Sign in to use this feature.

Years

Between: -

Subjects

remove_circle_outline
remove_circle_outline
remove_circle_outline
remove_circle_outline
remove_circle_outline
remove_circle_outline
remove_circle_outline
remove_circle_outline
remove_circle_outline

Journals

Article Types

Countries / Regions

Search Results (94)

Search Parameters:
Keywords = Dirac distribution

Order results
Result details
Results per page
Select all
Export citation of selected articles as:
11 pages, 1164 KB  
Article
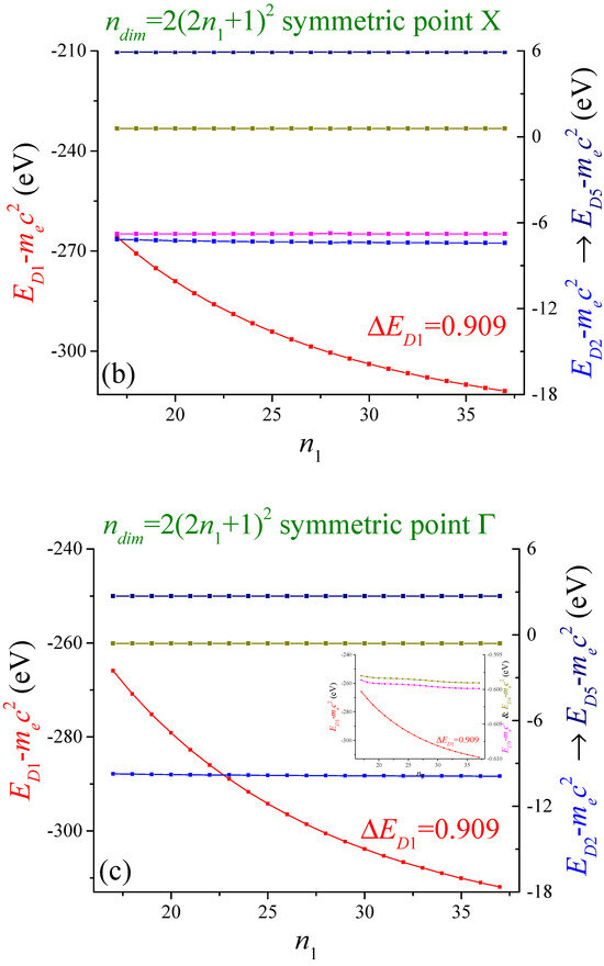
Electron Energies of Two-Dimensional Lithium with the Dirac Equation
by Raúl García-Llamas, Jesús D. Valenzuela-Sau, Jorge A. Gaspar-Armenta and Rafael A. Méndez-Sánchez
Crystals 2026, 16(2), 79; https://doi.org/10.3390/cryst16020079 (registering DOI) - 23 Jan 2026
Viewed by 25
Abstract
The electronic band structure of two-dimensional lithium is calculated using the Dirac equation. Lithium is modeled as a two-dimensional square lattice in which the two strongly bound inner electrons and the fixed nucleus are treated as a positively charged ion (+e), while the [...] Read more.
The electronic band structure of two-dimensional lithium is calculated using the Dirac equation. Lithium is modeled as a two-dimensional square lattice in which the two strongly bound inner electrons and the fixed nucleus are treated as a positively charged ion (+e), while the outer electron is assumed to be uniformly distributed within the cell. The electronic potential is obtained by considering Coulomb-type interactions between the charges inside the unit cell and those in the surrounding cells. A numerical method that divides the unit cell into small pieces is employed to calculate the potential and then the Fourier coefficients are obtained. The Bloch method is used to determine the energy bands, leading to an eigenvalue matrix equation (in momentum space) of infinite dimension, which is truncated and solved using standard matrix diagonalization techniques. Convergence is analyzed with respect to the key parameters influencing the calculation: the lattice period, the dimension of the eigenvalue matrix, the unit-cell partition used to compute the potential’s Fourier coefficients, and the number of neighboring cells that contribute to the electronic interaction. Full article
(This article belongs to the Section Materials for Energy Applications)
Show Figures

