Sign in to use this feature.

Years

Between: -

Subjects

remove_circle_outline
remove_circle_outline
remove_circle_outline
remove_circle_outline
remove_circle_outline
remove_circle_outline
remove_circle_outline

Journals

Article Types

Countries / Regions

Search Results (45)

Search Parameters:
Keywords = HOPG surface

Order results
Result details
Results per page
Select all
Export citation of selected articles as:
12 pages, 1763 KB  
Article
Label-Free Electrochemical Detection of K-562 Leukemia Cells Using TiO2-Modified Graphite Nanostructured Electrode
by Martha Esperanza Sevilla, Rubén Jesús Camargo Amado and Pablo Raúl Valle
Biosensors 2026, 16(1), 28; https://doi.org/10.3390/bios16010028 - 1 Jan 2026
Viewed by 542
Abstract
This manuscript presents the development of an electrochemical biosensor designed to detect K-562 chronic myeloid leukemia (CML) cells. The biosensor was made of highly oriented pyrolytic graphite (HOPG), functionalized with -OH and -COOH groups by surface etching with strong acids, and subsequently coated [...] Read more.
This manuscript presents the development of an electrochemical biosensor designed to detect K-562 chronic myeloid leukemia (CML) cells. The biosensor was made of highly oriented pyrolytic graphite (HOPG), functionalized with -OH and -COOH groups by surface etching with strong acids, and subsequently coated with modified titanium dioxide (TiO2-m). TiO2-m is TiO2 modified during its synthesis process using carbon nanotubes functionalized with -OH and -COOH groups. These changes improve the electron transfer kinetics and physicochemical properties of the electrode surface. TiO2-m improves the sensitivity and selectivity towards leukemic cells. The detection process involved three stages: cell culture, cell adhesion onto the TiO2–m electrode, and measurement of the electrochemical signal. Fluorescence microscopy and SEM-EDS confirmed cell adhesion and pseudopod formation on the TiO2-m surface, which is an important finding because K-562 cells are typically nonadherent. Cyclic voltammetry (VC) and differential pulse voltammetry (VDP) demonstrated rapid and sensitive detection of leukemic cells within the concentration range of 6250 to 1,000,000 cells/mL, achieving high reproducibility and strong linearity (R2 = 98%) with a detection time of 25 s. The VC and VDP demonstrated rapid and sensitive detection of leukemic cells over a concentration range of 6250 to 1,000,000 cells/mL, achieving adequate reproducibility and stable linearity (R2 = 98%), with a detection time of 25 s. These results indicate that the TiO2-m biosensor is a promising platform for the rapid and efficient electrochemical detection of leukemia cells. Full article
Show Figures

Figure 1

14 pages, 2096 KB  
Review
Graphitic Carbon Nitride in Oral Health: Emerging Applications, Antimicrobial Potential, and Future Perspectives
by Gertrud Alexandra Paltinean, Marioara Moldovan, Codruta Sarosi, Laura Silaghi-Dumitrescu, Stanca Cuc, Gabriel Furtos, Ioan Petean and Irina Camelia Chis
Int. J. Mol. Sci. 2025, 26(24), 11860; https://doi.org/10.3390/ijms262411860 - 9 Dec 2025
Viewed by 444
Abstract
This comprehensive review highlights the growing significance of graphitic carbon nitride (g-C3N4) as a multifunctional material with applications spanning diverse scientific and technological domains. Based on an extensive literature from electronic databases such as Web of Science, PubMed and [...] Read more.
This comprehensive review highlights the growing significance of graphitic carbon nitride (g-C3N4) as a multifunctional material with applications spanning diverse scientific and technological domains. Based on an extensive literature from electronic databases such as Web of Science, PubMed and Google Scholar, we provide an in-depth discussion of the fundamental structural configurations of g-C3N4, namely the triazine- and heptazine-based frameworks, which form the basis of its unique physicochemical and electronic properties. The two predominant synthesis strategies—thermal polymerization and solvothermal/hydrothermal routes—are examined in detail and illustrated through representative schematic models to elucidate their underlying mechanisms and resulting structural variations. Advanced surface characterization techniques, such as atomic force microscopy (AFM) and scanning tunneling microscopy (STM), are also discussed in the context of their application to materials, including Highly Oriented Pyrolytic Graphite (HOPG), graphene oxide, and carbon nitride. These analyses provide insights into nanoscale surface topography and structural attributes, with HOPG serving as a well-established reference material for comparison. The review also addresses the biological activities and potential applications of g-C3N4, particularly in the context of its photocatalytic, antimicrobial, and biocompatible properties. Despite substantial progress in other research fields, a notable gap remains in the exploration of g-C3N4 for oral and dental applications. This limitation is largely attributed to the scarcity of systematic studies and limited published data in this emerging area. Accordingly, this review identifies promising opportunities for future research aimed at harnessing the distinctive properties of g-C3N4 for innovative developments in oral healthcare and dental material science. Full article
Show Figures

