Sign in to use this feature.

Years

Between: -

Subjects

remove_circle_outline
remove_circle_outline
remove_circle_outline
remove_circle_outline
remove_circle_outline
remove_circle_outline
remove_circle_outline

Journals

Article Types

Countries / Regions

Search Results (14)

Search Parameters:
Keywords = HCN polymers

Order results
Result details
Results per page
Select all
Export citation of selected articles as:
20 pages, 7400 KB  
Article
Cage Nanofillers’ Influence on Fire Hazard and Toxic Gases Emitted during Thermal Decomposition of Polyurethane Foam
by Arkadiusz Głowacki, Przemysław Rybiński, Monika Żelezik and Ulugbek Zakirovich Mirkhodjaev
Polymers 2024, 16(5), 645; https://doi.org/10.3390/polym16050645 - 27 Feb 2024
Cited by 7 | Viewed by 2000
Abstract
Polyurethane (PUR), as an engineering polymer, is widely used in many sectors of industries. However, the high fire risks associated with PUR, including the smoke density, a high heat release rate, and the toxicity of combustion products limit its applications in many fields. [...] Read more.
Polyurethane (PUR), as an engineering polymer, is widely used in many sectors of industries. However, the high fire risks associated with PUR, including the smoke density, a high heat release rate, and the toxicity of combustion products limit its applications in many fields. This paper presents the influence of silsesquioxane fillers, alone and in a synergistic system with halogen-free flame-retardant compounds, on reducing the fire hazard of polyurethane foams. The flammability of PUR composites was determined with the use of a pyrolysis combustion flow calorimeter (PCFC) and a cone calorimeter. The flammability results were supplemented with smoke emission values obtained with the use of a smoke density chamber (SDC) and toxicometric indexes. Toxicometric indexes were determined with the use of an innovative method consisting of a thermo-balance connected to a gas analyzer with the use of a heated transfer line. The obtained test results clearly indicate that the used silsesquioxane compounds, especially in combination with organic phosphorus compounds, reduced the fire risk, as expressed by parameters such as the maximum heat release rate (HRRmax), the total heat release rate (THR), and the maximum smoke density (SDmax). The flame-retardant non-halogen system also reduced the amounts of toxic gases emitted during the decomposition of PUR, especially NOx, HCN, NH3, CO and CO2. According to the literature review, complex studies on the fire hazard of a system of POSS–phosphorus compounds in the PUR matrix have not been published yet. This article presents the complex results of studies, indicating that the POSS–phosphorous compound system can be treated as an alternative to toxic halogen flame-retardant compounds in order to decrease the fire hazard of PUR foam. Full article
(This article belongs to the Special Issue Advance in Polymer Composites: Fire Protection and Thermal Management)
Show Figures

Figure 1

16 pages, 4993 KB  
Article
Understanding the Thermal Degradation Mechanism of High-Temperature-Resistant Phthalonitrile Foam at Macroscopic and Molecular Levels
by Xulin Yang, Yi Li, Wenwu Lei, Zhongxiang Bai, Yingqing Zhan, Ying Li, Kui Li, Pan Wang, Wei Feng and Qi Liu
Polymers 2023, 15(19), 3947; https://doi.org/10.3390/polym15193947 - 29 Sep 2023
Cited by 13 | Viewed by 3810
Abstract
Polymer foam, a special form of polymer, usually demonstrates some unexpected properties that rarely prevail in the bulky polymer. Studying the thermal degradation behavior of a specific polymer foam is important for its rational design, quick identification, objective evaluation, and industrial application. The [...] Read more.
Polymer foam, a special form of polymer, usually demonstrates some unexpected properties that rarely prevail in the bulky polymer. Studying the thermal degradation behavior of a specific polymer foam is important for its rational design, quick identification, objective evaluation, and industrial application. The present study aimed to discover the thermal degradation mechanism of high-temperature-resistant phthalonitrile (PN) foam under an inert gas atmosphere. The macroscopic thermal decomposition of PN foam was carried out at the cost of size/weight loss, resulting in an increasing number of open cells with pyrolyzation debris. Using the TGA/DTG/FTIR/MS technique, it was found that PN foam involves a three-stage thermal degradation mechanism: (I) releasing gases such as H2O, CO2, and NH3 generated from azo-containing intermediate decomposition and these trapped in the closed cells during the foaming process; (II) backbone decomposition from C-N, C-O, and C-C cleavage in the PN aliphatic chain with the generation of H2O, CO2, NH3, CO, CH4, RNH2, HCN, and aromatic gases; and (III) carbonization into a final N-hybrid graphite. The thermal degradation of PN foam was different from that of bulky PN resin. During the entire pyrolysis of PN foam, there was a gas superposition phenomenon since the release of the decomposition volatile was retarded by the closed cells in the PN foam. This research will contribute to the general understanding of the thermal degradation behavior of PN foam at the macroscopic and molecular levels and provide a reference for the identification, determination, and design of PN material. Full article
(This article belongs to the Special Issue High-Temperature-Resistant Polymers and Their Advanced Composites)
Show Figures