Figure 1

29 pages, 1777 KB  
Article
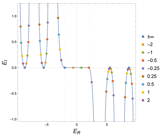
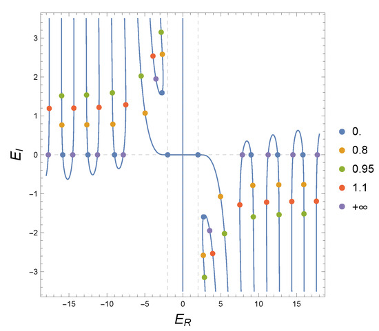
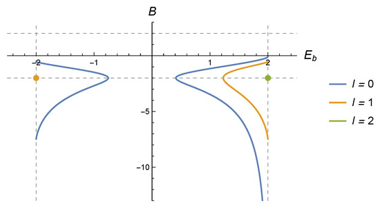
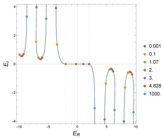
Planar Dirac Equation with Radial Contact Potentials
by José Tadeu Lunardi, Sergio Salamanca, Javier Negro and Luis Miguel Nieto
Mathematics 2025, 13(24), 3916; https://doi.org/10.3390/math13243916 - 7 Dec 2025
Viewed by 394
Abstract
We investigate the planar Dirac equation with the most general time-independent contact (singular) potential supported on a circumference. Taking advantage of the radial symmetry, the problem is effectively reduced to a one-dimensional one (the radial), and the contact potential is addressed in a [...] Read more.
We investigate the planar Dirac equation with the most general time-independent contact (singular) potential supported on a circumference. Taking advantage of the radial symmetry, the problem is effectively reduced to a one-dimensional one (the radial), and the contact potential is addressed in a mathematically rigorous way using a distributional approach that was originally developed to treat point interactions in one dimension, providing a physical interpretation for the interaction parameters. The most general contact interaction for this system is obtained in terms of four physical parameters: the strengths of a scalar and the three components of a singular Lorentz vector potential supported on the circumference. We then investigate the bound and scattering solutions for several choices of the physical parameters, and analyze the confinement properties of the corresponding potentials. Full article
(This article belongs to the Section E4: Mathematical Physics)
Show Figures

Figure 1

24 pages, 1300 KB  
Article
On the Construction and Analysis of a Fractional-Order Dirac Delta Distribution with Application
by Muhammad Muddassar, Adil Jhangeer, Nasir Siddiqui, Malik Sajjad Mehmood, Liaqat Khan and Tahira Jabeen
Axioms 2025, 14(10), 728; https://doi.org/10.3390/axioms14100728 - 26 Sep 2025
Viewed by 680
Abstract
We introduce the generalized fractional-order Dirac delta distribution δGFODDF, defined by applying the generalized fractional derivative (GFD) operator to the Heaviside function. This construction extends the classical Dirac delta to non-integer orders, allowing modeling of systems with memory and non-local effects. [...] Read more.
We introduce the generalized fractional-order Dirac delta distribution δGFODDF, defined by applying the generalized fractional derivative (GFD) operator to the Heaviside function. This construction extends the classical Dirac delta to non-integer orders, allowing modeling of systems with memory and non-local effects. We establish fundamental properties—including shifting, scaling, evenness, derivative, and convolution—within a rigorous distributional framework and present explicit proofs. Applications are demonstrated by solving linear fractional differential equations and by modeling drug release with fractional kinetics, where the new delta captures impulse responses with long-term memory. Numerical illustrations confirm that δGFODDF reduces to the classical delta when η=1, while providing additional flexibility for 0<η<1. These results show that δGFODDF is a powerful tool for fractional-order analysis in mathematics, physics, and biomedical engineering. Full article
(This article belongs to the Special Issue Special Functions and Related Topics, 2nd Edition)
Show Figures