Figure 1

16 pages, 1624 KB  
Article
Oxidation of Supported Nickel Nanoparticles: Effects of Lattice Strain and Vibrational Excitations of Active Sites
by Sergey Yu. Sarvadii, Andrey K. Gatin, Nadezhda V. Dokhlikova, Sergey A. Ozerin, Vasiliy A. Kharitonov, Dinara Tastaibek, Vladislav G. Slutskii and Maxim V. Grishin
Nanomaterials 2025, 15(18), 1390; https://doi.org/10.3390/nano15181390 - 10 Sep 2025
Viewed by 539
Abstract
This work investigated the oxidation in an atmosphere of N2O of different surface areas of single nickel nanoparticles deposited on highly oriented pyrolytic graphite (HOPG). Using scanning tunneling microscopy and spectroscopy, it was shown that oxide formation begins at the top [...] Read more.
This work investigated the oxidation in an atmosphere of N2O of different surface areas of single nickel nanoparticles deposited on highly oriented pyrolytic graphite (HOPG). Using scanning tunneling microscopy and spectroscopy, it was shown that oxide formation begins at the top of the nanoparticle, while the periphery is resistant to oxidation. The active site of oxygen incorporation is a vibrationally excited group of nickel atoms, and the gap between them is the place where an oxygen adatom penetrates. The characteristic time of vibrational relaxation of the active site is 10−9–10−7 s. The reason for the oxidation resistance is the deformation of the nanoparticle atomic lattice near the Ni-HOPG interface. A relative compression of the nanoparticle atomic lattice ξ = 0.4–0.8% was shown to be enough for such an effect to manifest. Such compression increases the activation energy for oxygen incorporation by 6–12 kJ/mol, resulting in inhibition of oxide growth at the periphery of the nanoparticle. In fact, in this work, oxygen adatoms served as probes, and their incorporation between nickel atoms allowed the measurement of the nanoparticle’s lattice parameters at different distances from the Ni–HOPG interface. The developed theoretical framework not only accounts for the observed oxidation behavior but also offers a potential pathway to estimate charge transfer and local work functions for deposited nickel catalysts. Full article
(This article belongs to the Special Issue Recent Advances in Surface and Interface Nanosystems)
Show Figures

