Sign in to use this feature.

Years

Between: -

Subjects

remove_circle_outline
remove_circle_outline
remove_circle_outline
remove_circle_outline
remove_circle_outline
remove_circle_outline
remove_circle_outline

Journals

Article Types

Countries / Regions

Search Results (11)

Search Parameters:
Keywords = FACBC

Order results
Result details
Results per page
Select all
Export citation of selected articles as:
15 pages, 5535 KB  
Article
Histomolecular Validation of [18F]-FACBC in Gliomas Using Image-Localized Biopsies
by Benedikte Emilie Vindstad, Anne Jarstein Skjulsvik, Lars Kjelsberg Pedersen, Erik Magnus Berntsen, Ole Skeidsvoll Solheim, Tor Ingebrigtsen, Ingerid Reinertsen, Håkon Johansen, Live Eikenes and Anna Maria Karlberg
Cancers 2024, 16(14), 2581; https://doi.org/10.3390/cancers16142581 - 18 Jul 2024
Cited by 2 | Viewed by 1559
Abstract
Background: Gliomas have a heterogeneous nature, and identifying the most aggressive parts of the tumor and defining tumor borders are important for histomolecular diagnosis, surgical resection, and radiation therapy planning. This study evaluated [18F]-FACBC PET for glioma tissue classification. Methods: Pre-surgical [...] Read more.
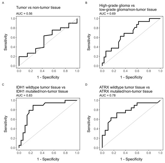
Background: Gliomas have a heterogeneous nature, and identifying the most aggressive parts of the tumor and defining tumor borders are important for histomolecular diagnosis, surgical resection, and radiation therapy planning. This study evaluated [18F]-FACBC PET for glioma tissue classification. Methods: Pre-surgical [18F]-FACBC PET/MR images were used during surgery and image-localized biopsy sampling in patients with high- and low-grade glioma. TBR was compared to histomolecular results to determine optimal threshold values, sensitivity, specificity, and AUC values for the classification of tumor tissue. Additionally, PET volumes were determined in patients with glioblastoma based on the optimal threshold. [18F]-FACBC PET volumes and diagnostic accuracy were compared to ce-T1 MRI. In total, 48 biopsies from 17 patients were analyzed. Results: [18F]-FACBC had low uptake in non-glioblastoma tumors, but overall higher sensitivity and specificity for the classification of tumor tissue (0.63 and 0.57) than ce-T1 MRI (0.24 and 0.43). Additionally, [18F]-FACBC TBR was an excellent classifier for IDH1-wildtype tumor tissue (AUC: 0.83, 95% CI: 0.71–0.96). In glioblastoma patients, PET tumor volumes were on average eight times larger than ce-T1 MRI volumes and included 87.5% of tumor-positive biopsies compared to 31.5% for ce-T1 MRI. Conclusion: The addition of [18F]-FACBC PET to conventional MRI could improve tumor classification and volume delineation. Full article
(This article belongs to the Section Methods and Technologies Development)
Show Figures