Figure 1

15 pages, 6383 KB  
Article
Temperature-Dependent Transport of Photoinduced Charge Carriers Across a Single-Walled Carbon Nanotube Film/Si Interface
by Lizaveta A. Dronina, Aleksander L. Danilyuk, Nikolai G. Kovalchuk, Evgenii V. Lutsenko, Aleksander V. Danilchyk and Serghej L. Prischepa
Materials 2025, 18(19), 4437; https://doi.org/10.3390/ma18194437 - 23 Sep 2025
Viewed by 557
Abstract
This study investigates the effect of temperature on the performance of the single-walled carbon nanotube (SWCNT) film/Si photodetector. Specifically, the photocurrent across a SWCNT/Si heterojunction when illuminated with light of 632.8 nm wavelength of different powers was studied in detail in a wide [...] Read more.
This study investigates the effect of temperature on the performance of the single-walled carbon nanotube (SWCNT) film/Si photodetector. Specifically, the photocurrent across a SWCNT/Si heterojunction when illuminated with light of 632.8 nm wavelength of different powers was studied in detail in a wide temperature range, from 20 to 300 K. The objective was to determine the parameters of the heterojunction, which is inherently inhomogeneous, and to identify the main ones that determine the optoelectronic figures of merit of a photodetector based on it. The barrier height and its temperature dependence were determined within the framework of the theory of thermionic emission, taking into account the non-uniform distribution of the barrier height over the heterojunction area. The parameters of the heterojunction and SWCNT/Si interface and their temperature dependences were calculated based on the known temperature dependences of the concentration of charge carriers and ionized impurities in Si using the Poisson equation based on Fermi–Dirac statistics. The obtained results indicate the importance of interplay between the effects of reducing the barrier height and the processes of decreasing the separation efficiency of nonequilibrium charge carriers and increasing the rate of their recombination. Full article
Show Figures

Figure 1

17 pages, 2665 KB  
Article
Testing CCC+TL Cosmology with Galaxy Rotation Curves
by Rajendra P. Gupta
Galaxies 2025, 13(5), 108; https://doi.org/10.3390/galaxies13050108 - 12 Sep 2025
Cited by 3 | Viewed by 12875
Abstract
This paper aims to explore whether astrophysical observations, primarily galaxy rotation curves, result from covarying coupling constants (CCC) rather than from dark matter. We have shown in earlier papers that cosmological observations, such as supernovae type 1a (Pantheon+), the small size of galaxies [...] Read more.
This paper aims to explore whether astrophysical observations, primarily galaxy rotation curves, result from covarying coupling constants (CCC) rather than from dark matter. We have shown in earlier papers that cosmological observations, such as supernovae type 1a (Pantheon+), the small size of galaxies at cosmic dawn, baryon acoustic oscillations (BAO), the sound horizon in the cosmic microwave background (CMB), and time dilation effect, can be easily accounted for without requiring dark energy and dark matter when coupling constants are permitted to evolve in an expanding Universe, as predicted by Dirac, and the redshift is considered jointly due to the Universe’s expansion and Zwicky’s tired light (TL) effect. Here, we show that the CCC parameter α is responsible for generating the illusion of dark matter and dark energy, which we call α-matter and α-energy, and is influenced by the baryonic matter density distribution. While cosmologically α is a constant determined for the homogenous and isotropic Universe, e.g., by fitting Pantheon+ data, it can vary locally due to the extreme anisotropy of the matter distribution. Thus, in high baryonic density regions, one expects α-matter and α-energy densities to be relatively low and vice versa. We present its application to a few galaxy rotation curves from the SPARC database and find the results promising. Full article
(This article belongs to the Special Issue Alternative Interpretations of Observed Galactic Behaviors)
Show Figures

