Sign in to use this feature.

Years

Between: -

Subjects

remove_circle_outline
remove_circle_outline
remove_circle_outline

Journals

Article Types

Countries / Regions

Search Results (12)

Search Parameters:
Keywords = CsPbIBr2

Order results
Result details
Results per page
Select all
Export citation of selected articles as:
10 pages, 2844 KB  
Article
Solvent Engineering and Molecular Doping Synergistically Boost CsPbIBr2 Solar Cell Efficiency
by Yani Lu, Jinping Ren and Jinke Kang
Coatings 2025, 15(4), 448; https://doi.org/10.3390/coatings15040448 - 10 Apr 2025
Cited by 1 | Viewed by 1011
Abstract
Perovskite solar cells have garnered significant attention due to their outstanding optoelectronic properties, ease of fabrication, and cost-effectiveness, making them a promising candidate for next-generation photovoltaic technologies. However, CsPbIBr2-based perovskites currently face critical challenges regarding their limited efficiency and relatively poor [...] Read more.
Perovskite solar cells have garnered significant attention due to their outstanding optoelectronic properties, ease of fabrication, and cost-effectiveness, making them a promising candidate for next-generation photovoltaic technologies. However, CsPbIBr2-based perovskites currently face critical challenges regarding their limited efficiency and relatively poor long-term stability, hindering their broader commercial applications. In this study, we systematically investigated the morphological effects induced by different solvents, including dimethylformamide (DMF), N-methyl-2-pyrrolidone (NMP), and dimethyl sulfoxide (DMSO), on the formation and characteristics of lead bromide (PbBr2) complexes. Further optimization was achieved through the innovative incorporation of trimesoyl chloride (TMC) doping into the perovskite precursor solution. The optimized precursor solution was subsequently processed using a spin-coating and annealing method, resulting in high-quality CsPbIBr2 perovskite thin films with improved morphological and optoelectronic properties. The experimental results demonstrated a remarkable enhancement in power conversion efficiency (PCE), with an increase from an initial value of 6.2% up to 10.2%. Furthermore, the optimized CsPbIBr2 solar cells exhibited excellent stability, maintaining over 80% of their initial efficiency after continuous aging for 250 h in ambient air conditions. This study presents an effective strategy for the controlled morphological and compositional engineering of wide-bandgap perovskite materials, providing a significant step forward in the advancement of perovskite photovoltaic technology. Full article
Show Figures

Figure 1

16 pages, 6263 KB  
Article
Stabilizing Perovskite Solar Cells by Methyltriphenylphosphonium Iodide Studied with Maximum Power Point Tracking
by Niklas Manikowsky, Zekarias Teklu Gebremichael, Chikezie Williams Ugokwe, Bashudev Bhandari, Steffi Stumpf, Ulrich S. Schubert and Harald Hoppe
Crystals 2025, 15(2), 176; https://doi.org/10.3390/cryst15020176 - 13 Feb 2025
Viewed by 2368
Abstract
The use of organic halide salts to passivate metal halide perovskite (MHP) surface defects has been studied extensively. Passivating the surface defects of the MHP is of critical importance for realizing highly efficient and stable perovskite solar cells (PSCs). Here, the successful application [...] Read more.
The use of organic halide salts to passivate metal halide perovskite (MHP) surface defects has been studied extensively. Passivating the surface defects of the MHP is of critical importance for realizing highly efficient and stable perovskite solar cells (PSCs). Here, the successful application of a multifunctional organic salt, methyltriphenylphosphonium iodide (MTPPI), used as a passivation additive for grain boundary defects and as a molecular sealing layer in terms of stabilization, has been used to stabilize the mixed cation perovskite RbCsMAFA-PbIBr. To assess the passivating and stabilizing effects of MTPPI on RbCsMAFA-PbIBr PSCs, maximum power point tracking (MPPT) was applied as the most realistic and closest-to-application condition for the ageing test. Here, perovskite solar cells were aged under a light source yielding an excitation intensity corresponding to one sun with maximum power point tracking, which was interrupted periodically by current–voltage sweeps. This allowed for the extraction of all photovoltaic parameters necessary for a proper understanding of the ageing process. The MTPPI additive can donate iodine anions to halide vacancies and compensate a negative surface excess charge with cation interactions. On top of this, the large and bulky methyltriphenylphosphonium (MTPP+) cation may block both the escape of volatile perovskite components and the ingress of oxygen and water vapour. These collective roles of MTPPI have improved both the efficiency and stability of the solar cells compared to the reference without passivation additives. Full article
(This article belongs to the Special Issue Preparation and Characterization of Optoelectronic Functional Films)
Show Figures

