error_outline You can access the new MDPI.com website here. Explore and share your feedback with us.
 
 
Sign in to use this feature.

Years

Between: -

Subjects

remove_circle_outline
remove_circle_outline
remove_circle_outline
remove_circle_outline
remove_circle_outline

Journals

Article Types

Countries / Regions

Search Results (25)

Search Parameters:
Keywords = ECMWF ensemble prediction system

Order results
Result details
Results per page
Select all
Export citation of selected articles as:
28 pages, 11403 KB  
Article
Performance Evaluation of a National Seven-Day Ensemble Streamflow Forecast Service for Australia
by Mohammed Abdul Bari, Mohammad Mahadi Hasan, Gnanathikkam Emmanual Amirthanathan, Hapu Arachchige Prasantha Hapuarachchi, Aynul Kabir, Alex Daniel Cornish, Patrick Sunter and Paul Martinus Feikema
Water 2024, 16(10), 1438; https://doi.org/10.3390/w16101438 - 17 May 2024
Cited by 3 | Viewed by 2202
Abstract
The Australian Bureau of Meteorology offers a national operational 7-day ensemble streamflow forecast service covering regions of high environmental, economic, and social significance. This semi-automated service generates streamflow forecasts every morning and is seamlessly integrated into the Bureau’s Hydrologic Forecasting System (HyFS). Ensemble [...] Read more.
The Australian Bureau of Meteorology offers a national operational 7-day ensemble streamflow forecast service covering regions of high environmental, economic, and social significance. This semi-automated service generates streamflow forecasts every morning and is seamlessly integrated into the Bureau’s Hydrologic Forecasting System (HyFS). Ensemble rainfall forecasts, European Centre for Medium-Range Weather Forecasts (ECMWF), and Poor Man’s Ensemble (PME), available in the Numerical Weather Prediction (NWP) suite, are used to generate these streamflow forecasts. The NWP rainfall undergoes pre-processing using the Catchment Hydrologic Pre-Processer (CHyPP) before being fed into the GR4H rainfall–runoff model, which is embedded in the Short-term Water Information Forecasting Tools (SWIFT) hydrological modelling package. The simulated streamflow is then post-processed using Error Representation and Reduction In Stages (ERRIS). We evaluated the performance of the operational rainfall and streamflow forecasts for 96 catchments using four years of operational data between January 2020 and December 2023. Performance evaluation metrics included the following: CRPS, relative CRPS, CRPSS, and PIT-Alpha for ensemble forecasts; NSE, PCC, MAE, KGE, PBias, and RMSE; and three categorical metrics, CSI, FAR, and POD, for deterministic forecasts. The skill scores, CRPS, relative CRPS, CRPSS, and PIT-Alpha, gradually decreased for both rainfall and streamflow as the forecast horizon increased from Day 1 to Day 7. A similar pattern emerged for NSE, KGE, PCC, MAE, and RMSE as well as for the categorical metrics. Forecast performance also progressively decreased with higher streamflow volumes. Most catchments showed positive performance skills, meaning the ensemble forecast outperformed climatology. Both streamflow and rainfall forecast skills varied spatially across the country—they were generally better in the high-runoff-generating catchments, and poorer in the drier catchments situated in the western part of the Great Dividing Range, South Australia, and the mid-west of Western Australia. We did not find any association between the model forecast skill and the catchment area. Our findings demonstrate that the 7-day ensemble streamflow forecasting service is robust and draws great confidence from agencies that use these forecasts to support decisions around water resource management. Full article
Show Figures