Figure 1

17 pages, 2002 KB  
Communication
Towards a Rational Design of Biosensors: Engineering Covalently Grafted Interfacial Adlayers as a Testbed Platform for Electrochemical Detection of Epinephrine
by Xiaoli Chang, Yuan Fang and Oleksandr Ivasenko
Molecules 2025, 30(10), 2236; https://doi.org/10.3390/molecules30102236 - 21 May 2025
Viewed by 974
Abstract
The performance of electrochemical (bio)sensors is fundamentally determined by the precise engineering of interfacial layers that govern (bio)analyte–surface interactions. However, elucidating structure–function relationships remains challenging due to the complex architecture of modern sensors and the irregular nanoscale morphology of many high-performance materials. In [...] Read more.
The performance of electrochemical (bio)sensors is fundamentally determined by the precise engineering of interfacial layers that govern (bio)analyte–surface interactions. However, elucidating structure–function relationships remains challenging due to the complex architecture of modern sensors and the irregular nanoscale morphology of many high-performance materials. In this study, we present a strategy for designing custom functional interfaces as well-defined platforms for probing interfacial processes. Focusing on epinephrine (EP) detection as an important representative of catecholamines, we compare the interfacial behavior of two carboxy-functionalized electrodes—grafted with either para-aminobenzoic acid (PAB) or 3,4,5-tricarboxybenzenediazonium (ATA)—against atomically flat highly oriented pyrolytic graphite (HOPG) as a control. While both modifiers introduce carboxyl groups, PAB forms disordered multilayers that inhibit surface responsiveness, whereas ATA yields an ultrathin monolayer with accessible COOH groups. Electrochemical analysis reveals that ATA-HOPG significantly enhances EP detection at sub-micromolar levels, facilitated by electrostatic interactions between surface-bound COO and protonated EP and its redox products. These results demonstrate that nanoscale control of diazonium grafting is crucial for optimizing bioanalyte recognition. More broadly, this work highlights how molecular-level surface engineering on high-quality carbon substrates can serve as a test-bed platform for the rational design of advanced electrochemical sensing interfaces. Full article
(This article belongs to the Special Issue Physicochemical Research on Material Surfaces)
Show Figures

Figure 1

13 pages, 4356 KB  
Article
Highly Reproducible Automated Tip Coater for In Situ and Operando EC-STM Measurements
by Robert Kurczak, Paulina Wira, Anna Futyma, Radosław Wasielewski and Tomasz Kosmala
Surfaces 2024, 7(4), 990-1002; https://doi.org/10.3390/surfaces7040065 - 18 Nov 2024
Cited by 1 | Viewed by 2311
Abstract
High-quality, reproducible tip coatings are essential for minimizing faradaic currents in electrochemical scanning tunneling microscopy (EC-STM), especially during in situ and operando measurements. The variability inherent in manual coating methods, influenced by the operator’s skill and a lack of standardization, can lead to [...] Read more.
High-quality, reproducible tip coatings are essential for minimizing faradaic currents in electrochemical scanning tunneling microscopy (EC-STM), especially during in situ and operando measurements. The variability inherent in manual coating methods, influenced by the operator’s skill and a lack of standardization, can lead to inconsistent results, increased research costs, and a greater workload. This study introduces an Automated Tip Coater (ATC) designed to automate and standardize the tip coating process. The ATC features a tip movement system using stepper motors, a rotation module with a DC motor, and a heating block based on a soldering iron. It is controlled by an Arduino development board, supported by motor drivers, and has a user-friendly interface with an OLED display and encoder. The ATC coating mechanism includes a redesigned plate with a reduced gap size and a milled tray to precisely control the amount of insulating material applied to the tip. A fast cyclic voltammetry test in a 0.1 M HClO4 electrolyte demonstrated that over 75% of ATC-coated tips achieved excellent insulation with leakage currents below ±50 pA—and 30% below ±10 pA—suitable for highly sensitive experiments. Further measurements with EC-STM using the newly coated tips investigated the electrochemical behavior of highly oriented pyrolytic graphite (HOPG), revealing detailed atomic structures under dynamic electrochemical conditions. The ATC significantly enhances reproducibility, reduces dependency on operator skills, and lowers research costs while improving the accuracy and reliability of EC-STM measurements. Full article
(This article belongs to the Special Issue In Situ and Operando Catalyst Characterization)
Show Figures

