Temperature-Dependent Transport of Photoinduced Charge Carriers Across a Single-Walled Carbon Nanotube Film/Si Interface
Abstract
1. Introduction
2. Samples
3. Results
4. Discussion
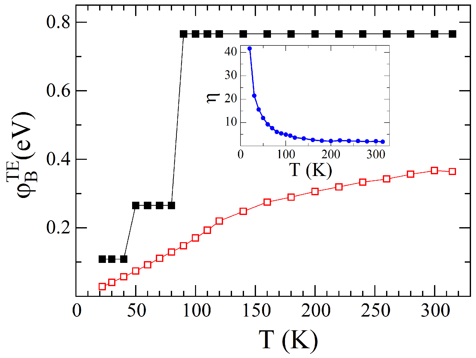
4.1. Temperature Dependence of the SB Height
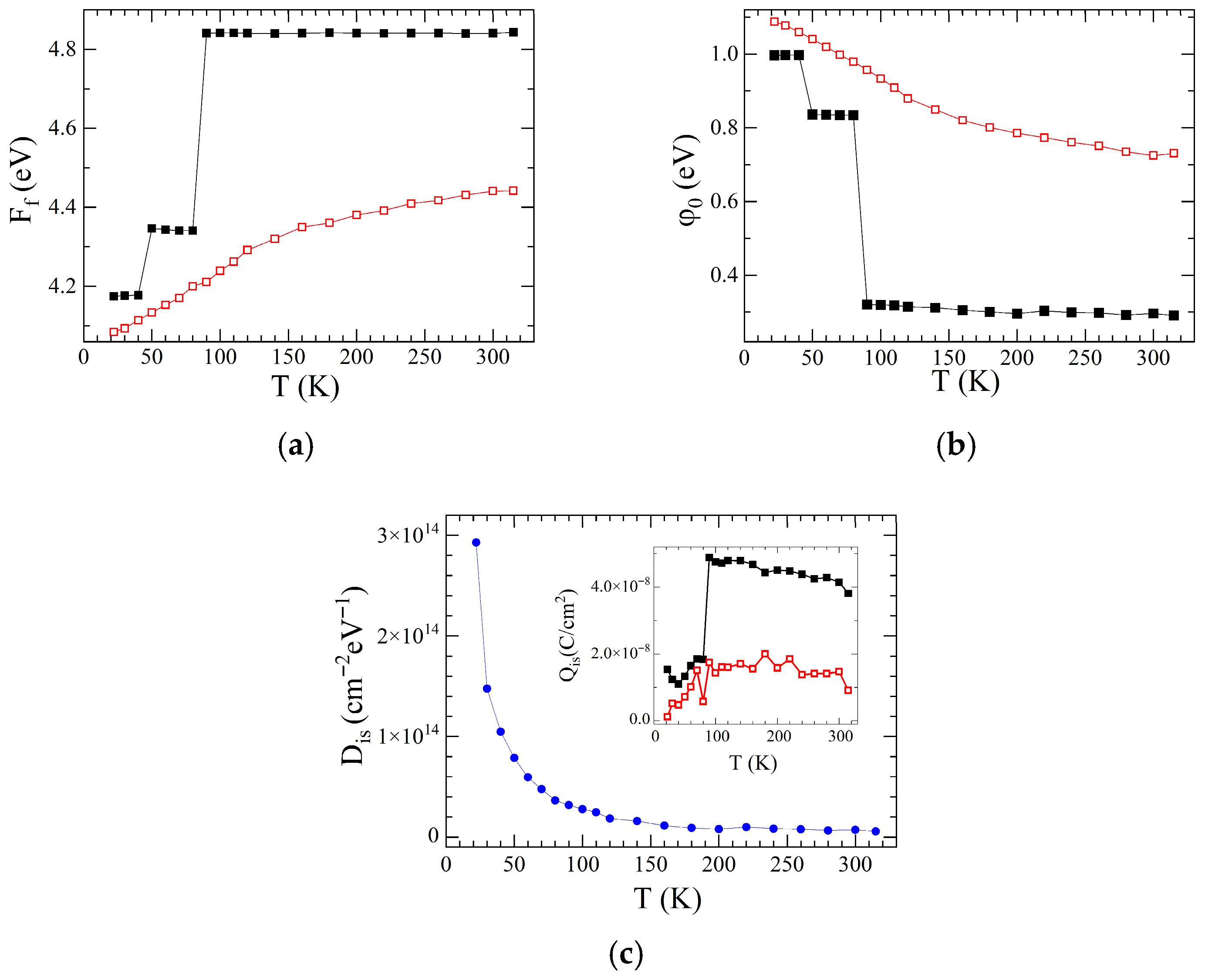
4.2. Main Parameters of the SWCNT/Si Heterojunction and Their Temperature Dependencies
4.3. The Temperature Dependence of the Photocurrent Across the SWCNT/Si Heterojunction
5. Conclusions
Author Contributions
Funding
Institutional Review Board Statement
Informed Consent Statement
Data Availability Statement
Conflicts of Interest
References
- Shekhar, S.; Bogaerts, W.; Chrostowski, L.; Bowers, J.E.; Hochberg, M.; Soref, R.; Shastri, B.J. Roadmapping the next generation of silicon photonics. Nat. Commun. 2024, 15, 751. [Google Scholar] [CrossRef]
- Wu, L.; Ji, Y.; Quyang, B.; Li, Z.; Yang, Y. Low-temperature induced enhancement of photoelectric performance in semiconducting nanomaterials. Nanomaterials 2021, 11, 1131. [Google Scholar] [CrossRef]
- Salvato, M.; Scagliotti, M.; De Crescenzi, M.; Crivellari, M.; Prosposito, P.; Cacciotti, I.; Castrucci, P. Single-walled carbon nanotube/Si heterojunction for high responsivity photodetectors. Nanotechnology 2017, 28, 435201. [Google Scholar] [CrossRef]
- Scagliotti, M.; Salvato, M.; Frezza, F.; Catone, D.; Di Mario, L.; Boscardin, M.; De Crescenzi, M.; Castrucci, P. Carbon nanotube film/silicon heterojunction photodetector for new cutting-edge technological devices. Appl. Sci. 2021, 11, 606. [Google Scholar] [CrossRef]
- Chen, C.; Zhao, Y.M.; Yu, H.L.; Jiao, X.Y.; Hu, X.G.; Li, X.; Hou, P.X.; Liu, C.; Cheng, H.M. High-performance infrared photodetector based on single-wall carbon nanotube films. Carbon 2023, 206, 150–156. [Google Scholar] [CrossRef]
- Cai, X.; Wang, S.; Peng, L.-M. Recent progress of photodetector based on carbon nanotube film and application in optoelectronic integration. Nano. Res. En. 2023, 2, e9120058. [Google Scholar] [CrossRef]
- Capista, D.; Passacantando, M.; Lozzi, L.; Faella, E.; Giubileo, F.; Di Bartolomeo, A. Easy fabrication of performant SWCNT-Si photodetector. Electronics 2022, 11, 271. [Google Scholar] [CrossRef]
- Dronina, L.A.; Kovalchuk, N.G.; Komissarov, I.V.; Danilyuk, A.L.; Labunov, V.A.; Lutsenko, E.V.; Danilchyk, A.V.; Gaiduk, P.I.; Sobolewski, R.; Salvato, M.; et al. Properties of single-walled carbon nanotube film/Si heterojunctions fabricated in situ. Appl. Nanosci. 2025, 15, 2. [Google Scholar] [CrossRef]