Figure 1

40 pages, 23230 KB  
Article
Synoptic Analysis and Subseasonal Predictability of an Early Heatwave in the Eastern Mediterranean
by Dimitris Mitropoulos, Ioannis Pytharoulis, Prodromos Zanis and Christina Anagnostopoulou
Atmosphere 2024, 15(4), 442; https://doi.org/10.3390/atmos15040442 - 2 Apr 2024
Cited by 2 | Viewed by 3254
Abstract
Greece and the surrounding areas experienced an early warm spell with characteristics of a typical summer Mediterranean heatwave in mid-May 2020. The maximum 2 m temperature at Kalamata (southern Greece) reached 40 °C on 16 May and at Aydin (Turkey), it was 42.6 [...] Read more.
Greece and the surrounding areas experienced an early warm spell with characteristics of a typical summer Mediterranean heatwave in mid-May 2020. The maximum 2 m temperature at Kalamata (southern Greece) reached 40 °C on 16 May and at Aydin (Turkey), it was 42.6 °C on 17 May. There was a 10-standard deviation positive temperature anomaly (relative to the 1975–2005 climatology) at 850 hPa, with a southwesterly flow and warm advection over Greece and western Turkey from 11 to 20 May. At 500 hPa, a ridge was located over the Eastern Mediterranean, resulting in subsidence. The aims of this study were (a) to investigate the prevailing synoptic conditions during this event in order to document its occurrence and (b) to assess whether this out-of-season heatwave was predictable on subseasonal timescales. The subseasonal predictability is not a well-researched scientific topic in the Eastern Mediterranean Sea. The ensemble global forecasts from six international meteorological centres (European Centre for Medium-Range Weather Forecasts—ECMWF, United Kingdom Met Office—UKMO, China Meteorological Administration—CMA, Korea Meteorological Administration—KMA, National Centers for Environmental Prediction—NCEP and Hydrometeorological Centre of Russia—HMCR) and limited area forecasts using the Weather Research and Forecasting model with the Advanced Research dynamic solver (WRF) forced by Climate Forecast System version 2 (CFSv.2; NCEP) forecasts were evaluated for lead times ranging from two to six weeks using statistical scores. WRF was integrated using two telescoping nests covering Europe, the Mediterranean basin and large part of the Atlantic Ocean, with a grid spacing of 25 km, and Greece–western Turkey at 5 km. The results showed that there were some accurate forecasts initiated two weeks before the event’s onset. There was no systematic benefit from the increase of the WRF model’s resolution from 25 km to 5 km for forecasting the 850 hPa temperature, but regarding the prediction of maximum air temperature near the surface, the high resolution (5 km) nest of WRF produced a marginally better performance than the coarser resolution domain (25 km). Full article
(This article belongs to the Special Issue Numerical Weather Prediction Models and Ensemble Prediction Systems)
Show Figures

Figure 1

23 pages, 7346 KB  
Article
An Ensemble Forecast Wind Field Correction Model with Multiple Factors and Spatio-Temporal Features
by Min Chen, Hao Yang, Bo Mao, Kaiwen Xie, Chaoping Chen and Yuanchang Dong
Atmosphere 2023, 14(11), 1650; https://doi.org/10.3390/atmos14111650 - 3 Nov 2023
Cited by 6 | Viewed by 3409
Abstract
Accurate wind speed prediction is significantly important for the full utilization of wind energy resources and the improvement in the economic benefits of wind farms. Because the ensemble forecast takes into account the uncertainty of information about the atmospheric motion, domestic and foreign [...] Read more.
Accurate wind speed prediction is significantly important for the full utilization of wind energy resources and the improvement in the economic benefits of wind farms. Because the ensemble forecast takes into account the uncertainty of information about the atmospheric motion, domestic and foreign weather service forecast centers often choose to use the ensemble numerical forecast to achieve the fine forecast of wind speed. However, due to the unavoidable systematic errors of the ensemble numerical forecast model, it is necessary to correct the deviation in the ensemble numerical forecast wind speed. Considering the typical spatio-temporal characteristics of the grid prediction data of the wind field, based on Convolutional Long–Short Term Memory (ConvLSTM) units and attention mechanism, this paper takes the complex and representative North China region as the research area, aiming to reveal the shortcomings of existing deep learning integrated prediction correction models in extracting temporal features of grid prediction data. We propose a new ensemble prediction wind field correction model integrating multi-factor and spatio-temporal characteristics. This model uses reanalyzed land data provided by the European Center for Medium-Range Weather Forecasts as the real data to correct the deviation in the near-surface 10 m wind field data predicted by the regional ensemble numerical prediction model of the China Meteorological Administration. We used the reanalyzed land data provided by the European Centre for Medium-Range Weather Forecasts (ECMWF) as the live data to correct the deviation in the near-surface 10 m wind field data predicted by the regional ensemble numerical forecast model of the China Meteorological Administration (CMA). At the same time, Root Mean Square Error (RMSE) and Mean Absolute Error (MAE) were used as the scoring indicators, and the results of the China Meteorological Administration–Regional Ensemble Prediction System (CMA–REPS) ensemble average, multiple linear regression method correction, Long–Short Term Memory (LSTM) method correction, and U-net (UNET) method correction were compared. Compared with the UNET model method, the experimental results show that when processing the 10 m zonal wind data, 10 m meridional wind data, and 10 m average wind speed data of CMA–REPS 24 h forecasts, the correction results of our model can reduce the RMSE score index by 9.15%, 4.83%, and 7.79%. At the same time, when processing the 48 h and 72 h near-surface 10 m wind field data of the CMA–REPS forecast, our model can improve the prediction accuracy of CMA–REPS near-surface wind forecast data. Therefore, the correction effect of the proposed model in a complex terrain area is evidently better compared to other methods. Full article
(This article belongs to the Special Issue Advances in Wind and Wind Power Forecasting and Diagnostics)
Show Figures

