Sign in to use this feature.

Years

Between: -

Subjects

remove_circle_outline
remove_circle_outline
remove_circle_outline
remove_circle_outline
remove_circle_outline
remove_circle_outline
remove_circle_outline

Journals

Article Types

Countries / Regions

Search Results (157)

Search Parameters:
Keywords = Doppler waveform

Order results
Result details
Results per page
Select all
Export citation of selected articles as:
19 pages, 7953 KB  
Article
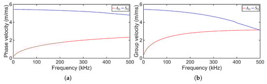
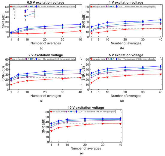
Accelerating Ultrasonic Guided-Wave Measurements via SNR Enhancement Using Coded Excitation: An Experimental Investigation
by Chengxiang Peng, Paul Annus, Marek Rist, Raul Land and Madis Ratassepp
Appl. Sci. 2026, 16(6), 2762; https://doi.org/10.3390/app16062762 - 13 Mar 2026
Abstract
Conventional excitation signals used in ultrasonic measurements, such as the one-cycle pulse, produce waveforms that experience significant attenuation and dispersion during propagation in highly attenuative materials, resulting in a low signal-to-noise ratio (SNR) and unreliable signal interpretation. Coded excitation is a well-established technique [...] Read more.
Conventional excitation signals used in ultrasonic measurements, such as the one-cycle pulse, produce waveforms that experience significant attenuation and dispersion during propagation in highly attenuative materials, resulting in a low signal-to-noise ratio (SNR) and unreliable signal interpretation. Coded excitation is a well-established technique for improving the SNR; however, its practical benefit for ultrasonic guided-wave measurements under low-voltage and limited averaging conditions has not been systematically quantified. This paper presents an experimental investigation of coded excitations for accelerating ultrasonic guided-wave data acquisition through SNR improvement. A one-cycle pulse is compared with Barker-coded and complementary Golay-coded excitations over a wide range of excitation voltages (0.5–10 V) and averaging numbers (1–40). Guided waves are generated using piezoelectric excitation and measured using laser Doppler vibrometry, ensuring repeatable and coupling-independent measurements. The results show that the SNR achieved with Barker-coded excitations using fewer than ten averages is comparable to that obtained with a one-cycle pulse using forty averages. The 16-bit complementary Golay codes achieve a comparable SNR while requiring fewer than five averages. These findings demonstrate that coded excitations can significantly reduce the number of data acquisition cycles in guided-wave measurement, offering a practical pathway toward faster and more energy-efficient ultrasonic measurement systems. Full article
(This article belongs to the Special Issue Advances in and Research on Ultrasonic Non-Destructive Testing)
Show Figures

Figure 1

32 pages, 6034 KB  
Article
Direct Evidence for the Feedforward Neurovascular Coupling Mechanism in Humans During Task Onset: An EEG-fNIRS-TCD Multimodal Imaging Study
by Joel S. Burma, Matthew G. Neill, Elizabeth K. S. Fletcher, Jina Seok, Nathan E. Johnson, Kathryn J. Schneider, Chantel T. Debert, Jeff F. Dunn and Jonathan D. Smirl
Sensors 2026, 26(6), 1790; https://doi.org/10.3390/s26061790 - 12 Mar 2026
Viewed by 37
Abstract
This investigation assessed the neurovascular coupling response through integrated assessments of neuronal function [electroencephalography (EEG)], microvascular oxygenation concentrations [functional near-infrared spectroscopy (fNIRS)], and arterial responses [transcranial Doppler ultrasound (TCD)]. The NVC response was assessed in 113 participants (86 females, aged 19–40 years) during [...] Read more.
This investigation assessed the neurovascular coupling response through integrated assessments of neuronal function [electroencephalography (EEG)], microvascular oxygenation concentrations [functional near-infrared spectroscopy (fNIRS)], and arterial responses [transcranial Doppler ultrasound (TCD)]. The NVC response was assessed in 113 participants (86 females, aged 19–40 years) during visual (“Where’s Waldo?”) and motor (finger tapping) tasks. Block-averaged, time–frequency power was computed from the EEG data, while hemodynamic response functions were obtained from the fNIRS and TCD metrics. Granger causality assessed the predictiveness between EEG-fNIRS-TCD waveforms for each participant and was converted into a percentage of individuals displaying a significant value. Linear models were computed to determine the influence of sex, concussion history, young adulthood age, cardiorespiratory fitness, and mental health/learning disabilities on NVC parameters. During the initial 10 s of task onset, unidirectional predictiveness was weak to very strong for EEG-TCD (range: 47–83%) and fNIRS-TCD (44–92%) relationships; however, very weak to weak predictiveness was seen for the E0EG-fNIRS (0–29%) relationship for both tasks. Aside from known sex-, age-, and fitness-based influences on baseline/peak hemodynamic values (p < 0.050), the addition of concussion history and mental health/learning disabilities had minimal influence on NVC responses (p > 0.050). The findings demonstrated a unidirectional feedforward mechanism from the neuronal and microvasculature to the upstream arteries during task onset. Full article
(This article belongs to the Section Sensing and Imaging)
Show Figures