Figure 1

15 pages, 4011 KB  
Article
Performance Enhancement of Hole Transport Layer-Free Carbon-Based CsPbIBr2 Solar Cells through the Application of Perovskite Quantum Dots
by Qi Yu, Wentian Sun and Shu Tang
Nanomaterials 2024, 14(20), 1651; https://doi.org/10.3390/nano14201651 - 14 Oct 2024
Cited by 2 | Viewed by 1789
Abstract
CsPbIBr2, with its suitable bandgap, shows great potential as the top cell in tandem solar cells. Nonetheless, its further development is hindered by a high defect density, severe carrier recombination, and poor stability. In this study, CsPbI1.5Br1.5 quantum [...] Read more.
CsPbIBr2, with its suitable bandgap, shows great potential as the top cell in tandem solar cells. Nonetheless, its further development is hindered by a high defect density, severe carrier recombination, and poor stability. In this study, CsPbI1.5Br1.5 quantum dots were utilized as an additive in the ethyl acetate anti-solvent, while a layer of CsPbBr3 QDs was introduced between the ETL and the CsPbIBr2 light-harvester film. The combined effect of these two QDs enhanced the nucleation, crystallization, and growth of CsPbIBr2 perovskite, yielding high-quality films characterized by an enlarged crystal size, reduced grain boundaries, and smooth surfaces. And a wider absorption range and better energy band alignment were achieved owing to the nano-size effect of QDs. These improvements led to a decreased defect density and the suppression of non-radiative recombination. Additionally, the presence of long-chain organic molecules in the QD solution promoted the formation of a hydrophobic surface, significantly enhancing the long-term stability of CsPbIBr2 PSCs. Consequently, the devices achieved a PCE of 9.20% and maintained an initial efficiency of 85% after 60 days of storage in air. Thus, this strategy proves to be an effective approach for the preparation of efficient and stable CsPbIBr2 PSCs. Full article
Show Figures