Figure 1

20 pages, 3365 KB  
Article
Seasonal Streamflow Forecast in the Tocantins River Basin, Brazil: An Evaluation of ECMWF-SEAS5 with Multiple Conceptual Hydrological Models
by Leandro Ávila, Reinaldo Silveira, André Campos, Nathalli Rogiski, Camila Freitas, Cássia Aver and Fernando Fan
Water 2023, 15(9), 1695; https://doi.org/10.3390/w15091695 - 27 Apr 2023
Cited by 9 | Viewed by 2986
Abstract
The assessment of seasonal streamflow forecasting is essential for appropriate water resource management. A suitable seasonal forecasting system requires the evaluation of both numerical weather prediction (NWP) and hydrological models to represent the atmospheric and hydrological processes and conditions in a specific region. [...] Read more.
The assessment of seasonal streamflow forecasting is essential for appropriate water resource management. A suitable seasonal forecasting system requires the evaluation of both numerical weather prediction (NWP) and hydrological models to represent the atmospheric and hydrological processes and conditions in a specific region. In this paper, we evaluated the ECMWF-SEAS5 precipitation product with four hydrological models to represent seasonal streamflow forecasts performed at hydropower plants in the Legal Amazon region. The adopted models included GR4J, HYMOD, HBV, and SMAP, which were calibrated on a daily scale for the period from 2014 to 2019 and validated for the period from 2005 to 2013. The seasonal streamflow forecasts were obtained for the period from 2017 to 2019 by considering a daily scale streamflow simulation comprising an ensemble with 51 members of forecasts, starting on the first day of every month up to 7 months ahead. For each forecast, the corresponding monthly streamflow time series was estimated. A post-processing procedure based on the adjustment of an autoregressive model for the residuals was applied to correct the bias of seasonal streamflow forecasts. Hence, for the calibration and validation period, the results show that the HBV model provides better results to represent the hydrological conditions at each hydropower plant, presenting NSE and NSElog values greater than 0.8 and 0.9, respectively, during the calibration stage. However, the SMAP model achieves a better performance with NSE values of up to 0.5 for the raw forecasts. In addition, the bias correction displayed a significant improvement in the forecasts for all hydrological models, specifically for the representation of streamflow during dry periods, significantly reducing the variability of the residuals. Full article
Show Figures

Figure 1

15 pages, 6692 KB  
Article
Multi-Model Ensemble Forecasts of Surface Air Temperatures in Henan Province Based on Machine Learning
by Tian Wang, Yutong Zhang, Xiefei Zhi and Yan Ji
Atmosphere 2023, 14(3), 520; https://doi.org/10.3390/atmos14030520 - 8 Mar 2023
Cited by 11 | Viewed by 3018
Abstract
Based on the China Meteorological Administration Land Data Assimilation System (CLDAS) reanalysis data and 12–72 h forecasts of the surface (2-m) air temperature (SAT) from the European Centre for Medium-Range Weather Forecasts (ECMWF) and three numerical weather prediction (NWP) models of the China [...] Read more.
Based on the China Meteorological Administration Land Data Assimilation System (CLDAS) reanalysis data and 12–72 h forecasts of the surface (2-m) air temperature (SAT) from the European Centre for Medium-Range Weather Forecasts (ECMWF) and three numerical weather prediction (NWP) models of the China Meteorological Administration (CMA-GFS, CMA-SH, and CMA-MESO), multi-model ensemble forecasts are conducted with a convolutional neural network (CNN) and a feed-forward neural network (FNN) to improve the SAT forecast in Henan Province, China. The results show that there are large errors in the 12–72 h forecasts of SAT from the CMA, while the ECMWF outperforms the other raw NWP models, especially in eastern and southern Henan. The CNN has the best short-term forecasting skills. The difference in the geographical distribution of the CNN forecast errors is small, without any apparent large-value areas. The CNN shows its advantages in its bias correction in the mountainous region (western Henan), indicating that the CNN can capture the spatial features of the atmospheric fields and is therefore more robust in regions with varied topography. In addition, the CNN can extract data features through the convolution kernel and focus on local features; it can assimilate the local features at a higher level and obtain global features. Therefore, the CNN takes advantage of the four models in the SAT forecast and further improves the forecast skill. Full article
(This article belongs to the Special Issue China Heatwaves)
Show Figures

