Performance Optimization of CsPb(I1–xBrx)3 Inorganic Perovskite Solar Cells with Gradient Bandgap
Abstract
1. Introduction
2. Device Simulation
3. Results and Discussion
3.1. Influence of the Hole Transport Layer on Device Performance
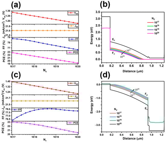
3.2. Influence of CsPbI3 Perovskite Layer Parameters on Device Performance
3.3. Uniform Composition Configuration
3.4. Gradient Composition Configuration
4. Conclusions
Author Contributions
Funding
Data Availability Statement
Acknowledgments
Conflicts of Interest
References
- Zhaoyi, J.; Binkai, W.; Wenjun, Z.; Zhichun, Y.; Mengjie, L.; Fumeng, R.; Tahir, I.; Zhenxing, S.; Shasha, Z.; Yiqiang, Z.; et al. Solvent engineering towards scalable fabrication of high-quality perovskite films for efficient solar modules. J. Energy Chem. 2023, 80, 689–710. [Google Scholar]
- Li, Z.; Xu, J.; Zhou, S.; Zhang, B.; Liu, X.; Dai, S.; Yao, J. CsBr-Induced Stable CsPbI3–xBrx (x < 1) Perovskite Films at Low Temperature for Highly Efficient Planar Heterojunction Solar Cells. ACS Appl. Mater. Interfaces 2018, 10, 38183–38192. [Google Scholar]
- Sun, S.; Salim, T.; Mathews, N.; Duchamp, M.; Boothroyd, C.; Xing, G.; Sum, T.C.; Lam, Y.M. The origin of high efficiency in low-temperature solution-processable bilayer organometal halide hybrid solar cells. Energy Environ. Sci. 2014, 7, 399–407. [Google Scholar] [CrossRef]
- He, Y.; Galli, G. Perovskites for Solar Thermoelectric Applications: A First Principle Study of CH3NH3AI3 (A = Pb and Sn). Chem. Mater. 2014, 26, 5394–5400. [Google Scholar] [CrossRef]
- Yang, D.; Yang, R.; Zhang, J.; Yang, Z.; Liu, S.; Li, C. High efficiency flexible perovskite solar cells using superior low temperature TiO2. Energy Environ. Sci. 2015, 8, 3208–3214. [Google Scholar] [CrossRef]
- Ball, J.M.; Lee, M.M.; Hey, A.; Snaith, H.J. Low-temperature processed meso-superstructured to thin-film perovskite solar cells. Energy Environ. Sci. 2013, 6, 1739–1743. [Google Scholar] [CrossRef]
- Kojima, A.; Teshima, K.; Shirai, Y.; Miyasaka, T. Organometal Halide Perovskites as Visible-Light Sensitizers for Photovoltaic Cells. J. Am. Chem. Soc. 2009, 131, 6050–6051. [Google Scholar] [CrossRef] [PubMed]
- Park, J.; Kim, J.; Yun, H.S.; Paik, M.J.; Noh, E.; Mun, H.J.; Kim, M.G.; Shin, T.J.; Seok, S.I. Controlled growth of perovskite layers with volatile alkylammonium chlorides. Nature 2023, 616, 724–730. [Google Scholar] [CrossRef]
- Berhe, T.A.; Su, W.-N.; Chen, C.-H.; Pan, C.-J.; Cheng, J.-H.; Chen, H.-M.; Tsai, M.-C.; Chen, L.-Y.; Dubale, A.A.; Hwang, B.-J. Organometal halide perovskite solar cells: Degradation and stability. Energy Environ. Sci. 2016, 9, 323–356. [Google Scholar] [CrossRef]
- Salado, M.; Calio, L.; Berger, R.; Kazim, S.; Ahmad, S. Influence of the mixed organic cation ratio in lead iodide based perovskite on the performance of solar cells. Phys. Chem. Chem. Phys. 2016, 18, 27148–27157. [Google Scholar] [CrossRef] [PubMed]