Graphical abstract

15 pages, 6901 KB  
Article
Covalent Molecular Anchoring of Metal-Free Porphyrin on Graphitic Surfaces toward Improved Electrocatalytic Activities in Acidic Medium
by Thi Mien Trung Huynh and Thanh Hai Phan
Coatings 2024, 14(6), 745; https://doi.org/10.3390/coatings14060745 - 12 Jun 2024
Cited by 2 | Viewed by 2400
Abstract
Robust engineering of two-dimensional (2D) materials via covalent grafting of organic molecules has been a great strategy for permanently tuningtheir physicochemical behaviors toward electrochemical energy applications. Herein, we demonstrated that a covalent functionalization approach of graphitic surfaces including graphene by a graftable porphyrin [...] Read more.
Robust engineering of two-dimensional (2D) materials via covalent grafting of organic molecules has been a great strategy for permanently tuningtheir physicochemical behaviors toward electrochemical energy applications. Herein, we demonstrated that a covalent functionalization approach of graphitic surfaces including graphene by a graftable porphyrin (g-Por) derivative, abbreviated as g-Por/HOPG or g-Por/G, is realizable. The efficiency of this approach is determined at both the molecular and global scales by using a state-of-the-art toolbox including cyclic voltammetry (CV), X-ray photoelectron spectroscopy (XPS), Raman spectroscopy, atomic force microscopy (AFM), and scanning tunneling microscopy (STM). Consequently, g-Por molecules were proven to covalently graft on graphitic surfaces via C-C bonds, resulting in the formation of a robust novel hybrid 2D material visualized by AFM and STM imaging. Interestingly, the resulting robust molecular material was elucidated as a novel bifunctional catalyst for both the oxygen evolution (OER) and the hydrogen evolution reactions (HER) in acidic medium with highly catalytic stability and examined at the molecular level. These findings contribute to an in-depth understanding at the molecular level ofthe contribution of the synergetic effects of molecular structures toward the water-splitting process. Full article
Show Figures

Figure 1

13 pages, 9545 KB  
Article
RHEED Study of the Epitaxial Growth of Silicon and Germanium on Highly Oriented Pyrolytic Graphite
by Kirill A. Lozovoy, Vladimir V. Dirko, Olzhas I. Kukenov, Arseniy S. Sokolov, Konstantin V. Krukovskii, Mikhail S. Snegerev, Alexey V. Borisov, Yury V. Kistenev and Andrey P. Kokhanenko
C 2024, 10(2), 36; https://doi.org/10.3390/c10020036 - 10 Apr 2024
Cited by 1 | Viewed by 3603
Abstract
Two-dimensional silicon (silicene) and germanium (germanene) have attracted special attention from researchers in recent years. At the same time, highly oriented pyrolytic graphite (HOPG) and graphene are some of the promising substrates for growing silicene and germanene. However, to date, the processes occurring [...] Read more.
Two-dimensional silicon (silicene) and germanium (germanene) have attracted special attention from researchers in recent years. At the same time, highly oriented pyrolytic graphite (HOPG) and graphene are some of the promising substrates for growing silicene and germanene. However, to date, the processes occurring during the epitaxial growth of silicon and germanium on the surface of such substrates have been poorly studied. In this work, the epitaxial growth of silicon and germanium is studied directly during the process of the molecular beam epitaxy deposition of material onto the HOPG surface by reflection high-energy electron diffraction (RHEED). In addition, the obtained samples are studied by Raman spectroscopy and scanning electron microscopy. A wide range of deposition temperatures from 100 to 800 °C is considered and temperature intervals are determined for various growth modes of silicon and germanium on HOPG. Conditions for amorphous and polycrystalline growth are distinguished. Diffraction spots corresponding to the lattice constants of silicene and germanene are identified that may indicate the presence of areas of graphene-like 2D phases during epitaxial deposition of silicon and germanium onto the surface of highly oriented pyrolytic graphite. Full article
(This article belongs to the Special Issue Advances in Bilayer Graphene)
Show Figures

