Sign in to use this feature.

Years

Between: -

Subjects

remove_circle_outline
remove_circle_outline
remove_circle_outline
remove_circle_outline
remove_circle_outline
remove_circle_outline
remove_circle_outline
remove_circle_outline

Journals

Article Types

Countries / Regions

Search Results (54)

Search Parameters:
Keywords = Edge–Fog–Cloud simulation

Order results
Result details
Results per page
Select all
Export citation of selected articles as:
20 pages, 3345 KB  
Article
Secure Fog Computing for Remote Health Monitoring with Data Prioritisation and AI-Based Anomaly Detection
by Kiran Fahd, Sazia Parvin, Antony Di Serio and Sitalakshmi Venkatraman
Sensors 2025, 25(23), 7329; https://doi.org/10.3390/s25237329 - 2 Dec 2025
Viewed by 223
Abstract
Smart remote health monitoring requires time-critical medical data of patients from IoT-enabled cyber–physical systems (CPSs) to be securely transmitted and analysed in real time for early interventions and personalised patient care. Existing cloud architectures are insufficient for smart health systems due to their [...] Read more.
Smart remote health monitoring requires time-critical medical data of patients from IoT-enabled cyber–physical systems (CPSs) to be securely transmitted and analysed in real time for early interventions and personalised patient care. Existing cloud architectures are insufficient for smart health systems due to their inherent issues with latency, bandwidth, and privacy. Fog architectures using data storage closer to edge devices introduce challenges in data management, security, and privacy for effective monitoring of a patient’s sensitive and critical health data. These gaps found in the literature form the main research focus of this study. As an initial modest step to advance research further, we propose an innovative fog-based framework which is the first of its kind to integrate secure communication with intelligent data prioritisation (IDP) integrated into an AI-based enhanced Random Forest anomaly and threat detection model. Our experimental study to validate our model involves a simulated smart healthcare scenario with synthesised health data streams from distributed wearable devices. Features such as heart rate, SpO2, and breathing rate are dynamically prioritised using AI strategies and rule-based thresholds so that urgent health anomalies are transmitted securely in real time to support clinicians and medical experts for personalised early interventions. We establish a successful proof-of-concept implementation of our framework by achieving high predictive performance measures with an initial high score of 93.5% accuracy, 90.8% precision, 88.7% recall, and 89.7% F1-score. Full article
Show Figures

Figure 1

29 pages, 6039 KB  
Article
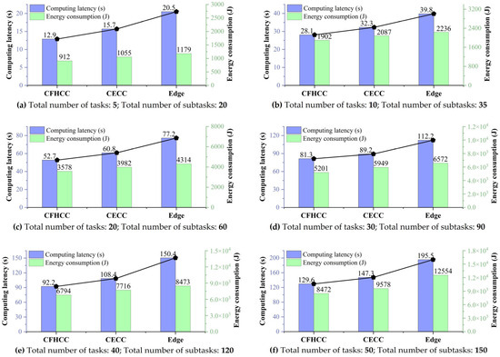
A Hierarchical Fractal Space NSGA-II-Based Cloud–Fog Collaborative Optimization Framework for Latency and Energy-Aware Task Offloading in Smart Manufacturing
by Zhiwen Lin, Chuanhai Chen, Jianzhou Chen and Zhifeng Liu
Mathematics 2025, 13(22), 3691; https://doi.org/10.3390/math13223691 - 18 Nov 2025
Viewed by 291
Abstract
The growth of intelligent manufacturing systems has led to a wealth of computation-intensive tasks with complex dependencies. These tasks require an efficient offloading architecture that balances responsiveness and energy efficiency across distributed computing resources. Existing task offloading approaches have fundamental limitations when simultaneously [...] Read more.
The growth of intelligent manufacturing systems has led to a wealth of computation-intensive tasks with complex dependencies. These tasks require an efficient offloading architecture that balances responsiveness and energy efficiency across distributed computing resources. Existing task offloading approaches have fundamental limitations when simultaneously optimizing multiple conflicting objectives while accommodating hierarchical computing architectures and heterogeneous resource capabilities. To address these challenges, this paper presents a cloud–fog hierarchical collaborative computing (CFHCC) framework that features fog cluster mechanisms. These methods enable coordinated, multi-node parallel processing while maintaining data sensitivity constraints. The optimization of task distribution across this three-tier architecture is formulated as a multi-objective problem, minimizing both system latency and energy consumption. To solve this problem, a fractal-based multi-objective optimization algorithm is proposed to efficiently explore Pareto-optimal task allocation strategies by employing recursive space partitioning aligned with the hierarchical computing structure. Simulation experiments across varying task scales demonstrate that the proposed method achieves a 20.28% latency reduction and 3.03% energy savings compared to typical and advanced methods for large-scale task scenarios, while also exhibiting superior solution consistency and convergence. A case study on a digital twin manufacturing system validated its practical effectiveness, with CFHCC outperforming traditional cloud–edge collaborative computing by 12.02% in latency and 11.55% in energy consumption, confirming its suitability for diverse intelligent manufacturing applications. Full article
Show Figures

