Sign in to use this feature.

Years

Between: -

Subjects

remove_circle_outline
remove_circle_outline
remove_circle_outline
remove_circle_outline
remove_circle_outline
remove_circle_outline
remove_circle_outline

Journals

Article Types

Countries / Regions

Search Results (19)

Search Parameters:
Keywords = FBPA

Order results
Result details
Results per page
Select all
Export citation of selected articles as:
13 pages, 1794 KB  
Article
Ribosome-Associated Quality Control Mediated by Rqc2 Contributes to the Lytic Cycle and Stage Conversion of Toxoplasma gondii
by Yuxue Li, Keqin Huang, Honglin Jia, Xu Gao and Huanping Guo
Microorganisms 2025, 13(9), 2041; https://doi.org/10.3390/microorganisms13092041 - 31 Aug 2025
Viewed by 1159
Abstract
The conversion from fast-growing tachyzoites to slow-growing bradyzoites is the key factor in establishing the chronic infection and long-term persistence of Toxoplasma gondii. Environmental stressors, such as amino acid starvation and alkaline medium, can trigger the transformation of tachyzoites into bradyzoites. Under [...] Read more.
The conversion from fast-growing tachyzoites to slow-growing bradyzoites is the key factor in establishing the chronic infection and long-term persistence of Toxoplasma gondii. Environmental stressors, such as amino acid starvation and alkaline medium, can trigger the transformation of tachyzoites into bradyzoites. Under such stress conditions, ribosomes slow down, potentially leading to stalling, and ribosomal collisions typically activate ribosome-associated quality control (RQC) pathways. In this study, we investigated the role of T. gondii ribosome quality control complex subunit 2 (TgRqc2), which contains both NFACT and coiled-coil domains, in the parasite’s survival and stage conversion. NFACT represents the “domain” found in the central players involved in RQC, human NEMF and its orthologs FbpA (known as RqcH), Caliban, and Tae2 (known as Rqc2). Phylogenetic analyses revealed that TgRqc2 formed a distinct clade with its orthologs in apicomplexan parasites. The deletion of TgRqc2 impaired T. gondii’s invasion and replication. The Rqc2-knockout strain showed defects in plaque formation and bradyzoite development. Our findings demonstrate that TgRqc2 is essential for T. gondii’s lytic cycle and the conversion of tachyzoites into bradyzoites. RNA-seq analysis further showed that the depletion of TgRqc2 significantly disrupted global transcriptional activity. However, the detailed molecular mechanisms involved remain to be elucidated. In conclusion, our results proved valuable insights that may aid in the development of therapeutic strategies to prevent chronic infection. Full article
(This article belongs to the Section Molecular Microbiology and Immunology)
Show Figures

Figure 1

23 pages, 3459 KB  
Article
Synergistic Effects of Trichoderma harzianum and Light Quality on Photosynthetic Carbon Metabolism and Growth in Tomato Plants
by Ningyu Wang, Qihui Xu, Congrui Qin, Lijiahong Geng, Zhenglin Yan, Haolong Li, Golam Jalal Ahammed and Shuangchen Chen
Agronomy 2025, 15(6), 1362; https://doi.org/10.3390/agronomy15061362 - 31 May 2025
Cited by 3 | Viewed by 1930
Abstract
The genus Trichoderma comprises a group of fungi known for their beneficial effects on plant growth and stress tolerance. Light is a key environmental factor affecting many plant physiological processes. However, a significant research gap remains regarding the interaction between light quality and [...] Read more.
The genus Trichoderma comprises a group of fungi known for their beneficial effects on plant growth and stress tolerance. Light is a key environmental factor affecting many plant physiological processes. However, a significant research gap remains regarding the interaction between light quality and Trichoderma harzianum inoculation, particularly their combined effects on tomato plant growth and photosynthetic efficiency. Here, we showed that T. harzianum inoculation effectively alleviated the growth inhibition caused by monochromatic red light or blue light in tomato plants. Combined red and blue light treatment with T. harzianum inoculation (RBT) promoted root development by regulating the rational distribution of carbon assimilation products. Specifically, the RBT treatment upregulated the expression of photosynthesis-related genes, including key Calvin cycle enzyme genes such as FBPase, FBPA, TPI, and SBPase, as well as the light signal transduction factor HY5. In addition, T. harzianum inoculation increased the maximal photochemical efficiency of PSII (Fv/Fm), and the net photosynthetic rate (Pn). The activity of sucrose synthetase (SS) and sucrose phosphate synthetase (SPS) was also enhanced, promoting photosynthetic product accumulation in leaves and roots. Among all treatment groups, RBT performed the best in the above indexes. Full article
Show Figures