Figure 1

11 pages, 1566 KB  
Article
Texture Analysis in [18F]-Fluciclovine PET/CT Aids to Detect Prostate Cancer Biochemical Relapse: Report of a Preliminary Experience
by Laura Travascio, Sara De Novellis, Piera Turano, Angelo Domenico Di Nicola, Vincenzo Di Egidio, Ferdinando Calabria, Luca Frontino, Viviana Frantellizzi, Giuseppe De Vincentis, Andrea Cimini and Maria Ricci
Appl. Sci. 2024, 14(8), 3469; https://doi.org/10.3390/app14083469 - 19 Apr 2024
Viewed by 1546
Abstract
Background. As artificial intelligence is expanding its applications in medicine, metabolic imaging is gaining the ability to retrieve data otherwise missed by even an experienced naked eye. Also, new radiopharmaceuticals and peptides aim to increase the specificity of positron emission tomography (PET) scans. [...] Read more.
Background. As artificial intelligence is expanding its applications in medicine, metabolic imaging is gaining the ability to retrieve data otherwise missed by even an experienced naked eye. Also, new radiopharmaceuticals and peptides aim to increase the specificity of positron emission tomography (PET) scans. Herein, a preliminary experience is reported regarding searching for a texture signature in routinely performed [F18]Fluciclovine imaging in prostate cancer. Materials and methods. Twenty-nine patients who underwent a PET/computed tomography (CT) scan with [18F]Fluciclovine because of biochemical prostate cancer relapse were retrospectively enrolled. First- and second-order radiomic features were manually extracted in lesions visually considered pathologic from the Local Image Features Extraction (LIFEx) platform. Statistical analysis was performed on a database of 29 lesions, one1 per patient. The dataset was split to have 20 lesions for the model training set and 9 lesions for the validation set. The Wilcoxon–Mann–Whitney test was used on the training set to select the most significant features (p-value < 0.05) predicting the dichotomous outcome in a univariate analysis. Results. The best model for predicting the outcome was found to be a multiple logistic linear regression model with two features as variables: an intensity histogram type and a gray-level size zone-based type. Conclusions. Texture analysis of [F18]Fluciclovine PET scans helps in defining prostate cancer relapse in a daily clinical setting. Full article
(This article belongs to the Special Issue Bioinformatics in Healthcare to Prevent Cancer and Children Obesity)
Show Figures

Figure 1

13 pages, 962 KB  
Systematic Review
Diagnostic Accuracy of PET with 18F-Fluciclovine ([18F]FACBC) in Detecting High-Grade Gliomas: A Systematic Review and Meta-Analysis
by Angelo Castello, Domenico Albano, Barbara Muoio, Massimo Castellani, Stefano Panareo, Alessio Rizzo, Giorgio Treglia and Luca Urso
Diagnostics 2023, 13(24), 3610; https://doi.org/10.3390/diagnostics13243610 - 6 Dec 2023
Cited by 8 | Viewed by 3024
Abstract
Background: 18F-Fluciclovine ([18F]FACBC) has been recently proposed as a synthetic radiolabeled amino acid for positron emission tomography (PET) imaging in patients with brain neoplasms. Our aim is to evaluate the diagnostic performance of [18F]FACBC PET in high-grade glioma [...] Read more.
Background: 18F-Fluciclovine ([18F]FACBC) has been recently proposed as a synthetic radiolabeled amino acid for positron emission tomography (PET) imaging in patients with brain neoplasms. Our aim is to evaluate the diagnostic performance of [18F]FACBC PET in high-grade glioma (HGG) patients, taking into account the literature data. Methods: A comprehensive literature search was performed. We included original articles evaluating [18F]FACBC PET in the detection of HGG before therapy and for the suspicion of tumor recurrence. Pooled sensitivity, specificity, positive and negative likelihood ratios (LR+ and LR−), and diagnostic odds ratios (DOR), including 95% confidence intervals (95% CI), were measured. Statistical heterogeneity and publication bias were also assessed. Results: ten studies were included in the review and eight in the meta-analysis (113 patients). Regarding the identification of HGG, the sensitivity of [18F]FACBC PET ranged between 85.7% and 100%, with a pooled estimate of 92.9% (95% CI: 84.4–96.9%), while the specificity ranged from 50% to 100%, with a pooled estimate of 70.7% (95% CI: 47.5–86.5%). The pooled LR+, LR−, and DOR of [18F]FACBC PET were 2.5, 0.14, and 37, respectively. No significant statistical heterogeneity or publication bias were found. Conclusions: evidence-based data demonstrate the good diagnostic accuracy of [18F]FACBC PET for HGG detection. Due to the still limited data, further studies are warranted to confirm the promising role of [18F]FACBC PET in this context. Full article
(This article belongs to the Special Issue Advanced Brain Tumor Imaging)
Show Figures

