Sign in to use this feature.

Years

Between: -

Subjects

remove_circle_outline
remove_circle_outline
remove_circle_outline
remove_circle_outline
remove_circle_outline
remove_circle_outline
remove_circle_outline
remove_circle_outline
remove_circle_outline

Journals

remove_circle_outline
remove_circle_outline
remove_circle_outline
remove_circle_outline
remove_circle_outline
remove_circle_outline
remove_circle_outline
remove_circle_outline
remove_circle_outline
remove_circle_outline
remove_circle_outline
remove_circle_outline
remove_circle_outline
remove_circle_outline
remove_circle_outline

Article Types

Countries / Regions

remove_circle_outline
remove_circle_outline
remove_circle_outline
remove_circle_outline
remove_circle_outline

Search Results (1,353)

Search Parameters:
Keywords = E-Field sensor

Order results
Result details
Results per page
Select all
Export citation of selected articles as:
15 pages, 1026 KB  
Article
Flexible, Stretchable, and Self-Healing MXene-Based Conductive Hydrogels for Human Health Monitoring
by Ruirui Li, Sijia Chang, Jiaheng Bi, Haotian Guo, Jianya Yi and Chengqun Chu
Polymers 2025, 17(19), 2683; https://doi.org/10.3390/polym17192683 - 3 Oct 2025
Abstract
Conductive hydrogels (CHs) have attracted significant attention in the fields of flexible electronics, human–machine interaction, and electronic skin (e-skin) due to their self-adhesiveness, environmental stability, and multi-stimuli responsiveness. However, integrating these diverse functionalities into a single conductive hydrogel system remains a challenge. In [...] Read more.
Conductive hydrogels (CHs) have attracted significant attention in the fields of flexible electronics, human–machine interaction, and electronic skin (e-skin) due to their self-adhesiveness, environmental stability, and multi-stimuli responsiveness. However, integrating these diverse functionalities into a single conductive hydrogel system remains a challenge. In this study, polyvinyl alcohol (PVA) and polyacrylamide (PAM) were used as the dual-network matrix, lithium chloride and MXene were added, and a simple immersion strategy was adopted to synthesize a multifunctional MXene-based conductive hydrogel in a glycerol/water (1:1) binary solvent system. A subsequent investigation was then conducted on the hydrogel. The prepared PVA/PAM/LiCl/MXene hydrogel exhibits excellent tensile properties (~1700%), high electrical conductivity (1.6 S/m), and good self-healing ability. Furthermore, it possesses multimodal sensing performance, including humidity sensitivity (sensitivity of −1.09/% RH), temperature responsiveness (heating sensitivity of 2.2 and cooling sensitivity of 1.5), and fast pressure response/recovery times (220 ms/230 ms). In addition, the hydrogel has successfully achieved real-time monitoring of human joint movements (elbow and knee bending) and physiological signals (pulse, breathing), as well as enabled monitoring of spatial pressure distribution via a 3 × 3 sensor array. The performance and versatility of this hydrogel make it a promising candidate for next-generation flexible sensors, which can be applied in the fields of human health monitoring, electronic skin, and human–machine interaction. Full article
(This article belongs to the Special Issue Semiflexible Polymers, 3rd Edition)
34 pages, 3611 KB  
Review
A Review of Multi-Sensor Fusion in Autonomous Driving
by Hui Qian, Mingchen Wang, Maotao Zhu and Hai Wang
Sensors 2025, 25(19), 6033; https://doi.org/10.3390/s25196033 - 1 Oct 2025
Abstract
Multi-modal sensor fusion has become a cornerstone of robust autonomous driving systems, enabling perception models to integrate complementary cues from cameras, LiDARs, radars, and other modalities. This survey provides a structured overview of recent advances in deep learning-based fusion methods, categorizing them by [...] Read more.
Multi-modal sensor fusion has become a cornerstone of robust autonomous driving systems, enabling perception models to integrate complementary cues from cameras, LiDARs, radars, and other modalities. This survey provides a structured overview of recent advances in deep learning-based fusion methods, categorizing them by architectural paradigms (e.g., BEV-centric fusion and cross-modal attention), learning strategies, and task adaptations. We highlight two dominant architectural trends: unified BEV representation and token-level cross-modal alignment, analyzing their design trade-offs and integration challenges. Furthermore, we review a wide range of applications, from object detection and semantic segmentation to behavior prediction and planning. Despite considerable progress, real-world deployment is hindered by issues such as spatio-temporal misalignment, domain shifts, and limited interpretability. We discuss how recent developments, such as diffusion models for generative fusion, Mamba-style recurrent architectures, and large vision–language models, may unlock future directions for scalable and trustworthy perception systems. Extensive comparisons, benchmark analyses, and design insights are provided to guide future research in this rapidly evolving field. Full article
(This article belongs to the Section Vehicular Sensing)
Show Figures