- Han, Y.; Meyer, S.; Dkhissi, Y.; Weber, K.; Pringle, J.M.; Bach, U.; Spiccia, L.; Cheng, Y.-B. Degradation observations of encapsulated planar CH3NH3PbI3 perovskite solar cells at high temperatures and humidity. J. Mater. Chem. A 2015, 3, 8139–8147. [Google Scholar] [CrossRef]
- Service, R.F. Cesium fortifies next-generation solar cells. Science 2016, 351, 113–114. [Google Scholar] [CrossRef] [PubMed]
- Wang, K.; Jin, Z.; Liang, L.; Bian, H.; Bai, D.; Wang, H.; Zhang, J.; Wang, Q.; Liu, S. Publisher Correction: All-inorganic cesium lead iodide perovskite solar cells with stabilized efficiency beyond 15%. Nat. Commun. 2018, 9, 4935. [Google Scholar] [CrossRef] [PubMed]
- Eperon, G.E.; Paternò, G.M.; Sutton, R.J.; Zampetti, A.; Haghighirad, A.A.; Cacialli, F.; Snaith, H.J. Inorganic caesium lead iodide perovskite solar cells. J. Mater. Chem. A 2015, 3, 19688–19695. [Google Scholar] [CrossRef]
- Chen, Y.; Liu, X.; Wang, T.; Zhao, Y. Highly Stable Inorganic Lead Halide Perovskite toward Efficient Photovoltaics. Acc. Chem. Res. 2021, 54, 3452–3461. [Google Scholar] [CrossRef]
- Liang, J.; Liu, J.; Jin, Z. All-Inorganic Halide Perovskites for Optoelectronics: Progress and Prospects (Solar RRL 10/2017). Sol. RRL 2017, 1, 1770138. [Google Scholar] [CrossRef]
- Frolova, L.A.; Anokhin, D.V.; Piryazev, A.A.; Luchkin, S.Y.; Dremova, N.N.; Stevenson, K.J.; Troshin, P.A. Highly Efficient All-Inorganic Planar Heterojunction Perovskite Solar Cells Produced by Thermal Coevaporation of CsI and PbI2. J. Phys. Chem. Lett. 2017, 8, 67–72. [Google Scholar] [CrossRef] [PubMed]
- Sutton, R.J.; Eperon, G.E.; Miranda, L.; Parrott, E.S.; Kamino, B.A.; Patel, J.B.; Hörantner, M.T.; Johnston, M.B.; Haghighirad, A.A.; Moore, D.T.; et al. Bandgap-Tunable Cesium Lead Halide Perovskites with High Thermal Stability for Efficient Solar Cells. Adv. Energy Mater. 2016, 6, 1502458. [Google Scholar] [CrossRef]
- Cui, Y.; Shi, J.; Meng, F.; Yu, B.; Tan, S.; He, S.; Tan, C.; Li, Y.; Wu, H.; Luo, Y.; et al. A Versatile Molten-Salt Induction Strategy to Achieve Efficient CsPbI3 Perovskite Solar Cells with a High Open–Circuit Voltage > 1.2 V. Adv. Mater. 2022, 34, 2205028. [Google Scholar] [CrossRef] [PubMed]
- Li, Z.; Yang, M.; Park, J.-S.; Wei, S.-H.; Berry, J.J.; Zhu, K. Stabilizing Perovskite Structures by Tuning Tolerance Factor: Formation of Formamidinium and Cesium Lead Iodide Solid-State Alloys. Chem. Mater. 2016, 28, 284–292. [Google Scholar] [CrossRef]
- Sharma, S.; Weiden, N.; Weiss, A. Phase Diagrams of Quasibinary Systems of the Type: ABX3—A′BX3; ABX3—AB′X3, and ABX3—ABX′3; X = Halogen. Z. Phys. Chem. 1992, 175, 63–80. [Google Scholar] [CrossRef]
- Nam, J.K.; Chai, S.U.; Cha, W.; Choi, Y.J.; Kim, W.; Jung, M.S.; Kwon, J.; Kim, D.; Park, J.H. Potassium Incorporation for Enhanced Performance and Stability of Fully Inorganic Cesium Lead Halide Perovskite Solar Cells. Nano Lett. 2017, 17, 2028–2033. [Google Scholar] [CrossRef]
- Faheem, M.B.; Khan, B.; Feng, C.; Farooq, M.U.; Raziq, F.; Xiao, Y.; Li, Y. All-Inorganic Perovskite Solar Cells: Energetics, Key Challenges, and Strategies toward Commercialization. ACS Energy Lett. 2020, 5, 290–320. [Google Scholar] [CrossRef]