Figure 1

27 pages, 4297 KB  
Article
Velocity and Angle Tracking of Fast Targets Using a Bandwidth-Coded Hybrid Chirp FMCW Radar
by Burak Gökdemir, Yaser Dalveren, Ali Kara and Mohammad Derawi
Sensors 2026, 26(6), 1751; https://doi.org/10.3390/s26061751 - 10 Mar 2026
Viewed by 190
Abstract
Frequency-modulated continuous-wave (FMCW) radars are widely used for range and velocity estimation. However, conventional velocity measurement techniques based on 2D-FFT processing require a large number of chirps and suffer from a maximum unambiguous velocity limitation, which restricts their applicability to high-speed targets. This [...] Read more.
Frequency-modulated continuous-wave (FMCW) radars are widely used for range and velocity estimation. However, conventional velocity measurement techniques based on 2D-FFT processing require a large number of chirps and suffer from a maximum unambiguous velocity limitation, which restricts their applicability to high-speed targets. This study addresses these challenges by proposing a hybrid FMCW chirp waveform that employs bandwidth variation between consecutive chirps while maintaining a constant chirp duration. The proposed method enables separation of range- and Doppler-dependent frequency components using only two chirps; thus, it improves the maximum velocity constraint by keeping intermediate-frequency bandwidth and sampling requirements low. In addition, spatial angle estimation is performed using an amplitude-comparison monopulse antenna configuration, allowing single-snapshot angle measurement with low computational complexity. To enhance measurement robustness, extended and unscented Kalman filters are integrated for target tracking. Simulation results demonstrate that the proposed waveform achieves accurate velocity estimation for very high-speed targets and that the unscented Kalman filter consistently outperforms the extended Kalman filter in terms of convergence speed and robustness, particularly under poor initialization and strong nonlinearities. The results confirm that the proposed framework provides an efficient solution for tracking a single, fast-moving, isolated target in a homogeneous environment using FMCW radar systems at short and medium ranges. Full article
(This article belongs to the Section Radar Sensors)
Show Figures