Figure 1

13 pages, 1729 KB  
Systematic Review
Head-to-Head Comparison between FDG and 11C-Methionine in Multiple Myeloma: A Systematic Review
by Luca Filippi, Viviana Frantellizzi, Paola Bartoletti, Giuseppe De Vincentis, Orazio Schillaci and Laura Evangelista
Diagnostics 2023, 13(12), 2009; https://doi.org/10.3390/diagnostics13122009 - 9 Jun 2023
Cited by 8 | Viewed by 2178
Abstract
The aim of this systematic review is to provide a comprehensive overview of the existing literature, comparing 18F-fluorodeoxyglucose (FDG) and 11C-methionine (MET) for the imaging of multiple myeloma (MM) with positron emission computed tomography (PET/CT). Relevant studies published from 2013 up [...] Read more.
The aim of this systematic review is to provide a comprehensive overview of the existing literature, comparing 18F-fluorodeoxyglucose (FDG) and 11C-methionine (MET) for the imaging of multiple myeloma (MM) with positron emission computed tomography (PET/CT). Relevant studies published from 2013 up to March 2023 were selected by searching Scopus, PubMed, and Web of Science. Selected imaging studies were analyzed using a modified version of the critical Appraisal Skills Programme (CASP). Ten studies encompassing 335 patients were selected. On a patient-based analysis, MET sensitivity ranged between 75.6% and 100%, resulting higher than that measured for FDG (0–100%). MET outperformed FDG for the detection of focal lesions, diffuse bone marrow involvement and mixed patterns. PET-derived parameters resulted higher for MET than for FDG, with a strong correlation with clinical variables (e.g., monoclonal component and beta-2-microglobulin levels, bone marrow infiltration, etc.), although FDG maintained a prognostic impact on outcome prediction. When compared to other tracers or imaging modalities, MET showed stronger correlation and inter-observer agreement than FDG. Although biased by the small cohorts and requiring confirmation through multicenter studies, preliminary findings suggest that MET–PET should be preferred to FDG for PET imaging of MM, or alternatively used as a complementary imaging modality. Some issues, such as tracer availability and the role of MET with respect to other emerging tracers (i.e., 68Ga-pentixafor, 18F-FACBC and 18F-FET), should be the topic of further investigations. Full article
(This article belongs to the Special Issue What's New in Diagnostic Radiological Imaging?)
Show Figures

Figure 1

23 pages, 4854 KB  
Review
The Performance of FDA-Approved PET Imaging Agents in the Detection of Prostate Cancer
by Mei Li, Roman Zelchan and Anna Orlova
Biomedicines 2022, 10(10), 2533; https://doi.org/10.3390/biomedicines10102533 - 10 Oct 2022
Cited by 19 | Viewed by 4293
Abstract
Positron emission tomography (PET) incorporated with X-ray computed tomography (PET/CT) or magnetic resonance imaging (PET/MRI) is increasingly being used as a diagnostic tool for prostate cancer (PCa). In this review, we describe and evaluate the clinical performance of some Food and Drug Administration [...] Read more.
Positron emission tomography (PET) incorporated with X-ray computed tomography (PET/CT) or magnetic resonance imaging (PET/MRI) is increasingly being used as a diagnostic tool for prostate cancer (PCa). In this review, we describe and evaluate the clinical performance of some Food and Drug Administration (FDA)-approved agents used for visualizing PCa: [18F]FDG, [11C]choline, [18F]FACBC, [68Ga]Ga-PSMA-11, [18F]DCFPyL, and [18F]-NaF. We carried out a comprehensive literature search based on articles published from 1 January 2010 to 1 March 2022. We selected English language articles associated with the discovery, preclinical study, clinical study, and diagnostic performance of the imaging agents for the evaluation. Prostate-specific membrane antigen (PSMA)-targeted imaging agents demonstrated superior diagnostic performance in both primary and recurrent PCa, compared with [11C]choline and [18F]FACBC, both of which target dividing cells and are used especially in patients with low prostate-specific antigen (PSA) values. When compared to [18F]-NaF (which is suitable for the detection of bone metastases), PSMA-targeted agents were also capable of detecting lesions in the lymph nodes, soft tissues, and bone. However, a limitation of PSMA-targeted imaging was the heterogeneity of PSMA expression in PCa, and consequently, a combination of two PET tracers was proposed to overcome this obstacle. The preliminary studies indicated that the use of PSMA-targeted scanning is more cost efficient than conventional imaging modalities for high-risk PCa patients. Furthering the development of imaging agents that target PCa-associated receptors and molecules could improve PET-based diagnosis of PCa. Full article
Show Figures