Figure 1

25 pages, 5957 KB  
Article
Benchmarking IoT Simulation Frameworks for Edge–Fog–Cloud Architectures: A Comparative and Experimental Study
by Fatima Bendaouch, Hayat Zaydi, Safae Merzouk and Saliha Assoul
Future Internet 2025, 17(9), 382; https://doi.org/10.3390/fi17090382 - 26 Aug 2025
Viewed by 1297
Abstract
Current IoT systems are structured around Edge, Fog, and Cloud layers to manage data and resource constraints more effectively. Although several studies have examined IoT simulators from a functional angle, few have combined technical comparisons with experimental validation under realistic conditions. This lack [...] Read more.
Current IoT systems are structured around Edge, Fog, and Cloud layers to manage data and resource constraints more effectively. Although several studies have examined IoT simulators from a functional angle, few have combined technical comparisons with experimental validation under realistic conditions. This lack of integration limits the practical value of prior results and complicates tool selection for distributed architectures. This work introduces a selection and evaluation methodology for simulators that explicitly represent the Edge–Fog–Cloud continuum. Thirteen open-source tools are analyzed based on functional, technical, and operational features. Among them, iFogSim2 and FogNetSim++ are selected for a detailed experimental comparison on their support of mobility, resource allocation, and energy modeling across all layers. A shared hybrid IoT scenario is simulated using eight key metrics: execution time, application loop delay, CPU processing time per tuple, energy consumption, cloud execution cost, network usage, scalability, and robustness. The analysis reveals distinct modeling strategies: FogNetSim++ reduces loop latency by 48% and maintains stable performance at scale but shows high data loss under overload. In contrast, iFogSim2 consumes up to 80% less energy and preserves message continuity in stressful conditions, albeit with longer execution times. These outcomes reflect the trade-offs between modeling granularity, performance stability, and system resilience. Full article
Show Figures

Figure 1

29 pages, 7990 KB  
Article
Dynamic Low-Latency Load Balancing Model to Improve Quality of Experience in a Hybrid Fog and Edge Architecture for Massively Multiplayer Online (MMO) Games
by Ernesto José García Fernández de Castro, Ernesto José García Puche and Daladier Jabba Molinares
Appl. Sci. 2025, 15(12), 6379; https://doi.org/10.3390/app15126379 - 6 Jun 2025
Cited by 1 | Viewed by 2545
Abstract
In the evolving landscape of online gaming, ensuring a high quality of experience (QoE) for players is paramount. This study introduces a dynamic, low-latency load balancing model designed to enhance QoE in massively multiplayer online (MMO) games through a hybrid fog and edge [...] Read more.
In the evolving landscape of online gaming, ensuring a high quality of experience (QoE) for players is paramount. This study introduces a dynamic, low-latency load balancing model designed to enhance QoE in massively multiplayer online (MMO) games through a hybrid fog and edge computing architecture. The model addresses the challenges of latency and load distribution by leveraging fog and edge resources to optimize player engagement and response times. The experiments conducted in this study were simulations, providing a controlled environment to evaluate the proposed model’s performance. Key findings demonstrate a significant 67.5% reduction in average latency, a 60.3% reduction in peak latency, and a 65.8% reduction in latency variability, ensuring a more consistent and immersive gaming experience. Additionally, the proposed model was benchmarked against a base model, based on the article titled “A Cloud Gaming Architecture Leveraging Fog for Dynamic Load Balancing in Cluster-Based MMOs”, highlighting its superior performance in load distribution and latency reduction. This research provides a framework for future developments in cloud-based gaming infrastructure, emphasizing the importance of innovative load balancing techniques in maintaining seamless gameplay and scalable systems. Full article
Show Figures