Figure 1

13 pages, 2788 KB  
Article
Thickness Optimization of Charge Transport Layers on Perovskite Solar Cells for Aerospace Applications
by Doowon Lee, Kyeong Heon Kim and Hee-Dong Kim
Nanomaterials 2023, 13(12), 1848; https://doi.org/10.3390/nano13121848 - 13 Jun 2023
Cited by 14 | Viewed by 3142
Abstract
In aerospace applications, SiOx deposition on perovskite solar cells makes them more stable. However, the reflectance of the light changes and the current density decreases can lower the efficiency of the solar cell. The thickness of the perovskite material, ETL, and HTL [...] Read more.
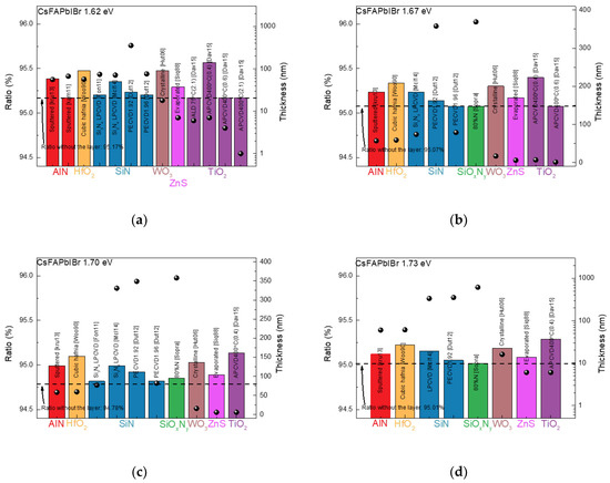
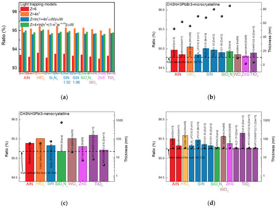
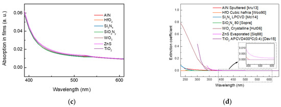
In aerospace applications, SiOx deposition on perovskite solar cells makes them more stable. However, the reflectance of the light changes and the current density decreases can lower the efficiency of the solar cell. The thickness of the perovskite material, ETL, and HTL must be re-optimized, and testing the number of cases experimentally takes a long time and costs a lot of money. In this paper, an OPAL2 simulation was used to find the thickness and material of ETL and HTL that reduces the amount of light reflected by the perovskite material in a perovskite solar cell with a silicon oxide film. In our simulations, we used an air/SiO2/AZO/transport layer/perovskite structure to find the ratio of incident light to the current density generated by the perovskite material and the thickness of the transport layer to maximize the current density. The results showed that when 7 nm of ZnS material was used for CH3NH3PbI3-nanocrystalline perovskite material, a high ratio of 95.3% was achieved. In the case of CsFAPbIBr with a band gap of 1.70 eV, a high ratio of 94.89% was shown when ZnS was used. Full article
Show Figures

Figure 1

15 pages, 16423 KB  
Article
Performance Optimization of CsPb(I1–xBrx)3 Inorganic Perovskite Solar Cells with Gradient Bandgap
by Luning Wang, Sui Yang, Tingting Xi, Qingchen Yang, Jie Yi, Hongxing Li and Jianxin Zhong
Energies 2023, 16(10), 4135; https://doi.org/10.3390/en16104135 - 17 May 2023
Cited by 6 | Viewed by 3658
Abstract
In recent years, inorganic perovskite solar cells (PSCs) based on CsPbI3 have made significant progress in stability compared to hybrid organic–inorganic PSCs by substituting the volatile organic component with Cs cations. However, the cubic perovskite structure of α-CsPbI3 changes to the [...] Read more.
In recent years, inorganic perovskite solar cells (PSCs) based on CsPbI3 have made significant progress in stability compared to hybrid organic–inorganic PSCs by substituting the volatile organic component with Cs cations. However, the cubic perovskite structure of α-CsPbI3 changes to the orthorhombic non-perovskite phase at room temperature resulting in efficiency degradation. The partial substitution of an I ion with Br ion benefits for perovskite phase stability. Unfortunately, the substitution of Br ion would enlarge bandgap reducing the absorption spectrum range. To optimize the balance between band gap and stability, introducing and optimizing the spatial bandgap gradation configuration is an effective method to broaden the light absorption and benefit the perovskite phase stability. As the bandgap of the CsPb(I1–xBrx)3 perovskite layer can be adjusted by I-Br composition engineering, the performance of CsPb(I1–xBrx)3 based PSCs with three different spatial variation Br doping composition profiles were investigated. The effects of uniform doping and gradient doping on the performance of PSCs were investigated. The results show that bandgap (Eg) and electron affinity(χ) attributed to an appropriate energy band offset, have the most important effects on PSCs performance. With a positive conduction band offset (CBO) of 0.2 eV at the electron translate layer (ETL)/perovskite interface, and a positive valence band offset (VBO) of 0.24 eV at the hole translate layer (HTL)/perovskite interface, the highest power conversion efficiency (PCE) of 22.90% with open–circuit voltage (VOC) of 1.39 V, short–circuit current (JSC) of 20.22 mA/cm2 and filling factor (FF) of 81.61% was obtained in uniform doping CsPb(I1–xBrx)3 based PSCs with x = 0.09. By carrying out a further optimization of the uniform doping configuration, the evaluation of a single band gap gradation configuration was investigated. By introducing a back gradation of band gap directed towards the back contact, an optimized band offset (front interface CBO = 0.18 eV, back interface VBO = 0.15 eV) was obtained, increasing the efficiency to 23.03%. Finally, the double gradient doping structure was further evaluated. The highest PCE is 23.18% with VOC close to 1.44 V, JSC changes to 19.37 mA/cm2 and an FF of 83.31% was obtained. Full article
(This article belongs to the Collection Featured Papers in Solar Energy and Photovoltaic Systems Section)
Show Figures