Figure 1

13 pages, 3056 KB  
Article
Evaluation of Ensemble Inflow Forecasts for Reservoir Management in Flood Situations
by Juliana Mendes and Rodrigo Maia
Hydrology 2023, 10(2), 28; https://doi.org/10.3390/hydrology10020028 - 19 Jan 2023
Cited by 3 | Viewed by 3123
Abstract
This paper describes the process of analysis and verification of ensemble inflow forecasts to the multi-purpose reservoir of Aguieira, located in the Mondego River, in the center of Portugal. This process was performed to select and validate the reference inflows for the management [...] Read more.
This paper describes the process of analysis and verification of ensemble inflow forecasts to the multi-purpose reservoir of Aguieira, located in the Mondego River, in the center of Portugal. This process was performed to select and validate the reference inflows for the management of a reservoir with flood control function. The ensemble inflow forecasts for the next 10-day period were generated forcing a hydrological model with quantitative precipitation forecasts from the High-Resolution Model (HRES) and the Ensemble Prediction System (EPS) of the European Center for Medium-range Weather Forecasts (ECMWF). Due to the uncertainty of the ensemble forecasts, a reference forecast to be considered for operational decisions in the management of reservoirs and to take protection measures from floods was proved necessary. This reference forecast should take into account the close agreement of the various forecasts performed for the same period as also the adjustment to the corresponding observed data. Thus, taking into account the conclusions derived from the evaluation process of the consistency and the quality of the ensemble forecasts, the reference inflow forecast to the Aguieira reservoir was defined by the maximum value of the ensemble in the first 72 h of the forecast period and by the 75th percentile in the following hours (from 72 to 240 h). Full article
Show Figures

Figure 1

17 pages, 5536 KB  
Article
A Novel Bias Correction Method for Extreme Events
by Laura Trentini, Sara Dal Gesso, Marco Venturini, Federica Guerrini, Sandro Calmanti and Marcello Petitta
Climate 2023, 11(1), 3; https://doi.org/10.3390/cli11010003 - 23 Dec 2022
Cited by 15 | Viewed by 5849
Abstract
When one is using climate simulation outputs, one critical issue to consider is the systematic bias affecting the modelled data. The bias correction of modelled data is often used when one is using impact models to assess the effect of climate events on [...] Read more.
When one is using climate simulation outputs, one critical issue to consider is the systematic bias affecting the modelled data. The bias correction of modelled data is often used when one is using impact models to assess the effect of climate events on human activities. However, the efficacy of most of the currently available methods is reduced in the case of extreme events because of the limited number of data for these low probability and high impact events. In this study, a novel bias correction methodology is proposed, which corrects the bias of extreme events. To do so, we extended one of the most popular bias correction techniques, i.e., quantile mapping (QM), by improving the description of extremes through a generalised extreme value distribution (GEV) fitting. The technique was applied to the daily mean temperature and total precipitation data from three seasonal forecasting systems: SEAS5, System7 and GCFS2.1. The bias correction efficiency was tested over the Southern African Development Community (SADC) region, which includes 15 Southern African countries. The performance was verified by comparing each of the three models with a reference dataset, the ECMWF reanalysis ERA5. The results reveal that this novel technique significantly reduces the systematic biases in the forecasting models, yielding further improvements over the classic QM. For both the mean temperature and total precipitation, the bias correction produces a decrease in the Root Mean Squared Error (RMSE) and in the bias between the simulated and the reference data. After bias correcting the data, the ensemble forecasts members that correctly predict the temperature extreme increases. On the other hand, the number of members identifying precipitation extremes decreases after the bias correction. Full article
(This article belongs to the Special Issue Seasonal Forecasting Climate Services for the Energy Industry)
Show Figures