Graphical abstract

14 pages, 1286 KB  
Article
Utilizing Constant Energy Difference between sp-Peak and C 1s Core Level in Photoelectron Spectra for Unambiguous Identification and Quantification of Diamond Phase in Nanodiamonds
by Oleksandr Romanyuk, Štěpán Stehlík, Josef Zemek, Kateřina Aubrechtová Dragounová and Alexander Kromka
Nanomaterials 2024, 14(7), 590; https://doi.org/10.3390/nano14070590 - 27 Mar 2024
Cited by 4 | Viewed by 3196
Abstract
The modification of nanodiamond (ND) surfaces has significant applications in sensing devices, drug delivery, bioimaging, and tissue engineering. Precise control of the diamond phase composition and bond configurations during ND processing and surface finalization is crucial. In this study, we conducted a comparative [...] Read more.
The modification of nanodiamond (ND) surfaces has significant applications in sensing devices, drug delivery, bioimaging, and tissue engineering. Precise control of the diamond phase composition and bond configurations during ND processing and surface finalization is crucial. In this study, we conducted a comparative analysis of the graphitization process in various types of hydrogenated NDs, considering differences in ND size and quality. We prepared three types of hydrogenated NDs: high-pressure high-temperature NDs (HPHT ND-H; 0–30 nm), conventional detonation nanodiamonds (DND-H; ~5 nm), and size- and nitrogen-reduced hydrogenated nanodiamonds (snr-DND-H; 2–3 nm). The samples underwent annealing in an ultra-high vacuum and sputtering by Ar cluster ion beam (ArCIB). Samples were investigated by in situ X-ray photoelectron spectroscopy (XPS), in situ ultraviolet photoelectron spectroscopy (UPS), and Raman spectroscopy (RS). Our investigation revealed that the graphitization temperature of NDs ranges from 600 °C to 700 °C and depends on the size and crystallinity of the NDs. Smaller DND particles with a high density of defects exhibit a lower graphitization temperature. We revealed a constant energy difference of 271.3 eV between the sp-peak in the valence band spectra (at around 13.7 eV) and the sp3 component in the C 1s core level spectra (at 285.0 eV). The identification of this energy difference helps in calibrating charge shifts and serves the unambiguous identification of the sp3 bond contribution in the C 1s spectra obtained from ND samples. Results were validated through reference measurements on hydrogenated single crystal C(111)-H and highly-ordered pyrolytic graphite (HOPG). Full article
Show Figures

Figure 1

20 pages, 7080 KB  
Article
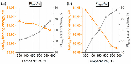
Thermally Induced Surface Structure and Morphology Evolution in Bimetallic Pt-Au/HOPG Nanoparticles as Probed Using XPS and STM
by Alexey Yu. Fedorov, Andrey V. Bukhtiyarov, Maxim A. Panafidin, Igor P. Prosvirin, Yan V. Zubavichus and Valerii I. Bukhtiyarov
Nanomaterials 2024, 14(1), 57; https://doi.org/10.3390/nano14010057 - 25 Dec 2023
Cited by 8 | Viewed by 2344
Abstract
Bimetallic nanoparticles expand the possibilities of catalyst design, providing an extra degree of freedom for tailoring the catalyst structure in comparison to purely monometallic systems. The distribution mode of two metal species defines the structure of surface catalytic sites, and current research efforts [...] Read more.
Bimetallic nanoparticles expand the possibilities of catalyst design, providing an extra degree of freedom for tailoring the catalyst structure in comparison to purely monometallic systems. The distribution mode of two metal species defines the structure of surface catalytic sites, and current research efforts are focused on the development of methods for their controlled tuning. In light of this, a comprehensive investigation of the factors which influence the changes in the morphology of bimetallic nanoparticles, including the elemental redistribution, are mandatory for each particular bimetallic system. Here we present the combined XPS/STM study of the surface structure and morphology of bimetallic Pt-Au/HOPG nanoparticles prepared by thermal vacuum deposition and show that thermal annealing up to 350 °C induces the alloying process between the two bulk-immiscible metal components. Increasing the treatment temperature enhances the extent of Pt-Au alloying. However, the sintering of nanoparticles starts to occur above 500 °C. The approach implemented in this work includes the theoretical simulation of XPS signal intensities for a more meticulous analysis of the compositional distribution and can be helpful from a methodological perspective for other XPS/STM studies of bimetallic nanoparticles on planar supports. Full article
Show Figures