Figure 1

17 pages, 3398 KB  
Article
Enhancing Boron Neutron Capture Therapy (BNCT) with Materials Based on COSAN-Functionalized Nanoparticles
by Albert Ferrer-Ugalde, Amanda Muñoz-Juan, Anna Laromaine, Paula Curotto, Susana Nievas, María Alejandra Dagrosa, Marcos Couto and Rosario Núñez
Pharmaceuticals 2025, 18(4), 466; https://doi.org/10.3390/ph18040466 - 26 Mar 2025
Cited by 3 | Viewed by 1453
Abstract
Background/Objectives: Boron neutron capture therapy (BNCT) is a promising approach for selectively targeting and destroying malignant cells using 10B isotopes. A significant challenge in BNCT lies in the development of efficient boron delivery systems that ensure adequate boron accumulation within tumor [...] Read more.
Background/Objectives: Boron neutron capture therapy (BNCT) is a promising approach for selectively targeting and destroying malignant cells using 10B isotopes. A significant challenge in BNCT lies in the development of efficient boron delivery systems that ensure adequate boron accumulation within tumor cells. This study aims to synthesize, characterize, and evaluate COSAN-functionalized nanoparticles (NP@I-COSAN) as a potential boron carrier for BNCT. Methods: Hybrid nanoparticles were synthesized by conjugating monoiodinated cobaltabisdicarbollides (I-COSAN) to commercially available acrylic polymer-based nanoparticles. Functionalization and cellular uptake were confirmed through FTIR, TGA, UV-Vis spectroscopy, and TEM/EDX analyses. Biocompatibility was evaluated by assessing cytotoxicity in HeLa cells and C. elegans as an in vivo model. Intracellular boron uptake was quantified using ICP-MS, with results compared to those obtained with 4-borono-L-phenylalanine conjugated to fructose (f-BPA). An in vitro BNCT proof-of-concept assay was also performed to evaluate therapeutic efficacy. Results: NP@I-COSAN demonstrated low cytotoxicity and efficient internalization in cells. ICP-MS analysis revealed stable boron retention, comparable to traditional boron agents. The BNCT assay further showed that NP@I-COSAN was effective in inducing tumor cell apoptosis, even at lower boron concentrations than conventional treatments. Conclusions: These results underscore the potential of NP@I-COSAN as an effective boron delivery system for BNCT, offering a promising strategy to enhance boron accumulation within tumor cells and improve treatment efficacy. Full article
Show Figures

Graphical abstract

17 pages, 4989 KB  
Article
Searching for Virulence Factors among Staphylococcus lugdunensis Isolates from Orthopedic Infections: Correlation of β-hemolysin, hemolysin III, and slush Genes with Hemolytic Activity and Synergistic Hemolytic Activity
by Stefano Ravaioli, Davide Campoccia, Rasoul Mirzaei, Valentina Mariani, Giulia Bottau, Andrea De Donno, Lucio Montanaro, Pietro Speziale and Carla Renata Arciola
Int. J. Mol. Sci. 2023, 24(21), 15724; https://doi.org/10.3390/ijms242115724 - 29 Oct 2023
Cited by 3 | Viewed by 2579
Abstract
Staphylococcus lugdunensis is an emerging high-virulent pathogen. Here, the presence and expression of virulence genes (icaA, fbl, vwbl, fbpA, slush A, B and C, and genes of the putative β-hemolysin and hemolysin III) and the [...] Read more.
Staphylococcus lugdunensis is an emerging high-virulent pathogen. Here, the presence and expression of virulence genes (icaA, fbl, vwbl, fbpA, slush A, B and C, and genes of the putative β-hemolysin and hemolysin III) and the ability to induce synergistic hemolytic activity and hemolysis after 24, 48 and 72 h were investigated in a collection of twenty-two S. lugdunensis clinical isolates. The collection of isolates, mainly from implant orthopedic infections, had previously been grouped by ribotyping/dendrogram analysis and studied for biofilm matrices, biomasses and antibiotic resistances. Two isolates, constituting a unique small ribogroup sharing the same cluster, exhibited an amplicon size of the slush operon (S. lugdunensis synergistic hemolysin) which was shorter than the expected 977 bp. This outcome can predict the genetic lineage of the S. lugdunensis strains. One isolate (cra1342) presented two deletions: one of 90 bp in slush A and the other of 91 bp in slush B. Another isolate (N860314) showed a single 193 bp deletion, which encompassed part of the slush B terminal sequence and most of slush C. The isolate N860314 was devoid of hemolytic activity after 24 h, and the first consideration was that the deleted region deals with the coding of the active enzymatic site of the slush hemolysin. On the other hand, cra1342 and N860314 isolates with different slush deletions and with hemolytic activity after 24 and 48 h, respectively, could have replaced the hemolytic phenotype through other processes. Full article
(This article belongs to the Special Issue Recent Progress in Antimicrobial Peptides)
Show Figures