- Castrucci, P. Carbon nanotube/silicon hybrid heterojunctions for photovoltaic devices. Adv. Nano Res. 2014, 2, 23–56. [Google Scholar] [CrossRef]
- Jiang, S.; Hou, P.-X.; Liu, C.; Cheng, H.-M. High-performance single-wall carbon nanotube transparent conductive films. J. Mater. Sci. Technol. 2019, 35, 2447–2462. [Google Scholar] [CrossRef]
- Dürkop, T.; Getty, S.A.; Cobas, E.; Fuhrer, M.S. Extraordinary mobility in semiconducting carbon nanotubes. Nano Lett. 2004, 4, 35–39. [Google Scholar] [CrossRef]
- Kshirsagar, C.; Li, H.; Kopley, T.E.; Banerjee, K. Accurate intrinsic gate capacitance model for carbon nanotube-array based FETs considering screening effect. IEEE Electron Device Lett. 2008, 29, 1408–1411. [Google Scholar] [CrossRef]
- Dumitrica, T.; Hua, M.; Yakobson, B.I. Symmetry-, time-, and temperature-dependent strength of carbon nanotubes. Proc. Natl. Acad. Sci. USA 2006, 103, 6105–6109. [Google Scholar] [CrossRef]
- Wei, X.L.; Wang, M.S.; Bando, Y.; Golberg, D. Thermal stability of carbon nanotubes probed by anchored tungsten nanoparticles. Sci. Technol. Adv. Mater. 2011, 12, 044605. [Google Scholar] [CrossRef] [PubMed]
- Xia, X.; Zhou, S.; Wang, Y.; Zhang, Z.; Wang, Z.-H.; Wu, A.-P.; Zhang, H.-W.; Xou, P.-X.; Liu, C.; Cheng, H.-M. Emerging optoelectronic architectures in carbon nanotube photodetector technologies. Fund. Res. 2025, 5, 1153–1168. [Google Scholar] [CrossRef]
- Capista, D.; Lozzi, L.; Di Bartolomeo, A.; Giubileo, F.; Passacantando, M. SWCNT-Si photodetector with voltage-dependent active surface. Nano Express 2024, 5, 015004. [Google Scholar] [CrossRef]
- Zhao, Y.-M.; Hu, X.G.; Chen, C. Plasmon-enhanced ultra-high photoresponse of single-wall carbon nanotube/copper/silicon near-infrared photodetectors. Nano Res. 2024, 17, 5930–5936. [Google Scholar] [CrossRef]
- Liu, Q.; Chen, J. High-Performance Ag NPs/MoS2 QDs/SWCNTs/Si Near-Infrared Photodetector. IEEE Sens. J. 2025, 25, 6283–6289. [Google Scholar] [CrossRef]
- Zhao, Y.-M.; Xian-Gang Hu, X.-G.; Shi, C.; Ding, W.-T.; Hou, P.-X.; Chang Liu, C.; Hui-Ming Cheng, H.-M. A high-performance photodetector based on small-bundled single-wall carbon nanotube film/silicon heterojunctions. J. Mater. Chem. A 2022, 10, 16986–16994. [Google Scholar] [CrossRef]
- Li, Y.T.; Sun, K.; Luo, D.; Wang, Y.M.; Han, L.; Liu, H.; Guo, X.L.; Yu, D.L.; Ren, T.L. A review on low-dimensional novel optoelectronic devices based on carbon nanotubes. AIP Adv. 2021, 11, 110701. [Google Scholar] [CrossRef]