Figure 1

41 pages, 4206 KB  
Systematic Review
A Systematic Literature Review on Load-Balancing Techniques in Fog Computing: Architectures, Strategies, and Emerging Trends
by Danah Aldossary, Ezaz Aldahasi, Taghreed Balharith and Tarek Helmy
Computers 2025, 14(6), 217; https://doi.org/10.3390/computers14060217 - 2 Jun 2025
Cited by 2 | Viewed by 2598
Abstract
Fog computing has emerged as a promising paradigm to extend cloud services toward the edge of the network, enabling low-latency processing and real-time responsiveness for Internet of Things (IoT) applications. However, the distributed, heterogeneous, and resource-constrained nature of fog environments introduces significant challenges [...] Read more.
Fog computing has emerged as a promising paradigm to extend cloud services toward the edge of the network, enabling low-latency processing and real-time responsiveness for Internet of Things (IoT) applications. However, the distributed, heterogeneous, and resource-constrained nature of fog environments introduces significant challenges in balancing workloads efficiently. This study presents a systematic literature review (SLR) of 113 peer-reviewed articles published between 2020 and 2024, aiming to provide a comprehensive overview of load-balancing strategies in fog computing. This review categorizes fog computing architectures, load-balancing algorithms, scheduling and offloading techniques, fault-tolerance mechanisms, security models, and evaluation metrics. The analysis reveals that three-layer (IoT–Fog–Cloud) architectures remain predominant, with dynamic clustering and virtualization commonly employed to enhance adaptability. Heuristic and hybrid load-balancing approaches are most widely adopted due to their scalability and flexibility. Evaluation frequently centers on latency, energy consumption, and resource utilization, while simulation is primarily conducted using tools such as iFogSim and YAFS. Despite considerable progress, key challenges persist, including workload diversity, security enforcement, and real-time decision-making under dynamic conditions. Emerging trends highlight the growing use of artificial intelligence, software-defined networking, and blockchain to support intelligent, secure, and autonomous load balancing. This review synthesizes current research directions, identifies critical gaps, and offers recommendations for designing efficient and resilient fog-based load-balancing systems. Full article
(This article belongs to the Special Issue Edge and Fog Computing for Internet of Things Systems (2nd Edition))
Show Figures