Figure 1

14 pages, 1523 KB  
Article
Whole-Genome Sequence Insight into the Plant-Growth-Promoting Bacterium Priestia filamentosa Strain AZC66 Obtained from Zygophyllum coccineum Rhizosphere
by Ashraf Khalifa and Noorah Alsowayeh
Plants 2023, 12(10), 1944; https://doi.org/10.3390/plants12101944 - 10 May 2023
Cited by 16 | Viewed by 3579
Abstract
This study aimed to isolate, screen the plant-growth-enhancing features, and explore the whole-genome sequence of AZC66 isolated from the rhizosphere of Zygophyllum coccineum and determine its biostimulating effects on the growth of cowpea under greenhouse conditions. Salkowski reagent was used to measure AZC66’s [...] Read more.
This study aimed to isolate, screen the plant-growth-enhancing features, and explore the whole-genome sequence of AZC66 isolated from the rhizosphere of Zygophyllum coccineum and determine its biostimulating effects on the growth of cowpea under greenhouse conditions. Salkowski reagent was used to measure AZC66’s indole acetic acid production. AZC66’s inorganic phosphate solubility on Pikovskaya agar was evaluated using tricalcium phosphate. The results indicated the ability of AZC66 to fix nitrogen, produce IAA (66.33 ± 0.44 μg mL−1), solubilize inorganic phosphate, and exhibit the activity of ACC deaminase (278.40 ± 21 mol -ketobutyrate mg−1 h−1). Cowpea’s root and shoot dry weights were also significantly increased after in vitro inoculation with AZC66. The identity of AZC66 was confirmed as Priestia filamentosa, and 4840 genes were predicted in its genome. The gene sequences were compared against the Kyoto Encyclopedia of Genes and Genomes (KEGG) database, and the results showed that the top three pathways wherein the maximum number of genes are involved are signaling and cellular processes, genetic information processing, and carbohydrate metabolism. The genome sequencing of the strain AZC66 revealed a number of genes implicated in plant biostimulation activities such as nitrogen fixation (nifU), phytohormone synthesis (trpAB genes), phosphate solubilization (PhbCEF, pstABCS, and phoU), and siderophore formation (FbpA, feoAB, and fetB). The AZC66 genome contained numerous genes involved in nitrogen metabolism, nitrogen regulation, and the nitrate reduction pathway. The phenazine biosynthetic gene in AZC66 demonstrated biocontrol and soil survival properties. The trehalose synthesis genes in AZC66 may help plants resist osmotic and salt stress. The discovery of glycine betaine, cold shock, and heat shock protein genes demonstrated that AZC66 could withstand harsh conditions. AZC66 might be used to create robust, sustainable biological fertilizers for future agricultural use in Saudi Arabia. Furthermore, the predicted adaptable metabolic pathways might serve as the basis for potential biotechnological applications in agriculture and industry. Full article
(This article belongs to the Special Issue Effects of Plant Growth Promoting Microorganisms on Crop Growth Yield)
Show Figures

Figure 1

20 pages, 994 KB  
Article
Serotypes, Antibiotic Susceptibility, Genotypic Virulence Profiles and SpaA Variants of Erysipelothrix rhusiopathiae Strains Isolated from Pigs in Poland
by Marta Dec, Dominik Łagowski, Tomasz Nowak, Dorota Pietras-Ożga and Klaudia Herman
Pathogens 2023, 12(3), 409; https://doi.org/10.3390/pathogens12030409 - 3 Mar 2023
Cited by 13 | Viewed by 4208
Abstract
The aim of the study was phenotypic and genotypic characterization of Erysipelothrix rhusiopathiae strains isolated from diseased pigs in Poland and comparison of the SpaA (Surface protective antigen A) sequence of wild-type strains with the sequence of the R32E11 vaccine strain. The antibiotic [...] Read more.
The aim of the study was phenotypic and genotypic characterization of Erysipelothrix rhusiopathiae strains isolated from diseased pigs in Poland and comparison of the SpaA (Surface protective antigen A) sequence of wild-type strains with the sequence of the R32E11 vaccine strain. The antibiotic susceptibility of the isolates was assessed using the broth microdilution method. Resistance genes, virulence genes, and serotype determinants were detected using PCR. The gyrA and spaA amplicons were sequenced to determine nonsynonymous mutations. The E. rhusiopathiae isolates (n = 14) represented serotypes 1b (42.8%), 2 (21.4%), 5 (14.3%), 6 (7.1%), 8 (7.1%), and N (7.1%). All strains were susceptible to β-lactams, macrolides and florfenicol. One isolate showed resistance to lincosamides and tiamulin, and most strains were resistant to tetracycline and enrofloxacin. High MIC values of gentamicin, kanamycin, neomycin, trimethoprim, trimethoprim/sulfadiazine, and rifampicin were recorded for all isolates. Phenotypic resistance was correlated with the presence of the tetM, int-Tn, lasE, and lnuB genes. Resistance to enrofloxacin was due to a mutation in the gyrA gene. All strains contained the spaA gene and several other genes putatively involved in pathogenesis (nanH.1, nanH.2, intl, sub, hlyA, fbpA, ERH_1356, cpsA, algI, rspA and rspB) Seven variants of the SpaA protein were found in the tested strains, and a relationship between the structure of SpaA and the serotype was noted. E. rhusiopathiae strains occurring in pigs in Poland are diverse in terms of serotype and SpaA variant and differ antigenically from the R32E11 vaccine strain. Beta-lactam antibiotics, macrolides, or phenicols should be the first choice for treatment of swine erysipelas in Poland. However, due to the small number of tested strains, this conclusion should be approached with caution. Full article
(This article belongs to the Special Issue Detection and Characterization of Drug-Resistant Organisms)
Show Figures

