Sign in to use this feature.

Years

Between: -

Subjects

remove_circle_outline
remove_circle_outline
remove_circle_outline
remove_circle_outline
remove_circle_outline
remove_circle_outline
remove_circle_outline

Journals

Article Types

Countries / Regions

Search Results (11)

Search Parameters:
Keywords = Geary’s c

Order results
Result details
Results per page
Select all
Export citation of selected articles as:
26 pages, 1566 KB  
Article
Predictive Framework for Regional Patent Output Using Digital Economic Indicators: A Stacked Machine Learning and Geospatial Ensemble to Address R&D Disparities
by Amelia Zhao and Peng Wang
Analytics 2025, 4(3), 18; https://doi.org/10.3390/analytics4030018 - 8 Jul 2025
Cited by 2 | Viewed by 1480
Abstract
As digital transformation becomes an increasingly central focus of national and regional policy agendas, parallel efforts are intensifying to stimulate innovation as a critical driver of firm competitiveness and high-quality economic growth. However, regional disparities in innovation capacity persist. This study proposes an [...] Read more.
As digital transformation becomes an increasingly central focus of national and regional policy agendas, parallel efforts are intensifying to stimulate innovation as a critical driver of firm competitiveness and high-quality economic growth. However, regional disparities in innovation capacity persist. This study proposes an integrated framework in which regionally tracked digital economy indicators are leveraged to predict firm-level innovation performance, measured through patent activity, across China. Drawing on a comprehensive dataset covering 13 digital economic indicators from 2013 to 2022, this study spans core, broad, and narrow dimensions of digital development. Spatial dependencies among these indicators are assessed using global and local spatial autocorrelation measures, including Moran’s I and Geary’s C, to provide actionable insights for constructing innovation-conducive environments. To model the predictive relationship between digital metrics and innovation output, this study employs a suite of supervised machine learning techniques—Random Forest, Extreme Learning Machine (ELM), Support Vector Machine (SVM), XGBoost, and stacked ensemble approaches. Our findings demonstrate the potential of digital infrastructure metrics to serve as early indicators of regional innovation capacity, offering a data-driven foundation for targeted policymaking, strategic resource allocation, and the design of adaptive digital innovation ecosystems. Full article
Show Figures

Figure 1

15 pages, 447 KB  
Article
Moran’s I for Multivariate Spatial Data
by Hiroshi Yamada
Mathematics 2024, 12(17), 2746; https://doi.org/10.3390/math12172746 - 4 Sep 2024
Cited by 9 | Viewed by 6571
Abstract
Moran’s I is a spatial autocorrelation measure of univariate spatial data. Therefore, even if p spatial data exist, we can only obtain p values for Moran’s I. In other words, Moran’s I cannot measure the degree of spatial autocorrelation of multivariate spatial [...] Read more.
Moran’s I is a spatial autocorrelation measure of univariate spatial data. Therefore, even if p spatial data exist, we can only obtain p values for Moran’s I. In other words, Moran’s I cannot measure the degree of spatial autocorrelation of multivariate spatial data as a single value. This paper addresses this issue. That is, we extend Moran’s I so that it can measure the degree of spatial autocorrelation of multivariate spatial data as a single value. In addition, since the local version of Moran’s I has the same problem, we extend it as well. Then, we establish their properties, which are fundamental for applied work. Numerical illustrations of the theoretical results obtained in the paper are also provided. Full article
(This article belongs to the Special Issue Graph Theory and Applications, 2nd Edition)
Show Figures

