Sign in to use this feature.

Years

Between: -

Subjects

remove_circle_outline
remove_circle_outline
remove_circle_outline
remove_circle_outline
remove_circle_outline
remove_circle_outline
remove_circle_outline

Journals

Article Types

Countries / Regions

Search Results (33)

Search Parameters:
Keywords = Data Distribution Service (DDS)

Order results
Result details
Results per page
Select all
Export citation of selected articles as:
26 pages, 5933 KB  
Article
Optimizing Data Distribution Service Discovery for Swarm Unmanned Aerial Vehicles Through Preloading and Network Awareness
by HyeonGyu Lee, Doyoon Kim and SungTae Moon
Drones 2025, 9(8), 564; https://doi.org/10.3390/drones9080564 - 11 Aug 2025
Viewed by 1644
Abstract
Collaborative unmanned aerial vehicle (UAV) swarm operations using the open-source PX4–ROS2 system have been extensively studied for reconnaissance and autonomous missions. PX4–ROS2 utilizes data distribution service (DDS) middleware to ensure network flexibility and support scalable operations. DDS enables decentralized information exchange through its [...] Read more.
Collaborative unmanned aerial vehicle (UAV) swarm operations using the open-source PX4–ROS2 system have been extensively studied for reconnaissance and autonomous missions. PX4–ROS2 utilizes data distribution service (DDS) middleware to ensure network flexibility and support scalable operations. DDS enables decentralized information exchange through its discovery protocol. However, in dense swarm environments, the default initialization process of this protocol generates considerable communication overhead, which hinders reliable peer detection among UAVs. This study introduces an optimized DDS discovery scheme incorporating two key strategies: a preloading method that embeds known participant data before deployment, and a dynamic network awareness approach that regulates discovery behavior based on real-time connectivity. Integrated into PX4–ROS2, the proposed scheme was assessed through both simulations and real-world testing. Results demonstrate that the optimized discovery process reduced peak packet traffic by over 90% during the initial exchange phase, thereby facilitating more stable and scalable swarm operations in wireless environments. Full article
(This article belongs to the Section Drone Communications)
Show Figures

Figure 1

31 pages, 6206 KB  
Article
High-Redundancy Design and Application of Excitation Systems for Large Hydro-Generator Units Based on ATS and DDS
by Xiaodong Wang, Xiangtian Deng, Xuxin Yue, Haoran Wang, Xiaokun Li and Xuemin He
Electronics 2025, 14(15), 3013; https://doi.org/10.3390/electronics14153013 - 29 Jul 2025
Viewed by 522
Abstract
The large-scale integration of stochastic renewable energy sources necessitates enhanced dynamic balancing capabilities in power systems, positioning hydropower as a critical balancing asset. Conventional excitation systems utilizing hot-standby dual-redundancy configurations remain susceptible to unit shutdown events caused by regulator failures. To mitigate this [...] Read more.
The large-scale integration of stochastic renewable energy sources necessitates enhanced dynamic balancing capabilities in power systems, positioning hydropower as a critical balancing asset. Conventional excitation systems utilizing hot-standby dual-redundancy configurations remain susceptible to unit shutdown events caused by regulator failures. To mitigate this vulnerability, this study proposes a peer-to-peer distributed excitation architecture integrating asynchronous traffic shaping (ATS) and Data Distribution Service (DDS) technologies. This architecture utilizes control channels of equal priority and achieves high redundancy through cross-communication between discrete acquisition and computation modules. This research advances three key contributions: (1) design of a peer-to-peer distributed architectural framework; (2) development of a real-time data interaction methodology combining ATS and DDS, incorporating cross-layer parameter mapping, multi-priority queue scheduling, and congestion control mechanisms; (3) experimental validation of system reliability and redundancy through dynamic simulation. The results confirm the architecture’s operational efficacy, delivering both theoretical foundations and practical frameworks for highly reliable excitation systems. Full article
(This article belongs to the Special Issue Power Electronics in Renewable Systems)
Show Figures