Figure 1

19 pages, 4992 KB  
Article
Research on Denoising Methods for Laser Doppler Blood Flow Signals Based on Time-Domain Noise Perception and DWT
by Quanxin Sun, Jie Duan, Hui Guo and Aoyan Guo
Sensors 2026, 26(5), 1500; https://doi.org/10.3390/s26051500 - 27 Feb 2026
Viewed by 213
Abstract
Addressing the challenges of composite noise (speckle noise, thermal noise, and random pulse interference) and non-stationarity in laser Doppler flow (LDF) signal processing, as well as the technical limitation of traditional threshold methods in balancing noise suppression and signal fidelity, this study proposes [...] Read more.
Addressing the challenges of composite noise (speckle noise, thermal noise, and random pulse interference) and non-stationarity in laser Doppler flow (LDF) signal processing, as well as the technical limitation of traditional threshold methods in balancing noise suppression and signal fidelity, this study proposes an adaptive denoising algorithm integrating temporal noise perception and discrete wavelet transform (DWT). A composite noise model is first established to characterize the interference. The signal undergoes a five-level DWT decomposition, where a local energy detection mechanism distinguishes signal-dominant from noise-dominant regions. An SNR-driven dynamic thresholding strategy is generated by combining inter-layer adaptive allocation with coefficient-level local weighting, followed by processing with an improved smoothing function to effectively suppress reconstruction artifacts. Simulations at a 1 dB input signal-to-noise ratio (SNR) yielded a 15.45 dB output SNR and a 0.05634 root mean square error (RMSE), outperforming traditional wavelet methods and modern benchmarks such as local variance and variational mode decomposition (VMD). Applied to a practical signal from an isolated vascular phantom with an initial SNR of 1.04 dB, the algorithm achieved a 13.86 dB output SNR and a 0.00258 RMSE. Results confirm the algorithm’s effectiveness for high-fidelity waveform capture in complex noise environments, offering a robust solution for vascular hemodynamic monitoring Full article
(This article belongs to the Special Issue Advanced Biomedical Imaging and Signal Processing)
Show Figures

Figure 1

24 pages, 12400 KB  
Article
A Design of FMCW Fuze System and Ranging Algorithm Based on Frequency–Phase Composite Modulation Using Chaotic Codes
by Jincheng Zhang, Xinhong Hao, Chaowen Hou and Jianqiu Wang
Sensors 2026, 26(5), 1434; https://doi.org/10.3390/s26051434 - 25 Feb 2026
Viewed by 296
Abstract
To address the vulnerability of traditional linear frequency-modulated continuous wave (FMCW) fuze to jamming due to fixed modulation parameters, this paper proposes a novel fuze waveform design scheme using chaotic code-based frequency and phase composite modulation along with a Normalized Rate-Invariant Ranging algorithm [...] Read more.
To address the vulnerability of traditional linear frequency-modulated continuous wave (FMCW) fuze to jamming due to fixed modulation parameters, this paper proposes a novel fuze waveform design scheme using chaotic code-based frequency and phase composite modulation along with a Normalized Rate-Invariant Ranging algorithm (NRIR). Leveraging the ergodicity and initial value sensitivity of the Logistic chaotic map, a dual-dimensional composite modulation system is constructed. In the frequency domain, the frequency modulation slope undergoes periodic binary variation according to chaotic states to break the signal periodicity. In the phase domain, phase encoding is implemented based on chaotic binary sequences to further improve waveform entropy and complexity, effectively destabilizing the parameter stability required for coherent jamming. To resolve the distance–Doppler coupling challenges and spectral dispersion issues caused by variable-slope modulation, the NRIR algorithm is developed. By introducing a resampling transformation operator, the non-stationary rate-varying beat frequency signal is mapped to a normalized “constant-slope” space, enabling coherent accumulation and ranging of targets. Using the ambiguity function as an analytical tool, theoretical analyses, simulation experiments, and test results demonstrate that this design scheme exhibits excellent performance in suppressing DRFM jamming and sweep-frequency jamming, providing theoretical support and technical approaches for fuze anti-jamming design. Full article
(This article belongs to the Section Communications)
Show Figures