Figure 1

23 pages, 1095 KB  
Article
Bridging ACO-Based Drone Logistics and Computing Continuum for Enhanced Smart City Applications
by Salvatore Rosario Bassolillo, Egidio D’Amato, Immacolata Notaro, Luca D’Agati, Giovanni Merlino and Giuseppe Tricomi
Drones 2025, 9(5), 368; https://doi.org/10.3390/drones9050368 - 13 May 2025
Cited by 4 | Viewed by 1809
Abstract
In the context of evolving Smart Cities, the integration of drone technology and distributed computing paradigms presents significant potential for enhancing urban infrastructure and services. This paper proposes a comprehensive approach to optimizing urban delivery logistics through a cloud-based model that employs Ant [...] Read more.
In the context of evolving Smart Cities, the integration of drone technology and distributed computing paradigms presents significant potential for enhancing urban infrastructure and services. This paper proposes a comprehensive approach to optimizing urban delivery logistics through a cloud-based model that employs Ant Colony Optimization (ACO) for planning and Model Predictive Control (MPC) for trajectory tracking within a broader Computing Continuum framework. The proposed system addresses the Capacitated Vehicle Routing Problem (CVRP) by considering both drone capacity constraints and autonomy, using the ACO-based algorithm to efficiently assign delivery destinations while minimizing travel distances. Collision-free paths are computed by using a Visibility Graph (VG) based approach, and MPC controllers enable drones to adapt to dynamic obstacles in real time. Additionally, this work explores how clusters of drones can be deployed as edge devices within the Computing Continuum, seamlessly integrating with IoT sensors and fog computing infrastructure to support various urban applications, such as traffic management, crowd monitoring, and infrastructure inspections. This dual-architecture approach, combining the optimization capabilities of ACO with the flexible, distributed nature of the Computing Continuum, allows for scalable and efficient urban drone deployment. Simulation results validate the effectiveness of the proposed model in enhancing delivery efficiency and collision avoidance while demonstrating the potential of integrating drone technology into Smart City environments for improved data collection and real-time response. Full article
Show Figures

Figure 1

28 pages, 832 KB  
Article
Two-Tier Marketplace with Multi-Resource Bidding and Strategic Pricing for Multi-QoS Services
by Samira Habli, Rachid El-Azouzi, Essaid Sabir, Mandar Datar, Halima Elbiaze and Mohammed Sadik
Games 2025, 16(2), 20; https://doi.org/10.3390/g16020020 - 21 Apr 2025
Viewed by 1358
Abstract
Fog computing introduces a new dimension to the network edge by pooling diverse resources (e.g., processing power, memory, and bandwidth). However, allocating resources from heterogeneous fog nodes often faces limited capacity. To overcome these limitations, integrating fog nodes with cloud resources is crucial, [...] Read more.
Fog computing introduces a new dimension to the network edge by pooling diverse resources (e.g., processing power, memory, and bandwidth). However, allocating resources from heterogeneous fog nodes often faces limited capacity. To overcome these limitations, integrating fog nodes with cloud resources is crucial, ensuring that Service Providers (SPs) have adequate resources to deliver their services efficiently. In this paper, we propose a game-theoretic model to describe the competition among non-cooperative SPs as they bid for resources from both fog and cloud environments, managed by an Infrastructure Provider (InP), to offer paid services to their end-users. In our game model, each SP bids for the resources it requires, determining its willingness to pay based on its specific service demands and quality requirements. Resource allocation prioritizes the fog environment, which offers local access with lower latency but limited capacity. When fog resources are insufficient, the remaining demand is fulfilled by cloud resources, which provide virtually unlimited capacity. However, this approach has a weakness in that some SPs may struggle to fully utilize the resources allocated in the Nash equilibrium-balanced cloud solution. Specifically, under a nondiscriminatory pricing scheme, the Nash equilibrium may enable certain SPs to acquire more resources, granting them a significant advantage in utilizing fog resources. This leads to unfairness among SPs competing for fog resources. To address this issue, we propose a price differentiation mechanism among SPs to ensure a fair allocation of resources at the Nash equilibrium in the fog environment. We establish the existence and uniqueness of the Nash equilibrium and analyze its key properties. The effectiveness of the proposed model is validated through simulations using Amazon EC2 instances, where we investigate the impact of various parameters on market equilibrium. The results show that SPs may experience profit reductions as they invest to attract end-users and enhance their quality of service QoS. Furthermore, unequal access to resources can lead to an imbalance in competition, negatively affecting the fairness of resource distribution. The results demonstrate that the proposed model is coherent and that it offers valuable information on the allocation of resources, pricing strategies, and QoS management in cloud- and fog-based environments. Full article
(This article belongs to the Section Non-Cooperative Game Theory)
Show Figures