Figure 1

34 pages, 8389 KB  
Article
Real-Time Kubernetes-Based Front-End Processor for Smart Grid
by Taehun Kim, Hojung Kim, SeungKeun Cho, YongSeong Kim, ByungKwen Song and Jincheol Kim
Electronics 2025, 14(12), 2377; https://doi.org/10.3390/electronics14122377 - 10 Jun 2025
Viewed by 1037
Abstract
In Supervisory Control and Data Acquisition (SCADA) systems, central to industrial automation and control systems, the Front-end Processor (FEP) facilitates seamless communication between field control devices and central management systems. As the Industrial Internet of Things (IIoT) and Industry 4.0 centered on the [...] Read more.
In Supervisory Control and Data Acquisition (SCADA) systems, central to industrial automation and control systems, the Front-end Processor (FEP) facilitates seamless communication between field control devices and central management systems. As the Industrial Internet of Things (IIoT) and Industry 4.0 centered on the smart factory paradigm gain traction, conventional FEPs are increasingly showing limitations in various aspects. To address these issues, Data Distribution Service, a real-time communication middleware, and Kubernetes, a container orchestration platform, have garnered attention. However, the effective integration of conventional SCADA protocols, such as DNP3.0, IEC 61850, and Modbus with DDS, remains a key challenge. Therefore, this article proposes a Kubernetes-based real-time FEP for the modernization of SCADA systems. The proposed FEP ensures interoperability through an efficient translation mechanism between traditional SCADA protocols—DNP3.0, IEC 61850, and Modbus—and the Data Distribution Service protocol. In addition, the performance evaluation shows that the FEP achieves high throughput and sub-millisecond latency, confirming its suitability for real-time industrial control applications. This approach overcomes the limitations of conventional FEPs and enables the realization of more flexible and scalable industrial control systems. However, further research is needed to validate the system under large-scale deployment scenarios and enhance security capabilities. Future work will focus on performance evaluation in realistic conditions and the integration of quantum-resistant security mechanisms to strengthen resilience in critical infrastructure environments. Full article
(This article belongs to the Section Computer Science & Engineering)
Show Figures

Figure 1

44 pages, 823 KB  
Review
A Systematic Literature Review of DDS Middleware in Robotic Systems
by Muhammad Liman Gambo, Abubakar Danasabe, Basem Almadani, Farouq Aliyu, Abdulrahman Aliyu and Esam Al-Nahari
Robotics 2025, 14(5), 63; https://doi.org/10.3390/robotics14050063 - 14 May 2025
Cited by 3 | Viewed by 4931
Abstract
The increasing demand for automation has led to the complexity of the design and operation of robotic systems. This paper presents a systematic literature review (SLR) focused on the applications and challenges of Data Distribution Service (DDS)-based middleware in robotics from 2006 to [...] Read more.
The increasing demand for automation has led to the complexity of the design and operation of robotic systems. This paper presents a systematic literature review (SLR) focused on the applications and challenges of Data Distribution Service (DDS)-based middleware in robotics from 2006 to 2024. We explore the pivotal role of DDS in facilitating efficient communication across heterogeneous robotic systems, enabling seamless integration of actuators, sensors, and computational elements. Our review identifies key applications of DDS in various robotic domains, including multi-robot coordination, real-time data processing, and cloud–edge–end fusion architectures, which collectively enhance the performance and scalability of robotic operations. Furthermore, we identify several challenges associated with implementing DDS in robotic systems, such as security vulnerabilities, performance and scalability requirements, and the complexities of real-time data transmission. By analyzing recent advancements and case studies, we provide insights into the potential of DDS to overcome these challenges while ensuring robust and reliable communication in dynamic environments. This paper aims to contribute to the transformative impact of DDS-based middleware in robotics, offering a comprehensive overview of its benefits, applications, and security implications. Our findings underscore the necessity for continued research and development in this area, paving the way for more resilient and intelligent robotic systems that operate effectively in real-world scenarios. This review not only fills existing gaps in the literature but also serves as a foundational resource for researchers and practitioners seeking to leverage DDS in the design and implementation of next-generation robotic solutions. Full article
(This article belongs to the Special Issue Innovations in the Internet of Robotic Things (IoRT))
Show Figures