Figure 1

12 pages, 1915 KB  
Review
Recent Development of Radiofluorination of Boron Agents for Boron Neutron Capture Therapy of Tumor: Creation of 18F-Labeled C-F and B-F Linkages
by Jin-Pei Deng and Chung-Shan Yu
Pharmaceuticals 2023, 16(1), 93; https://doi.org/10.3390/ph16010093 - 9 Jan 2023
Cited by 11 | Viewed by 4524
Abstract
Boron neutron capture therapy (BNCT) is a binary therapeutic technique employing a boron agent to be delivered to the tumor site followed by the irradiation of neutrons. Biofunctional molecules/nanoparticles labeled with F-18 can provide an initial pharmacokinetic profile of patients to guide the [...] Read more.
Boron neutron capture therapy (BNCT) is a binary therapeutic technique employing a boron agent to be delivered to the tumor site followed by the irradiation of neutrons. Biofunctional molecules/nanoparticles labeled with F-18 can provide an initial pharmacokinetic profile of patients to guide the subsequent treatment planning procedure of BNCT. Borono phenylalanine (BPA), recognized by the l-type amino acid transporter, can cross the blood-brain barrier and be accumulated in gliomas. The radiofluoro BNCT agents are reviewed by considering (1) less cytotoxicity, (2) diagnosing and therapeutic purposes, (3) aqueous solubility and extraction route, as well as (4), the trifluoroborate effect. A trifluoroborate-containing amino acid such as fluoroboronotyrosine (FBY) represents an example with both functionalities of imaging and therapeutics. Comparing with the insignificant cytotoxicity of clinical BPA with IC50 > 500 μM, FBY also shows minute toxicity with IC50 > 500 μM. [18F]FBY is a potential diagnostic agent for its tumor to normal accumulation (T/N) ratio, which ranges from 2.3 to 24.5 from positron emission tomography, whereas the T/N ratio of FBPA is greater than 2.5. Additionally, in serving as a BNCT therapeutic agent, the boron concentration of FBY accumulated in gliomas remains uncertain. The solubility of 3-BPA is better than that of BPA, as evidenced by the cerebral dose of 3.4%ID/g vs. 2.2%ID/g, respectively. While the extraction route of d-BPA differs from that of BPA, an impressive T/N ratio of 6.9 vs. 1.5 is noted. [18F]FBPA, the most common clinical boron agent, facilitates the application of BPA in clinical BNCT. In addition to [18F]FBY, [18F] trifluoroborated nucleoside analog obtained through 1,3-dipolar cycloaddition shows marked tumoral uptake of 1.5%ID/g. Other examples using electrophilic and nucleophilic fluorination on the boron compounds are also reviewed, including diboronopinacolone phenylalanine and nonsteroidal anti-inflammatory agents. Full article
(This article belongs to the Special Issue Fluorine-Containing Pharmaceuticals)
Show Figures