Figure 1

30 pages, 5738 KB  
Article
Experimental Evaluation of 5G NR OFDM-Based Passive Radar Exploiting Reference, Control, and User Data
by Marek Wypich and Tomasz P. Zielinski
Sensors 2026, 26(4), 1317; https://doi.org/10.3390/s26041317 - 18 Feb 2026
Viewed by 449
Abstract
In communication-centric integrated sensing and communication (ISAC) systems, passive radars exploit existing communication signals of opportunity for sensing. To compute delay-Doppler or range–velocity maps (DDMs and RVMs, respectively), modern orthogonal frequency division multiplexing (OFDM)-based sensing systems use the channel frequency response (CFR) originally [...] Read more.
In communication-centric integrated sensing and communication (ISAC) systems, passive radars exploit existing communication signals of opportunity for sensing. To compute delay-Doppler or range–velocity maps (DDMs and RVMs, respectively), modern orthogonal frequency division multiplexing (OFDM)-based sensing systems use the channel frequency response (CFR) originally estimated in communication receivers for equalization. In OFDM-based passive radars utilizing 4G LTE or 5G NR waveforms, CFR estimation typically relies only on reference signals. However, simulation-based studies that assume a priori knowledge of user data symbols indicate potential performance gains when incorporating user data and other downlink channels. In this work, we present an experimental evaluation of an OFDM-based passive radar that jointly utilizes all commonly present components of the 5G NR downlink waveform: synchronization signals (PSS and SSS), broadcast and control channels (PBCHs and PDCCHs, respectively), data channels (PDSCHs), and reference signals (PBCH DM-RSs, PDCCH DM-RSs, PDSCH DM-RSs, and CSI-RSs). Our results show that utilizing user data from fully occupied 5G downlink signals, under the assumption of full knowledge of PDSCH locations, significantly improves both the probability of detection (POD) and the peak height, measured by the peak-to-noise-floor ratio (PNFR), compared with pilot-only sensing. Since perfect knowledge of the user data payload is not assumed, we estimate the transmission bit error rate (BER) and analyze its impact on sensing performance. Finally, we investigate more realistic scenarios in which only a subset of PDSCH resource element locations is known, as in practical 5G deployments, and evaluate how partial data location knowledge affects the POD and PNFR under different BER conditions. Full article
(This article belongs to the Special Issue Sensing in Wireless Communication Systems)
Show Figures

Figure 1

20 pages, 7833 KB  
Review
Interference-Resilient Concurrent Sensing in Dense Environments: A Review of OFDM and OTFS Waveforms for JRC
by Mehmet Yazgan, Buldan Karahan, Hüseyin Arslan and Stavros Vakalis
Future Internet 2026, 18(2), 97; https://doi.org/10.3390/fi18020097 - 13 Feb 2026
Viewed by 339
Abstract
This paper presents a unified perspective on Orthogonal Frequency-Division Multiplexing (OFDM)-based joint radar–communication (JRC) sensing, focusing on the efficient reuse of time and frequency resources in range–Doppler estimation and imaging scenarios. By leveraging OFDM’s inherent subcarrier orthogonality, noise-like temporal properties, and minor carrier [...] Read more.
This paper presents a unified perspective on Orthogonal Frequency-Division Multiplexing (OFDM)-based joint radar–communication (JRC) sensing, focusing on the efficient reuse of time and frequency resources in range–Doppler estimation and imaging scenarios. By leveraging OFDM’s inherent subcarrier orthogonality, noise-like temporal properties, and minor carrier frequency offsets, these systems can support concurrent transmissions over the same spectral and temporal resources while maintaining interference resilience. Experimental and simulation-based insights demonstrate the feasibility of simultaneous sensing across users and antennas, even in dense Radio Frequency (RF) environments. We analyze trade-offs, implementation considerations, and system-level implications to provide a consolidated foundation for designing future OFDM-based JRC systems. The feasibility of an Orthogonal Time Frequency Space (OTFS) waveform for the proposed method is also investigated. The review highlights the potential of such architectures in spectrum and time-congested applications such as Vehicle-to-Everything (V2X), indoor localization, Internet of Things (IoT), and beyond fifth-generation (5G) networks. Full article
(This article belongs to the Special Issue State-of-the-Art Future Internet Technology in USA 2024–2025)
Show Figures