Figure 1

25 pages, 6658 KB  
Article
Evaluation of ECMWF-SEAS5 Seasonal Temperature and Precipitation Predictions over South America
by Glauber W. S. Ferreira, Michelle S. Reboita and Anita Drumond
Climate 2022, 10(9), 128; https://doi.org/10.3390/cli10090128 - 29 Aug 2022
Cited by 24 | Viewed by 8758
Abstract
Nowadays, a challenge in Climate Science is the seasonal forecast and knowledge of the model’s performance in different regions. The challenge in South America reflects its huge territory; some models present a good performance, and others do not. Nevertheless, reliable seasonal climate forecasts [...] Read more.
Nowadays, a challenge in Climate Science is the seasonal forecast and knowledge of the model’s performance in different regions. The challenge in South America reflects its huge territory; some models present a good performance, and others do not. Nevertheless, reliable seasonal climate forecasts can benefit numerous decision-making processes related to agriculture, energy generation, and extreme events mitigation. Thus, given the few works assessing the ECMWF-SEAS5 performance in South America, this study investigated the quality of its seasonal temperature and precipitation predictions over the continent. For this purpose, predictions from all members of the hindcasts (1993–2016) and forecasts (2017–2021) ensemble were used, considering the four yearly seasons. The analyses included seasonal mean fields, bias correction, anomaly correlations, statistical indicators, and seasonality index. The best system’s performance occurred in regions strongly influenced by teleconnection effects, such as northern South America and northeastern Brazil, in which ECMWF-SEAS5 even reproduced the extreme precipitation anomalies that happened in recent decades. Moreover, the system indicated a moderate capability of seasonal predictions in medium and low predictability regions. In summary, the results show that ECMWF-SEAS5 climate forecasts are potentially helpful and should be considered to plan various strategic activities better. Full article
Show Figures

Figure 1

14 pages, 69809 KB  
Article
Validation of Precipitation Type Forecasts Based on ECMWF’s Ensemble Model for Hungary
by Dóra Cséke and István Ihász
Meteorology 2022, 1(3), 274-287; https://doi.org/10.3390/meteorology1030018 - 9 Aug 2022
Cited by 1 | Viewed by 5077
Abstract
Forecasts of precipitation type are of high priority, as they have a large influence on human safety, the economy and the environment. In recent decades, methods of statistical post-processing of numerical weather prediction (NWP) outputs were only applied beside the experience of the [...] Read more.
Forecasts of precipitation type are of high priority, as they have a large influence on human safety, the economy and the environment. In recent decades, methods of statistical post-processing of numerical weather prediction (NWP) outputs were only applied beside the experience of the operational forecasters. In the last few years, numerical models developed significantly; thus, precipitation type has become a variable directly calculated in some models. In the European Centre for Medium-Range Weather Forecasts (ECMWF) integrated forecast system (IFS) model, a new method has been used since 2015 to predict the type of precipitation. In this study, we examine the forecast of the ECMWF IFS ensemble model concerning precipitation type through ensemble verification and a case study on a freezing-rain situation for the territory of Hungary. We put emphasis on the investigation of the usability of ensemble forecasts. We introduce the developed forms of visualization supporting the interpretation of ensemble precipitation-type forecasts. Full article
(This article belongs to the Special Issue Early Career Scientists' (ECS) Contributions to Meteorology (2022))
Show Figures