Figure 1

13 pages, 2354 KB  
Article
Detection Rate and Clinical Impact of PET/CT with 18F-FACBC in Patients with Biochemical Recurrence of Prostate Cancer: A Retrospective Bicentric Study
by Luca Filippi, Oreste Bagni, Carmelo Crisafulli, Ivan Cerio, Gabriele Brunotti, Agostino Chiaravalloti, Orazio Schillaci and Franca Dore
Biomedicines 2022, 10(1), 177; https://doi.org/10.3390/biomedicines10010177 - 15 Jan 2022
Cited by 10 | Viewed by 5178
Abstract
Our aim was to assess the detection rate (DR) of positron emission computed tomography (PET/CT) with anti-1-amino-3-[18F]-flurocyclobutane-1-carboxylic acid (18F-FACBC) in patients with biochemical recurrence (BCR) from prostate cancer (PC). As a secondary endpoint, we evaluated 18F-FACBC PET/CT’s impact [...] Read more.
Our aim was to assess the detection rate (DR) of positron emission computed tomography (PET/CT) with anti-1-amino-3-[18F]-flurocyclobutane-1-carboxylic acid (18F-FACBC) in patients with biochemical recurrence (BCR) from prostate cancer (PC). As a secondary endpoint, we evaluated 18F-FACBC PET/CT’s impact on patients management. Clinical records of 81 patients submitted to 18F-FACBC PET/CT due to PC BCR in two Italian Nuclear Medicine Units were retrospectively assessed. DR was gauged in the whole cohort and stratifying patients by discrete intervals of PSA levels. PET/CT’s impact on clinical management was scored as (1) major if it entailed an intermodality change (e.g., from systemic to loco-regional therapy); (2) minor if it led to an intramodality change (e.g., modified radiotherapy field). PET/CT’s DR resulted in 76.9% in the whole cohort, with a positive predictive value of 96.7%. Stratified by PSA quartile intervals, PET/CT’s DR was 66.7%, 71.4%, 78.9% and 90% for PSA 0.2–0.57 ng/mL, 0.58–0.99 ng/mL, 1–1.5 ng/mL and >1.5 ng/mL without significant difference among groups (p = 0.81). The most common sites of relapse were prostate bed and pelvic lymph nodes (59.3%). PET/CT impacted on clinical management in 33/81 cases (40.7%), leading to a major change in 30 subjects (90.9%). 18F-FACBC PET/CT localized recurrence in patients with BCR, with meaningful DR also at low PSA levels and significantly impacted on clinical management. Full article
Show Figures