Figure 1

14 pages, 5687 KB  
Perspective
Proximal Aorta Flow as a Proxy for Ventricular–Arterial Interaction
by Marco Pasetto, Alessandro Russo, Lorenzo Peluso, Marcello Ceola Graziadei and Leonardo Gottin
J. Vasc. Dis. 2026, 5(1), 8; https://doi.org/10.3390/jvd5010008 - 3 Feb 2026
Viewed by 313
Abstract
Ventricular–arterial coupling (VAC) describes the dynamic interaction between left ventricular (LV) systolic elastance and the time-varying elastance/impedance of the arterial tree, a relationship that governs the instantaneous generation of aortic flow and ultimately cardiac output. VAC, typically expressed as the ratio of effective [...] Read more.
Ventricular–arterial coupling (VAC) describes the dynamic interaction between left ventricular (LV) systolic elastance and the time-varying elastance/impedance of the arterial tree, a relationship that governs the instantaneous generation of aortic flow and ultimately cardiac output. VAC, typically expressed as the ratio of effective arterial elastance (Ea) to LV end-systolic elastance (Ees), has provided valuable mechanistic and prognostic insights, but is limited by its lumped, largely steady-state nature and by the need for pressure–volume modeling or complex surrogate formulas. Contemporary time-domain and wave-intensity approaches have underscored that the shape of proximal aortic pressure–flow waveforms encodes rich beat-by-beat information about ventricular–arterial interaction and energy transfer. Doppler echocardiography of the ascending aorta provides a readily available, high-temporal resolution measure of proximal aortic flow that is already used to quantify stroke volume, cardiac output and valvular lesions. We propose that proximal aortic flow, as recorded by Doppler echocardiography, may serve as a clinically practical proxy for beat-by-beat VAC, reflecting the instantaneous matching of ventricular and aortic elastances, which regulates the ejected flow towards peripheral tissues according to metabolic needs. Full article
(This article belongs to the Section Cardiovascular Diseases)
Show Figures

Figure 1

14 pages, 1256 KB  
Article
Doppler Waveform Alterations of the Supratesticular Artery and Associated Semen Biomarkers in Infertile Male Dromedary Camels
by Derar Derar, Ahmed Ali, Fahad A. Alshanbari and Mohammed H. Elzagafi
Animals 2026, 16(2), 319; https://doi.org/10.3390/ani16020319 - 20 Jan 2026
Viewed by 248
Abstract
Male infertility in dromedary camels lacks objective diagnostic tools. This study evaluated the combined diagnostic value of testicular Doppler ultrasonography and semen biomarkers in 68 infertile (azoospermic, n = 21; oligozoospemic, n = 47) and 9 fertile male camels. All animals underwent a [...] Read more.
Male infertility in dromedary camels lacks objective diagnostic tools. This study evaluated the combined diagnostic value of testicular Doppler ultrasonography and semen biomarkers in 68 infertile (azoospermic, n = 21; oligozoospemic, n = 47) and 9 fertile male camels. All animals underwent a breeding soundness evaluation; computer-assisted semen analysis; color Doppler of the supratesticular artery; and a seminal plasma assessment for semenogelin I (SEM I), semenogelin II (SEM II), extracellular matrix protein 1 (ECM1), and testis-expressed protein 101 (TEX101). Infertile camels showed significantly impaired semen quality (p < 0.001). All four biomarkers were significantly lower in the infertile groups than controls (p = 0.001). Doppler indices indicated impaired testicular perfusion, with higher resistive and pulsatility indices (p = 0.003; p = 0.009) and lower velocity parameters (p < 0.001) in infertile animals. Biomarkers were strongly intercorrelated and negatively correlated with Doppler indices. ECM1 was the only significant predictor of infertility from the regression analysis (p = 0.031). Among the oligozoospemic camels stratified by motility, the >50% motility group had significantly higher SEM I and SEM II concentrations (p < 0.002). Integrating Doppler ultrasonography with biomarker profiling provides complementary diagnostic indicators for male camel infertility. Full article
(This article belongs to the Section Animal Reproduction)
Show Figures