Figure 1

14 pages, 1523 KB  
Article
Antibiofilm, AntiAdhesive and Anti-Invasive Activities of Bacterial Lysates Extracted from Pediococcus acidilactici against Listeria monocytogenes
by Han Bin Lee, Ki Hwan Kim, Gweon Ah Kang, Kwang-Geun Lee and Seok-Seong Kang
Foods 2022, 11(19), 2948; https://doi.org/10.3390/foods11192948 - 21 Sep 2022
Cited by 15 | Viewed by 2685
Abstract
This study aimed to investigate whether bacterial lysates (BLs) extracted from Pediococcus acidilactici reduce Listeria monocytogenes biofilm formation, as well as adhesion to and invasion of human intestinal epithelial cells. Pretreatment with P. acidilactici BLs (20, 40, and 80 μg/mL) significantly inhibited L. [...] Read more.
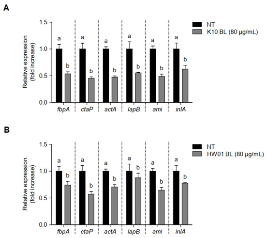
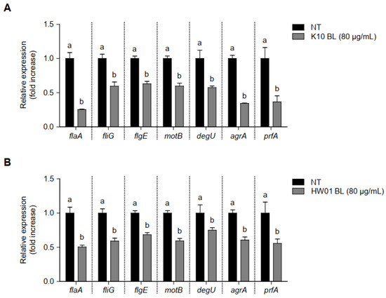
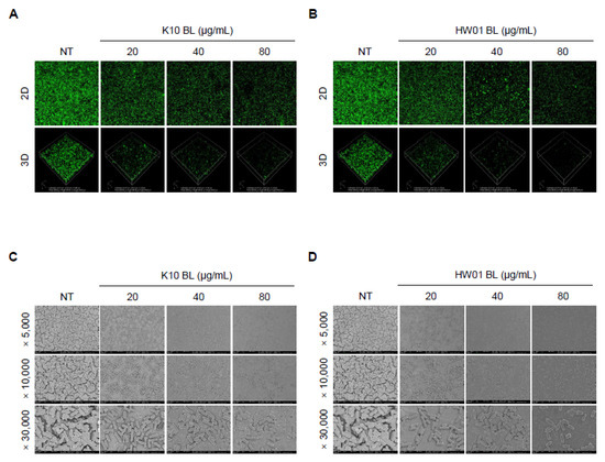
This study aimed to investigate whether bacterial lysates (BLs) extracted from Pediococcus acidilactici reduce Listeria monocytogenes biofilm formation, as well as adhesion to and invasion of human intestinal epithelial cells. Pretreatment with P. acidilactici BLs (20, 40, and 80 μg/mL) significantly inhibited L. monocytogenes biofilm formation on the surface of polystyrene (p < 0.05). Fluorescence and scanning-electron-microscopic analyses indicated that L. monocytogenes biofilm comprised a much less dense layer of more-dispersed cells in the presence of P. acidilactici BLs. Moreover, biofilm-associated genes, such as flaA, fliG, flgE, motB, degU, agrA, and prfA, were significantly downregulated in the presence of P. acidilactici BLs (p < 0.05), suggesting that P. acidilactici BLs prevent L. monocytogenes biofilm development by suppressing biofilm-associated genes. Although P. acidilactici BLs did not dose-dependently inhibit L. monocytogenes adhesion to and invasion of intestinal epithelial cells, the BLs effectively inhibited adhesion and invasion at 40 and 80 μg/mL (p < 0.05). Supporting these findings, P. acidilactici BLs significantly downregulated L. monocytogenes transcription of genes related to adhesion and invasion, specifically fbpA, ctaP, actA, lapB, ami, and inlA. Collectively, these results suggest that P. acidilactici BLs have the potential to reduce health risks from L. monocytogenes. Full article
(This article belongs to the Section Food Microbiology)
Show Figures

Figure 1

36 pages, 10116 KB  
Article
In Silico Genomic and Metabolic Atlas of Limosilactobacillus reuteri DSM 20016: An Insight into Human Health
by Paisleigh Smythe and Georgios Efthimiou
Microorganisms 2022, 10(7), 1341; https://doi.org/10.3390/microorganisms10071341 - 2 Jul 2022
Cited by 17 | Viewed by 7169
Abstract
Probiotics are bacterial strains that are known to provide host health benefits. Limosilactobacillus reuteri is a well-documented lactic acid bacterium that has been cultured from numerous human sites. The strain investigated was L. reuteri DSM 20016, which has been found to produce useful [...] Read more.
Probiotics are bacterial strains that are known to provide host health benefits. Limosilactobacillus reuteri is a well-documented lactic acid bacterium that has been cultured from numerous human sites. The strain investigated was L. reuteri DSM 20016, which has been found to produce useful metabolites. The strain was explored using genomic and proteomic tools, manual searches, and databases, including KEGG, STRING, BLAST Sequence Similarity Search, and UniProt. This study located over 200 key genes that were involved in human health benefit pathways. L. reuteri DSM 20016 has metabolic pathways to produce acetate, propionate, and lactate, and there is evidence of a pathway for butanoate production through a FASII mechanism. The bacterium produces histamine through the hdc operon, which may be able to suppress proinflammatory TNF, and the bacterium also has the ability to synthesize folate and riboflavin, although whether they are secreted is yet to be explored. The strain can bind to human Caco2 cells through srtA, mapA/cnb, msrB, and fbpA and can compete against enteric bacteria using reuterin, which is an antimicrobial that induces oxidative stress. The atlas could be used for designing metabolic engineering approaches to improve beneficial metabolite biosynthesis and better probiotic-based cures. Full article
Show Figures