- Tung, R.T. The physics and chemistry of the Schottky barrier height. Appl. Phys. Rev. 2014, 1, 011304. [Google Scholar] [CrossRef]
- Dronina, L.A.; Kovalchuk, N.G.; Danilyuk, A.L.; Lutsenko, E.V.; Danilchyk, A.V.; Prischepa, S.L. Temperature-dependent parameters of spatially inhomogeneous heterojunctions single-walled carbon nanotubes/Si. J. Phys. D Appl. Phys. 2025, 58, 195301. [Google Scholar] [CrossRef]
- Sze, S.M.; Ng, K.K. Physics of Semiconductor Devices, 3rd ed.; John Wiley & Sons: Hoboken, NJ, USA, 2007. [Google Scholar] [CrossRef]
- Cheung, S.K.; Cheung, N.W. Extraction of Schottky diode parameters from forward current-voltage characteristics. Appl. Phys. Lett. 1986, 49, 85–87. [Google Scholar] [CrossRef]
- An, Y.; Behnam, A.; Pop, E.; Bosman, G.; Ural, A. Forward-bias diode parameters, electronic noise, and photoresponse of graphene/silicon Schottky junctions with an interfacial native oxide layer. J. Appl. Phys. 2015, 118, 114307. [Google Scholar] [CrossRef]
- Werner, J.H.; Güttler, H.H. Barrier inhomogeneities at Schottky contacts. J. Appl. Phys. 1991, 69, 1522–1533. [Google Scholar] [CrossRef]
- Cao, J.; Zou, Y.; Gong, X.; Gou, P.; Qian, J.; Qian, R.; An, Z. Double-layer heterostructure of graphene/carbon nanotube films for highly efficient broadband photodetector. Appl. Phys. Lett. 2018, 113, 061112. [Google Scholar] [CrossRef]
- Liu, P.; Yang, S.-E.; Chen, Y.; Ma, Y.; Liu, S.; Fang, X.; Fan, F.; Han, J. Carbon nanotube-based heterostructures for high-performance photodetectors: Recent progress and future prospects. Ceram. Int. 2020, 46, 19655–19663. [Google Scholar] [CrossRef]
- Pelella, A.; Capista, D.; Passacantando, M.; Faella, E.; Grillo, A.; Guibileo, F.; Martuciello, N.; Di Bartolomeo, A. A self-powered CNT-Si photodetector with tuneable photocurrent. Adv. Electron. Mater. 2023, 9, 2200919. [Google Scholar] [CrossRef]
- Huang, Z.; Zhang, Z.; Chang, H.; Chang, Y.; Liu, H.; Sun, B. Temperature-dependent electrical properties of Schottky barrier diodes based on carbon nanotube arrays. J. Mater. Sci. Mater. Electron. 2023, 34, 1046. [Google Scholar] [CrossRef]
- Komissarov, I.; Shaman, Y.; Fedotova, J.; Shulitski, B.; Zavadsky, S.; Kasiuk, J.; Karoza, A.; Pyatlitski, A.; Zhigulin, D.; Aleshkevych, P.; et al. Structural and magnetic investigation of single wall carbon nanotube films with iron based nanoparticles inclusions synthesized by CVD technique from ferrocene/ethanol solution. Phys. Stat. Sol. C 2013, 10, 1176–1179. [Google Scholar] [CrossRef]