Figure 1

21 pages, 769 KB  
Article
Task Offloading Optimization Using PSO in Fog Computing for the Internet of Drones
by Sofiane Zaidi, Mohamed Amine Attalah, Lazhar Khamer and Carlos T. Calafate
Drones 2025, 9(1), 23; https://doi.org/10.3390/drones9010023 - 30 Dec 2024
Cited by 9 | Viewed by 2343
Abstract
Recently, task offloading in the Internet of Drones (IoD) is considered one of the most important challenges because of the high transmission delay due to the high mobility and limited capacity of drones. This particularity makes it difficult to apply the conventional task [...] Read more.
Recently, task offloading in the Internet of Drones (IoD) is considered one of the most important challenges because of the high transmission delay due to the high mobility and limited capacity of drones. This particularity makes it difficult to apply the conventional task offloading technologies, such as cloud computing and edge computing, in IoD environments. To address these limits, and to ensure a low task offloading delay, in this paper we propose PSO BS-Fog, a task offloading optimization that combines a particle swarm optimization (PSO) heuristic with fog computing technology for the IoD. The proposed solution applies the PSO for task offloading from unmanned aerial vehicles (UAVs) to fog base stations (FBSs) in order to optimize the offloading delay (transmission delay and fog computing delay) and to guarantee higher storage and processing capacity. The performance of PSO BS-Fog was evaluated through simulations conducted in the MATLAB environment and compared against PSO UAV-Fog and PSO UAV-Edge IoD technologies. Experimental results demonstrate that PSO BS-Fog reduces task offloading delay by up to 88% compared to PSO UAV-Fog and by up to 97% compared to PSO UAV-Edge. Full article
Show Figures

Figure 1

25 pages, 9336 KB  
Article
An Effective Mechanism for FOG Computing Assisted Function Based on Trustworthy Forwarding Scheme (IOT)
by Fatimah Mohammed Hameed Hameed and Sefer Kurnaz
Electronics 2024, 13(14), 2715; https://doi.org/10.3390/electronics13142715 - 11 Jul 2024
Viewed by 1984
Abstract
As the Internet of Things (IoT) continues to proliferate, the demand for efficient and secure data processing at the network edge has grown exponentially. Fog computing, a paradigm that extends cloud capabilities to the edge of the network, plays a pivotal role in [...] Read more.
As the Internet of Things (IoT) continues to proliferate, the demand for efficient and secure data processing at the network edge has grown exponentially. Fog computing, a paradigm that extends cloud capabilities to the edge of the network, plays a pivotal role in meeting these requirements. In this context, the reliable and trustworthy forwarding of data is of paramount importance. This paper presents an innovative mechanism designed to ensure the trustworthiness of data forwarding in the context of MQTT (Message Queuing Telemetry Transport), a widely adopted IoT communication protocol. Our proposed mechanism leverages the inherent advantages of MQTT to establish a robust and secure data-forwarding scheme. It integrates fog computing resources seamlessly into the MQTT ecosystem, enhancing data reliability and security. The mechanism employs trust models to evaluate the credibility of IoT devices and fog nodes involved in data forwarding, enabling informed decisions at each stage of the transmission process. Key components of the mechanism include secure communication protocols, authentication mechanisms, and data integrity verification. The proposed secure communication protocols (TLS/SSL, MQTTS, and PKI) and data integrity verification methods (MAC, digital signatures, checksums, and CRC) provide a robust framework for ensuring secure and trustworthy data transmission in IoT systems. These elements collectively contribute to the establishment of a reliable data forwarding pipeline within MQTT. Additionally, the mechanism prioritizes low-latency communication and efficient resource utilization, aligning with the real-time requirements of IoT applications. Through empirical evaluations and simulations, the research demonstrates the effectiveness of our proposed mechanism in improving the trustworthiness of data forwarding, while minimizing overhead, as the experiment was conducted with 15 fog nodes, and the maximum Level of Trust (LoT) score was 0.968, which is very high, with an estimated accuracy of 97.63%. The results indicate that our approach significantly enhances data security and reliability in MQTT-based IoT environments, thereby facilitating the seamless integration of fog computing resources for edge processing. Full article
Show Figures