Figure 1

17 pages, 1231 KB  
Article
The REGALE Library: A DDS Interoperability Layer for the HPC PowerStack
by Giacomo Madella, Federico Tesser, Lluis Alonso, Julita Corbalan, Daniele Cesarini and Andrea Bartolini
J. Low Power Electron. Appl. 2025, 15(1), 10; https://doi.org/10.3390/jlpea15010010 - 12 Feb 2025
Viewed by 1089
Abstract
Large-scale computing clusters have been the basis of scientific progress for several decades and have now become a commodity fuelling the AI revolution. Dark Silicon, energy efficiency, power consumption, and hot spots are no longer looming threats of an Information and Communication Technologies [...] Read more.
Large-scale computing clusters have been the basis of scientific progress for several decades and have now become a commodity fuelling the AI revolution. Dark Silicon, energy efficiency, power consumption, and hot spots are no longer looming threats of an Information and Communication Technologies (ICT) niche but are today the limiting factor of the capability of the entire human society and a contributor to global carbon emissions. However, from the end user, system administrators, and system integrator perspective, handling and optimising the system for these constraints is not straightforward due to the elevated degree of fragmentation in the software tools and interfaces which handles the power management in high-performance computing (HPC) clusters. In this paper, we present the REGALE Library. It is the result of a collaborative effort in the EU EuroHPC JU REGALE project, which aims to effectively materialize the HPC PowerStack initiative, providing a single layer of communication among different power management tools, libraries, and software. The proposed framework is based on the data distribution service (DDS) and real-time publish–subscribe (RTPS) protocols and FastDDS as their implementation. This enables the various actors in the ecosystem to communicate and exchange messages without any further modification inside their implementation. In this paper, we present the blueprint, functionality tests, and performance and scalability evaluation of the DDS implementation currently used in the REGALE Library in the HPC context. Full article
Show Figures

Figure 1

12 pages, 848 KB  
Article
R-RDSP: Reliable and Rapidly Deployable Wireless Ad Hoc System for Post-Disaster Management over DDS
by Baber Jan, Adnan Munir, Ayaz H. Khan, Ajmal Khan and Basem Al-Madani
Sensors 2024, 24(22), 7259; https://doi.org/10.3390/s24227259 - 13 Nov 2024
Viewed by 1825
Abstract
After natural disasters such as earthquakes, floods, or wars occur, cellular communication networks often sustain significant damage or become impaired. In these critical situations, first responders must coordinate with other rescue teams to communicate essential information to central command and survivors. To address [...] Read more.
After natural disasters such as earthquakes, floods, or wars occur, cellular communication networks often sustain significant damage or become impaired. In these critical situations, first responders must coordinate with other rescue teams to communicate essential information to central command and survivors. To address this challenge, we have developed a reliable and rapidly deployable wireless ad hoc system for post-disaster management using Data Distribution Service (DDS) middleware, specifically RTI-DDS, named R-RDSP. The R-RDSP further enhances these metrics, achieving a 14.5% improvement in end-to-end delay and a 20.24% improvement in round-trip delay over the RDSP scheme. The R-RDSP system consists of three main modules: client, relay, and server. Each module connects to others via an ad hoc network, ensuring direct device-to-device communication without relying on existing infrastructure. The client module collects and sends the victim’s location and emergency messages. The relay modules forward these messages across the ad hoc networks, ensuring minimal delay and high reliability. Finally, the server module receives the messages, processes them, and coordinates the response. Leveraging RTI-DDS for reliable message distribution, the system demonstrates robust performance even under challenging network conditions. Full article
(This article belongs to the Special Issue Smart City Alert: Systems for Prevention and Detection of Disasters)
Show Figures