Figure 1

21 pages, 4554 KB  
Review
Recent Progress of Film Fabrication Process for Carbon-Based All-Inorganic Perovskite Solar Cells
by Haifeng Yang, Hui Wang, Ke Wang, Dongqi Liu, Lifang Zhao, Dazheng Chen, Weidong Zhu, Jincheng Zhang and Chunfu Zhang
Crystals 2023, 13(4), 679; https://doi.org/10.3390/cryst13040679 - 14 Apr 2023
Cited by 12 | Viewed by 4265
Abstract
Although the certified power conversion efficiency of organic-inorganic perovskite solar cells (PSCs) has reached 25.7%, their thermal and long-term stability is a major challenge due to volatile organic components. This problem has been a major obstacle to their large-scale commercialization. In the last [...] Read more.
Although the certified power conversion efficiency of organic-inorganic perovskite solar cells (PSCs) has reached 25.7%, their thermal and long-term stability is a major challenge due to volatile organic components. This problem has been a major obstacle to their large-scale commercialization. In the last few years, carbon-based all-inorganic perovskite solar cells (C−IPSCs) have exhibited high stability and low-cost advantages by adopting the all-inorganic component with cesium lead halide (CsPbI3−xBrx, x = 0 ~ 3) and eliminating the hole-transporting layer by using cheap carbon paste as the back electrode. So far, many astonishing developments have been achieved in the field of C−IPSCs. In particular, the unencapsulated CsPbBr3 C-IPSCs exhibit excellent stability over thousands of hours in an ambient environment. In addition, the power conversion efficiencies of CsPbI3 and CsPbI2Br C-IPSCs have exceeded 15%, which is close to that of commercial multicrystalline solar cells. Obtaining high-quality cesium lead halide-based perovskite films is the most important aspect in the preparation of high-performance C-IPSCs. In this review, the main challenges in the high-quality film fabrication process for high performance C-IPSCs are summarized and the film fabrication process strategies for CsPbBr3, CsPbIBr2, CsPbI2Br, and CsPbI3 are systematically discussed, respectively. In addition, the prospects for future film fabrication processes for C-IPSCs are proposed. Full article
Show Figures