Figure 1

19 pages, 30206 KB  
Article
Iron Reduction in Dermacentor andersoni Tick Cells Inhibits Anaplasma marginale Replication
by Muna Salem M. Solyman, Jessica Ujczo, Kelly A. Brayton, Dana K. Shaw, David A. Schneider and Susan M. Noh
Int. J. Mol. Sci. 2022, 23(7), 3941; https://doi.org/10.3390/ijms23073941 - 1 Apr 2022
Cited by 3 | Viewed by 3088
Abstract
Anaplasma spp. are obligate intracellular, tick-borne, bacterial pathogens that cause bovine and human anaplasmosis. We lack tools to prevent these diseases in part due to major knowledge gaps in our fundamental understanding of the tick–pathogen interface, including the requirement for and molecules involved [...] Read more.
Anaplasma spp. are obligate intracellular, tick-borne, bacterial pathogens that cause bovine and human anaplasmosis. We lack tools to prevent these diseases in part due to major knowledge gaps in our fundamental understanding of the tick–pathogen interface, including the requirement for and molecules involved in iron transport during tick colonization. We determine that iron is required for the pathogen Anaplasma marginale, which causes bovine anaplasmosis, to replicate in Dermacentor andersoni tick cells. Using bioinformatics and protein modeling, we identified three orthologs of the Gram-negative siderophore-independent iron uptake system, FbpABC. Am069, the A. marginale ortholog of FbpA, lacks predicted iron-binding residues according to the NCBI conserved domain database. However, according to protein modeling, the best structural orthologs of Am069 are iron transport proteins from Cyanobacteria and Campylobacterjejuni. We then determined that all three A. marginale genes are modestly differentially expressed in response to altered host cell iron levels, despite the lack of a Ferric uptake regulator or operon structure. This work is foundational for building a mechanistic understanding of iron uptake, which could lead to interventions to prevent bovine and human anaplasmosis. Full article
(This article belongs to the Special Issue Human Animal Tick-Borne Diseases)
Show Figures

Figure 1

11 pages, 906 KB  
Article
Effect of Enterocins A and B on the Viability and Virulence Gene Expression of Listeria monocytogenes in Sliced Dry-Cured Ham
by Aida Pérez-Baltar, Margarita Medina and Raquel Montiel
Appl. Microbiol. 2022, 2(1), 1-11; https://doi.org/10.3390/applmicrobiol2010001 - 23 Dec 2021
Cited by 1 | Viewed by 3212
Abstract
Dry-cured ham can be contaminated with Listeria monocytogenes during its industrial processing. The use of bacteriocins could ensure the safety of such meat products, but their effect on pathogen physiology is unknown. Therefore, the impact of enterocins A and B on the L. [...] Read more.
Dry-cured ham can be contaminated with Listeria monocytogenes during its industrial processing. The use of bacteriocins could ensure the safety of such meat products, but their effect on pathogen physiology is unknown. Therefore, the impact of enterocins A and B on the L. monocytogenes population, and the expression patterns of five genes (inlA, inlB, clpC, fbpA and prfA) related to adhesion/invasion and virulence regulation have been monitored in sliced dry-cured ham during 30 d of storage in refrigeration (4 °C) and temperature-abuse conditions (20 °C). L. monocytogenes strains S2 (serotype 1/2a) and S7-2 (serotype 4b) counts were reduced by 0.5 and 0.6 log units immediately after the application of enterocins A and B, a decrease lower than previously reported. Differences in gene expression were found between the two strains. For strain S2, expression tended to increase for almost all genes up to day seven of storage, whereas this increase was observed immediately after application for strain S7-2; however, overall gene expression was repressed from day one onwards, mainly under temperature-abuse conditions. L. monocytogenes strains investigated in the present work exhibited a mild sensitivity to enterocins A and B in sliced dry-cured ham. Bacteriocins caused changes in the expression patterns of virulence genes associated with adhesion and invasion, although the potential virulence of surviving cells was not enhanced. Full article
Show Figures