Figure 1

12 pages, 3298 KB  
Article
Ag Nanocluster Production through DC Magnetron Sputtering and Inert Gas Condensation: A Study of Structural, Kelvin Probe Force Microscopy, and Optical Properties
by Ishaq Musa, Naser Qamhieh and Saleh T. Mahmoud
Nanomaterials 2023, 13(20), 2758; https://doi.org/10.3390/nano13202758 - 13 Oct 2023
Cited by 4 | Viewed by 2200
Abstract
Silver nanoclusters are valuable for a variety of applications. A combination of direct current (DC) magnetron sputtering and inert gas condensation methods, employed within an ultra-high vacuum (UHV) system, was used to generate Ag nanoclusters with an average size of 4 nm. Various [...] Read more.
Silver nanoclusters are valuable for a variety of applications. A combination of direct current (DC) magnetron sputtering and inert gas condensation methods, employed within an ultra-high vacuum (UHV) system, was used to generate Ag nanoclusters with an average size of 4 nm. Various analytical techniques, including Scanning Probe Microscopy (SPM), X-ray Diffraction (XRD), Kelvin Probe Force Microscopy (KPFM), UV-visible absorption, and Photoluminescence, were employed to characterize the produced Ag nanoclusters. AFM topographic imaging revealed spherical nanoparticles with sizes ranging from 3 to 6 nm, corroborating data from a quadrupole mass filter (QMF). The XRD analysis verified the simple cubic structure of the Ag nanoclusters. The surface potential was assessed using KPFM, from which the work function was calculated with a reference highly ordered pyrolytic graphite (HOPG). The UV-visible absorption spectra displayed peaks within the 350–750 nm wavelength range, with a strong absorption feature at 475 nm. Additionally, lower excitation wavelengths resulted in a sharp peak emission at 370 nm, which became weaker and broader when higher excitation wavelengths were used. Full article
(This article belongs to the Special Issue Advances in Nanomaterials for Optoelectronics: Second Edition)
Show Figures

Figure 1

10 pages, 8272 KB  
Article
Two-Dimensional Hetero- to Homochiral Phase Transition from Dynamic Adsorption of Barbituric Acid Derivatives
by Fabien Silly, Changzhi Dong, François Maurel and Xiaonan Sun
Nanomaterials 2023, 13(16), 2304; https://doi.org/10.3390/nano13162304 - 10 Aug 2023
Viewed by 1722
Abstract
Barbituric acid derivative (TDPT) is an achiral molecule, and its adsorption on a surface results in two opposite enantiomerically oriented motifs, namely TDPT-Sp and Rp. Two types of building blocks can be formed; block I is enantiomer-pure and is built [...] Read more.
Barbituric acid derivative (TDPT) is an achiral molecule, and its adsorption on a surface results in two opposite enantiomerically oriented motifs, namely TDPT-Sp and Rp. Two types of building blocks can be formed; block I is enantiomer-pure and is built up of the same motifs (format SpSp or RpRp) whereas block II is enantiomer-mixed and composes both motifs (format SpRp), respectively. The organization of the building blocks determines the formation of different nanoarchitectures which are investigated using scanning tunneling microscopy at a liquid/HOPG interface. Sophisticated, highly symmetric “nanowaves” are first formed from both building blocks I and II and are heterochiral. The “nanowaves” are metastable and evolve stepwisely into more close-packed “nanowires” which are formed from enantiomer-pure building block I and are homochiral. A dynamic hetero- to homochiral transformation and simultaneous multi-scale phase transitions are demonstrated at the single-molecule level. Our work provides novel insights into the control and the origin of chiral assemblies and chiral transitions, revealing the various roles of enantiomeric selection and chiral competition, driving forces, stability and molecular coverage. Full article
Show Figures

Figure 1

10 pages, 3513 KB  
Article
Reversible Tuning of Surface Properties of Graphene-like Material via Covalently Functionalized Hydrophobic Layer
by Thi Mien Trung Huynh, Duy Dien Nguyen, Nhat Hieu Hoang and Thanh Hai Phan
Crystals 2023, 13(4), 635; https://doi.org/10.3390/cryst13040635 - 7 Apr 2023
Cited by 5 | Viewed by 2235
Abstract
Nanoscale tuning of the surface properties of graphene-like materials is essential to optimize their application in electronic devices and protective technologies. The covalent modification method has recently been established as the most effective approach for tailoring the interface structure and properties, which are [...] Read more.
Nanoscale tuning of the surface properties of graphene-like materials is essential to optimize their application in electronic devices and protective technologies. The covalent modification method has recently been established as the most effective approach for tailoring the interface structure and properties, which are key aspects for fine-tuning the processability and performance of graphene-like materials. In this work, we demonstrate systematic exploration of the reversible covalent functionalization of a highly oriented pyrolytic graphite (HOPG) surface, a model system of multi-layered graphene, at the molecular scale. This is achieved using 3,5-trifluoromethyl benzenediazonum (3,5-TFD) and experimental investigations via cyclic voltammetry (CV), electrochemical impedance spectroscopy (EIS), scanning tunneling microscopy (STM), and Raman spectroscopy. The degree of functionalization could be tuned by varying the concentration of 3,5-TFD dissolved in the grafting electrolyte. The covalently functionalized layer of 3,5-TFD was either locally degrafted by the STM tip or globally detracted upon thermal treatment, leaving the defect-free graphitic surfaces behind. Our findings open a new pathway for reversibly and robustly functionalizing graphene and other 2D materials for multiple uses in high-end applications. Full article
Show Figures