Figure 1

16 pages, 4378 KB  
Review
18F-Fluciclovine Positron Emission Tomography in Prostate Cancer: A Systematic Review and Diagnostic Meta-Analysis
by Giuseppina Biscontini, Cinzia Romagnolo, Chiara Cottignoli, Andrea Palucci, Fabio Massimo Fringuelli, Carmelo Caldarella, Francesco Ceci and Luca Burroni
Diagnostics 2021, 11(2), 304; https://doi.org/10.3390/diagnostics11020304 - 13 Feb 2021
Cited by 13 | Viewed by 3129
Abstract
Background: to explore the diagnostic accuracy of 18F-Fluciclovine positron-emission tomography (PET) in prostate cancer (PCa), considering both primary staging prior to radical therapy, biochemical recurrence, and advanced setting. Methods: A systematic web search through Embase and Medline was performed according to the Preferred [...] Read more.
Background: to explore the diagnostic accuracy of 18F-Fluciclovine positron-emission tomography (PET) in prostate cancer (PCa), considering both primary staging prior to radical therapy, biochemical recurrence, and advanced setting. Methods: A systematic web search through Embase and Medline was performed according to the Preferred Reporting Items for Systematic Reviews and Meta-analyses (PRISMA) guidelines. Studies performed from 2011 to 2020 were evaluated. The terms used were “PET” or “positron emission tomography” or “positron emission tomography/computed tomography” or “PET/CT” or “positron emission tomography-computed tomography” or “PET-CT” and “Fluciclovine” or “FACBC” and “prostatic neoplasms” or “prostate cancer” or “prostate carcinoma”. Only studies reporting about true positive (TP), true negative (TN), false positive (FP) and false negative (FN) findings of 18F-fluciclovine PET were considered eligible. Results: Fifteen out of 283 studies, and 697 patients, were included in the final analysis. The pooled sensitivity for 18F-Fluciclovine PET/CT for diagnosis of primary PCa was 0.83 (95% CI: 0.80–0.86), the specificity of 0.77 (95% CI: 0.74–0.80). The pooled sensitivity for preoperative LN staging was 0.57 (95% CI: 0.39–0.73) and specificity of 0.99 (95% CI: 0.94–1.00). The pooled sensitivity for the overall detection of recurrence in relapsed patients was 0.68 (95% CI: 0.63–0.73), and specificity of 0.68 (95% CI: 0.60–0.75). Conclusion: This meta-analysis showed promising results in term of sensitivity and specificity for 18F-Fluciclovine PET/CT to stage the primary lesion and in the assessment of nodal metastases, and for the detection of PCa locations in the recurrent setting. However, the limited number of studies and the broad heterogeneity in the selected cohorts and in different investigation protocols are limitation affecting the strength of these results. Full article
(This article belongs to the Collection Hybrid Imaging in Medicine)
Show Figures

Figure 1

25 pages, 1679 KB  
Review
Current Landscape and Emerging Fields of PET Imaging in Patients with Brain Tumors
by Jan-Michael Werner, Philipp Lohmann, Gereon R. Fink, Karl-Josef Langen and Norbert Galldiks
Molecules 2020, 25(6), 1471; https://doi.org/10.3390/molecules25061471 - 24 Mar 2020
Cited by 37 | Viewed by 7432
Abstract
The number of positron-emission tomography (PET) tracers used to evaluate patients with brain tumors has increased substantially over the last years. For the management of patients with brain tumors, the most important indications are the delineation of tumor extent (e.g., for planning of [...] Read more.
The number of positron-emission tomography (PET) tracers used to evaluate patients with brain tumors has increased substantially over the last years. For the management of patients with brain tumors, the most important indications are the delineation of tumor extent (e.g., for planning of resection or radiotherapy), the assessment of treatment response to systemic treatment options such as alkylating chemotherapy, and the differentiation of treatment-related changes (e.g., pseudoprogression or radiation necrosis) from tumor progression. Furthermore, newer PET imaging approaches aim to address the need for noninvasive assessment of tumoral immune cell infiltration and response to immunotherapies (e.g., T-cell imaging). This review summarizes the clinical value of the landscape of tracers that have been used in recent years for the above-mentioned indications and also provides an overview of promising newer tracers for this group of patients. Full article
(This article belongs to the Special Issue Radiolabelled Molecules for Brain Imaging with PET and SPECT)
Show Figures