Figure 1

20 pages, 3851 KB  
Article
Rosmarinic Acid and Sodium Citrate Have a Synergistic Bacteriostatic Effect against Vibrio Species by Inhibiting Iron Uptake
by Peng Lu, Miaomiao Sui, Mimin Zhang, Mengyao Wang, Takehiro Kamiya, Ken Okamoto, Hideaki Itoh, Suguru Okuda, Michio Suzuki, Tomiko Asakura, Toru Fujiwara and Koji Nagata
Int. J. Mol. Sci. 2021, 22(23), 13010; https://doi.org/10.3390/ijms222313010 - 1 Dec 2021
Cited by 13 | Viewed by 5014
Abstract
Background: New strategies are needed to combat multidrug-resistant bacteria. The restriction of iron uptake by bacteria is a promising way to inhibit their growth. We aimed to suppress the growth of Vibrio bacterial species by inhibiting their ferric ion-binding protein (FbpA) using food [...] Read more.
Background: New strategies are needed to combat multidrug-resistant bacteria. The restriction of iron uptake by bacteria is a promising way to inhibit their growth. We aimed to suppress the growth of Vibrio bacterial species by inhibiting their ferric ion-binding protein (FbpA) using food components. Methods: Twenty spices were selected for the screening of FbpA inhibitors. The candidate was applied to antibacterial tests, and the mechanism was further studied. Results: An active compound, rosmarinic acid (RA), was screened out. RA binds competitively and more tightly than Fe3+ to VmFbpA, the FbpA from V. metschnikovii, with apparent KD values of 8 μM vs. 17 μM. Moreover, RA can inhibit the growth of V. metschnikovii to one-third of the control at 1000 μM. Interestingly, sodium citrate (SC) enhances the growth inhibition effect of RA, although SC only does not inhibit the growth. The combination of RA/SC completely inhibits the growth of not only V. metschnikovii at 100/100 μM but also the vibriosis-causative pathogens V. vulnificus and V. parahaemolyticus, at 100/100 and 1000/100 μM, respectively. However, RA/SC does not affect the growth of Escherichia coli. Conclusions: RA/SC is a potential bacteriostatic agent against Vibrio species while causing little damage to indigenous gastrointestinal bacteria. Full article
(This article belongs to the Special Issue Natural Medicines, Functional Foods and Nutrients for Healthcare)
Show Figures

Graphical abstract

11 pages, 3399 KB  
Article
Comparison of Conventional and Radiomic Features between 18F-FBPA PET/CT and PET/MR
by Chien-Yi Liao, Jun-Hsuang Jen, Yi-Wei Chen, Chien-Ying Li, Ling-Wei Wang, Ren-Shyan Liu, Wen-Sheng Huang and Chia-Feng Lu
Biomolecules 2021, 11(11), 1659; https://doi.org/10.3390/biom11111659 - 9 Nov 2021
Cited by 4 | Viewed by 3258
Abstract
Boron-10-containing positron emission tomography (PET) radio-tracer, 18F-FBPA, has been used to evaluate the feasibility and treatment outcomes of Boron neutron capture therapy (BNCT). The clinical use of PET/MR is increasing and reveals its benefit in certain applications. However, the PET/CT is still [...] Read more.
Boron-10-containing positron emission tomography (PET) radio-tracer, 18F-FBPA, has been used to evaluate the feasibility and treatment outcomes of Boron neutron capture therapy (BNCT). The clinical use of PET/MR is increasing and reveals its benefit in certain applications. However, the PET/CT is still the most widely used modality for daily PET practice due to its high quantitative accuracy and relatively low cost. Considering the different attenuation correction maps between PET/CT and PET/MR, comparison of derived image features from these two modalities is critical to identify quantitative imaging biomarkers for diagnosis and prognosis. This study aimed to investigate the comparability of image features extracted from 18F-FBPA PET/CT and PET/MR. A total of 15 patients with malignant brain tumor who underwent 18F-FBPA examinations using both PET/CT and PET/MR on the same day were retrospectively analyzed. Overall, four conventional imaging characteristics and 449 radiomic features were calculated from PET/CT and PET/MR, respectively. A linear regression model and intraclass correlation coefficient (ICC) were estimated to evaluate the comparability of derived features between two modalities. Features were classified into strong, moderate, and weak comparability based on coefficient of determination (r2) and ICC. All of the conventional features, 81.2% of histogram, 37.5% of geometry, 51.5% of texture, and 25% of wavelet-based features, showed strong comparability between PET/CT and PET/MR. With regard to the wavelet filtering, radiomic features without filtering (61.2%) or with low-pass filtering (59.2%) along three axes produced strong comparability between the two modalities. However, only 8.2% of the features with high-pass filtering showed strong comparability. The linear regression models were provided for the features with strong and moderate consensus to interchange the quantitative features between the PET/CT and the PET/MR. All of the conventional and 71% of the radiomic (mostly histogram and texture) features were sufficiently stable and could be interchanged between 18F-FBPA PET with different hybrid modalities using the proposed equations. Our findings suggested that the image features high interchangeability may facilitate future studies in comparing PET/CT and PET/MR. Full article
Show Figures