Figure 1

13 pages, 2658 KB  
Article
Monovalent Copper Cation Doping Enables High-Performance CsPbIBr2-Based All-Inorganic Perovskite Solar Cells
by Zhaonan Du, Huimin Xiang, Amin Xie, Ran Ran, Wei Zhou, Wei Wang and Zongping Shao
Nanomaterials 2022, 12(23), 4317; https://doi.org/10.3390/nano12234317 - 5 Dec 2022
Cited by 24 | Viewed by 3304
Abstract
Organic–inorganic perovskite solar cells (PSCs) have delivered the highest power conversion efficiency (PCE) of 25.7% currently, but they are unfortunately limited by several key issues, such as inferior humid and thermal stability, significantly retarding their widespread application. To tackle the instability issue, all-inorganic [...] Read more.
Organic–inorganic perovskite solar cells (PSCs) have delivered the highest power conversion efficiency (PCE) of 25.7% currently, but they are unfortunately limited by several key issues, such as inferior humid and thermal stability, significantly retarding their widespread application. To tackle the instability issue, all-inorganic PSCs have attracted increasing interest due to superior structural, humid and high-temperature stability to their organic–inorganic counterparts. Nevertheless, all-inorganic PSCs with typical CsPbIBr2 perovskite as light absorbers suffer from much inferior PCEs to those of organic–inorganic PSCs. Functional doping is regarded as a simple and useful strategy to improve the PCEs of CsPbIBr2-based all-inorganic PSCs. Herein, we report a monovalent copper cation (Cu+)-doping strategy to boost the performance of CsPbIBr2-based PSCs by increasing the grain sizes and improving the CsPbIBr2 film quality, reducing the defect density, inhibiting the carrier recombination and constructing proper energy level alignment. Consequently, the device with optimized Cu+-doping concentration generates a much better PCE of 9.11% than the pristine cell (7.24%). Moreover, the Cu+ doping also remarkably enhances the humid and thermal durability of CsPbIBr2-based PSCs with suppressed hysteresis. The current study provides a simple and useful strategy to enhance the PCE and the durability of CsPbIBr2-based PSCs, which can promote the practical application of perovskite photovoltaics. Full article
(This article belongs to the Special Issue Advanced Nanomaterials for Perovskite Solar Cells)
Show Figures

Figure 1

12 pages, 2502 KB  
Article
Performance Enhancement of All-Inorganic Carbon-Based CsPbIBr2 Perovskite Solar Cells Using a Moth-Eye Anti-Reflector
by Wensheng Lan, Dazheng Chen, Qirui Guo, Baichuan Tian, Xiaoping Xie, Yibing He, Wenming Chai, Gang Liu, Peng Dong, He Xi, Weidong Zhu and Chunfu Zhang
Nanomaterials 2021, 11(10), 2726; https://doi.org/10.3390/nano11102726 - 15 Oct 2021
Cited by 7 | Viewed by 3385
Abstract
All-inorganic carbon-based CsPbIBr2 perovskite solar cells (PSCs) have attracted increasing interest due to the low cost and the balance between bandgap and stability. However, the relatively narrow light absorption range (300 to 600 nm) limited the further improvement of short-circuit current density [...] Read more.
All-inorganic carbon-based CsPbIBr2 perovskite solar cells (PSCs) have attracted increasing interest due to the low cost and the balance between bandgap and stability. However, the relatively narrow light absorption range (300 to 600 nm) limited the further improvement of short-circuit current density (JSC) and power conversion efficiency (PCE) of PSCs. Considering the inevitable reflectance loss (~10%) at air/glass interface, we prepared the moth-eye anti-reflector by ultraviolet nanoimprint technology and achieved an average reflectance as low as 5.15%. By attaching the anti-reflector on the glass side of PSCs, the JSC was promoted by 9.4% from 10.89 mA/cm2 to 11.91 mA/cm2, which is the highest among PSCs with a structure of glass/FTO/c-TiO2/CsPbIBr2/Carbon, and the PCE was enhanced by 9.9% from 9.17% to 10.08%. The results demonstrated that the larger JSC induced by the optical reflectance modulation of moth-eye anti-reflector was responsible for the improved PCE. Simultaneously, this moth-eye anti-reflector can withstand a high temperature up to 200 °C, and perform efficiently at a wide range of incident angles from 40° to 90° and under various light intensities. This work is helpful to further improve the performance of CsPbIBr2 PSCs by optical modulation and boost the possible application of wide-range-wavelength anti-reflector in single and multi-junction solar cells. Full article
(This article belongs to the Special Issue Advances in Nanomaterials for Perovskite Solar Cells)
Show Figures