Figure 1

23 pages, 2251 KB  
Article
Enhancing FDM Rapid Prototyping for Industry 4.0 Applications Through Simulation and Optimization Techniques
by Mihalache Ghinea, Alex Cosmin Niculescu and Bogdan Dragos Rosca
Materials 2025, 18(19), 4555; https://doi.org/10.3390/ma18194555 - 30 Sep 2025
Abstract
Modern manufacturing is increasingly shaped by the paradigm of Industry 4.0 (Smart Manufacturing). As one of its nine pillars, additive manufacturing plays a crucial role, enabling high-quality final products with improved profitability in minimal time. Advances in this field have facilitated the emergence [...] Read more.
Modern manufacturing is increasingly shaped by the paradigm of Industry 4.0 (Smart Manufacturing). As one of its nine pillars, additive manufacturing plays a crucial role, enabling high-quality final products with improved profitability in minimal time. Advances in this field have facilitated the emergence of diverse technologies—such as Fused Deposition Modelling (FDM), Stereolithography (SLA), and Selective Laser Sintering (SLS)—allowing the use of metallic, polymeric, and composite materials. Within this context, Klipper v.0.12, an open-source firmware for 3D printers, addresses the performance limitations of conventional consumer-grade systems. By offloading computationally intensive tasks to an external single-board computer (e.g., Raspberry Pi), Klipper enhances speed, precision, and flexibility while reducing prototyping time. The purpose of this study is twofold: first, to identify and analyze bottlenecks in low-cost 3D printers and second, to evaluate how these shortcomings can be mitigated through the integration of supplementary hardware and software (Klipper firmware, Raspberry Pi, additional sensors, and the Mainsail interface). The scientific contribution of this study lies in demonstrating that a consumer-grade FDM 3D printer can be significantly upgraded through this integration and systematic calibration, achieving up to a 50% reduction in printing time while maintaining dimensional accuracy and improving surface quality. Full article
(This article belongs to the Section Manufacturing Processes and Systems)
35 pages, 5864 KB  
Article
Risk-Constrained Multi-Objective Deep Reinforcement Learning for AGV Path Planning in Rail Transit
by Zihan Yang and Huiyu Xiang
Appl. Syst. Innov. 2025, 8(5), 145; https://doi.org/10.3390/asi8050145 - 30 Sep 2025
Abstract
Sensor-rich Automated Guided Vehicles (AGVs) are increasingly deployed in logistics, yet large fleets relying on fixed tracks face high maintenance costs and frequent route conflicts. This study targets rail-based material handling and proposes an end-to-end multi-AGV navigation pipeline under realistic operational constraints. A [...] Read more.
Sensor-rich Automated Guided Vehicles (AGVs) are increasingly deployed in logistics, yet large fleets relying on fixed tracks face high maintenance costs and frequent route conflicts. This study targets rail-based material handling and proposes an end-to-end multi-AGV navigation pipeline under realistic operational constraints. A conflict-aware global planner, extended from the A* algorithm, generates feasible routes, while a multi-sensor perception stack integrates LiDAR and camera data to distinguish moving AGVs, static obstacles, and task targets. Based on this perception, a Deep Q-Network (DQN) policy with a tailored reward function enables real-time dynamic obstacle avoidance in complex traffic. Simulation results demonstrate that, compared with the Artificial Potential Field (APF) baseline, the proposed GG-DRL approach reduces collisions by ~70%, lowers planning time by 25–30%, shortens paths by 10–15%, and improves smoothness by 20–25%. On the Maze Benchmark Map, GG-DRL surpasses classical planners (e.g., RRT) and deep RL baselines (e.g., DDPG) in path quality, computation, and avoidance behavior, achieving an average path length of 81.12, computation time of 11.94 s, 5.2 avoidance maneuvers, and smoothness of 0.86. Robustness is maintained as a dynamic obstacles scale up to 30. These findings confirm that combining multi-sensor fusion with deep reinforcement learning enhances AGV safety, efficiency, and reliability, with broad potential for intelligent railway logistics. Full article
(This article belongs to the Special Issue Advancements in Deep Learning and Its Applications)
Show Figures