Figure 1

18 pages, 3110 KB  
Article
Evaluation of TIGGE Precipitation Forecast and Its Applicability in Streamflow Predictions over a Mountain River Basin, China
by Yiheng Xiang, Tao Peng, Qi Gao, Tieyuan Shen and Haixia Qi
Water 2022, 14(15), 2432; https://doi.org/10.3390/w14152432 - 5 Aug 2022
Cited by 8 | Viewed by 2916
Abstract
The number of numerical weather prediction (NWP) models is on the rise, and they are commonly used for ensemble precipitation forecast (EPF) and ensemble streamflow prediction (ESP). This study evaluated the reliabilities of two well-behaved NWP centers in the Observing System Research and [...] Read more.
The number of numerical weather prediction (NWP) models is on the rise, and they are commonly used for ensemble precipitation forecast (EPF) and ensemble streamflow prediction (ESP). This study evaluated the reliabilities of two well-behaved NWP centers in the Observing System Research and Predictability Experiment (THORPEX) Interactive Grand Global Ensemble (TIGGE), the European Centre for Medium-Range Weather Forecasts (ECMWF) and the National Centers for Environmental Prediction (NCEP), in EPF and ESP over a mountain river basin in China. This evaluation was carried out based on both deterministic and probabilistic metrics at a daily temporal scale. The effectiveness of two postprocessing methods, the Generator-based Postprocessing (GPP) method, and the Bayesian Model Averaging (BMA) method were also investigated for EPF and ESP. Results showed that: (1) The ECMWF shows better performances than NCEP in both EPF and ESP in terms of evaluation indexes and representation of the hydrograph. (2) The GPP method performs better than BMA in improving both EPF and ESP performances, and the improvements are more significant for the NCEP with worse raw performances. (3) Both ECMWF and NCEP have good potential for both EPF and ESP. By using the GPP method, there are desirable EPF performances for both ECMWF and NCEP at all 7 lead days, as well as highly skillful ECMWF ESP for 1~5 lead days and average moderate skillful NCEP ESP for all 7 lead days. The results of this study can provide a reference for the applications of TIGGE over mountain river basins. Full article
Show Figures

Figure 1

16 pages, 4266 KB  
Article
The Performance of ECMWF Ensemble Prediction System for European Extreme Fires: Portugal/Monchique in 2018
by Rita Durão, Catarina Alonso and Célia Gouveia
Atmosphere 2022, 13(8), 1239; https://doi.org/10.3390/atmos13081239 - 4 Aug 2022
Cited by 5 | Viewed by 2856
Abstract
At the beginning of August 2018, Portugal experienced a severe heat episode over a few days that consequently increased the probability of wildfire events. Due to the advection of an anomalous very hot and dry air mass, severe fire-prone meteorological conditions were forecasted [...] Read more.
At the beginning of August 2018, Portugal experienced a severe heat episode over a few days that consequently increased the probability of wildfire events. Due to the advection of an anomalous very hot and dry air mass, severe fire-prone meteorological conditions were forecasted mainly over southern Portugal, in the Monchique region. Together with the significant fuel amount accumulated since the last extreme wildfire in August 2003, all the unfavorable conditions were set to drive a severe fire over this region. The Monchique fire started on 3 August 2018, being very hard to suppress and lasting for seven days, with a burnt area of 27,000 ha. Regarding the need to have operational early warning tools, this work aims to evaluate the reliability of fire probabilistic products, up to 72 h ahead, together with the use of fire radiative power products, as support tools in fire monitoring and resource activities. To accomplish this goal, we used the fire probabilistic products of the Ensemble Prediction System, provided by the Copernicus Atmosphere Monitoring Service. Among available fire danger rating systems, the Fire Weather Index and the Fine Fuels Moisture Code of the Canadian Forest Fire Weather Index System were selected to assess the meteorological fire danger. The assessment of the fire intensity was based on the Fire Radiative Energy released, considering the Fire Radiative Power, delivered in near real-time, by EUMETSAT Land Surface Analysis Satellite Applications Facility. The exceptional fire danger over southern Portugal that favors the ignition of the Monchique fire and its severity was essential driven by two important factors: (i) the anomalous fire weather danger, before and during the event; (ii) the accumulated fuel amount, since the last severe event occurred in 2003, over the region. Results show that the selected fire probabilistic products described the meteorological fire danger observed well, and the LSA-SAF products revealed the huge amount of fire energy emitted, in line with the difficulties faced by authorities to suppress the Monchique fire. Full article
(This article belongs to the Special Issue Advances in Fire-Atmosphere Interaction)
Show Figures

