Sign in to use this feature.

Years

Between: -

Subjects

remove_circle_outline
remove_circle_outline
remove_circle_outline
remove_circle_outline
remove_circle_outline
remove_circle_outline
remove_circle_outline
remove_circle_outline
remove_circle_outline

Journals

remove_circle_outline
remove_circle_outline
remove_circle_outline
remove_circle_outline
remove_circle_outline

Article Types

Countries / Regions

remove_circle_outline
remove_circle_outline
remove_circle_outline
remove_circle_outline
remove_circle_outline
remove_circle_outline

Search Results (909)

Search Parameters:
Keywords = Conservation Importance Index

Order results
Result details
Results per page
Select all
Export citation of selected articles as:
22 pages, 751 KB  
Article
Conservation and Human Use Index: A Practical, Multi-Parameter Assessment Tool to Identify and Track Conflicts and Synergies in Conservation Area Management
by Phoebe Vayanou, Panagiotis Georgiou and Constantinos Kounnamas
Sustainability 2026, 18(9), 4197; https://doi.org/10.3390/su18094197 - 23 Apr 2026
Abstract
Natural resource management and area-based conservation are increasingly recognised as outcomes of complex interactions between ecological conditions and social systems, shaped by local knowledge, governance arrangements, and environmental pressures. The Social-Ecological Systems Framework (SESF), developed by Elinor Ostrom, provides a comprehensive framework to [...] Read more.
Natural resource management and area-based conservation are increasingly recognised as outcomes of complex interactions between ecological conditions and social systems, shaped by local knowledge, governance arrangements, and environmental pressures. The Social-Ecological Systems Framework (SESF), developed by Elinor Ostrom, provides a comprehensive framework to analyse these dynamics; however, most applications remain context-specific, limiting cross-site comparability. This study introduces the Conservation and Human Use Index (CHUI), a standardised diagnostic tool that operationalizes SESF principles for comparative analysis across conservation-important areas. CHUI comprises 134 qualitative questions structured across four equally weighted dimensions: (i) Natural Values and Ecosystem Services, (ii) Threats and Pressures, (iii) Governance, and (iv) Social Perceptions. Using an ordinal 0–3 scale with a “Not Applicable” option, the Index enables consistent, flexible application through both desk-based assessments and participatory processes. It generates aggregate and disaggregated outputs that help identify pressure hotspots, governance gaps, and conservation-use synergies. CHUI’s primary innovation lies in translating SESF into a pragmatic and participatory instrument that supports real-world decision-making. Rather than replacing detailed ecological or socio-economic assessments, it functions as a collaborative diagnostic compass to guide targeted investigation and intervention. Its participatory design fosters shared learning, transparency, and co-production of context-specific management pathways, supporting adaptive stewardship and community empowerment. Developed within the Horizon Europe PRO-COAST project and tested across ten European coastal case studies, CHUI advances both the operationalization of SESF and the practice of inclusive, adaptive conservation management. Full article
20 pages, 6648 KB  
Article
Large-Scale Phenotypic Assessment of Mediterranean Fig Diversity Reveals Key Traits for Breeding and Cultivar Improvement
by Marco Castellacci, Andrea Cavallini, Margarita López-Corrales, Ghada Baraket, Arzu Ayar, María Guadalupe Domínguez, Songul Comlekcioglu, Antonio Jesús Galán, Ana María Fernández-León, Manuel J. Serradilla, Fateh Aljane, Sahar Haffar, Amel Salhi Hannachi, Aymen Aounallah, Ayzin Kuden, José Inaki Hormaza and Tommaso Giordani
Horticulturae 2026, 12(5), 511; https://doi.org/10.3390/horticulturae12050511 - 22 Apr 2026
Abstract
The fig tree (Ficus carica L.) is one of the oldest cultivated fruit trees in the Mediterranean region and represents an important genetic resource for both traditional and emerging production systems. Despite its agronomic and economic relevance, modern fig breeding remains limited, [...] Read more.
The fig tree (Ficus carica L.) is one of the oldest cultivated fruit trees in the Mediterranean region and represents an important genetic resource for both traditional and emerging production systems. Despite its agronomic and economic relevance, modern fig breeding remains limited, and large-scale phenotypic evaluations across Mediterranean germplasms are still scarce. The objective of this study was to assess phenotypic diversity and identify key agronomic traits relevant for fig breeding. A total of 257 female fig genotypes conserved in germplasm banks located in Spain, Turkey, and Tunisia were used. Over two consecutive seasons (2021 and 2022), a total of 27 morphological, phenological, and pomological traits were assessed according to the International Union for the Protection of New Varieties of Plants (UPOV) descriptors for fig (TG265/1), with 23 phenotypic traits retained for statistical analyses. Linear mixed models were used to estimate marginal means and to partition genetic and environmental variance, while multivariate analyses and trait correlations were employed to explore the structure of phenotypic diversity. The germplasm exhibits remarkable variation in productive type, reproductive behaviour, harvesting date, and fruit quality traits. Harvesting date spans nearly three months. Fruit weight ranges from 11.7 to 134.5 g, total soluble solids from 9 to 39 °Brix, and maturation index values reached high levels, indicating pronounced sweetness during fruit ripening. Most genotypes showed high skin scratch resistance, absence of cracking at maturity, and medium or small ostiole size, highlighting the presence of ideotypes specifically suited for fresh market production. Heritability estimates indicate strong genetic control of key traits, such as fruit weight, fruit size, and total soluble solids, highlighting their suitability for selection in breeding programs. Stakeholder prioritisation further confirmed the relevance of fruit size, sweetness, firmness, and ostiole characteristics, helping to identify best genotypes for breeding and agronomic purposes. Overall, this study demonstrates the value of Mediterranean fig germplasm as a reservoir of valuable agronomic and commercial traits and provides a robust phenotypic framework to support future breeding, conservation, and cultivar selection strategies. Full article
Show Figures