Figure 1

27 pages, 4892 KB  
Review
Progress in Cellulose-Based Polymer Ionic Conductors: From Performance Optimization to Strain-Sensing Applications
by Rouyi Lu, Yinuo Wang, Hao Pang, Panpan Zhang and Qilin Hua
Nanoenergy Adv. 2025, 5(4), 12; https://doi.org/10.3390/nanoenergyadv5040012 - 28 Sep 2025
Abstract
Intrinsically stretchable polymer ionic conductors (PICs) hold significant application prospects in fields such as flexible sensors, energy storage devices, and wearable electronic devices, serving as promising solutions to prevent mechanical failure in flexible electronics. However, the development of PICs is hindered by an [...] Read more.
Intrinsically stretchable polymer ionic conductors (PICs) hold significant application prospects in fields such as flexible sensors, energy storage devices, and wearable electronic devices, serving as promising solutions to prevent mechanical failure in flexible electronics. However, the development of PICs is hindered by an inherent trade-off between mechanical robust and electrical properties. Cellulose, renowned for its high mechanical strength, tunable chemical groups, abundant resources, excellent biocompatibility, and remarkable recyclability and biodegradability, offers a powerful strategy to decouple and enhance mechanical and electrical properties. This review presents recent advances in cellulose-based polymer ionic conductors (CPICs), which exhibit exceptional design versatility for flexible electrodes and strain sensors. We systematically discuss optimization strategies to improve their mechanical properties, electrical conductivity, and environmental stability while analyzing the key factors such as sensitivity, gauge factor, strain range, response time, and cyclic stability, where strain sensing refers to a technique that converts tiny deformations (i.e., strain) of materials or structures under external forces into measurable physical signals (e.g., electrical signals) for real-time monitoring of their deformation degree or stress state. Full article
Show Figures

Figure 1

20 pages, 5430 KB  
Article
Demonstration of the Use of NSGA-II for Optimization of Sparse Acoustic Arrays
by Christopher E. Petrin, Trevor C. Wilson, Aaron S. Alexander and Brian R. Elbing
Sensors 2025, 25(18), 5882; https://doi.org/10.3390/s25185882 - 19 Sep 2025
Viewed by 334
Abstract
Passive acoustic sensing with arrays has applications in many fields, including atmospheric monitoring of low frequency sounds (i.e., infrasound). Beamforming of array signals to gain spatial information about the signal is common, but the performance is often degraded due to limited resources (e.g., [...] Read more.
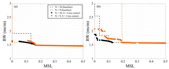
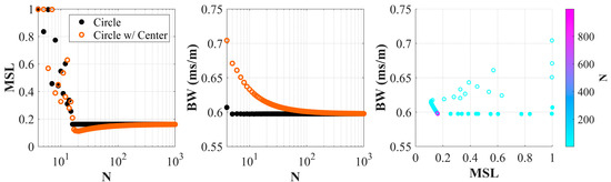
Passive acoustic sensing with arrays has applications in many fields, including atmospheric monitoring of low frequency sounds (i.e., infrasound). Beamforming of array signals to gain spatial information about the signal is common, but the performance is often degraded due to limited resources (e.g., number of sensors, array size). Such sparse arrays create ambiguities due to reduced resolution and spatial aliasing. While previous work has focused on either maximizing array resolution or minimizing spatial aliasing, the current study demonstrates how evolutionary algorithms can be utilized to identify array configurations that optimize for both properties. The non-dominated sorting genetic algorithm II (NSGA-II) was used with the beamwidth and maximum sidelobe level as the fitness functions to iteratively identify a group of optimized synthesized array configurations. This group is termed a Pareto-front and is optimized such that one fitness function cannot be improved without a decrease in the other. These optimized solutions were studied for a single frequency (8 Hz) and a multi-frequency (3 to 20 Hz) signal using either a 36-element or 9-element array with a 60 m aperture. The performance of the synthesized arrays was compared against established array configurations (baseline) with most of the Pareto-front solutions outperforming these baseline configurations. The largest improvements to array performance using the synthesized configurations were with fewer array elements and the multi-frequency signal. Full article
(This article belongs to the Section Remote Sensors)
Show Figures

