega-Martín, Daniel Castellano-Castillo, Lidia Sánchez-Alcoholado, Isaac Plaza-Andrades, Jesús Peralta-Linero, Emilio Alba, José Carlos Fernández-García, Alicia González-González and María Isabel Queipo-Ortuño
Int. J. Mol. Sci. 2025, 26(14), 6801; https://doi.org/10.3390/ijms26146801 - 16 Jul 2025
Viewed by 1078
Abstract
Emerging evidence suggests a bidirectional relationship between gut microbiota, melatonin synthesis, and breast cancer (BC) development in hormone receptor-positive patients (HR+HER2+ and HR+HER2-). This study investigated alterations in gut microbiota composition, the serum serotonin–N-acetylserotonin (NAS)–melatonin axis, fecal short-chain fatty acids (SCFAs) and beta-glucuronidase [...] Read more.
Emerging evidence suggests a bidirectional relationship between gut microbiota, melatonin synthesis, and breast cancer (BC) development in hormone receptor-positive patients (HR+HER2+ and HR+HER2-). This study investigated alterations in gut microbiota composition, the serum serotonin–N-acetylserotonin (NAS)–melatonin axis, fecal short-chain fatty acids (SCFAs) and beta-glucuronidase (βGD) activity, and serum zonulin in HR+ BC patients compared to healthy controls. Blood and fecal samples were analyzed using mass spectrometry for serotonin, NAS, melatonin, and SCFAs; ELISA for AANAT, ASMT, 14-3-3 protein, and zonulin; fluorometric assay for βGD activity; and 16S rRNA sequencing for gut microbiota composition. HR+ BC patients exhibited gut dysbiosis with reduced Bifidobacterium longum and increased Bacteroides eggerthii, alongside elevated fecal βGD activity, SCFA levels (e.g., isovaleric acid), and serum zonulin, indicating increased intestinal permeability. Serum serotonin and N-acetylserotonin (NAS) levels were elevated, while melatonin levels were reduced, with a higher NAS/melatonin ratio in BC patients. AANAT levels were increased, and ASMT levels were decreased, suggesting disrupted melatonin synthesis. Bifidobacterium longum positively correlated with melatonin and negatively with βGD activity, while Bacteroides eggerthii showed a positive correlation with βGD activity. These findings suggested that gut microbiota alterations, disrupted melatonin synthesis, microbial metabolism, and intestinal permeability may contribute to BC pathophysiology. The NAS/melatonin ratio could represent a potential biomarker, necessitating further mechanistic studies to confirm causality and explore therapeutic interventions. Full article
(This article belongs to the Special Issue Interplay Between the Human Microbiome and Diseases)
Show Figures

Graphical abstract

18 pages, 2506 KB  
Perspective
Early Predictive Markers and Histopathological Response to Neoadjuvant Endocrine Therapy in Postmenopausal Patients with HR+/HER2− Early Breast Cancer
by Aleksandra Konieczna and Magdalena Rosinska
Cancers 2025, 17(14), 2319; https://doi.org/10.3390/cancers17142319 - 12 Jul 2025
Viewed by 795
Abstract
Purpose: Neoadjuvant endocrine therapy (NET) represents a valuable treatment option for hormone receptor-positive (HR+)/HER2-negative breast cancer, particularly in postmenopausal women. This study aimed to evaluate the clinical and histopathological efficacy of NET and to explore early and late changes in Ki-67 and [...] Read more.
Purpose: Neoadjuvant endocrine therapy (NET) represents a valuable treatment option for hormone receptor-positive (HR+)/HER2-negative breast cancer, particularly in postmenopausal women. This study aimed to evaluate the clinical and histopathological efficacy of NET and to explore early and late changes in Ki-67 and progesterone receptor (PgR) expression as indicators of endocrine response. Methods: A prospective cohort of 127 postmenopausal patients with stage cT1–4N0–3M0 HR+/HER2− breast cancer was enrolled between 2019 and 2021. Patients received NET (mostly letrozole) for a mean of 7.7 months. In 80 cases, a second core biopsy was performed after four weeks. Tumor size, histological grade, and biomarkers (Ki-67, PgR) were assessed pre- and post-treatment. Results: NET led to a significant reduction in tumor size, with median shrinkage of 47.0% (from 32.0 mm to 17.0 mm, p < 0.0001). Breast-conserving surgery (BCS) was performed in 52.2% of patients and lymph node negativity (pN0) was observed in 50.4%. Median Ki-67 decreased from 20.0% at baseline to 5.0% after four weeks (p < 0.0001) and remained low in surgical specimens (median 5.0%, p < 0.0001). In 33.3% of patients, Ki-67 dropped below 2.7%, and 67.0% showed a concordant decrease in both Ki-67 and PgR. PgR expression declined significantly during treatment (p < 0.0001). HER2 status conversion was noted in 6.4% of patients during treatment. Pathological complete response (pCR) occurred in 3.5%, while minimal or moderate residual disease (RCB I–II) was identified in 71.3% of cases. Conclusions: NET effectively reduced tumor burden and histological aggressiveness, enabling higher rates of BCS. Early reduction in Ki-67 and PgR may serve as surrogate markers of endocrine responsiveness, supporting their use for treatment stratification and monitoring during NET in HR+/HER2− breast cancer. Full article
(This article belongs to the Special Issue The Neoadjuvant Therapy for Breast Cancer)
Show Figures

Figure 1

Back to TopTop