- Biber, M. Low-temperature current–voltage characteristics of MIS Cu/n-GaAs and inhomogeneous Cu/n-GaAs Schottky diodes. Physica B 2003, 325, 138–148. [Google Scholar] [CrossRef]
- Chand, S.; Kumar, J. On the existence of a distribution of barrier heights in Pd2Si/Si Schottky diodes. J. Appl. Phys. 1996, 80, 288–294. [Google Scholar] [CrossRef]
- Osvald, J. New aspects of the temperature dependence of the current in inhomogeneous Schottky diodes. Sem. Sci. Technol. 2003, 18, L24–L26. [Google Scholar] [CrossRef]
- Sullivan, J.P.; Tung, R.T.; Pinto, M.R.; Graham, W.R. Electron transport of inhomogeneous Schottky barriers: A numerical study. J. Appl. Phys. 1991, 70, 7403–7424. [Google Scholar] [CrossRef]
- Splith, D.; Müller, S.; von Wenckstern, H.; Grundmann, M. Numerical modeling of Schottky barrier diode characteristics. Phys. Sol. Solidi A 2021, 218, 2100121. [Google Scholar] [CrossRef]
- Cowley, A.M.; Sze, S.M. Surface states and barrier height of metal-semiconductor systems. J. Appl. Phys. 1965, 36, 3212–3220. [Google Scholar] [CrossRef]
- Nguyen, H.T.; Rougieux, F.E.; Mitchell, B.; Macdonald, D. Temperature dependence of the band-band absorption coefficient in crystalline silicon from photoluminescence. J. Appl. Phys. 2014, 115, 043710. [Google Scholar] [CrossRef]
- Poruba, A.; Springer, J.; Mullerova, L.; Beitlerova, A.; Vaněček, M.; Wyrsch, N.; Shah, A. Temperature dependence of the optical absorption coefficient of microcrystalline silicon. J. NonCryst. Solids 2004, 338–340, 222–227. [Google Scholar] [CrossRef][Green Version]
- Jellison, G.E., Jr.; Modine, F.A. Optical absorption of silicon between 1.6 and 4.7 eV at elevated temperatures. Appl. Phys. Lett. 1982, 41, 180–182. [Google Scholar] [CrossRef]
- Franta, D.; Dubroka, A.; Wang, C.; Giglia, F.; Vohánka, J.; Franta, P.; Ohlídal, I. Temperature-dependent dispersion model of float zone crystalline silicon. Appl. Surf. Sci. 2017, 421, 405–419. [Google Scholar] [CrossRef]
- Danilyuk, A.L.; Sidorova, T.N.; Borisenko, V.E.; Hong, W.; Rusli, R.; Lu, C. An enhanced charge carrier separation in a heterojunction solar cell with a metal oxide. Phys. St. Solidi A: Appl. Mater. Sci. 2022, 219, 2100525. [Google Scholar] [CrossRef]