Figure 1

23 pages, 1585 KB  
Article
The Key Role of Thermal Relaxation Time on the Improved Generalized Bioheat Equation: Analytical Versus Simulated Numerical Approach
by Alexandra Maria Isabel Trefilov, Mihai Oane and Liviu Duta
Materials 2025, 18(15), 3524; https://doi.org/10.3390/ma18153524 - 27 Jul 2025
Cited by 1 | Viewed by 2097
Abstract
The Pennes bioheat equation is the most widely used model for describing heat transfer in living tissue during thermal exposure. It is derived from the classical Fourier law of heat conduction and assumes energy exchange between blood vessels and surrounding tissues. The literature [...] Read more.
The Pennes bioheat equation is the most widely used model for describing heat transfer in living tissue during thermal exposure. It is derived from the classical Fourier law of heat conduction and assumes energy exchange between blood vessels and surrounding tissues. The literature presents various numerical methods for solving the bioheat equation, with exact solutions developed for different boundary conditions and geometries. However, analytical models based on this framework are rarely reported. This study aims to develop an analytical three-dimensional model using MATHEMATICA software, with subsequent mathematical validation performed through COMSOL simulations, to characterize heat transfer in biological tissues induced by laser irradiation under various therapeutic conditions. The objective is to refine the conventional bioheat equation by introducing three key improvements: (a) incorporating a non-Fourier framework for the Pennes equation, thereby accounting for the relaxation time in thermal response; (b) integrating Dirac functions and the telegraph equation into the bioheat model to simulate localized point heating of diseased tissue; and (c) deriving a closed-form analytical solution for the Pennes equation in both its classical (Fourier-based) and improved (non-Fourier-based) formulations. This paper investigates the nuanced relationship between the relaxation time parameter in the telegraph equation and the thermal relaxation time employed in the bioheat transfer equation. Considering all these aspects, the optimal thermal relaxation time determined for these simulations was 1.16 s, while the investigated thermal exposure time ranged from 0.01 s to 120 s. This study introduces a generalized version of the model, providing a more realistic representation of heat exchange between biological tissue and blood flow by accounting for non-uniform temperature distribution. It is important to note that a reasonable agreement was observed between the two modeling approaches: analytical (MATHEMATICA) and numerical (COMSOL) simulations. As a result, this research paves the way for advancements in laser-based medical treatments and thermal therapies, ultimately contributing to more optimized therapeutic outcomes. Full article
Show Figures

Figure 1

14 pages, 3868 KB  
Article
Analytical Implementation of Electron–Phonon Scattering in a Schottky Barrier CNTFET Model
by Ibrahim L. Abdalla, Fatma A. Matter, Ahmed A. Afifi, Mohamed I. Ibrahem, Hesham F. A. Hamed and Eslam S. El-Mokadem
J. Low Power Electron. Appl. 2025, 15(2), 28; https://doi.org/10.3390/jlpea15020028 - 2 May 2025
Viewed by 1009
Abstract
This paper elaborates on the proposal of a new analytical model for a non-ballistic transport scenario for Schottky barrier carbon nanotube field effect transistors (SB-CNTFETs). The non-ballistic transport scenario depends on incorporating the effects of acoustic phonon (A-Ph) and optical phonon (O-Ph) electron [...] Read more.
This paper elaborates on the proposal of a new analytical model for a non-ballistic transport scenario for Schottky barrier carbon nanotube field effect transistors (SB-CNTFETs). The non-ballistic transport scenario depends on incorporating the effects of acoustic phonon (A-Ph) and optical phonon (O-Ph) electron scattering mechanisms. The analytical model is rooted in the solution of the Landauer integral equation, which is modified to account for non-ballistic transport through a set of approximations applied to the Wentzel–Kramers–Brillouin (WKB) transmission probability and the Fermi–Dirac distribution function. Our proposed model was simulated to evaluate the total current and transconductance, considering scenarios both with and without the electron–phonon scattering effect. The simulation results revealed a substantial decrease of approximately 78.6% in both total current and transconductance due to electron–phonon scattering. In addition, we investigated the impact of acoustic phonon (A-Ph) and optical phonon (O-Ph) scattering on the drain current under various conditions, including different temperatures, gate lengths, and nanotube chiralities. This comprehensive analysis helps in understanding how these parameters influence device performance. Compared with experimental data, the model’s simulation results demonstrate a high degree of agreement. Furthermore, our fully analytical model achieves a significantly faster runtime, clocking in at around 2.726 s. This validation underscores the model’s accuracy and reliability in predicting the behavior of SB-CNTFETs under non-ballistic conditions. Full article
Show Figures