Figure 1

12 pages, 258 KB  
Article
Characterization of the Spatial Distribution of the Pepper Weevil, Anthonomus eugenii Cano (Col.: Curculionidae), in Pepper Fields in South Florida
by Victoria O. Adeleye, Dakshina R. Seal, Xavier Martini, Geoffrey Meru and Oscar E. Liburd
Insects 2024, 15(8), 579; https://doi.org/10.3390/insects15080579 - 30 Jul 2024
Cited by 2 | Viewed by 1440
Abstract
The pepper weevil, Anthonomus eugenii Cano, is an economically important pest of cultivated peppers (Capsicum annuum) in tropical and subtropical regions of the world. This study aimed to ascertain the spatial distribution of pepper weevil infestation across various fields in Miami [...] Read more.
The pepper weevil, Anthonomus eugenii Cano, is an economically important pest of cultivated peppers (Capsicum annuum) in tropical and subtropical regions of the world. This study aimed to ascertain the spatial distribution of pepper weevil infestation across various fields in Miami Dade County, South Florida. The spatio-temporal dynamics of pepper weevil were evaluated using 144 sample points within each of seven pepper fields. The data were analyzed using three different geospatial techniques, spatial analysis by distance indices (SADIE), Moran’s I, and Geary’s C, to determine the spatial distribution of pepper weevil. The SADIE analysis revealed a significant aggregation distribution in 18 out of 30 sampling dates across all fields. The results from Geary’s C and Moran’s I indices indicated a positive spatial autocorrelation (spatial clustering/aggregation) of pepper weevil regardless of field or pepper types. Overall, the findings from this study depict an aggregated spatial distribution pattern of pepper weevil populations, characterized by a tendency for aggregation that transitions to a more uniform distribution as the season progresses. Full article
(This article belongs to the Section Insect Pest and Vector Management)
12 pages, 303 KB  
Article
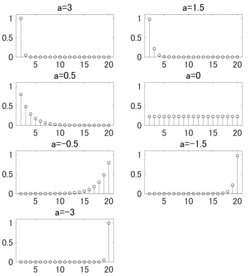
Geary’s c for Multivariate Spatial Data
by Hiroshi Yamada
Mathematics 2024, 12(12), 1820; https://doi.org/10.3390/math12121820 - 12 Jun 2024
Cited by 6 | Viewed by 3143
Abstract
Geary’s c is a prominent measure of spatial autocorrelation in univariate spatial data. It uses a weighted sum of squared differences. This paper develops Geary’s c for multivariate spatial data. It can describe the similarity/discrepancy between vectors of observations at different vertices/spatial units [...] Read more.
Geary’s c is a prominent measure of spatial autocorrelation in univariate spatial data. It uses a weighted sum of squared differences. This paper develops Geary’s c for multivariate spatial data. It can describe the similarity/discrepancy between vectors of observations at different vertices/spatial units by a weighted sum of the squared Euclidean norm of the vector differences. It is thus a natural extension of the univariate Geary’s c. This paper also develops a local version of it. We then establish their properties. Full article
(This article belongs to the Special Issue Graph Theory and Network Theory)
21 pages, 3243 KB  
Article
Examining the Impacts of Pre-Fire Forest Conditions on Burn Severity Using Multiple Remote Sensing Platforms
by Kangsan Lee, Willem J. D. van Leeuwen, Jeffrey K. Gillan and Donald A. Falk
Remote Sens. 2024, 16(10), 1803; https://doi.org/10.3390/rs16101803 - 19 May 2024
Cited by 13 | Viewed by 3786
Abstract
Pre-fire environmental conditions play a critical role in wildfire severity. This study investigated the impact of pre-fire forest conditions on burn severity as a result of the 2020 Bighorn Fire in the Santa Catalina Mountains in Arizona. Using a stepwise regression model and [...] Read more.
Pre-fire environmental conditions play a critical role in wildfire severity. This study investigated the impact of pre-fire forest conditions on burn severity as a result of the 2020 Bighorn Fire in the Santa Catalina Mountains in Arizona. Using a stepwise regression model and remotely sensed data from Landsat 8 and LiDAR, we analyzed the effects of structural and functional vegetation traits and environmental factors on burn severity. This analysis revealed that the difference normalized burn ratio (dNBR) was a more reliable indicator of burn severity compared to the relative dNBR (RdNBR). Stepwise regression identified pre-fire normalized difference vegetation index (NDVI), canopy cover, and tree density as significant variables across all land cover types that explained burn severity, suggesting that denser areas with higher vegetation greenness experienced more severe burns. Interestingly, residuals between the actual and estimated dNBR were lower in herbaceous zones compared to denser forested areas at similar elevations, suggesting potentially more predictable burn severity in open areas. Spatial analysis using Geary’s C statistics further revealed a strong negative autocorrelation: areas with high burn severity tended to be clustered, with lower severity areas interspersed. Overall, this study demonstrates the potential of readily available remote sensing data to predict potential burn severity values before a fire event, providing valuable information for forest managers to develop strategies for mitigating future wildfire damage. Full article
(This article belongs to the Special Issue Vegetation Mapping through Multiscale Remote Sensing)
Show Figures