- Sawant, S.V.; Ashwin, W.; Patwardhan, A.W.; Jyeshtharaj, B.; Joshi, J.B.; Dasgupta, K. Boron doped carbon nanotubes: Synthesis, characterization and emerging applications—A review. Chem. Eng. J. 2022, 427, 131616. [Google Scholar] [CrossRef]
- Xiang, Y.; Zhang, L.; Liu, C. Electrical properties of carbon nanotubes: From individual to assemblies. Nanomaterials 2025, 15, 1165. [Google Scholar] [CrossRef]
- Liang, H.; Ma, Y.; Yi, H.; Yao, J. Emerging schemes for advancing 2D material photoconductive-type photodetectors. Materials 2023, 16, 7372. [Google Scholar] [CrossRef] [PubMed]







| Temperature Sub-Range, K | , eV | , eV |
|---|---|---|
| 90–315 | 0.147–0.364 | 0.766 |
| 50–80 | 0.074–0.129 | 0.265 |
| 20–40 | 0.025–0.057 | 0.109 |
Disclaimer/Publisher’s Note: The statements, opinions and data contained in all publications are solely those of the individual author(s) and contributor(s) and not of MDPI and/or the editor(s). MDPI and/or the editor(s) disclaim responsibility for any injury to people or property resulting from any ideas, methods, instructions or products referred to in the content. |
© 2025 by the authors. Licensee MDPI, Basel, Switzerland. This article is an open access article distributed under the terms and conditions of the Creative Commons Attribution (CC BY) license (https://creativecommons.org/licenses/by/4.0/).
Share and Cite
Dronina, L.A.; Danilyuk, A.L.; Kovalchuk, N.G.; Lutsenko, E.V.; Danilchyk, A.V.; Prischepa, S.L. Temperature-Dependent Transport of Photoinduced Charge Carriers Across a Single-Walled Carbon Nanotube Film/Si Interface. Materials 2025, 18, 4437. https://doi.org/10.3390/ma18194437
Dronina LA, Danilyuk AL, Kovalchuk NG, Lutsenko EV, Danilchyk AV, Prischepa SL. Temperature-Dependent Transport of Photoinduced Charge Carriers Across a Single-Walled Carbon Nanotube Film/Si Interface. Materials. 2025; 18(19):4437. https://doi.org/10.3390/ma18194437
Chicago/Turabian StyleDronina, Lizaveta A., Aleksander L. Danilyuk, Nikolai G. Kovalchuk, Evgenii V. Lutsenko, Aleksander V. Danilchyk, and Serghej L. Prischepa. 2025. "Temperature-Dependent Transport of Photoinduced Charge Carriers Across a Single-Walled Carbon Nanotube Film/Si Interface" Materials 18, no. 19: 4437. https://doi.org/10.3390/ma18194437
APA StyleDronina, L. A., Danilyuk, A. L., Kovalchuk, N. G., Lutsenko, E. V., Danilchyk, A. V., & Prischepa, S. L. (2025). Temperature-Dependent Transport of Photoinduced Charge Carriers Across a Single-Walled Carbon Nanotube Film/Si Interface. Materials, 18(19), 4437. https://doi.org/10.3390/ma18194437