Figure 1

25 pages, 19712 KB  
Article
Mid-to-Long Range Wind Forecast in Brazil Using Numerical Modeling and Neural Networks
by Ricardo M. Campos, Ronaldo M. J. Palmeira, Henrique P. P. Pereira and Laura C. Azevedo
Wind 2022, 2(2), 221-245; https://doi.org/10.3390/wind2020013 - 22 Apr 2022
Cited by 5 | Viewed by 3417
Abstract
This paper investigated the development of a hybrid model for wind speed forecast, ranging from 1 to 46 days, in the northeast of Brazil. The prediction system was linked to the widely used numerical weather prediction from the ECMWF global ensemble forecast, with [...] Read more.
This paper investigated the development of a hybrid model for wind speed forecast, ranging from 1 to 46 days, in the northeast of Brazil. The prediction system was linked to the widely used numerical weather prediction from the ECMWF global ensemble forecast, with neural networks (NNs) trained using local measurements. The focus of this study was on the post-processing of NNs, in terms of data structure, dimensionality, architecture, training strategy, and validation. Multilayer perceptron NNs were constructed using the following inputs: wind components, temperature, humidity, and atmospheric pressure information from ECMWF, as well as latitude, longitude, sin/cos of time, and forecast lead time. The main NN output consisted of the residue of wind speed, i.e., the difference between the arithmetic ensemble mean, derived from ECMWF, and the observations. By preserving the simplicity and small dimension of the NN model, it was possible to build an ensemble of NNs (20 members) that significantly improved the forecasts. The original ECMWF bias of −0.3 to −1.4 m/s has been corrected to values between −0.1 and 0.1 m/s, while also reducing the RMSE in 10 to 30%. The operational implementation is discussed, and a detailed evaluation shows the considerable generalization capability and robustness of the forecast system, with low computational cost. Full article
Show Figures

Figure 1

23 pages, 5769 KB  
Article
Potential of the Coupled WRF/WRF-Hydro Modeling System for Flood Forecasting in the Ouémé River (West Africa)
by Gandomè Mayeul Leger Davy Quenum, Joël Arnault, Nana Ama Browne Klutse, Zhenyu Zhang, Harald Kunstmann and Philip G. Oguntunde
Water 2022, 14(8), 1192; https://doi.org/10.3390/w14081192 - 8 Apr 2022
Cited by 26 | Viewed by 5366
Abstract
Since the beginning of the 2000s, most of the West-African countries, particularly Benin, have experienced an increased frequency of extreme flood events. In this study, we focus on the case of the Ouémé river basin in Benin. To investigate flood events in this [...] Read more.
Since the beginning of the 2000s, most of the West-African countries, particularly Benin, have experienced an increased frequency of extreme flood events. In this study, we focus on the case of the Ouémé river basin in Benin. To investigate flood events in this basin for early warning, the coupled atmosphere–hydrology model system WRF-Hydro is used, and analyzed for the period 2008–2010. Such a coupled model allows exploration of the contribution of atmospheric components into the flood event, and its ability to simulate and predict accurate streamflow. The potential of WRF-Hydro to correctly simulate streamflow in the Ouémé river basin is assessed by forcing the model with operational analysis datasets from the European Centre for Medium-Range Weather Forecasts (ECMWF). Atmospheric and land surface processes are resolved at a spatial resolution of 5 km. The additional surface and subsurface water flow routing are computed at a resolution of 500 m. Key parameters of the hydrological module of WRF-Hydro are calibrated offline and tested online with the coupled WRF-Hydro. The uncertainty of atmospheric modeling on coupled results is assessed with the stochastic kinetic energy backscatter scheme (SKEBS). WRF-Hydro is able to simulate the discharge in the Ouémé river in offline and fully coupled modes with a Kling–Gupta efficiency (KGE) around 0.70 and 0.76, respectively. In the fully coupled mode, the model captures the flood event that occurred in 2010. A stochastic perturbation ensemble of ten members for three rain seasons shows that the coupled model performance in terms of KGE ranges from 0.14 to 0.79. Additionally, an assessment of the soil moisture has been developed. This ability to realistically reproduce observed discharge in the Ouémé river basin demonstrates the potential of the coupled WRF-Hydro modeling system for future flood forecasting applications. Full article
(This article belongs to the Section Hydrology)
Show Figures