Figure 1

18 pages, 5982 KB  
Article
Relativistic Atomic Structure Calculations for the Study of Electron Dynamics of Sr+ Ion Confined Inside Fullerene
by Biplab Goswami, Mobassir Ahmad, Jobin Jose and Raghavan K. Easwaran
Atoms 2025, 13(4), 36; https://doi.org/10.3390/atoms13040036 - 18 Apr 2025
Viewed by 947
Abstract
This article presents the maiden investigation of the electronic structural properties of the Sr+ ion confined inside fullerene. The Dirac equations are solved to calculate the energy levels, probability distributions, etc. for various confinement depths of the Gaussian Annular Square Well (GASW) [...] Read more.
This article presents the maiden investigation of the electronic structural properties of the Sr+ ion confined inside fullerene. The Dirac equations are solved to calculate the energy levels, probability distributions, etc. for various confinement depths of the Gaussian Annular Square Well (GASW) potential using the Multi-Configuration Dirac Hartree–Fock (MCDHF) formalism. The wavelengths, transition probabilities, and oscillator strengths are reported for the 5S1/25P1/2 (D1 line) and 5S1/25P3/2 (D2 line) transitions of the encapsulated ion. We also estimate variations in the line intensity ratio, electron density, Coulomb coupling parameter, etc. A suggested direction for the calculation of electron impact ionization cross-section using the binary-encounter Bethe (BEB) model with the present data is also given. Full article
Show Figures

Figure 1

42 pages, 4959 KB  
Article
Fixed Points of Self-Mappings with Jumping Effects: Application to Stability of a Class of Impulsive Dynamic Systems
by Manuel De la Sen, Asier Ibeas, Aitor J. Garrido and Izaskun Garrido
Mathematics 2025, 13(7), 1157; https://doi.org/10.3390/math13071157 - 31 Mar 2025
Cited by 2 | Viewed by 532
Abstract
This paper studies the boundedness and convergence properties of the sequences generated by strict and weak contractions in metric spaces, as well as their fixed points, in the event that finite jumps can take place from the left to the right limits of [...] Read more.
This paper studies the boundedness and convergence properties of the sequences generated by strict and weak contractions in metric spaces, as well as their fixed points, in the event that finite jumps can take place from the left to the right limits of the successive values of the generated sequences. An application is devoted to the stabilization and the asymptotic stabilization of impulsive linear time-varying dynamic systems of the n-th order. The impulses are formalized based on the theory of Dirac distributions. Several results are stated and proved, namely, (a) for the case when the time derivative of the differential system is impulsive at isolated time instants; (b) for the case when the matrix function of dynamics is almost everywhere differentiable with impulsive effects at isolated time instants; and (c) for the case of combinations of the two above effects, which can either jointly take place at the same time instants or at distinct time instants. In the first case, finite discontinuities of the first order in the solution are generated; that is, equivalently, finite jumps take place between the corresponding left and right limits of the solution at the impulsive time instants. The second case generates, equivalently, finite jumps in the first derivative of the solution with respect to time from their left to their right limits at the corresponding impulsive time instants. Finally, the third case exhibits both of the above effects in a combined way. Full article
(This article belongs to the Special Issue Fixed Point, Optimization, and Applications: 3rd Edition)
Show Figures