Figure 1

22 pages, 9676 KB  
Article
Modeling- and Simulation-Driven Methodology for the Deployment of an Inland Water Monitoring System
by Giordy A. Andrade, Segundo Esteban, José L. Risco-Martín, Jesús Chacón and Eva Besada-Portas
Information 2024, 15(5), 267; https://doi.org/10.3390/info15050267 - 9 May 2024
Viewed by 1872
Abstract
In response to the challenges introduced by global warming and increased eutrophication, this paper presents an innovative modeling and simulation (M&S)-driven model for developing an automated inland water monitoring system. This system is grounded in a layered Internet of Things (IoT) architecture and [...] Read more.
In response to the challenges introduced by global warming and increased eutrophication, this paper presents an innovative modeling and simulation (M&S)-driven model for developing an automated inland water monitoring system. This system is grounded in a layered Internet of Things (IoT) architecture and seamlessly integrates cloud, fog, and edge computing to enable sophisticated, real-time environmental surveillance and prediction of harmful algal and cyanobacterial blooms (HACBs). Utilizing autonomous boats as mobile data collection units within the edge layer, the system efficiently tracks algae and cyanobacteria proliferation and relays critical data upward through the architecture. These data feed into advanced inference models within the cloud layer, which inform predictive algorithms in the fog layer, orchestrating subsequent data-gathering missions. This paper also details a complete development environment that facilitates the system lifecycle from concept to deployment. The modular design is powered by Discrete Event System Specification (DEVS) and offers unparalleled adaptability, allowing developers to simulate, validate, and deploy modules incrementally and cutting across traditional developmental phases. Full article
(This article belongs to the Special Issue Internet of Things and Cloud-Fog-Edge Computing)
Show Figures

Figure 1

16 pages, 7101 KB  
Article
Application Scenarios of Digital Twins for Smart Crop Farming through Cloud–Fog–Edge Infrastructure
by Yogeswaranathan Kalyani, Liam Vorster, Rebecca Whetton and Rem Collier
Future Internet 2024, 16(3), 100; https://doi.org/10.3390/fi16030100 - 16 Mar 2024
Cited by 28 | Viewed by 5223
Abstract
In the last decade, digital twin (DT) technology has received considerable attention across various domains, such as manufacturing, smart healthcare, and smart cities. The digital twin represents a digital representation of a physical entity, object, system, or process. Although it is relatively new [...] Read more.
In the last decade, digital twin (DT) technology has received considerable attention across various domains, such as manufacturing, smart healthcare, and smart cities. The digital twin represents a digital representation of a physical entity, object, system, or process. Although it is relatively new in the agricultural domain, it has gained increasing attention recently. Recent reviews of DTs show that this technology has the potential to revolutionise agriculture management and activities. It can also provide numerous benefits to all agricultural stakeholders, including farmers, agronomists, researchers, and others, in terms of making decisions on various agricultural processes. In smart crop farming, DTs help simulate various farming tasks like irrigation, fertilisation, nutrient management, and pest control, as well as access real-time data and guide farmers through ‘what-if’ scenarios. By utilising the latest technologies, such as cloud–fog–edge computing, multi-agent systems, and the semantic web, farmers can access real-time data and analytics. This enables them to make accurate decisions about optimising their processes and improving efficiency. This paper presents a proposed architectural framework for DTs, exploring various potential application scenarios that integrate this architecture. It also analyses the benefits and challenges of implementing this technology in agricultural environments. Additionally, we investigate how cloud–fog–edge computing contributes to developing decentralised, real-time systems essential for effective management and monitoring in agriculture. Full article
Show Figures