Figure 1

19 pages, 1387 KB  
Article
Validation of Ensemble-Based Probabilistic Tropical Cyclone Intensity Change
by Ryan D. Torn and Mark DeMaria
Atmosphere 2021, 12(3), 373; https://doi.org/10.3390/atmos12030373 - 12 Mar 2021
Cited by 8 | Viewed by 3579
Abstract
Although there has been substantial improvement to numerical weather prediction models, accurate predictions of tropical cyclone rapid intensification (RI) remain elusive. The processes that govern RI, such as convection, may be inherently less predictable; therefore a probabilistic approach should be adopted. Although there [...] Read more.
Although there has been substantial improvement to numerical weather prediction models, accurate predictions of tropical cyclone rapid intensification (RI) remain elusive. The processes that govern RI, such as convection, may be inherently less predictable; therefore a probabilistic approach should be adopted. Although there have been numerous studies that have evaluated probabilistic intensity (i.e., maximum wind speed) forecasts from high resolution models, or statistical RI predictions, there has not been a comprehensive analysis of high-resolution ensemble predictions of various intensity change thresholds. Here, ensemble-based probabilities of various intensity changes are computed from experimental Hurricane Weather Research and Forecasting (HWRF) and Hurricanes in a Multi-scale Ocean-coupled Non-hydrostatic (HMON) models that were run for select cases during the 2017–2019 seasons and verified against best track data. Both the HWRF and HMON ensemble systems simulate intensity changes consistent with RI (30 knots 24 h1; 15.4 m s1 24 h1) less frequent than observed, do not provide reliable probabilistic predictions, and are less skillful probabilistic forecasts relative to the Statistical Hurricane Intensity Prediction System Rapid Intensification Index (SHIPS-RII) and Deterministic to Probabilistic Statistical (DTOPS) statistical-dynamical systems. This issue is partly alleviated by applying a quantile-based bias correction scheme that preferentially adjusts the model-based intensity change at the upper-end of intensity changes. While such an approach works well for high-resolution models, this bias correction strategy does not substantially improve ECMWF ensemble-based probabilistic predictions. By contrast, both the HWRF and HMON systems provide generally reliable predictions of intensity changes for cases where RI does not take place. Combining the members from the HWRF and HMON ensemble systems into a large multi-model ensemble does not improve upon HMON probablistic forecasts. Full article
(This article belongs to the Special Issue Rapid Intensity Changes of Tropical Cyclones)
Show Figures

Figure 1

14 pages, 3067 KB  
Article
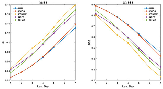
Probabilistic Forecasting of the 500 hPa Geopotential Height over the Northern Hemisphere Using TIGGE Multi-model Ensemble Forecasts
by Luying Ji, Qixiang Luo, Yan Ji and Xiefei Zhi
Atmosphere 2021, 12(2), 253; https://doi.org/10.3390/atmos12020253 - 15 Feb 2021
Cited by 4 | Viewed by 6704
Abstract
Bayesian model averaging (BMA) and ensemble model output statistics (EMOS) were used to improve the prediction skill of the 500 hPa geopotential height field over the northern hemisphere with lead times of 1–7 days based on ensemble forecasts from the European Centre for [...] Read more.
Bayesian model averaging (BMA) and ensemble model output statistics (EMOS) were used to improve the prediction skill of the 500 hPa geopotential height field over the northern hemisphere with lead times of 1–7 days based on ensemble forecasts from the European Centre for Medium-Range Weather Forecasts (ECMWF), National Centers for Environmental Prediction (NCEP), and UK Met Office (UKMO) ensemble prediction systems. The performance of BMA and EMOS were compared with each other and with the raw ensembles and climatological forecasts from the perspective of both deterministic and probabilistic forecasting. The results show that the deterministic forecasts of the 500 hPa geopotential height distribution obtained from BMA and EMOS are more similar to the observed distribution than the raw ensembles, especially for the prediction of the western Pacific subtropical high. BMA and EMOS provide a better calibrated and sharper probability density function than the raw ensembles. They are also superior to the raw ensembles and climatological forecasts according to the Brier score and the Brier skill score. Comparisons between BMA and EMOS show that EMOS performs slightly better for lead times of 1–4 days, whereas BMA performs better for longer lead times. In general, BMA and EMOS both improve the prediction skill of the 500 hPa geopotential height field. Full article
(This article belongs to the Section Climatology)
Show Figures

Figure 1

Back to TopTop