Figure 1

11 pages, 5197 KB  
Article
Enhanced Light Absorption by Facile Patterning of Nano-Grating on Mesoporous TiO2 Photoelectrode for Cesium Lead Halide Perovskite Solar Cells
by Kang-Pil Kim, Wook Hyun Kim, Soo Min Kwon, Jun Yong Kim, Yun Seon Do and Sungho Woo
Nanomaterials 2021, 11(5), 1233; https://doi.org/10.3390/nano11051233 - 7 May 2021
Cited by 10 | Viewed by 3789
Abstract
CsPbIBr2, a cesium-based all-inorganic halide perovskite (CsPe), is a very promising alternative material to mainstream organic–inorganic hybrid halide perovskite (HPe) materials owing to its exceptional moisture stability, thermal stability, and light stability. However, because of the wide band gap (2.05 eV) [...] Read more.
CsPbIBr2, a cesium-based all-inorganic halide perovskite (CsPe), is a very promising alternative material to mainstream organic–inorganic hybrid halide perovskite (HPe) materials owing to its exceptional moisture stability, thermal stability, and light stability. However, because of the wide band gap (2.05 eV) of CsPbIBr2, it has a low power conversion efficiency (PCE), which hinders its application in highly efficient solar cells. In this study, a facile nanoimprinted one-dimensional grating nanopattern (1D GNP) formation on mesoporous TiO2 (mp-TiO2) photoelectrodes was introduced to improve the effective light utilization and enhance the performance of CsPbIBr2 perovskite solar cells (PSCs). The 1D GNP structure on the mp-TiO2 layer increases the light absorption efficiency by diffracting the unabsorbed light into the active mp-TiO2 and CsPbIBr2 layers as well as increasing the charge separation and collection due to the extended interfacial contact area between the mp-TiO2 and CsPbIBr2 layers. Consequently, both the current density (JSC) and the fill factor (FF) of the fabricated cells improved, leading to over a 20% enhancement in the solar cell’s PCE. Thus, this periodic grating structure, fabricated by simple nanoimprinting, could play an important role in the large-scale production of highly efficient and cost-effective Cs-based PSCs. Full article
(This article belongs to the Special Issue Mesoporous Materials and Nanoscale Phenomena in Hybrid Photovoltaics)
Show Figures

Graphical abstract

10 pages, 1433 KB  
Article
Charge-Transporting-Layer-Free, Vacuum-Free, All-Inorganic CsPbIBr2 Perovskite Solar Cells Via Dipoles-Adjusted Interface
by Wentao Zhang, Zeyulin Zhang, Qubo Jiang, Ziming Wei, Yuting Zhang, Hailong You, Dazheng Chen, Weidong Zhu, Fengqin He and Chunfu Zhang
Nanomaterials 2020, 10(7), 1324; https://doi.org/10.3390/nano10071324 - 6 Jul 2020
Cited by 15 | Viewed by 3553
Abstract
The inorganic perovskite has a better stability than the hybrid halide perovskite, and at the same time it has the potential to achieve an excellent photoelectric performance as the organic-inorganic hybrid halide perovskite. Thus, the pursuit of a low-cost and high-performance inorganic perovskite [...] Read more.
The inorganic perovskite has a better stability than the hybrid halide perovskite, and at the same time it has the potential to achieve an excellent photoelectric performance as the organic-inorganic hybrid halide perovskite. Thus, the pursuit of a low-cost and high-performance inorganic perovskite solar cell (PSC) is becoming the research hot point in the research field of perovskite devices. In setting out to build vacuum-free and carbon-based all-inorganic PSCs with the traits of simple fabrication and low cost, we propose the ones with a simplified vertical structure of FTO/CsPbIBr2/carbon upon interfacial modification with PEI species. In this structure, both the electron-transporting-layer and hole-transporting-layer are abandoned, and the noble metal is also replaced by the carbon paste. At the same time, FTO is modified by PEI, which brings dipoles to decrease the work function of FTO. Through our measurements, the carrier recombination has been partially suppressed, and the performance of champion PSCs has far exceeded the control devices without PEI modification, which yields a power conversion efficiency of 4.9% with an open circuit voltage of 0.9 V and a fill factor of 50.4%. Our work contributes significantly to give an available method to explore charge-transporting-layer-free, low-cost, and high-performance PSCs. Full article
(This article belongs to the Special Issue Perovskite Nanostructures: From Material Design to Applications)
Show Figures