Graphical abstract

14 pages, 399 KB  
Article
A New Perspective on Moran’s Coefficient: Revisited
by Hiroshi Yamada
Mathematics 2024, 12(2), 253; https://doi.org/10.3390/math12020253 - 12 Jan 2024
Cited by 6 | Viewed by 2859
Abstract
Moran’s I (Moran’s coefficient) is one of the most prominent measures of spatial autocorrelation. It is well known that Moran’s I has a representation that is similar to a Fourier series and is therefore useful for characterizing spatial data. However, the representation needs [...] Read more.
Moran’s I (Moran’s coefficient) is one of the most prominent measures of spatial autocorrelation. It is well known that Moran’s I has a representation that is similar to a Fourier series and is therefore useful for characterizing spatial data. However, the representation needs to be modified. This paper contributes to the literature by showing the necessary modification and presenting some further results. In addition, we provide the required MATLAB/GNU Octave and R user-defined functions. Full article
(This article belongs to the Special Issue Advances in Graph Theory: Algorithms and Applications)
Show Figures

Figure 1

7 pages, 337 KB  
Article
Geary’s c and Spectral Graph Theory: A Complement
by Hiroshi Yamada
Mathematics 2023, 11(20), 4228; https://doi.org/10.3390/math11204228 - 10 Oct 2023
Cited by 6 | Viewed by 1660
Abstract
Spatial autocorrelation, which describes the similarity between signals on adjacent vertices, is central to spatial science, and Geary’s c is one of the most-prominent numerical measures of it. Using concepts from spectral graph theory, this paper documents new theoretical results on the measure. [...] Read more.
Spatial autocorrelation, which describes the similarity between signals on adjacent vertices, is central to spatial science, and Geary’s c is one of the most-prominent numerical measures of it. Using concepts from spectral graph theory, this paper documents new theoretical results on the measure. MATLAB/GNU Octave user-defined functions are also provided. Full article
(This article belongs to the Special Issue Advances in Graph Theory: Algorithms and Applications)
Show Figures

Figure 1

24 pages, 13828 KB  
Article
Evaluation of Coupling Coordination Degree between Economy and Eco-Environment Systems in the Yangtze River Delta from 2000 to 2020
by Jianwan Ji, Litao Wang, Maorong Xie, Wen Lv, Cheng Yu, Wenliang Liu and Eshetu Shifaw
Systems 2023, 11(10), 500; https://doi.org/10.3390/systems11100500 - 28 Sep 2023
Cited by 3 | Viewed by 2535
Abstract
The quantitative evaluation of the coupling coordination degree (CCD) between the regional economy and eco-environment systems is of great importance for the realization of sustainable development goals, which could identify economic or eco-environmental cold areas. To date, traditional evaluation frameworks mainly include the [...] Read more.
The quantitative evaluation of the coupling coordination degree (CCD) between the regional economy and eco-environment systems is of great importance for the realization of sustainable development goals, which could identify economic or eco-environmental cold areas. To date, traditional evaluation frameworks mainly include the indicator system construction based on statistical data, which seldom utilize the geo-spatiotemporal datasets. Hence, this study aimed to evaluate the CCD change trend of the Yangtze River Delta (YRD) and explore the relationship between the CCD, economy, and eco-environment on the county scale. In this study, YRD was selected as the study area to evaluate its level of CCD at different periods, and then the nighttime difference index (NTDI) and eco-environmental comprehensive evaluation index (ECEI) were calculated to represent the difference in the development of the regional economy and the eco-environmental quality (EEQ). The CCD between the two systems was then calculated and analyzed using global, local, and Geary’s C spatial autocorrelation indicators, in addition to change trend methods. The main findings showed that: (1) During the period 2000–2020, the economic system in YRD showed a continuously upward trend (0.0487 a−1), with average NTDI values of 0.2308, 0.2964, 0.3223, 0.3971, and 0.4239, respectively. In spatial terms, the economy system showed a distribution of “high in the east and low in the west”. (2) YRD’s EEQ indicated a gradual upward trend (from 0.3590 in 2000 to 0.3970 in 2020), with a change trend value of 0.0020 a−1. Spatially, the regions with high ECEI were mainly located in southwestern counties. (3) In the past 20 years, the CCD between economic and eco-environment systems showed an increased change trend, with a change trend value of 0.0302 a−1. The average CCD values for the five periods were 0.3992, 0.4745, 0.4633, 0.5012, and 0.5369. The overall level of CCD improved from “moderate incoordination” to “low coordination”. (4) Both NTDI and ECEI indexes have a positive effect on the improvement of regional CCD. However, the contribution of NTDI is a little higher than that of ECEI. Full article
(This article belongs to the Section Systems Practice in Social Science)
Show Figures