Figure 1

36 pages, 2691 KB  
Review
Advanced Electrochemical Sensors for Rapid and Sensitive Monitoring of Tryptophan and Tryptamine in Clinical Diagnostics
by Janani Sridev, Arif R. Deen, Md Younus Ali, Wei-Ting Ting, M. Jamal Deen and Matiar M. R. Howlader
Biosensors 2025, 15(9), 626; https://doi.org/10.3390/bios15090626 - 19 Sep 2025
Viewed by 575
Abstract
Tryptophan (Trp) and tryptamine (Tryp), critical biomarkers in mood regulation, immune function, and metabolic homeostasis, are increasingly recognized for their roles in both oral and systemic pathologies, including neurodegenerative disorders, cancers, and inflammatory conditions. Their rapid, sensitive detection in biofluids such as saliva—a [...] Read more.
Tryptophan (Trp) and tryptamine (Tryp), critical biomarkers in mood regulation, immune function, and metabolic homeostasis, are increasingly recognized for their roles in both oral and systemic pathologies, including neurodegenerative disorders, cancers, and inflammatory conditions. Their rapid, sensitive detection in biofluids such as saliva—a non-invasive, real-time diagnostic medium—offers transformative potential for early disease identification and personalized health monitoring. This review synthesizes advancements in electrochemical sensor technologies tailored for Trp and Tryp quantification, emphasizing their clinical relevance in diagnosing conditions like oral squamous cell carcinoma (OSCC), Alzheimer’s disease (AD), and breast cancer, where dysregulated Trp metabolism reflects immune dysfunction or tumor progression. Electrochemical platforms have overcome the limitations of conventional techniques (e.g., enzyme-linked immunosorbent assays (ELISA) and mass spectrometry) by integrating innovative nanomaterials and smart engineering strategies. Carbon-based architectures, such as graphene (Gr) and carbon nanotubes (CNTs) functionalized with metal nanoparticles (Ni and Co) or nitrogen dopants, amplify electron transfer kinetics and catalytic activity, achieving sub-nanomolar detection limits. Synergies between doping and advanced functionalization—via aptamers (Apt), molecularly imprinted polymers (MIPs), or metal-oxide hybrids—impart exceptional selectivity, enabling the precise discrimination of Trp and Tryp in complex matrices like saliva. Mechanistically, redox reactions at the indole ring are optimized through tailored electrode interfaces, which enhance reaction kinetics and stability over repeated cycles. Translational strides include 3D-printed microfluidics and wearable sensors for continuous intraoral health surveillance, demonstrating clinical utility in detecting elevated Trp levels in OSCC and breast cancer. These platforms align with point-of-care (POC) needs through rapid response times, minimal fouling, and compatibility with scalable fabrication. However, challenges persist in standardizing saliva collection, mitigating matrix interference, and validating biomarkers across diverse populations. Emerging solutions, such as AI-driven analytics and antifouling coatings, coupled with interdisciplinary efforts to refine device integration and manufacturing, are critical to bridging these gaps. By harmonizing material innovation with clinical insights, electrochemical sensors promise to revolutionize precision medicine, offering cost-effective, real-time diagnostics for both localized oral pathologies and systemic diseases. As the field advances, addressing stability and scalability barriers will unlock the full potential of these technologies, transforming them into indispensable tools for early intervention and tailored therapeutic monitoring in global healthcare. Full article
(This article belongs to the Special Issue Nanomaterial-Based Biosensors for Point-of-Care Testing)
Show Figures