Figure 1

23 pages, 1213 KB  
Article
Optimizing Internet of Things Fog Computing: Through Lyapunov-Based Long Short-Term Memory Particle Swarm Optimization Algorithm for Energy Consumption Optimization
by Sheng Pan, Chenbin Huang, Jiajia Fan, Zheyan Shi, Junjie Tong and Hui Wang
Sensors 2024, 24(4), 1165; https://doi.org/10.3390/s24041165 - 10 Feb 2024
Cited by 7 | Viewed by 2310
Abstract
In the era of continuous development in Internet of Things (IoT) technology, smart services are penetrating various facets of societal life, leading to a growing demand for interconnected devices. Many contemporary devices are no longer mere data producers but also consumers of data. [...] Read more.
In the era of continuous development in Internet of Things (IoT) technology, smart services are penetrating various facets of societal life, leading to a growing demand for interconnected devices. Many contemporary devices are no longer mere data producers but also consumers of data. As a result, massive amounts of data are transmitted to the cloud, but the latency generated in edge-to-cloud communication is unacceptable for many tasks. In response to this, this paper introduces a novel contribution—a layered computing network built on the principles of fog computing, accompanied by a newly devised algorithm designed to optimize user tasks and allocate computing resources within rechargeable networks. The proposed algorithm, a synergy of Lyapunov-based, dynamic Long Short-Term Memory (LSTM) networks, and Particle Swarm Optimization (PSO), allows for predictive task allocation. The fog servers dynamically train LSTM networks to effectively forecast the data features of user tasks, facilitating proper unload decisions based on task priorities. In response to the challenge of slower hardware upgrades in edge devices compared to user demands, the algorithm optimizes the utilization of low-power devices and addresses performance limitations. Additionally, this paper considers the unique characteristics of rechargeable networks, where computing nodes acquire energy through charging. Utilizing Lyapunov functions for dynamic resource control enables nodes with abundant resources to maximize their potential, significantly reducing energy consumption and enhancing overall performance. The simulation results demonstrate that our algorithm surpasses traditional methods in terms of energy efficiency and resource allocation optimization. Despite the limitations of prediction accuracy in Fog Servers (FS), the proposed results significantly promote overall performance. The proposed approach improves the efficiency and the user experience of Internet of Things systems in terms of latency and energy consumption. Full article
(This article belongs to the Special Issue Smart Internet of Things (IoT))
Show Figures

Figure 1

20 pages, 948 KB  
Article
Multiauthority Ciphertext Policy-Attribute-Based Encryption (MA-CP-ABE) with Revocation and Computation Outsourcing for Resource-Constraint Devices
by Xiaodan Yan, Shanshan Tu, Hisham Alasmary and Fengming Huang
Appl. Sci. 2023, 13(20), 11269; https://doi.org/10.3390/app132011269 - 13 Oct 2023
Cited by 8 | Viewed by 2980
Abstract
Fog computing accredits by utilizing the network edge while still rendering the possibility to interact with the cloud. Nevertheless, the features of fog computing are encountering several security challenges. The security of end users and/or fog servers brings a significant dilemma in implementing [...] Read more.
Fog computing accredits by utilizing the network edge while still rendering the possibility to interact with the cloud. Nevertheless, the features of fog computing are encountering several security challenges. The security of end users and/or fog servers brings a significant dilemma in implementing fog computing. The computational power of the resources constrains Internet of Things (IoT) devices in the fog-computing environment. Therefore, an attacker can easily attack. The traditional methods like attribute-based encryption (ABE) techniques are inappropriate for resource-constraint devices with protracted computing and limited computational capabilities. In this regard, we investigate a multiauthority ciphertext policy-attribute-based encryption (MA-CP-ABE) method that enables multiauthority attribute revocation and computation outsourcing. Moreover, the encryption and decryption processes of resource-constraint IoT devices are outsourced to the fog nodes. In this way, it also reduces the computational burden of the resource-constraint IoT devices. Hence, we propose MA-CP-ABE for encryption and decryption, attribute revocation and outsourcing by reducing the computational burden and securing the system. We compare the computational offloading approach with the existing techniques to prove that the proposed approach outperforms the existing approaches. The proposed method reduces the operation time for the encryption and decryption process. We outsource cryptography operations to the fog node, reducing the end user’s computational cost. Eventually, simulated outcomes are used to assess the algorithm’s computational cost. Full article
(This article belongs to the Special Issue Blockchain and 6G Trustworthy Networking)
Show Figures