Figure 1

10 pages, 1733 KB  
Review
Development of an Imaging Technique for Boron Neutron Capture Therapy
by Nobuyoshi Fukumitsu and Yoshitaka Matsumoto
Cells 2021, 10(8), 2135; https://doi.org/10.3390/cells10082135 - 19 Aug 2021
Cited by 12 | Viewed by 4624
Abstract
The development of 4-10B-borono-2-18F-fluoro-L-phenylalanine (18FBPA) for use in positron emission tomography (PET) has contributed to the progress of boron neutron capture therapy (BNCT). 18FBPA has shown similar pharmacokinetics and distribution to 4-10B-borono-L-phenylalanine (BPA) under [...] Read more.
The development of 4-10B-borono-2-18F-fluoro-L-phenylalanine (18FBPA) for use in positron emission tomography (PET) has contributed to the progress of boron neutron capture therapy (BNCT). 18FBPA has shown similar pharmacokinetics and distribution to 4-10B-borono-L-phenylalanine (BPA) under various conditions in many animal studies. 18FBPA PET is useful for treatment indication. A higher 18FBPA accumulation ratio of the tumor to the surrounding normal tissue (T/N ratio) indicates that a superior treatment effect is expected. In clinical settings, a T/N ratio of higher than 2.5 or 3 is often used for patient selection. Moreover, 18FBPA PET is useful for predicting the 10B concentration delivered to the tumor and surrounding normal tissues, enabling high-precision treatment planning. Precise dose prediction using 18FBPA PET data has greatly improved the treatment accuracy of BNCT. However, the methodology used for the data analysis of 18FBPA PET findings varies; thus, data should be evaluated using a consistent methodology so as to be more reliable. In addition to PET applications, the development of 18FBPA as a contrast agent for magnetic resonance imaging that combines gadolinium and 10B is also in progress. Full article
(This article belongs to the Special Issue Biology of Boron Neutron Capture Therapy (BNCT) 2021)
Show Figures

Figure 1

16 pages, 3713 KB  
Article
Salvage Boron Neutron Capture Therapy for Malignant Brain Tumor Patients in Compliance with Emergency and Compassionate Use: Evaluation of 34 Cases in Taiwan
by Yi-Wei Chen, Yi-Yen Lee, Chun-Fu Lin, Po-Shen Pan, Jen-Kun Chen, Chun-Wei Wang, Shih-Ming Hsu, Yu-Cheng Kuo, Tien-Li Lan, Sanford P. C. Hsu, Muh-Lii Liang, Robert Hsin-Hung Chen, Feng-Chi Chang, Chih-Chun Wu, Shih-Chieh Lin, Hsiang-Kuang Liang, Jia-Cheng Lee, Shih-Kuan Chen, Hong-Ming Liu, Jinn-Jer Peir, Ko-Han Lin, Wen-Sheng Huang, Kuan-Hsuan Chen, Yu-Mei Kang, Shueh-Chun Liou, Chun-Chieh Wang, Ping-Ching Pai, Chih-Wei Li, Daniel Quah Song Chiek, Tai-Tong Wong, Shih-Hwa Chiou, Yee Chao, Hiroki Tanaka, Fong-In Chou and Koji Onoadd Show full author list remove Hide full author list
Biology 2021, 10(4), 334; https://doi.org/10.3390/biology10040334 - 15 Apr 2021
Cited by 60 | Viewed by 8889
Abstract
Although boron neutron capture therapy (BNCT) is a promising treatment option for malignant brain tumors, the optimal BNCT parameters for patients with immediately life-threatening, end-stage brain tumors remain unclear. We performed BNCT on 34 patients with life-threatening, end-stage brain tumors and analyzed the [...] Read more.
Although boron neutron capture therapy (BNCT) is a promising treatment option for malignant brain tumors, the optimal BNCT parameters for patients with immediately life-threatening, end-stage brain tumors remain unclear. We performed BNCT on 34 patients with life-threatening, end-stage brain tumors and analyzed the relationship between survival outcomes and BNCT parameters. Before BNCT, MRI and 18F-BPA-PET analyses were conducted to identify the tumor location/distribution and the tumor-to-normal tissue uptake ratio (T/N ratio) of 18F-BPA. No severe adverse events were observed (grade ≥ 3). The objective response rate and disease control rate were 50.0% and 85.3%, respectively. The mean overall survival (OS), cancer-specific survival (CSS), and relapse-free survival (RFS) times were 7.25, 7.80, and 4.18 months, respectively. Remarkably, the mean OS, CSS, and RFS of patients who achieved a complete response were 17.66, 22.5, and 7.50 months, respectively. Kaplan–Meier analysis identified the optimal BNCT parameters and tumor characteristics of these patients, including a T/N ratio ≥ 4, tumor volume < 20 mL, mean tumor dose ≥ 25 Gy-E, MIB-1 ≤ 40, and a lower recursive partitioning analysis (RPA) class. In conclusion, for malignant brain tumor patients who have exhausted all available treatment options and who are in an immediately life-threatening condition, BNCT may be considered as a therapeutic approach to prolong survival. Full article
(This article belongs to the Special Issue Boron Neutron Capture Therapy: From Nuclear Physics to Biomedicine)
Show Figures

Figure 1

Back to TopTop