Figure 1

15 pages, 3356 KB  
Article
Symmetry of the Non-Analytic Solution of the Dirac Equation Inside the Proton of Hydrogen Atoms
by Eugene Oks
Symmetry 2025, 17(4), 517; https://doi.org/10.3390/sym17040517 - 29 Mar 2025
Cited by 3 | Viewed by 675
Abstract
In one of our previous papers, we obtained a general class of potentials inside the nucleus, such that the singular solution of the Dirac equation for the S-states of hydrogen atoms outside the nucleus can be matched with the corresponding regular solution inside [...] Read more.
In one of our previous papers, we obtained a general class of potentials inside the nucleus, such that the singular solution of the Dirac equation for the S-states of hydrogen atoms outside the nucleus can be matched with the corresponding regular solution inside the nucleus (the proton) at the boundary. The experimental charge density distribution inside the proton generates a particular case of such potentials inside the proton. In this way, the existence of the second kind of hydrogen atom was predicted: atoms having only S-states. This theoretical prediction was then evidenced by several different types of atomic experiments and by astrophysical observations. In the present paper we provide the following new results. First, we show that the solution of the Dirac equation inside the proton can be (and is) found within the class of functions that are non-analytic at r = 0—in distinction to the traditional practice of limiting the search for the solution by the class of analytic functions. We demonstrate that this non-analytic solution inside the proton can be matched at the proton boundary R with the corresponding singular solution outside the proton regardless of the particular value of R. Second, we show that the interior and exterior solutions are scale-invariant with respect to the change of the boundary R between these two regions. Such invariance is the manifestation of a new symmetry—in addition to the previously discussed symmetries of the Dirac equation in the literature. Third, based on the new, more accurate results for the wave function inside and outside the proton, we revisit the resolution of the neutron lifetime puzzle initially outlined in our previous papers. On the basis of the more accurate calculations, we reconfirm that (A) the 2-body decay of neutrons produces overwhelmingly the SFHA (rather than the usual hydrogen atoms) and (B) the strengthened-in-this-way branching ratio for the 2-body decay of neutrons (compared to the 3-body decay) is in excellent agreement with the branching ratio required for reconciling the neutron lifetime values measured in the trap and beam experiments, so that the neutron lifetime puzzle seems to be indeed resolved in this way. Full article
(This article belongs to the Section Physics)
Show Figures

Figure 1

34 pages, 173826 KB  
Article
Application of the Hill-Wheeler Formula in Statistical Models of Nuclear Fission: A Statistical–Mechanical Approach Based on Similarities with Semiconductor Physics
by Hirokazu Maruyama
Entropy 2025, 27(3), 227; https://doi.org/10.3390/e27030227 - 22 Feb 2025
Cited by 1 | Viewed by 2382
Abstract
This study proposes a novel theoretical approach to understanding the statistical–mechanical similarities between nuclear fission phenomena and semiconductor physics. Using the Hill–Wheeler formula as a quantum mechanical distribution function and establishing its correspondence with the Fermi–Dirac distribution function, we analyzed nuclear fission processes [...] Read more.
This study proposes a novel theoretical approach to understanding the statistical–mechanical similarities between nuclear fission phenomena and semiconductor physics. Using the Hill–Wheeler formula as a quantum mechanical distribution function and establishing its correspondence with the Fermi–Dirac distribution function, we analyzed nuclear fission processes for nine nuclides (232Th, 233U, 235U, 238U, 237Np, 239Pu, 240Pu, 242Pu, 241Am) using JENDL-5.0 data. Full article
(This article belongs to the Section Statistical Physics)
Show Figures