Figure 1

28 pages, 630 KB  
Systematic Review
The Role of Intelligent Data Analysis in Selected Endurance Sports: A Systematic Literature Review
by Alen Rajšp, Patrik Rek, Peter Kokol and Iztok Fister
Appl. Sci. 2025, 15(18), 10158; https://doi.org/10.3390/app151810158 - 17 Sep 2025
Viewed by 303
Abstract
In endurance sports, athletes and coaches shift increasingly from intuition-based decision-making to data-driven approaches powered by modern technology and analytics. Since 2018, the field has experienced significant advances, influencing endurance sports disciplines. This systematic literature review identified 75 peer-reviewed studies on intelligent data [...] Read more.
In endurance sports, athletes and coaches shift increasingly from intuition-based decision-making to data-driven approaches powered by modern technology and analytics. Since 2018, the field has experienced significant advances, influencing endurance sports disciplines. This systematic literature review identified 75 peer-reviewed studies on intelligent data analysis in endurance sports training. Each study was categorized by its intelligent method (e.g., machine learning, deep learning, computational intelligence), the types of sensors and wearables used, and the specific training application and approach. Our synthesis reveals that machine learning and deep learning are among the most used approaches, with running and cycling identified as the most extensively studied sports. Physiological and environmental data, such as heart rate, biomechanical signals, and GPS, are often used to aid in generating personalized training plans, predicting injuries, and increasing athletes’ long-term performance. Despite these advancements, challenges remain, related to data quality and the small participant sample sizes. Full article
Show Figures

Figure 1

15 pages, 317 KB  
Article
Integrating Inertial Sensors to Assess Physical Performance and In-Match Demands for the International Selection of Cerebral Palsy Football Players
by Juan F. Maggiolo, Raúl Reina, Manuel Moya-Ramón and Iván Peña-González
Sensors 2025, 25(18), 5787; https://doi.org/10.3390/s25185787 - 17 Sep 2025
Viewed by 318
Abstract
This study analyzed the physical performance (via field tests) and in-match physical responses (via wearable inertial sensors) of national and international cerebral palsy (CP) football players competing in Spain’s First Division. A total of 80 players (FT1: n = 22; FT2: n = [...] Read more.
This study analyzed the physical performance (via field tests) and in-match physical responses (via wearable inertial sensors) of national and international cerebral palsy (CP) football players competing in Spain’s First Division. A total of 80 players (FT1: n = 22; FT2: n = 48; FT3: n = 10) completed sprinting, change of direction, and dribbling tests. In-match data from 74 players were collected across 56 official matches. Players were classified as “international” (candidates for the national team) or “national” (non-candidates). Statistical analyses identified performance differences and predictors of international selection using multiple discriminant analysis. International players outperformed national ones in sprinting, agility, and dribbling, especially in FT1 and FT2 classes (p < 0.05; large effect sizes). In-match data (analyzed for FT2 only) showed that international players covered more distance at all intensities and executed more high-intensity actions (e.g., maximal velocity, ball contacts). High-intensity running was the strongest predictor of international status (74.5%, Wilks’ λ = 0.86, p = 0.01). Change of direction and dribbling were key discriminators in FT1 and FT2, while no clear predictor emerged in FT3. These findings support the use of physical tests and wearable technology for evidence-based talent identification and selection in CP football. Full article
(This article belongs to the Special Issue Wearable Inertial Sensors for Human Movement Analysis)
Show Figures