Figure 1

19 pages, 6775 KB  
Article
Coordination Chemistry of Polynitriles, Part XII—Serendipitous Synthesis of the Octacyanofulvalenediide Dianion and Study of Its Coordination Chemistry with K+ and Ag+
by Patrick Nimax, Yannick Kunzelmann and Karlheinz Sünkel
Inorganics 2023, 11(2), 71; https://doi.org/10.3390/inorganics11020071 - 2 Feb 2023
Cited by 1 | Viewed by 2201
Abstract
The reaction of diazotetracyanocyclopentadiene with copper powder in the presence of NEt4Cl yields, unexpectedly, besides the known NEt4[C5H(CN)4] (3), the NEt4 salt of octacyanofulvalenediide (NEt4)2[C10(CN)8] ( [...] Read more.
The reaction of diazotetracyanocyclopentadiene with copper powder in the presence of NEt4Cl yields, unexpectedly, besides the known NEt4[C5H(CN)4] (3), the NEt4 salt of octacyanofulvalenediide (NEt4)2[C10(CN)8] (5), which can be transformed via reaction with AgNO3 to the corresponding Ag+ salt (4), which in turn can be reacted with KCl to yield the corresponding K+ salt 6. The molecular and crystal structures of 46 could be determined, and show a significantly twisted aromatic dianion which uses all its nitrile groups for coordination to the metals; 4 and 6 form three-dimensional coordination polymers with fourfold coordinated Ag+ and eightfold coordinated K+ cations. Full article
(This article belongs to the Special Issue Recent Progress in Coordination Chemistry)
Show Figures

Figure 1

17 pages, 7674 KB  
Article
Kinetic Study of the Effective Thermal Polymerization of a Prebiotic Monomer: Aminomalononitrile
by Carlos Hortelano, Marta Ruiz-Bermejo and José L. de la Fuente
Polymers 2023, 15(3), 486; https://doi.org/10.3390/polym15030486 - 17 Jan 2023
Cited by 4 | Viewed by 2621
Abstract
Aminomalononitrile (AMN), the HCN formal trimer, is a molecule of interest in prebiotic chemistry, in fine organic synthesis, and, currently, in materials science, mainly for bio-applications. Herein, differential scanning calorimetry (DSC) measurements by means of non-isothermal experiments of the stable AMN p-toluenesulfonate [...] Read more.
Aminomalononitrile (AMN), the HCN formal trimer, is a molecule of interest in prebiotic chemistry, in fine organic synthesis, and, currently, in materials science, mainly for bio-applications. Herein, differential scanning calorimetry (DSC) measurements by means of non-isothermal experiments of the stable AMN p-toluenesulfonate salt (AMNS) showed successful bulk AMN polymerization. The results indicated that this thermally stimulated polymerization is initiated at relatively low temperatures, and an autocatalytic kinetic model can be used to appropriately describe, determining the kinetic triplet, including the activation energy, the pre-exponential factor, and the mechanism function (Eα, A and f(α)). A preliminary structural characterization, by means of Fourier transform infrared (FTIR) spectroscopy, supported the effective generation of HCN-derived polymers prepared from AMNS. This study demonstrated the autocatalytic, highly efficient, and straightforward character of AMN polymerization, and to the best of our knowledge, it describes, for the first time, a systematic and extended kinetic analysis for gaining mechanistic insights into this process. The latter was accomplished through the help of simultaneous thermogravimetry (TG)-DSC and the in situ mass spectrometry (MS) technique for investigating the gas products generated during these polymerizations. These analyses revealed that dehydrocyanation and deamination processes must be important elimination reactions involved in the complex AMN polymerization mechanism. Full article
Show Figures