Figure 1

13 pages, 4600 KB  
Article
Identification of Supramolecular Structures of Porphyrin Polymer on Single-Walled Carbon Nanotube Surface Using Microscopic Imaging Techniques
by Ahmed I. A. Abd El-Mageed and Takuji Ogawa
Polymers 2023, 15(6), 1439; https://doi.org/10.3390/polym15061439 - 14 Mar 2023
Cited by 4 | Viewed by 2906
Abstract
Although the supramolecular structure of porphyrin polymers on flat surfaces (i.e., mica and HOPG) has been extensively studied, the self-assembly arrays of porphyrin polymers on the SWNT (as curved nanocarbon surfaces) have yet to be fully identified and/or investigated, especially using microscopic imaging [...] Read more.
Although the supramolecular structure of porphyrin polymers on flat surfaces (i.e., mica and HOPG) has been extensively studied, the self-assembly arrays of porphyrin polymers on the SWNT (as curved nanocarbon surfaces) have yet to be fully identified and/or investigated, especially using microscopic imaging techniques, i.e., scanning tunneling microscopy (STM), atomic force microscopy (AFM), and transmission electron microscopy (TEM). This study reports the identification of the supramolecular structure of poly-[5,15-bis-(3,5-isopentoxyphenyl)-10,20-bis ethynylporphyrinato]-zinc (II) on the SWNT surface using mainly AFM and HR-TEM microscopic imaging techniques. After synthesizing around >900 mer of porphyrin polymer (via Glaser-Hay coupling); the as-prepared porphyrin polymer is then non-covalently adsorbed on SWNT surface. Afterward, the resultant porphyrin/SWNT nanocomposite is then anchored with gold nanoparticles (AuNPs), which are used as a marker, via coordination bonding to produce a porphyrin polymer/AuNPs/SWNT hybrid. The polymer, AuNPs, nanocomposite, and/or nanohybrid are characterized using 1H-NMR, mass spectrometry, UV-visible spectroscopy, AFM, as well as HR-TEM measuring techniques. The self-assembly arrays of porphyrin polymers moieties (marked with AuNPs) prefer to form a coplanar well-ordered, regular, repeated array (rather than wrapping) between neighboring molecules along the polymer chain on the tube surface. This will help with further understanding, designing, and fabricating novel supramolecular architectonics of porphyrin/SWNT-based devices. Full article
(This article belongs to the Section Polymer Composites and Nanocomposites)
Show Figures