Figure 1

18 pages, 3323 KB  
Article
Curvature-Induced Electrical Properties of Two-Dimensional Electrons on Carbon Nanotube Springs
by Jakkapong Charoenpakdee, Artit Hutem and Sutee Boonchui
Symmetry 2025, 17(3), 316; https://doi.org/10.3390/sym17030316 - 20 Feb 2025
Viewed by 928
Abstract
This study investigates the mechanisms driving current generation, power output, and charge storage in carbon nanotube springs under mechanical strain, addressing the gap between experimental observations and theoretical modeling, particularly in asymmetric electrical responses. Leveraging the Dirac equation in curved spacetime, we analyze [...] Read more.
This study investigates the mechanisms driving current generation, power output, and charge storage in carbon nanotube springs under mechanical strain, addressing the gap between experimental observations and theoretical modeling, particularly in asymmetric electrical responses. Leveraging the Dirac equation in curved spacetime, we analyze how curvature-induced scalar and pseudo-gauge potentials shape two-dimensional electron gases confined to carbon nanotube springs. We incorporate applied mechanical strain by introducing time-dependent variations in the Lamé coefficient and curvature parameters, enabling the analysis of mechanical deformation’s influence on electrical properties. Our model clarifies asymmetric electrical responses during stretching and compression cycles and explains how strain-dependent power outputs arise from the interplay between mechanical deformation and curvature effects. Additionally, we demonstrate mechanisms by which strain influences charge redistribution within the helically coiled structure. We develop a new equivalent circuit model linking mechanical deformation directly to electronic behavior, bridging theoretical physics with practical electromechanical applications. The analysis reveals asymmetric time-dependent currents, enhanced power output during stretching, and strain-dependent charge redistribution. Fourier analysis uncovers dominant frequency components (primary at Ω, harmonic at 2Ω) explaining these asymmetries. Theoretical investigations explain the mechanisms behind the curvature-driven time-dependent current source, the frequency-dependent peak power, the characteristics of open-circuit voltage with strain, and the asymmetric electrical property response under applied strain as the generated current and the charge distribution within the carbon nanotube springs. These findings highlight carbon nanotube springs applied to energy harvesting, wearable electronics, and sensing technologies. Full article
(This article belongs to the Section Physics)
Show Figures

Figure 1

20 pages, 7127 KB  
Article
Cross-Attention Adaptive Feature Pyramid Network with Uncertainty Boundary Modeling for Mass Detection in Digital Breast Tomosynthesis
by Xinyu Ma, Haotian Sun, Gang Yuan, Yufei Tang, Jie Liu, Shuangqing Chen and Jian Zheng
Bioengineering 2025, 12(2), 196; https://doi.org/10.3390/bioengineering12020196 - 17 Feb 2025
Cited by 1 | Viewed by 1767
Abstract
Computer-aided detection (CADe) of masses in digital breast tomosynthesis (DBT) is crucial for early breast cancer diagnosis. However, the variability in the size and morphology of breast masses and their resemblance to surrounding tissues present significant challenges. Current CNN-based CADe methods, particularly those [...] Read more.
Computer-aided detection (CADe) of masses in digital breast tomosynthesis (DBT) is crucial for early breast cancer diagnosis. However, the variability in the size and morphology of breast masses and their resemblance to surrounding tissues present significant challenges. Current CNN-based CADe methods, particularly those that use Feature Pyramid Networks (FPN), often fail to integrate multi-scale information effectively and struggle to handle dense glandular tissue with high-density or iso-density mass lesions due to the unidirectional integration and progressive attenuation of features, leading to high false positive rates. Additionally, the commonly indistinct boundaries of breast masses introduce uncertainty in boundary localization, which makes traditional Dirac boundary modeling insufficient for precise boundary regression. To address these issues, we propose the CU-Net network, which efficiently fuses multi-scale features and accurately models blurred boundaries. Specifically, the CU-Net introduces the Cross-Attention Adaptive Feature Pyramid Network (CA-FPN), which enhances the effectiveness and accuracy of feature interactions through a cross-attention mechanism to capture global correlations across multi-scale feature maps. Simultaneously, the Breast Density Perceptual Module (BDPM) incorporates breast density information to weight intermediate features, thereby improving the network’s focus on dense breast regions susceptible to false positives. For blurred mass boundaries, we introduce Uncertainty Boundary Modeling (UBM) to model the positional distribution function of predicted bounding boxes for masses with uncertain boundaries. In comparative experiments on an in-house clinical DBT dataset and the BCS-DBT dataset, the proposed method achieved sensitivities of 89.68% and 72.73% at 2 false positives per DBT volume (FPs/DBT), respectively, significantly outperforming existing state-of-the-art detection methods. This method offers clinicians rapid, accurate, and objective diagnostic assistance, demonstrating substantial potential for clinical application. Full article
(This article belongs to the Section Biosignal Processing)
Show Figures