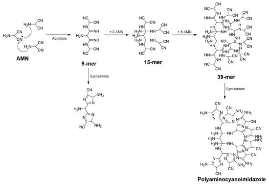
Graphical abstract

24 pages, 6614 KB  
Article
Multivariate Analysis Applied to Microwave-Driven Cyanide Polymerization: A Statistical View of a Complex System
by Cristina Pérez-Fernández, Elena González-Toril, Eva Mateo-Martí and Marta Ruiz-Bermejo
Polymers 2023, 15(2), 410; https://doi.org/10.3390/polym15020410 - 12 Jan 2023
Viewed by 2342
Abstract
For the first time, chemometrics was applied to the recently reported microwave-driven cyanide polymerization. Fast, easy, robust, low-cost, and green-solvent processes are characteristic of these types of reactions. These economic and environmental benefits, originally inspired by the constraints imposed by plausible prebiotic synthetic [...] Read more.
For the first time, chemometrics was applied to the recently reported microwave-driven cyanide polymerization. Fast, easy, robust, low-cost, and green-solvent processes are characteristic of these types of reactions. These economic and environmental benefits, originally inspired by the constraints imposed by plausible prebiotic synthetic conditions, have taken advantage of the development of a new generation of HCN-derived multifunctional materials. HCN-derived polymers present tunable properties by temperature and reaction time. However, the apparently random behavior observed in the evolution of cyanide polymerizations, assisted by microwave radiation over time at different temperatures, leads us to study this highly complex system using multivariate analytical tools to have a proper view of the system. Two components are sufficient to explain between 84 and 98% of the total variance in the data in all principal component analyses. In addition, two components explain more than 91% of the total variance in the data in the case of principal component analysis for categorical data. These consistent statistical results indicate that microwave-driven polymerization is a more robust process than conventional thermal syntheses but also that plausible prebiotic chemistry in alkaline subaerial environments could be more complex than in the aerial part of these systems, presenting a clear example of the “messy chemistry” approach of interest in the research about the origins of life. In addition, the methodology discussed herein could be useful for the data analysis of extraterrestrial samples and for the design of soft materials, in a feedback view between prebiotic chemistry and materials science. Full article
Show Figures

Figure 1

20 pages, 9044 KB  
Article
Semiconducting Soft Submicron Particles from the Microwave-Driven Polymerization of Diaminomaleonitrile
by Marta Ruiz-Bermejo, Pilar García-Armada, Pilar Valles and José L. de la Fuente
Polymers 2022, 14(17), 3460; https://doi.org/10.3390/polym14173460 - 24 Aug 2022
Cited by 10 | Viewed by 2455
Abstract
The polymers based on diaminomaleonitrile (DAMN polymers) are a special group within an extensive set of complex substances, namely HCN polymers (DAMN is the formal tetramer of the HCN), which currently present a growing interest in materials science. Recently, the thermal polymerizability of [...] Read more.
The polymers based on diaminomaleonitrile (DAMN polymers) are a special group within an extensive set of complex substances, namely HCN polymers (DAMN is the formal tetramer of the HCN), which currently present a growing interest in materials science. Recently, the thermal polymerizability of DAMN has been reported, both in an aqueous medium and in bulk, offering the potential for the development of capacitors and biosensors, respectively. In the present work, the polymerization of this plausible prebiotic molecule has been hydrothermally explored using microwave radiation (MWR) via the heating of aqueous DAMN suspensions at 170–190 °C. In this way, polymeric submicron particles derived from DAMN were obtained for the first time. The structural, thermal decomposition, and electrochemical properties were also deeply evaluated. The redox behavior was characterized from DMSO solutions of these highly conjugated macromolecular systems and their potential as semiconductors was described. As a result, new semiconducting polymeric submicron particles were synthetized using a very fast, easy, highly robust, and green-solvent process. These results show a new example of the great potential of the polymerization assisted by MWR associated with the HCN-derived polymers, which has a dual interest both in chemical evolution and as functional materials. Full article
(This article belongs to the Special Issue Polymer Nanoparticles: Synthesis and Applications)
Show Figures