Graphical abstract

26 pages, 5004 KB  
Article
Comparison of the Electrochemical Response of Carbon-Fiber-Reinforced Plastic (CFRP), Glassy Carbon, and Highly Ordered Pyrolytic Graphite (HOPG) in Near-Neutral Aqueous Chloride Media
by Stanley Udochukwu Ofoegbu, Mário Guerreiro Silva Ferreira, Helena I. S. Nogueira and Mikhail Zheludkevich
C 2023, 9(1), 7; https://doi.org/10.3390/c9010007 - 7 Jan 2023
Cited by 7 | Viewed by 5830
Abstract
Carbon-fiber-reinforced polymers (CFRP), being conductive, are capable of supporting cathodic oxygen reduction reactions (ORR) and thus promote galvanic corrosion when coupled to many metallic materials. Hence, understanding cathodic processes at carbon surfaces is critical to developing new strategies for the corrosion protection of [...] Read more.
Carbon-fiber-reinforced polymers (CFRP), being conductive, are capable of supporting cathodic oxygen reduction reactions (ORR) and thus promote galvanic corrosion when coupled to many metallic materials. Hence, understanding cathodic processes at carbon surfaces is critical to developing new strategies for the corrosion protection of multi-material assemblies. In the present work, the electrochemical responses of CFRP, glassy carbon, and HOPG (Highly Ordered Pyrolytic Graphite) have been evaluated in a quiescent 50 mM NaCl solution, and their respective activities towards ORR have been ranked. Employing the averages of the specific charges (CFRP, 129.52 mC cm−2; glassy carbon, 89.95 mC cm−2; HOPG, 60.77 mC cm−2) passed during 1 h polarization of each of the 3 carbon surfaces at −1000 mVSCE in the test media as a ranking criterion, the propensities of the 3 carbon surfaces (CFRP, GC, and HOPG) to support cathodic activities that can lead to anodic metal dissolution on galvanic coupling to metallic materials are ranked thusly; CFRP > GC > HOPG. This ranking is consistent with the trend of capacitance values obtained in this work: CFRP (19.5 to 34.5 μF cm−2), glassy carbon (13.6 to 85.5 μF cm−2), and HOPG (1.4 to 1.8 μF cm−2). A comparison of electrochemical data at potentials relevant to galvanic coupling to metals indicated that at these cathodic potential(s) the CFRP surface is the most electrochemically active of the studied carbon surfaces. On the basis of the values and trends of the electrochemical parameters evaluated, it is postulated that the observed differences in the electrochemical responses of these 3 carbon-rich surfaces to ORR are significantly due to differences in the proportions of edge sites present on each carbon surface. These results could provide valuable insights on plausible strategies for designing carbon surfaces and carbon fiber composites with reduced activity toward ORR for corrosion protection applications or enhanced activity towards ORR for energy applications. Full article
Show Figures

Figure 1

9 pages, 1917 KB  
Article
Fabrication and Characterization of Pre-Defined Few-Layer Graphene
by Tingting Wang, Liangguang Jia, Quanzhen Zhang, Ziqiang Xu, Zeping Huang, Peiwen Yuan, Baofei Hou, Xuan Song, Kaiqi Nie, Chen Liu, Jiaou Wang, Huixia Yang, Liwei Liu, Teng Zhang and Yeliang Wang
Physchem 2023, 3(1), 13-21; https://doi.org/10.3390/physchem3010002 - 21 Dec 2022
Cited by 2 | Viewed by 2784
Abstract
Graphene is one of the most well-known two-dimensional (2D) materials that has attracted significant interest due to its unique electrical and optical properties. Being a van der Waals substrate, the fabrication of few-layered graphene by stacking a pre-defined number of graphene monolayers is [...] Read more.
Graphene is one of the most well-known two-dimensional (2D) materials that has attracted significant interest due to its unique electrical and optical properties. Being a van der Waals substrate, the fabrication of few-layered graphene by stacking a pre-defined number of graphene monolayers is essential in the field. The thickness can influence the interface interaction and therefore tune the surface electronic properties. In the study, we demonstrate a bottom-up synthesis of pre-defined few-layer graphene on SiC substrate using the thermal decomposition method and carefully characterize its thickness by the non-damageable synchrotron-radiation-based X-ray photo-electron spectroscopy (SR-XPS). By varying the photon energy, we acquire different probe depths, resulting in the different intensity ratios of graphene to SiC substrate, which is then used to estimate the thickness of the few-layer graphene. Our calculation demonstrates that the thermal decomposition method in the study can repeatedly fabricate graphene samples with expected thickness. We further compare the obtained few-layer graphene to the single-layer graphene and HOPG using the scanning tunneling microscopy (STM) technique. Our work provides accurate methods for fabricating and characterizing pre-defined few-layer graphene, providing essential knowledge in future graphene-based thin film electronics. Full article
(This article belongs to the Section Surface Science)
Show Figures

Figure 1

Back to TopTop