Figure 1

17 pages, 853 KB  
Review
18F-Facbc in Prostate Cancer: A Systematic Review and Meta-Analysis
by Riccardo Laudicella, Domenico Albano, Pierpaolo Alongi, Giovanni Argiroffi, Matteo Bauckneht, Sergio Baldari, Francesco Bertagna, Michele Boero, Giuseppe De Vincentis, Angelo Del Sole, Giuseppe Rubini, Lorenzo Fantechi, Viviana Frantellizzi, Gloria Ganduscio, Priscilla Guglielmo, Anna Giulia Nappi, Laura Evangelista and on the behalf of Young AIMN Working Group
Cancers 2019, 11(9), 1348; https://doi.org/10.3390/cancers11091348 - 11 Sep 2019
Cited by 38 | Viewed by 5563
Abstract
Trans-1-amino-3-18F-fluorocyclobutanecarboxylic-acid (anti-[18F]-FACBC) has been approved for the detection of prostate cancer (PCa) in patients with elevated prostate-specific-antigen following prior treatment. This review and meta-analysis aimed to investigate the diagnostic performance of 18F-FACBC positron emission tomography/computed-tomography (PET/CT) in the [...] Read more.
Trans-1-amino-3-18F-fluorocyclobutanecarboxylic-acid (anti-[18F]-FACBC) has been approved for the detection of prostate cancer (PCa) in patients with elevated prostate-specific-antigen following prior treatment. This review and meta-analysis aimed to investigate the diagnostic performance of 18F-FACBC positron emission tomography/computed-tomography (PET/CT) in the detection of primary/recurrent PCa. A bibliographic search was performed including several databases, using the following terms: “FACBC”/“fluciclovine” AND “prostate cancer”/“prostate” AND “PET”/“Positron Emission Tomography”. Fifteen and 9 studies were included in the systematic reviews and meta-analysis, respectively. At patient-based analysis, the pooled sensitivity and specificity of 18F-FACBC-PET/CT for the assessment of PCa were 86.3% and 75.9%, respectively. The pooled diagnostic odds-ratio value was 16.453, with heterogeneity of 30%. At the regional-based-analysis, the pooled sensitivity of 18F-FACBC-PET/CT for the evaluation of primary/recurrent disease in the prostatic bed was higher than in the extra-prostatic regions (90.4% vs. 76.5%, respectively); conversely, the pooled specificity was higher for the evaluation of extra-prostatic region than the prostatic bed (89% vs. 45%, respectively). 18F-FACBC-PET/CT seems to be promising in recurrent PCa, particularly for the evaluation of the prostatic bed. Additional studies to evaluate its utility in clinical routine are mandatory. Full article
(This article belongs to the Special Issue Role of Medical Imaging in Cancers)
Show Figures

Figure 1

14 pages, 19911 KB  
Article
Fasting Enhances the Contrast of Bone Metastatic Lesions in 18F-Fluciclovine-PET: Preclinical Study Using a Rat Model of Mixed Osteolytic/Osteoblastic Bone Metastases
by Shuntaro Oka, Masaru Kanagawa, Yoshihiro Doi, David M. Schuster, Mark M. Goodman and Hirokatsu Yoshimura
Int. J. Mol. Sci. 2017, 18(5), 934; https://doi.org/10.3390/ijms18050934 - 29 Apr 2017
Cited by 13 | Viewed by 6603
Abstract
18F-fluciclovine (trans-1-amino-3-18F-fluorocyclobutanecarboxylic acid) is an amino acid positron emission tomography (PET) tracer used for cancer staging (e.g., prostate and breast). Patients scheduled to undergo amino acid-PET are usually required to fast before PET tracer administration. However, there have [...] Read more.
18F-fluciclovine (trans-1-amino-3-18F-fluorocyclobutanecarboxylic acid) is an amino acid positron emission tomography (PET) tracer used for cancer staging (e.g., prostate and breast). Patients scheduled to undergo amino acid-PET are usually required to fast before PET tracer administration. However, there have been no reports addressing whether fasting improves fluciclovine-PET imaging. In this study, the authors investigated the influence of fasting on fluciclovine-PET using triple-tracer autoradiography with 14C-fluciclovine, [5,6-3H]-2-fluoro-2-deoxy-d-glucose (3H-FDG), and 99mTc-hydroxymethylene diphosphonate (99mTc-HMDP) in a rat breast cancer model of mixed osteolytic/osteoblastic bone metastases in which the animals fasted overnight. Lesion accumulation of each tracer was evaluated using the target-to-background (muscle) ratio. The mean ratios of 14C-fluciclovine in osteolytic lesions were 4.6 ± 0.8 and 2.8 ± 0.6, respectively, with and without fasting, while those for 3H-FDG were 6.9 ± 2.5 and 5.1 ± 2.0, respectively. In the peri-tumor bone formation regions (osteoblastic), where 99mTc-HMDP accumulated, the ratios of 14C-fluciclovine were 4.3 ± 1.4 and 2.4 ± 0.7, respectively, and those of 3H-FDG were 6.2 ± 3.8 and 3.3 ± 2.2, respectively, with and without fasting. These results suggest that fasting before 18F-fluciclovine-PET improves the contrast between osteolytic and osteoblastic bone metastatic lesions and background, as well as 18F-FDG-PET. Full article
(This article belongs to the Special Issue Diagnostic, Prognostic and Predictive Biomarkers in Prostate Cancer)
Show Figures