Figure 1

19 pages, 2049 KB  
Article
Research on SDP-BF Method with Low False Positive Face to Passive Detection System
by Chenzhuo Jiang, Junjie Li and Yuxiao Yang
Electronics 2024, 13(16), 3240; https://doi.org/10.3390/electronics13163240 - 15 Aug 2024
Viewed by 934
Abstract
With the rapid development of 5G, UAV, and military communications, the data volume obtained by the non-cooperative perception system has increased exponentially, and the distributed system has become the development trend of the non-cooperative perception system. The data distribution service (DDS) produces a [...] Read more.
With the rapid development of 5G, UAV, and military communications, the data volume obtained by the non-cooperative perception system has increased exponentially, and the distributed system has become the development trend of the non-cooperative perception system. The data distribution service (DDS) produces a significant effect on the performance of distributed non-cooperative perception systems. However, the traditional DDS discovery protocol has problems such as false positive misjudgment and high flow overhead, so it can hardly adapt to a large multi-node distributed system. Therefore, the design of a DDS discovery protocol for large distributed system is technically challenging. In this paper, we proposed SDP-DCBF-SFF, a discovery protocol based on the Dynamic Counter Bloom Filter (DCBF) and Second Feedback Filter (SFF). The proposed discovery protocol coarsely filters the interested endpoints through DCBF and then accurately screens the uninterested endpoints through SFF to eliminate the connection requests of false positive endpoints and avoid extra flow overhead. The experimental results indicate that the proposed discovery protocol could effectively reduce the network overhead, and eliminate the false positive probability of endpoints in small, medium, large, and super large systems. In addition, it adopts the self-adaptive extension mechanism of BF to reduce the reconfiguration delay of BF and achieve the smallest system transmission delay. Therefore, the proposed discovery protocol has optimal comprehensive performance and system adaptability. Full article
(This article belongs to the Special Issue Applications of Sensor Networks and Wireless Communications)
Show Figures

Figure 1

16 pages, 7251 KB  
Article
Interactive Path Editing and Simulation System for Motion Planning and Control of a Collaborative Robot
by Taeho Yoo and Byoung Wook Choi
Electronics 2024, 13(14), 2857; https://doi.org/10.3390/electronics13142857 - 19 Jul 2024
Cited by 2 | Viewed by 1964
Abstract
Robots in hazardous environments demand precise and advanced motion control, making extensive simulations crucial for verifying the safety of motion planning. This paper presents a simulation system that enables interactive path editing, allowing for motion planning in a simulated collaborative robot environment and [...] Read more.
Robots in hazardous environments demand precise and advanced motion control, making extensive simulations crucial for verifying the safety of motion planning. This paper presents a simulation system that enables interactive path editing, allowing for motion planning in a simulated collaborative robot environment and its real-world application. The system includes a simulation host, a control board, and a robot. Unity 3D on a Windows platform provides the simulation environment, while a virtual Linux environment runs ROS2 for execution. Unity sends edited motion paths to ROS2 using the Unity ROS TCP Connector package. The ROS2 MoveIt framework generates trajectories, which are synchronized back to Unity for simulation and real-world validation. To control the six-axis Indy7 collaborative robot, we used the MIO5272 embedded board as an EtherCAT master. Verified trajectories are sent to the target board, synchronizing the robot with the simulation in position and speed. Data are relayed from the host to the MIO5272 using ROS2 and the Data Distribution Service (DDS) to control the robot via EtherCAT communication. The system enables direct simulation and control of various trajectories for robots in hazardous environments. It represents a major advancement by providing safe and optimized trajectories through efficient motion planning and repeated simulations, offering a clear improvement over traditional time-consuming and error-prone teach pendant methods. Full article
(This article belongs to the Special Issue Multi-Robot Systems: Collaboration, Control, and Path Planning)
Show Figures