- Sun, S.-Q.; Xu, X.; Sun, Q.; Yao, Q.; Cai, Y.; Li, X.-Y.; Xu, Y.-L.; He, W.; Zhu, M.; Lv, X.; et al. All-Inorganic Perovskite-Based Monolithic Perovskite/Organic Tandem Solar Cells with 23.21% Efficiency by Dual-Interface Engineering. Adv. Energy Mater. 2023, 13, 2204347. [Google Scholar] [CrossRef]
- Yuanjia, D.; Qiang, G.; Yanfang, G.; Zheng, D.; Zhibin, W.; Zongwei, C.; Qing, G.; Zhi, Z.; Yongfang, L.; Erjun, Z. A low-cost hole transport layer enables CsPbI2Br single-junction and tandem perovskite solar cells with record efficiencies of 17.8% and 21.4%. Nano Today 2022, 46, 101586. [Google Scholar]
- Guo, Q.; Duan, J.; Zhang, J.; Zhang, Q.; Duan, Y.; Yang, X.; He, B.; Zhao, Y.; Tang, Q. Universal Dynamic Liquid Interface for Healing Perovskite Solar Cells. Adv. Mater. 2022, 34, 2202301. [Google Scholar] [CrossRef] [PubMed]
- Zhou, Q.; Duan, J.; Du, J.; Guo, Q.; Zhang, Q.; Yang, X.; Duan, Y.; Tang, Q. Tailored Lattice “Tape” to Confine Tensile Interface for 11.08%-Efficiency All-Inorganic CsPbBr3 Perovskite Solar Cell with an Ultrahigh Voltage of 1.702 V. Adv. Sci. 2021, 8, 2101418. [Google Scholar] [CrossRef]
- Kong, J.; Shin, Y.; Röhr, J.A.; Wang, H.; Meng, J.; Wu, Y.; Katzenberg, A.; Kim, G.; Kim, D.Y.; Li, T.-D.; et al. CO2 doping of organic interlayers for perovskite solar cells. Nature 2021, 594, 51–56. [Google Scholar] [CrossRef]
- Dastidar, S.; Li, S.; Smolin, S.Y.; Baxter, J.B.; Fafarman, A.T. Slow Electron–Hole Recombination in Lead Iodide Perovskites Does Not Require a Molecular Dipole. ACS Energy Lett. 2017, 2, 2239–2244. [Google Scholar] [CrossRef]
- Deepthi; Varkey, S.; Joji, K. Simulation and optimization studies on CsPbI3 based inorganic perovskite solar cells. Sol. Energy 2021, 221, 99–108. [Google Scholar]
- Chen, W.; Li, X.; Li, Y.; Li, Y. A review: Crystal growth for high-performance all-inorganic perovskite solar cells. Energy Environ. Sci. 2020, 13, 1971–1996. [Google Scholar] [CrossRef]
- Teimouri, R.; Mohammadpour, R. Potential application of CuSbS2 as the hole transport material in perovskite solar cell: A simulation study. Superlatt. Microstruct. 2018, 118, 116–122. [Google Scholar] [CrossRef]
- Rajan, K.S.; Ranveer, K.; Neha, J.; Saumya, R.D.; Jai, S.; Amit, S. Investigation of optical and dielectric properties of CsPbI3 inorganic lead iodide perovskite thin film. J. Taiwan Inst. Chem. Eng. 2019, 96, 538–542. [Google Scholar]
- Yang, Z.; Surrente, A.; Galkowski, K.; Miyata, A.; Portugall, O.; Sutton, R.J.; Haghighirad, A.A.; Snaith, H.J.; Maude, D.K.; Plochocka, P.; et al. Impact of the Halide Cage on the Electronic Properties of Fully Inorganic Cesium Lead Halide Perovskites. ACS Energy Lett. 2017, 2, 1621–1627. [Google Scholar] [CrossRef]
- Faiza, A.; Afak, M.; Nouredine, S.; Amjad, M. Electron and hole transport layers optimization by numerical simulation of a perovskite solar cell. Sol. Energy 2019, 181, 372–378. [Google Scholar]
- Minemoto, T.; Murata, M. Device modeling of perovskite solar cells based on structural similarity with thin film inorganic semiconductor solar cells. J. Appl. Phys. 2014, 116, 054505. [Google Scholar] [CrossRef]