Graphical abstract

13 pages, 1484 KB  
Article
Assessment of Amino Acid/Drug Transporters for Renal Transport of [18F]Fluciclovine (anti-[18F]FACBC) in Vitro
by Masahiro Ono, Atsumi Baden, Hiroyuki Okudaira, Masato Kobayashi, Keiichi Kawai, Shuntaro Oka and Hirokatsu Yoshimura
Int. J. Mol. Sci. 2016, 17(10), 1730; https://doi.org/10.3390/ijms17101730 - 14 Oct 2016
Cited by 5 | Viewed by 5896
Abstract
[18F]Fluciclovine (trans-1-amino-3-[18F]fluorocyclobutanecarboxylic acid; anti-[18F]FACBC), a positron emission tomography tracer used for the diagnosis of recurrent prostate cancer, is transported via amino acid transporters (AATs) with high affinity (Km: 97–230 μM). However, [...] Read more.
[18F]Fluciclovine (trans-1-amino-3-[18F]fluorocyclobutanecarboxylic acid; anti-[18F]FACBC), a positron emission tomography tracer used for the diagnosis of recurrent prostate cancer, is transported via amino acid transporters (AATs) with high affinity (Km: 97–230 μM). However, the mechanism underlying urinary excretion is unknown. In this study, we investigated the involvement of AATs and drug transporters in renal [18F]fluciclovine reuptake. [14C]Fluciclovine (trans-1-amino-3-fluoro[1-14C]cyclobutanecarboxylic acid) was used because of its long half-life. The involvement of AATs in [14C]fluciclovine transport was measured by apical-to-basal transport using an LLC-PK1 monolayer as model for renal proximal tubules. The contribution of drug transporters herein was assessed using vesicles/cells expressing the drug transporters P-glycoprotein (P-gp), breast cancer resistance protein (BCRP), multidrug resistance-associated protein 4 (MRP4), organic anion transporter 1 (OAT1), organic anion transporter 3 (OAT3) , organic cation transporter 2 (OCT2), organic anion transporting polypeptide 1B1 (OATP1B1), and organic anion transporting polypeptide 1B3 (OATP1B3). The apical-to-basal transport of [14C]fluciclovine was attenuated by l-threonine, the substrate for system alanine-serine-cysteine (ASC) AATs. [14C]Fluciclovine uptake by drug transporter-expressing vesicles/cells was not significantly different from that of control vesicles/cells. Fluciclovine inhibited P-gp, MRP4, OAT1, OCT2, and OATP1B1 (IC50 > 2.95 mM). Therefore, system ASC AATs may be partly involved in the renal reuptake of [18F]fluciclovine. Further, given that [18F]fluciclovine is recognized as an inhibitor with millimolar affinity for the tested drug transporters, slow urinary excretion of [18F]fluciclovine may be mediated by system ASC AATs, but not by drug transporters. Full article
(This article belongs to the Special Issue Cancer Molecular Imaging in the Era of Precision Medicine)
Show Figures

Graphical abstract

Back to TopTop