Figure 1

16 pages, 4859 KB  
Article
Three-Parameter Agile Anti-Interference Waveform Design and Corresponding MUSIC-Based Signal Processing Algorithm
by Chen Miao, Zhenpeng Sun, Yue Ma and Wen Wu
Electronics 2026, 15(2), 303; https://doi.org/10.3390/electronics15020303 - 9 Jan 2026
Viewed by 358
Abstract
Radar systems with exceptional anti-jamming performance are critical to meeting the high-performance requirements of future intelligent sensing systems. To address the deception jamming challenges encountered by intelligent sensing systems environments, a multi-parameter agile waveform is designed. The proposed waveform exhibits high flexibility across [...] Read more.
Radar systems with exceptional anti-jamming performance are critical to meeting the high-performance requirements of future intelligent sensing systems. To address the deception jamming challenges encountered by intelligent sensing systems environments, a multi-parameter agile waveform is designed. The proposed waveform exhibits high flexibility across three dimensions—pulse width, pulse repetition interval, and carrier frequency. Compared to traditional single-parameter or two-parameter agile waveforms, which vary only one or two parameters, this multi-parameter approach significantly enhances anti-jamming performance by disrupting periodicity and providing higher flexibility in dynamic interference environments. To address the complex signal characteristics induced by multi-parameter agility, we further develop a low-complexity signal processing method based on a segmented multiple signal classification (MUSIC) algorithm, which accurately extracts Doppler information from pulse-compressed slow-time data to achieve high-precision velocity estimation. Both theoretical derivations and simulation results demonstrate that, compared with the conventional compressed sensing orthogonal matching pursuit method and the conventional MUSIC method that operate on the entire signal, our segmented approach divides the signal into smaller segments, reducing computational complexity and improving velocity estimation accuracy. Notably, even in high-intensity, densely jammed environments, the system reliably extracts target information. Full article
Show Figures

Figure 1

21 pages, 3424 KB  
Article
The Intertwined Factors Affecting Altimeter Sigma0
by Graham D. Quartly
Remote Sens. 2025, 17(22), 3776; https://doi.org/10.3390/rs17223776 - 20 Nov 2025
Viewed by 685
Abstract
Radar altimeters receive radio-wave reflections from nadir and determine surface parameters from the strength and shape of the return signal. Over the oceans, the strength of the return, termed sigma0 (σ0), is strongly related to the small-scale roughness of the [...] Read more.
Radar altimeters receive radio-wave reflections from nadir and determine surface parameters from the strength and shape of the return signal. Over the oceans, the strength of the return, termed sigma0 (σ0), is strongly related to the small-scale roughness of the ocean surface and is used to estimate near-surface wind speed. However, a number of other factors affect σ0, and these need to be estimated and compensated for when developing long-term consistent σ0 records spanning multiple missions. Aside from unresolved issues of absolute calibration, there are various geophysical factors (sea surface temperature, wave height and rain) that have an effect. The choice of the waveform retracking algorithm also affects the σ0 values, with the four-parameter Maximum Likelihood Estimator introducing a strong dependence on waveform-derived mispointing and the use of delay-Doppler processing leading to apparent variation with spacecraft radial velocity. As all of these terms have strong geographical correlations, care is required to disentangle these various effects in order to establish a long-term consistent record. This goal will enable a better investigation of the long-term changes in wind speed at sea. Full article
Show Figures