- Lingyan, L.; Linqin, J.; Ping, L.; Hao, X.; Zhenjing, K.; Baodian, F.; Yu, Q. Simulated development and optimized performance of CsPbI3 based all-inorganic perovskite solar cells. Sol. Energy 2020, 198, 454–460. [Google Scholar]
- Saad, U.; Ping, L.; Jiaming, W.; Peixin, Y.; Linlin, L.; Shi, E.Y.; Haizhong, G.; Tianyu, X.; Yongsheng, C. Optimizing the working mechanism of the CsPbBr3-based inorganic perovskite solar cells for enhanced efficiency. Sol. Energy 2020, 209, 79–84. [Google Scholar]
- Dhakal, R.; Huh, Y.; Galipeau, D.; Yan, X. AlSb Compound Semiconductor as Absorber Layer in Thin Film Solar Cells. Solar Cells. 2011, 16, 341–356. [Google Scholar]
- Wu, H.; Wang, L.-S. A study of nickel monoxide (NiO), nickel dioxide (ONiO), and Ni(O2) complex by anion photoelectron spectroscopy. J. Chem. Phys. 1997, 107, 16–21. [Google Scholar] [CrossRef]
- Qin, P.; Tanaka, S.; Ito, S.; Tetreault, N.; Manabe, K.; Nishino, H.; Nazeeruddin, M.K.; Grätzel, M. Inorganic hole conductor-based lead halide perovskite solar cells with 12.4% conversion efficiency. Nat. Commun. 2014, 5, 3834. [Google Scholar] [CrossRef] [PubMed]
- Yuanzhi, J.; Jin, Y.; Youxuan, N.; Jien, Y.; Yao, W.; Tonggang, J.; Mingjian, Y.; Jun, C. Reduced-Dimensional α-CsPbX3 Perovskites for Efficient and Stable Photovoltaics. Joule 2018, 2, 1356–1368. [Google Scholar]
- Schlaus, A.P.; Spencer, M.S.; Miyata, K.; Liu, F.; Wang, X.; Datta, I.; Lipson, M.; Pan, A.; Zhu, X.Y. How lasing happens in CsPbBr3 perovskite nanowires. Nat. Commun. 2019, 10, 265. [Google Scholar] [CrossRef] [PubMed]
- Liu, C.; Yang, Y.; Xia, X.; Ding, Y.; Arain, Z.; An, S.; Liu, X.; Cristina, R.C.; Dai, S.; Nazeeruddin, M.K. Soft Template-Controlled Growth of High-Quality CsPbI3 Films for Efficient and Stable Solar Cells. Adv. Energy Mater. 2020, 10, 1903751. [Google Scholar] [CrossRef]
- Kunpeng, L. Research on Preparation and Performance of All-Inorganic Perovskite Solar Cells Based on CsPbl3–xBrx. Master’s Thesis, Jilin University, Jilin, China, 2021. [Google Scholar]
- Takashi, M.; Masashi, M. Theoretical analysis on effect of band offsets in perovskite solar cells. Sol. Energy Mater. Sol. Cells 2015, 133, 8–14. [Google Scholar]
- Jie, J.; Sui, Y.; Yaguang, S.; Rui, S.; Xinyi, T.; Hongxing, L.; Jie, Y.; Jianxin, Z. Optimization bandgap gradation structure simulation of Cu2Sn1−xGexS3 solar cells by SCAPS. Sol. Energy 2019, 194, 986–994. [Google Scholar]















| Parameter Name | Spiro-OMeTAD | CsPbI3 | Composition Dependence Law | CsPbBr3 | TiO2 | FTO |
|---|---|---|---|---|---|---|
| Thickness d (nm) | 170 | 750 | Uniform | 750 | 25 | 300 |
| Bandgap energy Eg (eV) | 3 | 1.68 | Linear | 2.3 | 3.2 | 3.5 |
| Electron affinity χ (eV) | 2.45 | 3.95 | Cubic equation | 3.3 | 3.9 | 3.9 |
| Relative permittivity εr | 3 | 10 | Linear | 7.3 | 9 | 9 |
| Effective conduction band density NC (cm−3) | 2.2 × 1018 | 2.2 × 1018 | Logarithmic | 1 × 1019 | 1 × 1021 | 1 × 1021 |
| Effective valance band density NV (cm−3) | 1.8 × 1019 | 1.8 × 1019 | Logarithmic | 1 × 1019 | 2 × 1020 | 1.8 × 1020 |