Figure 1

15 pages, 1521 KB  
Article
Spatial Analysis: A Socioeconomic View on the Incidence of the New Coronavirus in Paraná-Brazil
by Elizabeth Giron Cima, Miguel Angel Uribe Opazo, Marcos Roberto Bombacini, Weimar Freire da Rocha Junior and Luciana Pagliosa Carvalho Guedes
Stats 2022, 5(4), 1029-1043; https://doi.org/10.3390/stats5040061 - 31 Oct 2022
Cited by 2 | Viewed by 2595
Abstract
This paper presents a spatial analysis of the incidence rate of COVID-19 cases in the state of Paraná, Brazil, from June to December 2020, and a study of the incidence rate of COVID-19 cases associated with socioeconomic variables, such as the Gini index, [...] Read more.
This paper presents a spatial analysis of the incidence rate of COVID-19 cases in the state of Paraná, Brazil, from June to December 2020, and a study of the incidence rate of COVID-19 cases associated with socioeconomic variables, such as the Gini index, Theil-L index, and municipal human development index (MHDI). The data were provided from the Paraná State Health Department and Paraná Institute for Economic and Social Development. For the study of spatial autocorrelation, the univariate global Moran index (I), local univariate Moran (LISA), global Geary (c), and univariate local Geary (ci) were calculated. For the analysis of the spatial correlation, the global bivariate Moran index (Ixy), the local multivariate Geary indices (CiM), and the bivariate Lee index (Lxy) were calculated. There is significant positive spatial autocorrelation between the incidence rate of COVID-19 cases and correlations between the incidence rate of COVID-19 cases and the Gini index, Theil-L index, and MHDI in the regions under study. The highest risk areas were concentrated in the macro-regions: east and west. Understanding the spatial distribution of COVID-19, combined with economic and social factors, can contribute to greater efficiency in preventive actions and the control of new viral epidemics. Full article
(This article belongs to the Section Econometric Modelling)
Show Figures

Figure 1

23 pages, 629 KB  
Article
Geary’s c and Spectral Graph Theory
by Hiroshi Yamada
Mathematics 2021, 9(19), 2465; https://doi.org/10.3390/math9192465 - 3 Oct 2021
Cited by 15 | Viewed by 3702
Abstract
Spatial autocorrelation, of which Geary’s c has traditionally been a popular measure, is fundamental to spatial science. This paper provides a new perspective on Geary’s c. We discuss this using concepts from spectral graph theory/linear algebraic graph theory. More precisely, we provide [...] Read more.
Spatial autocorrelation, of which Geary’s c has traditionally been a popular measure, is fundamental to spatial science. This paper provides a new perspective on Geary’s c. We discuss this using concepts from spectral graph theory/linear algebraic graph theory. More precisely, we provide three types of representations for it: (a) graph Laplacian representation, (b) graph Fourier transform representation, and (c) Pearson’s correlation coefficient representation. Subsequently, we illustrate that the spatial autocorrelation measured by Geary’s c is positive (resp. negative) if spatially smoother (resp. less smooth) graph Laplacian eigenvectors are dominant. Finally, based on our analysis, we provide a recommendation for applied studies. Full article
(This article belongs to the Section D1: Probability and Statistics)
Show Figures

Figure 1

10 pages, 268 KB  
Opinion
Neuroenergetics and “General Intelligence”: A Systems Biology Perspective
by Tobias Debatin
J. Intell. 2020, 8(3), 31; https://doi.org/10.3390/jintelligence8030031 - 26 Aug 2020
Cited by 6 | Viewed by 5432
Abstract
David C. Geary proposed the efficiency of mitochondrial processes, especially the production of energy, as the most fundamental biological mechanism contributing to individual differences in general intelligence (g). While the efficiency of mitochondrial functioning is undoubtedly an important and highly interesting [...] Read more.
David C. Geary proposed the efficiency of mitochondrial processes, especially the production of energy, as the most fundamental biological mechanism contributing to individual differences in general intelligence (g). While the efficiency of mitochondrial functioning is undoubtedly an important and highly interesting factor, I outline several reasons why other main factors of neuroenergetics should not be neglected and why a systems biology perspective should be adopted. There are many advantages for research on intelligence to focus on individual differences in the capability of the overall brain metabolism system to produce the energy currency adenosine triphosphate (ATP): higher predictive strength than single mechanisms, diverse possibilities for experimental manipulation, measurement with existing techniques and answers to unresolved questions because of multiple realizability. Many of these aspects are especially important for research on developmental processes and the building and refining of brain networks for adaptation. Focusing too much on single parts of the system, like the efficiency of mitochondrial functioning, carries the danger of missing important information about the role of neuroenergetics in intelligence and valuable research opportunities. Full article
Back to TopTop