Graphical abstract

69 pages, 10529 KB  
Systematic Review
Assessing Venous Congestion in Acute and Chronic Heart Failure: A Review of Splanchnic, Cardiac and Pulmonary Ultrasound: Part 1: Conventional B-Mode, Colordoppler, and Vexus Protocol
by Francesco Giangregorio, Ester Centenara, Samanta Mazzocchi, Luigi Gerra, Francesco Tursi, Davide Imberti and Daniela Aschieri
J. Clin. Med. 2025, 14(22), 8147; https://doi.org/10.3390/jcm14228147 - 17 Nov 2025
Cited by 1 | Viewed by 3001
Abstract
Background/Objectives: Heart failure (HF) causes systemic and regional haemodynamic alterations that extend beyond the heart, profoundly affecting splanchnic circulation. Venous congestion is a hallmark of heart failure (HF) and a major determinant of clinical deterioration and multiorgan dysfunction. The splanchnic venous system—comprising [...] Read more.
Background/Objectives: Heart failure (HF) causes systemic and regional haemodynamic alterations that extend beyond the heart, profoundly affecting splanchnic circulation. Venous congestion is a hallmark of heart failure (HF) and a major determinant of clinical deterioration and multiorgan dysfunction. The splanchnic venous system—comprising the portal, hepatic, and renal veins—acts as a key reservoir for intravascular volume redistribution. Conventional ultrasound (US), using grayscale and Doppler imaging, offers a direct, non-invasive approach to visualize these haemodynamic changes. This review, Part 1 of a two-part series, summarizes the current evidence and clinical applications of conventional US for assessing splanchnic, cardiac and pulmonary vascular alterations in patients with HF. Methods: A systematic review was performed in PubMed, Embase, and the Cochrane Library up to current date, following PRISMA 2020 guidelines. Eligible studies included adult human investigations evaluating splanchnic vascular changes in HF using B-mode, color Doppler, or pulsed Doppler ultrasonography. Exclusion criteria were pediatric, animal, or non-English studies and non-standard imaging methods. Data on ultrasonographic parameters, haemodynamic correlations, and prognostic value were extracted and qualitatively synthesized; Results: A total of 148 eligible studies (n ≈ 7000 patients) demonstrated consistent associations between HF severity and alterations in splanchnic, cardiac and pulmonary flow. Findings included increased bowel wall thickness, portal vein dilation with elevated pulsatility, and monophasic or reversed hepatic vein waveforms, all correlating with higher right atrial pressure and adverse clinical outcomes. The integration of these parameters into the Venous Excess Ultrasound (VExUS) framework enhanced detection of systemic venous congestion, in addition to the study of the cardiac and pulmonary circulation. Conclusions: Conventional ultrasound assessment of splanchnic vasculature provides valuable, reproducible insight into systemic congestion in HF. Incorporating hepatic and portal Doppler indices into standard evaluation protocols may improve risk stratification, optimize decongestion therapy, and guide management. Further prospective randomized and outcome-driven studies are required before VExUS-based therapeutic thresholds can be universally recommended and define prognostic thresholds. Full article
(This article belongs to the Special Issue Multiparametric Ultrasound Techniques for Liver Disease Assessments)
Show Figures

Figure 1

29 pages, 3379 KB  
Article
Robust OTFS Detection via MMSE-DFE Equalization for ISAC in Doubly Dispersive Channels
by Khaled Ramadan, Ibrahim Aqeel and Emad S. Hassan
Mathematics 2025, 13(21), 3545; https://doi.org/10.3390/math13213545 - 5 Nov 2025
Cited by 1 | Viewed by 872
Abstract
This paper presents a detailed performance evaluation of a proposed Orthogonal Time Frequency Space (OTFS) system for Integrated Sensing and Communications (ISAC) in doubly dispersive wireless channels, characterized by both delay and Doppler spreads. The system is benchmarked against conventional Orthogonal Frequency Division [...] Read more.
This paper presents a detailed performance evaluation of a proposed Orthogonal Time Frequency Space (OTFS) system for Integrated Sensing and Communications (ISAC) in doubly dispersive wireless channels, characterized by both delay and Doppler spreads. The system is benchmarked against conventional Orthogonal Frequency Division Multiplexing (OFDM) schemes with Linear Minimum Mean Square Error (LMMSE) and Minimum Mean Square Error Decision Feedback Equalizer (MMSE-DFE) receivers. Through extensive simulations, the paper assesses Bit Error Rate (BER) and throughput performance under various Signal-to-Noise Ratios (SNRs), channel estimation error percentages, and multipath conditions. Results indicate that the proposed OTFS system is highly suitable for ISAC scenarios due to its delay-Doppler domain resilience and robustness to mobility, delivering superior BER performance, e.g., 1.25×105 at 20 dB SNR with 0% estimation error, compared to 1.10×103 for OFDM-LMMSE. It also sustains 64 Mbps throughput under ideal conditions, though it shows sensitivity under severe estimation errors and rich multipath. In contrast, OFDM with LMMSE demonstrates smaller performance variation, maintaining over 61 Mbps throughput even at 100% estimation error and 15 scattered path components. These results suggest that OTFS is an effective waveform for ISAC when accurate channel estimation is available, while the corresponding OFDM with MMSE-DFE remains a robust fallback in highly uncertain environments. Full article
(This article belongs to the Special Issue Computational Methods in Wireless Communication)
Show Figures