| Electron mobility μn (cm2V−1s−1) | 2 × 10−4 | 30 | Linear | 10 | 20 | 20 |
| Hole mobility μp (cm2V−1s−1) | 2 × 10−4 | 30 | Linear | 10 | 10 | 10 |
| Donor concentration ND (cm−3) | - | - | - | - | 1 × 1018 | 2 × 1019 |
| Acceptor concentration NA (cm−3) | 2 × 1018 | 1 × 1015 | Uniform | 1 × 1015 | - | - |
| Defect density Nt (cm−3) | 1 × 1015 | 2.07 × 1014 | Logarithmic | 1.58 × 1013 | 1 × 1015 | 1 × 1015 |
| Parameter Name | Spiro-OMeTAD | CuI | CuSCN | CZTS |
|---|---|---|---|---|
| Thickness d (nm) | 170 | 170 | 170 | 170 |
| Bandgap energy Eg (eV) | 3 | 3.1 | 3.4 | 1.49 |
| Electron affinity χ (eV) | 2.45 | 2.1 | 1.9 | 4.1 |
| Relative permittivity εr | 3 | 6.5 | 10 | 7 |
| Effective conduction band density NC (cm−3) | 2.2 × 1018 | 2.8 × 1019 | 1.7 × 1019 | 2.5 × 1020 |
| Effective valance band density NV (cm−3) | 1.8 × 1019 | 1 × 1019 | 1.8 × 1018 | 2.5 × 1020 |
| Electron mobility μn (cm2V−1s−1) | 2 × 10−4 | 100 | 100 | 25 |
| Hole mobility μp (cm2V−1s−1) | 2 × 10−4 | 43.9 | 25 | 20 |
| Donor concentration ND (cm−3) | - | - | - | - |
| Acceptor concentration NA (cm−3) | 2 × 1018 | 1 × 1020 | 1 × 1018 | 1.7 × 1018 |
| Defect density Nt (cm−3) | 1 × 1015 | 1 × 1015 | 1 × 1015 | 1 × 1015 |
| Materials | VOC (V) | JSC (mA/cm2) | FF (%) | PCE (%) |
|---|---|---|---|---|
| Spiro-OMeTAD | 1.25 | 21.61 | 78.13 | 21.18 |
| CuI | 1.26 | 21.61 | 77.94 | 21.22 |
| CuSCN | 1.26 | 21.61 | 78.09 | 21.25 |
| CZTS | 1.12 | 21.56 | 80.68 | 19.55 |
Disclaimer/Publisher’s Note: The statements, opinions and data contained in all publications are solely those of the individual author(s) and contributor(s) and not of MDPI and/or the editor(s). MDPI and/or the editor(s) disclaim responsibility for any injury to people or property resulting from any ideas, methods, instructions or products referred to in the content. |
© 2023 by the authors. Licensee MDPI, Basel, Switzerland. This article is an open access article distributed under the terms and conditions of the Creative Commons Attribution (CC BY) license (https://creativecommons.org/licenses/by/4.0/).
Share and Cite
Wang, L.; Yang, S.; Xi, T.; Yang, Q.; Yi, J.; Li, H.; Zhong, J. Performance Optimization of CsPb(I1–xBrx)3 Inorganic Perovskite Solar Cells with Gradient Bandgap. Energies 2023, 16, 4135. https://doi.org/10.3390/en16104135
Wang L, Yang S, Xi T, Yang Q, Yi J, Li H, Zhong J. Performance Optimization of CsPb(I1–xBrx)3 Inorganic Perovskite Solar Cells with Gradient Bandgap. Energies. 2023; 16(10):4135. https://doi.org/10.3390/en16104135
Chicago/Turabian StyleWang, Luning, Sui Yang, Tingting Xi, Qingchen Yang, Jie Yi, Hongxing Li, and Jianxin Zhong. 2023. "Performance Optimization of CsPb(I1–xBrx)3 Inorganic Perovskite Solar Cells with Gradient Bandgap" Energies 16, no. 10: 4135. https://doi.org/10.3390/en16104135
APA StyleWang, L., Yang, S., Xi, T., Yang, Q., Yi, J., Li, H., & Zhong, J. (2023). Performance Optimization of CsPb(I1–xBrx)3 Inorganic Perovskite Solar Cells with Gradient Bandgap. Energies, 16(10), 4135. https://doi.org/10.3390/en16104135