Figure 1

17 pages, 976 KB  
Article
A Fuzzy-Based Approach for the Assessment of the Edge Layer Processing Capability in SDN-VANETs: A Comparation Study of Testbed and Simulation System Results
by Ermioni Qafzezi, Kevin Bylykbashi, Shunya Higashi, Phudit Ampririt, Keita Matsuo and Leonard Barolli
Vehicles 2023, 5(3), 1087-1103; https://doi.org/10.3390/vehicles5030059 - 3 Sep 2023
Cited by 3 | Viewed by 2101
Abstract
Vehicular Ad Hoc Networks (VANETs) have gained significant attention due to their potential to enhance road safety, traffic efficiency, and passenger comfort through vehicle-to-vehicle and vehicle-to-infrastructure communication. However, VANETs face resource management challenges due to the dynamic and resource constrained nature of vehicular [...] Read more.
Vehicular Ad Hoc Networks (VANETs) have gained significant attention due to their potential to enhance road safety, traffic efficiency, and passenger comfort through vehicle-to-vehicle and vehicle-to-infrastructure communication. However, VANETs face resource management challenges due to the dynamic and resource constrained nature of vehicular environments. Integrating cloud-fog-edge computing and Software-Defined Networking (SDN) with VANETs can harness the computational capabilities and resources available at different tiers to efficiently process and manage vehicular data. In this work, we used this paradigm and proposed an intelligent approach based on Fuzzy Logic (FL) to evaluate the processing and storage capability of vehicles for helping other vehicles in need of additional resources. The effectiveness of the proposed system is evaluated through extensive simulations and a testbed. Performance analysis between the simulation results and the testbed offers a comprehensive understanding of the proposed system and its performance and feasibility. Full article
Show Figures

Figure 1

14 pages, 4932 KB  
Article
A Multi-Classifiers Based Algorithm for Energy Efficient Tasks Offloading in Fog Computing
by Moteb K. Alasmari, Sami S. Alwakeel and Yousef A. Alohali
Sensors 2023, 23(16), 7209; https://doi.org/10.3390/s23167209 - 16 Aug 2023
Cited by 16 | Viewed by 2471
Abstract
The IoT has connected a vast number of devices on a massive internet scale. With the rapid increase in devices and data, offloading tasks from IoT devices to remote Cloud data centers becomes unproductive and costly. Optimizing energy consumption in IoT devices while [...] Read more.
The IoT has connected a vast number of devices on a massive internet scale. With the rapid increase in devices and data, offloading tasks from IoT devices to remote Cloud data centers becomes unproductive and costly. Optimizing energy consumption in IoT devices while meeting deadlines and data constraints is challenging. Fog Computing aids efficient IoT task processing with proximity to nodes and lower service delay. Cloud task offloading occurs frequently due to Fog Computing’s limited resources compared to remote Cloud, necessitating improved techniques for accurate categorization and distribution of IoT device task offloading in a hybrid IoT, Fog, and Cloud paradigm. This article explores relevant offloading strategies in Fog Computing and proposes MCEETO, an intelligent energy-aware allocation strategy, utilizing a multi-classifier-based algorithm for efficient task offloading by selecting optimal Fog Devices (FDs) for module placement. MCEETO decision parameters include task attributes, Fog node characteristics, network latency, and bandwidth. The method is evaluated using the iFogSim simulator and compared with edge-ward and Cloud-only strategies. The proposed solution is more energy-efficient, saving around 11.36% compared to Cloud-only and approximately 9.30% compared to the edge-ward strategy. Additionally, the MCEETO algorithm achieved a 67% and 96% reduction in network usage compared to both strategies. Full article
(This article belongs to the Section Sensor Networks)
Show Figures

Figure 1

Back to TopTop