Figure 1

27 pages, 5991 KB  
Review
Enhancing Cybersecurity in Distributed Microgrids: A Review of Communication Protocols and Standards
by Eyuel Debebe Ayele, Javier Ferreira Gonzalez and Wouter B. Teeuw
Sensors 2024, 24(3), 854; https://doi.org/10.3390/s24030854 - 28 Jan 2024
Cited by 12 | Viewed by 4063
Abstract
The effective operation of distributed energy sources relies significantly on the communication systems employed in microgrids. This article explores the fundamental communication requirements, structures, and protocols necessary to establish a secure connection in microgrids. This article examines the present difficulties facing, and progress [...] Read more.
The effective operation of distributed energy sources relies significantly on the communication systems employed in microgrids. This article explores the fundamental communication requirements, structures, and protocols necessary to establish a secure connection in microgrids. This article examines the present difficulties facing, and progress in, smart microgrid communication technologies, including wired and wireless networks. Furthermore, it evaluates the incorporation of diverse security methods. This article showcases a case study that illustrates the implementation of a distributed cyber-security communication system in a microgrid setting. The study concludes by emphasizing the ongoing research endeavors and suggesting potential future research paths in the field of microgrid communications. Full article
(This article belongs to the Special Issue Recent Sensing Technologies and Applications in Smart Grids)
Show Figures

Figure 1

20 pages, 8425 KB  
Article
Formalizing the Semantics of DDS QoS Policies for Improved Communications in Distributed Smart Grid Applications
by Alaa Alaerjan
Electronics 2023, 12(10), 2246; https://doi.org/10.3390/electronics12102246 - 15 May 2023
Cited by 2 | Viewed by 2068
Abstract
Quality communication is a major challenges in large-scale and distributed smart grid applications. Several protocols and middleware have been proposed to address communication quality issues in those applications. DDS is a standard data-centric middleware for publish/subscribe communication. It has been proposed for smart [...] Read more.
Quality communication is a major challenges in large-scale and distributed smart grid applications. Several protocols and middleware have been proposed to address communication quality issues in those applications. DDS is a standard data-centric middleware for publish/subscribe communication. It has been proposed for smart grid to address both connectivity and communication quality issues. DDS provides multiple quality of service (QoS) policies to address reliability, latency, and data availability. One of the main challenges in adopting the standard in smart grids is the complexity of adopting and tailoring its QoS policies. This is because those policies are described informally introducing ambiguities, which hinders the precise implementation of DDS. To address this, we formalize the descriptions of DDS QoS policies using the object constraint language (OCL). We also clearly defined the design structural relations among DDS entities and QoS policies. In the process, we analyzed the dependencies among QoS policies and we built clear and concise structural relations. We then proposed feature modeling and a management layer to facilitate QoS tuning and to reduce development and configuration complexity. We implemented the proposed approach in a simulated power consumption domain. The results show that the approach improves the development process. They also show that the approach significantly improves the performance of DDS-enabled applications. Full article
(This article belongs to the Special Issue Internet of Things for Smart Grid)
Show Figures

Figure 1

24 pages, 2851 KB  
Article
Formal Safety Assessment and Improvement of DDS Protocol for Industrial Data Distribution Service
by Jinze Du, Chengtai Gao and Tao Feng
Future Internet 2023, 15(1), 24; https://doi.org/10.3390/fi15010024 - 31 Dec 2022
Cited by 11 | Viewed by 6033
Abstract
The Data Distribution Service (DDS) for real-time systems is an industrial Internet communication protocol. Due to its distributed high reliability and the ability to transmit device data communication in real-time, it has been widely used in industry, medical care, transportation, and national defense. [...] Read more.
The Data Distribution Service (DDS) for real-time systems is an industrial Internet communication protocol. Due to its distributed high reliability and the ability to transmit device data communication in real-time, it has been widely used in industry, medical care, transportation, and national defense. With the wide application of various protocols, protocol security has become a top priority. There are many studies on protocol security, but these studies lack a formal security assessment of protocols. Based on the above status, this paper evaluates and improves the security of the DDS protocol using a model detection method combining the Dolev–Yao attack model and the Coloring Petri Net (CPN) theory. Because of the security loopholes in the original protocol, a timestamp was introduced into the original protocol, and the shared key establishment process in the original protocol lacked fairness and consistency. We adopted a new establishment method to establish the shared secret and re-verified its security. The results show that the overall security of the protocol has been improved by 16.7% while effectively preventing current replay attack. Full article
(This article belongs to the Section Internet of Things)
Show Figures