Figure 1

20 pages, 6583 KB  
Article
Tuning the Morphology in the Nanoscale of NH4CN Polymers Synthesized by Microwave Radiation: A Comparative Study
by Cristina Pérez-Fernández, Pilar Valles, Elena González-Toril, Eva Mateo-Martí, José Luis de la Fuente and Marta Ruiz-Bermejo
Polymers 2022, 14(1), 57; https://doi.org/10.3390/polym14010057 - 24 Dec 2021
Cited by 6 | Viewed by 3572
Abstract
A systematic study is presented to explore the NH4CN polymerization induced by microwave (MW) radiation, keeping in mind the recent growing interest in these polymers in material science. Thus, a first approach through two series, varying the reaction times and the [...] Read more.
A systematic study is presented to explore the NH4CN polymerization induced by microwave (MW) radiation, keeping in mind the recent growing interest in these polymers in material science. Thus, a first approach through two series, varying the reaction times and the temperatures between 130 and 205 °C, was conducted. As a relevant outcome, using particular reaction conditions, polymer conversions similar to those obtained by means of conventional thermal methods were achieved, with the advantage of a very significant reduction of the reaction times. The structural properties of the end products were evaluated using compositional data, spectroscopic measurements, simultaneous thermal analysis (STA), X-ray diffraction (XRD), and scanning electron microscopy (SEM). As a result, based on the principal component analysis (PCA) from the main experimental results collected, practically only the crystallographic features and the morphologies in the nanoscale were affected by the MW-driven polymerization conditions with respect to those obtained by classical syntheses. Therefore, MW radiation allows us to tune the morphology, size and shape of the particles from the bidimensional C=N networks which are characteristic of the NH4CN polymers by an easy, fast, low-cost and green-solvent production. These new insights make these macromolecular systems attractive for exploration in current soft-matter science. Full article
(This article belongs to the Special Issue Polymers Synthesis and Characterization)
Show Figures

Graphical abstract

23 pages, 26736 KB  
Article
A Lizardite–HCN Interaction Leading the Increasing of Molecular Complexity in an Alkaline Hydrothermal Scenario: Implications for Origin of Life Studies
by Saúl A. Villafañe-Barajas, Marta Ruiz-Bermejo, Pedro Rayo-Pizarroso, Santos Gálvez-Martínez, Eva Mateo-Martí and María Colín-García
Life 2021, 11(7), 661; https://doi.org/10.3390/life11070661 - 6 Jul 2021
Cited by 9 | Viewed by 4412
Abstract
Hydrogen cyanide, HCN, is considered a fundamental molecule in chemical evolution. The named HCN polymers have been suggested as precursors of important bioorganics. Some novel researches have focused on the role of mineral surfaces in the hydrolysis and/or polymerization of cyanide species, but [...] Read more.
Hydrogen cyanide, HCN, is considered a fundamental molecule in chemical evolution. The named HCN polymers have been suggested as precursors of important bioorganics. Some novel researches have focused on the role of mineral surfaces in the hydrolysis and/or polymerization of cyanide species, but until now, their role has been unclear. Understanding the role of minerals in chemical evolution processes is crucial because minerals undoubtedly interacted with the organic molecules formed on the early Earth by different process. Therefore, we simulated the probable interactions between HCN and a serpentinite-hosted alkaline hydrothermal system. We studied the effect of serpentinite during the thermolysis of HCN at basic conditions (i.e., HCN 0.15 M, 50 h, 100 °C, pH > 10). The HCN-derived thermal polymer and supernatant formed after treatment were analyzed by several complementary analytical techniques. The results obtained suggest that: (I) the mineral surfaces can act as mediators in the mechanisms of organic molecule production such as the polymerization of HCN; (II) the thermal and physicochemical properties of the HCN polymer produced are affected by the presence of the mineral surface; and (III) serpentinite seems to inhibit the formation of bioorganic molecules compared with the control (without mineral). Full article
(This article belongs to the Section Origin of Life)
Show Figures