Figure 1

6 pages, 593 KB  
Interesting Images
Intima–Media Thickening with Carotid Webs: A Case Report of a Potentially High-Risk Association
by Corrado Tagliati, Alessia Quaranta, Marco Fogante, Claudio Ventura, Stefania Lamja, Alfonso Alberto Matarrese, Pierpaolo Palumbo, Iacopo Carbone, Ernesto Di Cesare, Gabriele Polonara and Nicolò Schicchi
Diagnostics 2025, 15(21), 2756; https://doi.org/10.3390/diagnostics15212756 - 30 Oct 2025
Cited by 1 | Viewed by 1131
Abstract
We describe a case of an asymptomatic 70-year-old female patient on whom a carotid ultrasound examination was performed that showed intima–media thickening and a 4 mm long carotid web with a 50% web-to-bulb ratio. Spectral Doppler waveform demonstrated a turbulent flow pattern and [...] Read more.
We describe a case of an asymptomatic 70-year-old female patient on whom a carotid ultrasound examination was performed that showed intima–media thickening and a 4 mm long carotid web with a 50% web-to-bulb ratio. Spectral Doppler waveform demonstrated a turbulent flow pattern and a peak systolic velocity increase of 100% (velocity ratio = 2) when compared with the common carotid artery. Therefore, the patient seemed to be at risk of stroke, and antiaggregant treatment was suggested. Full article
(This article belongs to the Collection Interesting Images)
Show Figures

Figure 1

24 pages, 13390 KB  
Article
Performance of Acoustic, Electro-Acoustic and Optical Sensors in Precise Waveform Analysis of a Plucked and Struck Guitar String
by Jan Jasiński, Marek Pluta, Roman Trojanowski, Julia Grygiel and Jerzy Wiciak
Sensors 2025, 25(21), 6514; https://doi.org/10.3390/s25216514 - 22 Oct 2025
Viewed by 1069
Abstract
This study presents a comparative performance analysis of three sensor technologies—microphone, magnetic pickup, and laser Doppler vibrometer—for capturing string vibration under varied excitation conditions: striking, plectrum plucking, and wire plucking. Two different magnetic pickups are included in the comparison. Measurements were taken at [...] Read more.
This study presents a comparative performance analysis of three sensor technologies—microphone, magnetic pickup, and laser Doppler vibrometer—for capturing string vibration under varied excitation conditions: striking, plectrum plucking, and wire plucking. Two different magnetic pickups are included in the comparison. Measurements were taken at multiple excitation levels on a simplified electric guitar mounted on a stable platform with repeatable excitation mechanisms. The analysis focuses on each sensor’s capacity to resolve fine-scale waveform features during the initial attack while also taking into account its capability to measure general changes in instrument dynamics and timbre. We evaluate their ability to distinguish vibro-acoustic phenomena resulting from changes in excitation method and strength as well as measurement location. Our findings highlight the significant influence of sensor choice on observable string vibration. While the microphone captures the overall radiated sound, it lacks the required spatial selectivity and offers poor SNR performance 34 dB lower then other methods. Magnetic pickups enable precise string-specific measurements, offering a compelling balance of accuracy and cost-effectiveness. Results show that their low-pass frequency characteristic limits temporal fidelity and must be accounted for when analysing general sound timbre. Laser Doppler vibrometers provide superior micro-temporal fidelity, which can have critical implications for physical modeling, instrument design, and advanced audio signal processing, but have severe practical limitations. Critically, we demonstrate that the required optical target, even when weighing as little as 0.1% of the string’s mass, alters the string’s vibratory characteristics by influencing RMS energy and spectral content. Full article
(This article belongs to the Special Issue Deep Learning for Perception and Recognition: Method and Applications)
Show Figures

Figure 1

Back to TopTop