Figure 1

22 pages, 1671 KB  
Article
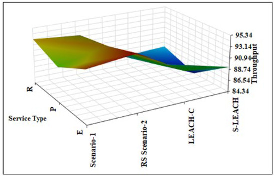
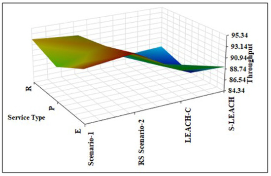
Incorporation of Energy Efficient Computational Strategies for Clustering and Routing in Heterogeneous Networks of Smart City
by Vinoth Kumar Venkatesan, Ivan Izonin, Jayalakshmi Periyasamy, Alagiri Indirajithu, Anatoliy Batyuk and Mahesh Thyluru Ramakrishna
Energies 2022, 15(20), 7524; https://doi.org/10.3390/en15207524 - 12 Oct 2022
Cited by 30 | Viewed by 2148
Abstract
For decision-making and governance, smart cities depend on tracking data collected via a substantial percentage of wireless sensing nodes. However, several limitations affect Wireless Sensor Network (WSN)-based Internet of Things (IoT) services, such as low battery life, recurrent connectivity problems due to multi-hop [...] Read more.
For decision-making and governance, smart cities depend on tracking data collected via a substantial percentage of wireless sensing nodes. However, several limitations affect Wireless Sensor Network (WSN)-based Internet of Things (IoT) services, such as low battery life, recurrent connectivity problems due to multi-hop connections, and a limited channel capacity. Furthermore, in many systems, clustering and routing are handled independently, which prevents the adaptation of effective strategies for optimal energy usage and prolonged network lifespan. This research gathers data from heterogeneous IoT nodes linked via WSN and distributed across a smart infrastructure. There are two interrelated problems to be addressed with respect to energy efficiency computations: clustering and routing. We provide a new clustering strategy through which efficient routing of critical and regular data is handled. As a result, both clustering and routing have been significantly strengthened, which balances the communication load across different sectors of the smart infrastructure network. Minkowski distance and ranking strategy are used for routing and selecting cluster heads, respectively. Deterministic distributed–time division multiple access (DD-TDMA) scheduling is employed to balance the communication load across the network. The experimental results show that the proposed work outperforms some of the popular cluster-based routing strategies. Full article
Show Figures

Figure 1

22 pages, 4493 KB  
Article
Automotive IoT Ethernet-Based Communication Technologies Applied in a V2X Context via a Multi-Protocol Gateway
by Alexandru Ioana, Adrian Korodi and Ioan Silea
Sensors 2022, 22(17), 6382; https://doi.org/10.3390/s22176382 - 24 Aug 2022
Cited by 17 | Viewed by 4352
Abstract
The architectural approach for complex communication systems must adapt quickly and take into consideration the increasing set of requirements for every industrial field. The automotive domain is evolving toward the electrification era, with massive technological transformations being realized on all architectural, hardware, and [...] Read more.
The architectural approach for complex communication systems must adapt quickly and take into consideration the increasing set of requirements for every industrial field. The automotive domain is evolving toward the electrification era, with massive technological transformations being realized on all architectural, hardware, and software levels. The legacy usage of exclusively microcontrollers is altered by adopting microprocessors with extended functionalities, reshaping the development structure. Although new hardware capabilities are available and Ethernet communication protocols can contribute to a new range of use-cases for intra-car or for vehicle-to-X (V2X) communication, the implications of using multiple protocols that cover different types of requirements, in the same architecture, are not fully determined. The importance of establishing clear expectations for intelligent communication systems considering various technological and architectural factors is significant for future improvements. In the current paper, we examine the compatibility and real-time responsiveness capabilities, in a diverse, service-oriented architecture, for the major automotive IoT Ethernet-based communication technologies. The feasibility analysis is materialized in a multi-protocol gateway solution that facilitates data exchange between entities with different technological origins. Scalable Service-Oriented Middleware over IP (SOME/IP) is considered the relevant protocol in the automotive domain, alongside the Data Distribution Service (DDS), which combines automotive and IoT applicability. The enhanced Communication Abstraction Layer (eCAL) middleware is added to the mix as an alternative solution for future communication scenarios. The obtained results confirm the compatibility between the targeted technologies, offering a clear understanding regarding the limits of a complex multi-protocol communication system. The defined service-oriented architecture offers efficient data exchanges in a gateway context, also allowing the exploration of the real-time capabilities. Full article
(This article belongs to the Section Internet of Things)
Show Figures