Figure 1

22 pages, 8152 KB  
Article
Novel Electrospun PVA-PVP-PAAm/TiO2 Nanofibers with Enhanced Optoelectrical, Antioxidant and Antibacterial Performances
by Maher Hassan Rasheed, Mohanad H. Mousa, Qasim Shakir Kadhim, Najmeddine Abdelmoula, Ali Khalfallah and Zohra Benzarti
Polymers 2025, 17(18), 2487; https://doi.org/10.3390/polym17182487 - 15 Sep 2025
Viewed by 388
Abstract
Electrospun nanofibers have emerged as a versatile platform for developing advanced materials with diverse applications, owing to their high surface-area-to-volume ratio and tunable properties. The incorporation of metal oxide nanoparticles, such as titanium dioxide (TiO2), has proven effective in further enhancing [...] Read more.
Electrospun nanofibers have emerged as a versatile platform for developing advanced materials with diverse applications, owing to their high surface-area-to-volume ratio and tunable properties. The incorporation of metal oxide nanoparticles, such as titanium dioxide (TiO2), has proven effective in further enhancing the functional performance of these materials, particularly in optoelectrical, antibacterial, and antioxidant domains. This study presents the first report of electrospun multifunctional nanofibers from a ternary blend of polyvinyl alcohol (PVA), polyvinylpyrrolidone (PVP), and polyacrylamide (PAAm) blended with TiO2 nanoparticles at 0, 1, 3, and 5 wt.%. The objective was to develop nanocomposites with enhanced structural, optical, electrical, antibacterial, and antioxidant properties for applications in environmental, biomedical, and industrial fields. The nanofibers were characterized using X-ray diffraction (XRD), field emission scanning electron microscopy (FESEM), Fourier-transform infrared spectroscopy (FTIR), UV–visible spectrophotometry, and DC electrical conductivity tests. Antibacterial efficacy was assessed against Escherichia coli and Staphylococcus aureus via the Kirby–Bauer disk diffusion method, while antioxidant activity was evaluated using the DPPH radical scavenging assay. Results demonstrated that TiO2 incorporation increased nanofiber diameters (21.5–35.1 nm), enhanced crystallinity, and introduced Ti–O bonding, confirming successful nanoparticle integration. Optically, the nanocomposites exhibited reduced band gaps (from 3.575 eV to 3.320 eV) and increased refractive indices with higher TiO2 nanoparticle content, highlighting their potential for advanced optoelectronic devices such as UV sensors and transparent electrodes. Electrically, conductivity improved due to increased charge carrier mobility and conductive pathways, making them suitable for flexible electronics and sensing applications. The 5 wt.% TiO2-doped nanofibers demonstrated superior antibacterial activity, particularly against E. coli (18.2 mm inhibition zone), and antioxidant performance comparable to ascorbic acid (95.32% DPPH inhibition), showcasing their relevance for biomedical applications like wound dressings and food packaging. These findings highlight the potential of PVA-PVP-PAAm/TiO2 nanofibers as useful materials for moisture sensors, antibacterial agents, and antioxidants, advancing applications in medical devices and environmental technologies. Full article
(This article belongs to the Special Issue Recent Advances and Applications of Polymer Nanocomposites)
Show Figures

Figure 1

35 pages, 30270 KB  
Article
Season-Specific CNN and TVDI Approach for Soil Moisture and Irrigation Monitoring in the Hetao Irrigation District, China
by Yule Sun, Dongliang Zhang, Ze Miao, Shaodong Yang, Quanming Liu and Zhongyi Qu
Agriculture 2025, 15(18), 1946; https://doi.org/10.3390/agriculture15181946 - 14 Sep 2025
Viewed by 456
Abstract
We develop a year-round, field-scale framework to retrieve soil moisture and map irrigation in an arid irrigation district where crop phenology and canopy dynamics undermine static, single-season approaches. However, the currently popular TVDI application is limited during non-growing seasons. To address this gap, [...] Read more.
We develop a year-round, field-scale framework to retrieve soil moisture and map irrigation in an arid irrigation district where crop phenology and canopy dynamics undermine static, single-season approaches. However, the currently popular TVDI application is limited during non-growing seasons. To address this gap, we introduce a season-stratified TVDI scheme—based on the LST–EVI feature space with phenology-specific dry/wet edges—coupled with a non-growing-season inversion that fuses Sentinel-1 SAR and Landsat features and compares multiple regressors (PLSR, RF, XGBoost, and CNN). The study leverages 2023–2024 multi-sensor image time series for the Yichang sub-district of the Hetao Irrigation District (China), together with in situ topsoil moisture, meteorological records, a local cropping calendar, and district statistics for validation. Methodologically, EVI is preferred over NDVI to mitigate saturation under dense canopies; season-specific edge fitting stabilizes TVDI, while cross-validated regressors yield robust soil-moisture retrievals outside the growing period, with the CNN achieving the highest accuracy (test R2 ≈ 0.56–0.61), outperforming PLSR/RF/XGBoost by approximately 12–38%. The integrated mapping reveals complementary seasonal irrigation patterns: spring irrigates about 40–45% of farmland (e.g., 43.39% on 20 May 2024), summer peaks around 70% (e.g., 71.42% on 16 August 2024), and autumn stabilizes near 20–25% (e.g., 24.55% on 23 November 2024), with marked spatial contrasts between intensively irrigated southwest blocks and drier northeastern zones. We conclude that season-stratified edges and multi-source inversions together enable reproducible, year-round irrigation detection at field scale. These results provide operational evidence to refine irrigation scheduling and water allocation, and support drought-risk management and precision water governance in arid irrigation districts. Full article
(This article belongs to the Section Agricultural Water Management)
Show Figures