Figure 1

12 pages, 2477 KB  
Article
An Atmospheric Origin for HCN-Derived Polymers on Titan
by Zoé Perrin, Nathalie Carrasco, Audrey Chatain, Lora Jovanovic, Ludovic Vettier, Nathalie Ruscassier and Guy Cernogora
Processes 2021, 9(6), 965; https://doi.org/10.3390/pr9060965 - 29 May 2021
Cited by 17 | Viewed by 4221
Abstract
Titan’s haze is strongly suspected to be an HCN-derived polymer, but despite the first in situ measurements by the ESA-Huygens space probe, its chemical composition and formation process remain largely unknown. To investigate this question, we simulated the atmospheric haze formation process, experimentally. [...] Read more.
Titan’s haze is strongly suspected to be an HCN-derived polymer, but despite the first in situ measurements by the ESA-Huygens space probe, its chemical composition and formation process remain largely unknown. To investigate this question, we simulated the atmospheric haze formation process, experimentally. We synthesized analogues of Titan’s haze, named Titan tholins, in an irradiated N2–CH4 gas mixture, mimicking Titan’s upper atmosphere chemistry. HCN was monitored in situ in the gas phase simultaneously with the formation and evolution of the haze particles. We show that HCN is produced as long as the particles are absent, and is then progressively consumed when the particles appear and grow. This work highlights HCN as an effective precursor of Titan’s haze and confirms the HCN-derived polymer nature of the haze. Full article
(This article belongs to the Section Materials Processes)
Show Figures

Figure 1

36 pages, 6536 KB  
Review
A Comprehensive Review of HCN-Derived Polymers
by Marta Ruiz-Bermejo, José Luis de la Fuente, Cristina Pérez-Fernández and Eva Mateo-Martí
Processes 2021, 9(4), 597; https://doi.org/10.3390/pr9040597 - 29 Mar 2021
Cited by 45 | Viewed by 9544
Abstract
HCN-derived polymers are a heterogeneous group of complex substances synthesized from pure HCN; from its salts; from its oligomers, specifically its trimer and tetramer, amino-nalono-nitrile (AMN) and diamino-maleo-nitrile (DAMN), respectively; or from its hydrolysis products, such as formamide, under a wide range of [...] Read more.
HCN-derived polymers are a heterogeneous group of complex substances synthesized from pure HCN; from its salts; from its oligomers, specifically its trimer and tetramer, amino-nalono-nitrile (AMN) and diamino-maleo-nitrile (DAMN), respectively; or from its hydrolysis products, such as formamide, under a wide range of experimental conditions. The characteristics and properties of HCN-derived polymers depend directly on the synthetic conditions used for their production and, by extension, their potential applications. These puzzling systems have been known mainly in the fields of prebiotic chemistry and in studies on the origins of life and astrobiology since the first prebiotic production of adenine by Oró in the early years of the 1960s. However, the first reference regarding their possible role in prebiotic chemistry was mentioned in the 19th century by Pflüger. Currently, HCN-derived polymers are considered keys in the formation of the first and primeval protometabolic and informational systems, and they may be among the most readily formed organic macromolecules in the solar system. In addition, HCN-derived polymers have attracted a growing interest in materials science due to their potential biomedical applications as coatings and adhesives; they have also been proposed as valuable models for multifunctional materials with emergent properties such as semi-conductivity, ferroelectricity, catalysis and photocatalysis, and heterogeneous organo-synthesis. However, the real structures and the formation pathways of these fascinating substances have not yet been fully elucidated; several models based on either computational approaches or spectroscopic and analytical techniques have endeavored to shed light on their complete nature. In this review, a comprehensive perspective of HCN-derived polymers is presented, taking into account all the aspects indicated above. Full article
(This article belongs to the Section Materials Processes)
Show Figures