Figure 1

10 pages, 2922 KB  
Article
Interfacial Modification of Mesoporous TiO2 Films with PbI2-Ethanolamine-Dimethyl Sulfoxide Solution for CsPbIBr2 Perovskite Solar Cells
by Xianwei Meng, Kailin Chi, Qian Li, Yu Cao, Gengxin Song, Bao Liu, Haibin Yang and Wuyou Fu
Nanomaterials 2020, 10(5), 962; https://doi.org/10.3390/nano10050962 - 18 May 2020
Cited by 8 | Viewed by 4187
Abstract
As one of the most frequently-used electron-transporting materials, the mesoporous titanium dioxide (m-TiO2) film used in mesoporous structured perovskite solar cells (PSCs) can be employed for the scaffold of the perovskite film and as a pathway for electron transport, and the [...] Read more.
As one of the most frequently-used electron-transporting materials, the mesoporous titanium dioxide (m-TiO2) film used in mesoporous structured perovskite solar cells (PSCs) can be employed for the scaffold of the perovskite film and as a pathway for electron transport, and the contact area between the perovskite and m-TiO2 directly determines the comprehensive performance of the PSCs. Because of the substandard interface combining quality between the all-inorganic perovskite CsPbIBr2 and m-TiO2, the development of the mesoporous structured CsPbIBr2 PSCs synthesized by the one-step method is severely limited. Here, we used a solution containing PbI2, monoethanolamine (EA) and dimethyl sulfoxide (DMSO) (PED) as the interfacial modifier to enhance the contact area and modify the m-TiO2/CsPbIBr2 contact characteristics. Comparatively, the performance of the solar device based on the PED-modified m-TiO2 layer has improved considerably, and its power conversion efficiency is up to 6.39%. Full article
(This article belongs to the Special Issue Perovskite Nanostructures: From Material Design to Applications)
Show Figures

Graphical abstract

10 pages, 3320 KB  
Article
All-Inorganic Perovskite Solar Cells Based on CsPbIBr2 and Metal Oxide Transport Layers with Improved Stability
by Jien Yang, Qiong Zhang, Jinjin Xu, Hairui Liu, Ruiping Qin, Haifa Zhai, Songhua Chen and Mingjian Yuan
Nanomaterials 2019, 9(12), 1666; https://doi.org/10.3390/nano9121666 - 22 Nov 2019
Cited by 35 | Viewed by 6149
Abstract
Despite the successful improvement in the power conversion efficiency (PCE) of perovskite solar cells (PSCs), the issue of instability is still a serious challenge for their commercial application. The issue of the PSCs mainly originates from the decomposition of the organic–inorganic hybrid perovskite [...] Read more.
Despite the successful improvement in the power conversion efficiency (PCE) of perovskite solar cells (PSCs), the issue of instability is still a serious challenge for their commercial application. The issue of the PSCs mainly originates from the decomposition of the organic–inorganic hybrid perovskite materials, which will degrade upon humidity and suffer from the thermal environment. In addition, the charge transport layers also influence the stability of the whole devices. In this study, inorganic transport layers are utilized in an inverted structure of PSCs employing CsPbIBr2 as light absorbent layer, in which nickel oxide (NiOx) and cerium oxide (CeOx) films are applied as the hole transport layer (HTL) and the electron transport layer (ETL), respectively. The inorganic transport layers are expected to protect the CsPbIBr2 film from the contact of moisture and react with the metal electrode, thus preventing degradation. The PSC with all inorganic components, inorganic perovskite and inorganic transport layers demonstrates an initial PCE of 5.60% and retains 5.56% after 600 s in ambient air at maximum power point tracking. Full article
Show Figures

Figure 1

Back to TopTop