Figure 1

30 pages, 2503 KB  
Review
A Systematic Review of 59 Field Robots for Agricultural Tasks: Applications, Trends, and Future Directions
by Mattia Fontani, Sofia Matilde Luglio, Lorenzo Gagliardi, Andrea Peruzzi, Christian Frasconi, Michele Raffaelli and Marco Fontanelli
Agronomy 2025, 15(9), 2185; https://doi.org/10.3390/agronomy15092185 - 13 Sep 2025
Viewed by 1237
Abstract
Climate change and labour shortage are re-shaping farming methods. Agricultural tasks are often hard, tedious and repetitive for operators, and farms struggle to find specialized operators for such works. For this and other reasons (i.e., the increasing costs of agricultural labour) more and [...] Read more.
Climate change and labour shortage are re-shaping farming methods. Agricultural tasks are often hard, tedious and repetitive for operators, and farms struggle to find specialized operators for such works. For this and other reasons (i.e., the increasing costs of agricultural labour) more and more farmers have decided to switch to autonomous (or semi-autonomous) field robots. In the past decade, an increasing number of robots has filled the market of agricultural machines all over the world. These machines can easily cover long and repetitive tasks, while operators can be employed in other jobs inside the farms. This paper reviews the current state-of-the-art of autonomous robots for agricultural operations, dividing them into categories based on main tasks, to analyze their main characteristics and their fields of applications. Seven main tasks were identified: multi-purpose, harvesting, mechanical weeding, pest control and chemical weeding, scouting and monitoring, transplanting and tilling-sowing. Field robots were divided into these categories, and different characteristics were analyzed, such as engine type, traction system, application field, safety sensors, navigation system, country of provenience and presence on the market. The aim of this review is to provide a global view on agricultural platforms developed in the past decade, analyzing their characteristics and providing future perspectives for next robotic platforms. The analysis conducted on 59 field robots, those already available on the market and not, revealed that one fifth of the platforms comes from Asia, and 63% of all of them are powered by electricity (rechargeable batteries, not solar powered) and that numerous platforms base their navigation system on RTK-GPS signal, 28 out of 59, and safety on LiDAR sensor (12 out of 59). This review considered machines of different size, highlighting different possible choices for field operations and tasks. It is difficult to predict market trends as several possibilities exist, like fleets of small robots or bigger size platforms. Future research and policies should focus on improving navigation and safety systems, reducing emissions and improving level of autonomy of robotic platforms. Full article
(This article belongs to the Special Issue Research Progress in Agricultural Robots in Arable Farming)
Show Figures

Figure 1

34 pages, 4551 KB  
Review
Multi-Scale Remote-Sensing Phenomics Integrated with Multi-Omics: Advances in Crop Drought–Heat Stress Tolerance Mechanisms and Perspectives for Climate-Smart Agriculture
by Xiongwei Liang, Shaopeng Yu, Yongfu Ju, Yingning Wang and Dawei Yin
Plants 2025, 14(18), 2829; https://doi.org/10.3390/plants14182829 - 10 Sep 2025
Viewed by 577
Abstract
Climate change is intensifying the co-occurrence of drought and heat stresses, which substantially constrain global crop yields and threaten food security. Developing climate–resilient crop varieties requires a comprehensive understanding of the physiological and molecular mechanisms underlying combined drought–heat stress tolerance. This review systematically [...] Read more.
Climate change is intensifying the co-occurrence of drought and heat stresses, which substantially constrain global crop yields and threaten food security. Developing climate–resilient crop varieties requires a comprehensive understanding of the physiological and molecular mechanisms underlying combined drought–heat stress tolerance. This review systematically summarizes recent advances in integrating multi-scale remote-sensing phenomics with multi-omics approaches—genomics, transcriptomics, proteomics, and metabolomics—to elucidate stress response pathways and identify adaptive traits. High-throughput phenotyping platforms, including satellites, UAVs, and ground-based sensors, enable non-invasive assessment of key stress indicators such as canopy temperature, vegetation indices, and chlorophyll fluorescence. Concurrently, omics studies have revealed central regulatory networks, including the ABA–SnRK2 signaling cascade, HSF–HSP chaperone systems, and ROS-scavenging pathways. Emerging frameworks integrating genotype × environment × phenotype (G × E × P) interactions, powered by machine learning and deep learning algorithms, are facilitating the discovery of functional genes and predictive phenotypes. This “pixels-to-proteins” paradigm bridges field-scale phenotypes with molecular responses, offering actionable insights for breeding, precision management, and the development of digital twin systems for climate-smart agriculture. We highlight current challenges, including data standardization and cross-platform integration, and propose future research directions to accelerate the deployment of resilient crop varieties. Full article
Show Figures