Figure 1

19 pages, 3943 KB  
Article
Characterization of HCN-Derived Thermal Polymer: Implications for Chemical Evolution
by Saúl A. Villafañe-Barajas, Marta Ruiz-Bermejo, Pedro Rayo-Pizarroso and María Colín-García
Processes 2020, 8(8), 968; https://doi.org/10.3390/pr8080968 - 11 Aug 2020
Cited by 18 | Viewed by 6357
Abstract
Hydrogen cyanide (HCN)-derived polymers have been recognized as sources of relevant organic molecules in prebiotic chemistry and material sciences. However, there are considerable gaps in the knowledge regarding the polymeric nature, the physicochemical properties, and the chemical pathways along polymer synthesis. HCN might [...] Read more.
Hydrogen cyanide (HCN)-derived polymers have been recognized as sources of relevant organic molecules in prebiotic chemistry and material sciences. However, there are considerable gaps in the knowledge regarding the polymeric nature, the physicochemical properties, and the chemical pathways along polymer synthesis. HCN might have played an important role in prebiotic hydrothermal environments; however, only few experiments use cyanide species considering hydrothermal conditions. In this work, we synthesized an HCN-derived thermal polymer simulating an alkaline hydrothermal environment (i.e., HCN (l) 0.15 M, 50 h, 100 °C, pH approximately 10) and characterized its chemical structure, thermal behavior, and the hydrolysis effect. Elemental analysis and infrared spectroscopy suggest an important oxidation degree. The thermal behavior indicates that the polymer is more stable compared to other HCN-derived polymers. The mass spectrometric thermal analysis showed the gradual release of several volatile compounds along different thermal steps. The results suggest a complicate macrostructure formed by amide and hydroxyl groups, which are joined to the main reticular chain with conjugated bonds (C=O, N=O, –O–C=N). The hydrolysis treatment showed the pH conditions for the releasing of organics. The study of the synthesis of HCN-derived thermal polymers under feasible primitive hydrothermal conditions is relevant for considering hydrothermal vents as niches of chemical evolution on early Earth. Full article
(This article belongs to the Section Materials Processes)
Show Figures

Figure 1

16 pages, 2008 KB  
Review
Astrochemistry and Astrobiology: Materials Science in Wonderland?
by Marco d’Ischia, Paola Manini, Marco Moracci, Raffaele Saladino, Vincent Ball, Helmut Thissen, Richard A. Evans, Cristina Puzzarini and Vincenzo Barone
Int. J. Mol. Sci. 2019, 20(17), 4079; https://doi.org/10.3390/ijms20174079 - 21 Aug 2019
Cited by 33 | Viewed by 9616
Abstract
Astrochemistry and astrobiology, the fascinating disciplines that strive to unravel the origin of life, have opened unprecedented and unpredicted vistas into exotic compounds as well as extreme or complex reaction conditions of potential relevance for a broad variety of applications. Representative, and so [...] Read more.
Astrochemistry and astrobiology, the fascinating disciplines that strive to unravel the origin of life, have opened unprecedented and unpredicted vistas into exotic compounds as well as extreme or complex reaction conditions of potential relevance for a broad variety of applications. Representative, and so far little explored sources of inspiration include complex organic systems, such as polycyclic aromatic hydrocarbons (PAHs) and their derivatives; hydrogen cyanide (HCN) and formamide (HCONH2) oligomers and polymers, like aminomalononitrile (AMN)-derived species; and exotic processes, such as solid-state photoreactions on mineral surfaces, phosphorylation by minerals, cold ice irradiation and proton bombardment, and thermal transformations in fumaroles. In addition, meteorites and minerals like forsterite, which dominate dust chemistry in the interstellar medium, may open new avenues for the discovery of innovative catalytic processes and unconventional methodologies. The aim of this review was to offer concise and inspiring, rather than comprehensive, examples of astrochemistry-related materials and systems that may be of relevance in areas such as surface functionalization, nanostructures, and hybrid material design, and for innovative technological solutions. The potential of computational methods to predict new properties from spectroscopic data and to assess plausible reaction pathways on both kinetic and thermodynamic grounds has also been highlighted. Full article
(This article belongs to the Collection Feature Papers in Materials Science)
Show Figures