Figure 1

13 pages, 2095 KB  
Article
Layered-Cost-Map-Based Traffic Management for Multiple AMRs via a DDS
by Seungwoo Jeong, Taekwon Ga, Inhwan Jeong, Jongkyu Oh and Jongeun Choi
Appl. Sci. 2022, 12(16), 8084; https://doi.org/10.3390/app12168084 - 12 Aug 2022
Cited by 3 | Viewed by 3176
Abstract
A traffic management system can be used to control multiple automated mobile robots (AMRs) effectively. This paper proposes traffic management for multiple AMRs based on a layered cost map in ROS 2 for multiple purposes. Using the layered cost map, the new concepts [...] Read more.
A traffic management system can be used to control multiple automated mobile robots (AMRs) effectively. This paper proposes traffic management for multiple AMRs based on a layered cost map in ROS 2 for multiple purposes. Using the layered cost map, the new concepts of a prohibition filter, lane filter, fleet layer, and region filter are proposed and implemented. The prohibition filter can help a user set an area that would prohibit an AMR from trespassing. The lane filter can help set one-way directions based on an angle image. The fleet layer can help AMRs share their locations via the traffic management server. The region filter requests for or receives an exclusive area, which can be occupied by only one AMR from the traffic management server. Multiple AMRs communicate via a data distribution service (DDS), which is shared by topics in the same DDS domain. The traffic management server in the domain sends or receives topics to each of the AMRs. The experiments of AMRs under the proposed traffic management show the effectiveness of our approach. Full article
(This article belongs to the Special Issue Smart Robots for Industrial Applications)
Show Figures

Figure 1

13 pages, 5810 KB  
Article
Implementation of DDS Cloud Platform for Real-Time Data Acquisition of Sensors for a Legacy Machine
by Min-Huang Ho, Ming-Yi Lai and Yung-Tien Liu
Electronics 2022, 11(13), 2096; https://doi.org/10.3390/electronics11132096 - 4 Jul 2022
Cited by 5 | Viewed by 3254
Abstract
Industry 4.0 (I4.0) is a multidisciplinary engineering principle combing the IoT (Internet of things), big data, and cloud computing to cope with the dynamic changing industry. In this paper, the DDS (data distribution service) communication protocol was employed to implement a cloud platform [...] Read more.
Industry 4.0 (I4.0) is a multidisciplinary engineering principle combing the IoT (Internet of things), big data, and cloud computing to cope with the dynamic changing industry. In this paper, the DDS (data distribution service) communication protocol was employed to implement a cloud platform for data acquisition from various sensors on a precision legacy machine tool including an accelerometer and sound, temperature, brightness, and humidity sensors. The sensor signals were acquired using Raspberry Pi as the edge device, then published to the cloud using the DDS application, and stored in the MySQL database. Using the Django web server, the acquired sensor signals could be shown in real time on the webpage via a combination of MQTT and Node-RED. In addition, the motion displacement of the machine tool detected by the encoder could be recorded through the edge device for further performance examination. With the proposed DDS cloud platform, it is demonstrated that a legacy machine can enable sensing and communication abilities such that the development of a smart machine is achievable for future I4.0 application. Full article
(This article belongs to the Special Issue Intelligent Signal Processing and Communication Systems)
Show Figures

Figure 1

Back to TopTop