Figure 1

21 pages, 8158 KB  
Article
The Impact of the Number of Sensors on Stress Wave Velocity in 2D Acoustic Tomography of Araucaria cunninghamii Sweet
by Cheng-Jung Lin, Ping-Hsun Peng and Po-Heng Lin
Forests 2025, 16(9), 1439; https://doi.org/10.3390/f16091439 - 9 Sep 2025
Viewed by 625
Abstract
This study investigated the effect of the number of sensors (8, 12, 16, and 20) on the measurement results of stress wave velocity in two-dimensional acoustic tomography of Hoop pine (Araucaria cunninghamii Sweet) trees and evaluated the method’s accuracy and operational efficiency [...] Read more.
This study investigated the effect of the number of sensors (8, 12, 16, and 20) on the measurement results of stress wave velocity in two-dimensional acoustic tomography of Hoop pine (Araucaria cunninghamii Sweet) trees and evaluated the method’s accuracy and operational efficiency in tree health diagnostics. Tests were conducted on five sample trees, two of which were confirmed to have internal damage using the drilling resistance method. The results showed that increasing the number of sensors improved image resolution and information completeness. However, differences in the average stress wave velocities among sensor configurations were not statistically significant (p ≥ 0.05), indicating limited overall velocity variation. In healthy trees, stress wave velocities measured with different sensor quantities (e.g., eight vs. twenty) exhibited weak linear correlations (R2 = 0.06–0.58), reflecting a relatively uniform internal structure. In contrast, damaged trees showed strong consistency in velocity results (R2 = 0.82–0.91, p < 0.01), with both minimum and average velocities being significantly lower than those in healthy trees. These findings demonstrate that acoustic tomography can effectively identify internal tree defects. Notably, even with only eight sensors, decay and cavities can still be accurately detected, which significantly enhances field inspection efficiency and reduces costs, thereby showing strong potential for practical applications. Full article
(This article belongs to the Section Forest Health)
Show Figures

Figure 1

43 pages, 4070 KB  
Review
Nanomaterial Solutions for Environmental Applications and Bacteriological Threats: The Role of Laser-Induced Graphene
by Mario Alejandro Vallejo Pat, Harriet Ezekiel-Hart and Camilah D. Powell
Nanomaterials 2025, 15(17), 1377; https://doi.org/10.3390/nano15171377 - 6 Sep 2025
Viewed by 526
Abstract
Laser-induced graphene (LIG) is a high-quality graphene material produced by laser scribing. It has garnered significant attention as a solution to various growing global concerns, such as biological threats, energy scarcity, and environmental contamination due to its high conductivity, tunable surface chemistry, and [...] Read more.
Laser-induced graphene (LIG) is a high-quality graphene material produced by laser scribing. It has garnered significant attention as a solution to various growing global concerns, such as biological threats, energy scarcity, and environmental contamination due to its high conductivity, tunable surface chemistry, and ease of synthesis from a variety of carbonaceous substrates. This review provides a survey of recent advances in LIG applications for energy storage, heavy metal adsorption, water purification, and antimicrobial materials. As a part of this, we discuss the most recent research efforts to develop LIG as (1) sensors to detect heavy metals at ultralow detection limits, (2) as membranes capable of salt and bacteria rejection, and (3) antimicrobial materials capable of bacterial inactivation efficiencies of up to 99.998%. Additionally, due to its wide surface area, electrochemical stability, and rapid charge conduction, we report on the current body of literature that showcases the potential of LIG within energy storage applications (e.g., batteries and supercapacitors). All in all, this critical review highlights the findings and promise of LIG as an emerging next-generation material for integrated biomedical, energy, and environmental technologies and identifies the key knowledge gaps and technological obstacles that currently hinder the full-scale implementation of LIG in each field. Full article
Show Figures

Figure 1

Back to TopTop