Figure 1

18 pages, 869 KB  
Article
Navigating the Chemical Space of HCN Polymerization and Hydrolysis: Guiding Graph Grammars by Mass Spectrometry Data
by Jakob L. Andersen, Tommy Andersen, Christoph Flamm, Martin M. Hanczyc, Daniel Merkle and Peter F. Stadler
Entropy 2013, 15(10), 4066-4083; https://doi.org/10.3390/e15104066 - 25 Sep 2013
Cited by 38 | Viewed by 30223
Abstract
Polymers of hydrogen cyanide and their hydrolysis products constitute a plausible, but still poorly understood proposal for early prebiotic chemistry on Earth. HCN polymers are generated by the interplay of more than a dozen distinctive reaction mechanisms and form a highly complex mixture. [...] Read more.
Polymers of hydrogen cyanide and their hydrolysis products constitute a plausible, but still poorly understood proposal for early prebiotic chemistry on Earth. HCN polymers are generated by the interplay of more than a dozen distinctive reaction mechanisms and form a highly complex mixture. Here we use a computational model based on graph grammars as a means of exploring the chemical spaces of HCN polymerization and hydrolysis. A fundamental issue is to understand the combinatorial explosion inherent in large, complex chemical systems. We demonstrate that experimental data, here obtained by mass spectrometry, and computationally predicted free energies together can be used to guide the exploration of the chemical space and makes it feasible to investigate likely pathways and chemical motifs even in potentially open-ended chemical systems. Full article
(This article belongs to the Special Issue Equilibrium and Non-Equilibrium Entropy in the Origin of Life)
Show Figures

Figure 1

28 pages, 275 KB  
Review
Simple Organics and Biomonomers Identified in HCN Polymers: An Overview
by Marta Ruiz-Bermejo, María-Paz Zorzano and Susana Osuna-Esteban
Life 2013, 3(3), 421-448; https://doi.org/10.3390/life3030421 - 29 Jul 2013
Cited by 58 | Viewed by 14453
Abstract
Hydrogen cyanide (HCN) is a ubiquitous molecule in the Universe. It is a compound that is easily produced in significant yields in prebiotic simulation experiments using a reducing atmosphere. HCN can spontaneously polymerise under a wide set of experimental conditions. It has even [...] Read more.
Hydrogen cyanide (HCN) is a ubiquitous molecule in the Universe. It is a compound that is easily produced in significant yields in prebiotic simulation experiments using a reducing atmosphere. HCN can spontaneously polymerise under a wide set of experimental conditions. It has even been proposed that HCN polymers could be present in objects such as asteroids, moons, planets and, in particular, comets. Moreover, it has been suggested that these polymers could play an important role in the origin of life. In this review, the simple organics and biomonomers that have been detected in HCN polymers, the analytical techniques and procedures that have been used to detect and characterise these molecules and an exhaustive classification of the experimental/environmental conditions that favour the formation of HCN polymers are summarised. Nucleobases, amino acids, carboxylic acids, cofactor derivatives and other compounds have been identified in HCN polymers. The great molecular diversity found in HCN polymers encourages their placement at the central core of a plausible protobiological system. Full article
Show Figures

Figure 1

Back to TopTop