Figure 1

21 pages, 751 KB  
Article
Operational Calculus of the Quantum Statistical Fermi–Dirac and Bose–Einstein Functions Leading to the Novel Fractional Kinetic Equations
by Asifa Tassaddiq, Carlo Cattani, Rabab Alharbi, Ruhaila Md Kasmani and Sania Qureshi
Fractal Fract. 2024, 8(12), 749; https://doi.org/10.3390/fractalfract8120749 - 19 Dec 2024
Cited by 8 | Viewed by 1378
Abstract
The sun is a fundamental element of the natural environment, and kinetic equations are crucial mathematical models for determining how quickly the chemical composition of a star like the sun is changing. Taking motivation from these facts, we develop and solve a novel [...] Read more.
The sun is a fundamental element of the natural environment, and kinetic equations are crucial mathematical models for determining how quickly the chemical composition of a star like the sun is changing. Taking motivation from these facts, we develop and solve a novel fractional kinetic equation containing Fermi–Dirac (FD) and Bose–Einstein (BE) functions. Several distributional properties of these functions and their proposed new generalizations are investigated in this article. In fact, it is proved that these functions belong to distribution space D while their Fourier transforms belong to Z. Fourier and Laplace transforms of these functions are computed by using their distributional representation. Thanks to them, we can compute various new fractional calculus formulae and a new relation involving the Fox–Wright function. Some fractional kinetic equations containing the FD and BE functions are also formulated and solved. Full article
10 pages, 958 KB  
Article
A Unified Semiconductor-Device-Physics-Based Ballistic Model for the Threshold Voltage of Modern Multiple-Gate Metal-Oxide-Semiconductor Field-Effect-Transistors
by Te-Kuang Chiang
Electron. Mater. 2024, 5(4), 321-330; https://doi.org/10.3390/electronicmat5040020 - 13 Dec 2024
Cited by 1 | Viewed by 2351
Abstract
Based on the minimum conduction band edge caused by the minimum channel potential resulting from the quasi-3D scaling theory and the 3D density of state (DOS) accompanied by the Fermi–Dirac distribution function on the source and drain sides, a unified semiconductor-device-physics-based ballistic model [...] Read more.
Based on the minimum conduction band edge caused by the minimum channel potential resulting from the quasi-3D scaling theory and the 3D density of state (DOS) accompanied by the Fermi–Dirac distribution function on the source and drain sides, a unified semiconductor-device-physics-based ballistic model is developed for the threshold voltage of modern multiple-gate (MG) transistors, including FinFET, Ω-gate MOSFET, and nanosheet (NS) MOSFET. It is shown that the thin silicon, thin gate oxide, and high work function will alleviate ballistic effects and resist threshold voltage degradation. In addition, as the device dimension is further reduced to give rise to the 2D/1D DOS, the lowest conduction band edge is increased to resist threshold voltage degradation. The nanosheet MOSFET exhibits the largest threshold voltage among the three transistors due to the smallest minimum conduction band edge caused by the quasi-3D minimum channel potential. When the n-type MOSFET (N-FET) is compared to the P-type MOSFET (P-FET), the P-FET shows more threshold voltage because the hole has a more effective mass than the electron. Full article
(This article belongs to the Special Issue Metal Oxide Semiconductors for Electronic Applications)
Show Figures

Figure 1

Back to TopTop