Figure 1

14 pages, 1116 KB  
Article
Genetic Diversity and Population Structure Analysis of Seven Duck Populations of Bangladesh Using Microsatellite Markers
by Pranto Saha, Krishna Chandra Barman, Minjun Kim, Dongwon Seo, Md. Munir Hossain, Seung Hwan Lee, Md Azizul Haque and Mohammad Shamsul Alam Bhuiyan
Vet. Sci. 2026, 13(4), 407; https://doi.org/10.3390/vetsci13040407 - 21 Apr 2026
Viewed by 281
Abstract
The objectives of this paper were to assess the genetic diversity, population structure, genetic differentiation, and phylogenetic relationships among seven duck populations using 14 microsatellite (MS) markers. This paper included 176 individuals representing seven duck populations of Bangladesh: indigenous duck (BLD), Nageswari (NAG), [...] Read more.
The objectives of this paper were to assess the genetic diversity, population structure, genetic differentiation, and phylogenetic relationships among seven duck populations using 14 microsatellite (MS) markers. This paper included 176 individuals representing seven duck populations of Bangladesh: indigenous duck (BLD), Nageswari (NAG), Rupali (RUP), Jinding (JIN), Pekin (PEK), BAU Black and White (BWC), and BAU White (WHC). A total of 133 alleles were observed with a mean of 9.50 alleles per locus. Genetic diversity was evaluated using measures such as allele frequency, observed and expected heterozygosity, and Shannon’s information index with average values of 5.44 ± 0.31, 0.59 ± 0.02, 0.64 ± 0.02, and 1.28 ± 0.05, respectively. Population differentiation and inbreeding analysis (F-statistics) indicated moderate genetic diversity and a slight degree of inbreeding across populations. Analysis of molecular variance indicated that 75% of the total genetic diversity was attributable to the within-population variation, whereas 9% and 16% were attributed to the variation among individuals and population differentiation, respectively. Indigenous duck populations (BLD, NAG, and RUP) had a close genetic relationship with JIN ducks and an intermediate relationship with two crossbreds (BWC and WHC), and the highest genetic distance was observed with PEK ducks. Neighbor-joining phylogenetic analysis revealed that the Bangladeshi indigenous duck populations formed a single cluster, while the two crossbreds (BWC and WHC) and PEK exhibited their distinct genetic identities in separate clusters. Furthermore, structure analysis at K = 2 to 5 confirmed the distinct genetic architecture (ΔK = 4.00) of the studied duck populations. This paper provides important insights into genetic diversity measures and population differentiation that will be helpful in future genetic improvement, conservation initiatives, and the design of appropriate breeding programs. Full article
Show Figures

Figure 1

27 pages, 1599 KB  
Article
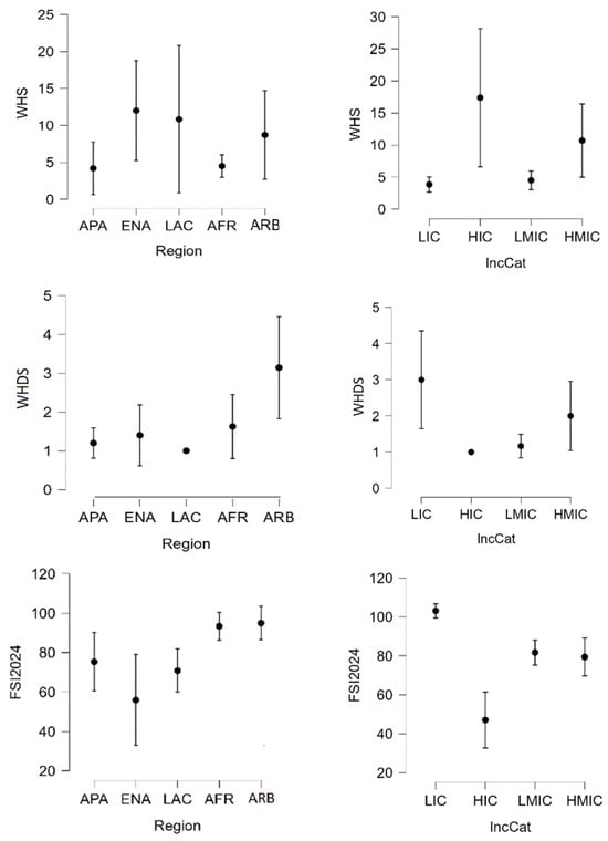
The Wealth Gap in World Heritage—Economic Disparity and State Fragility as Factors of World Heritage Preservation
by Zsuzsanna Bacsi
Heritage 2026, 9(4), 155; https://doi.org/10.3390/heritage9040155 - 16 Apr 2026
Viewed by 175
Abstract
The importance of heritage in global development is a well-established fact, and according to UNESCO the preservation and protection of the cultural and natural heritage of the world should be among the priorities of the global community. This is necessitated by the fact [...] Read more.
The importance of heritage in global development is a well-established fact, and according to UNESCO the preservation and protection of the cultural and natural heritage of the world should be among the priorities of the global community. This is necessitated by the fact that heritage has been continuously destroyed over time by war and terrorism, modernisation, urbanisation, and climate change. World Heritage sites are global treasures of unique value, and their protection requires efforts on the international scale. Countries may raise resources for maintaining and preserving their endangered World Heritage sites, and for those inscribed on the List of World Heritage in Danger they may apply for international assistance from UNESCO as well. Case studies and examples show that economic affluence and state stability considerably influence the conservation of World Heritage sites. This research investigates the correlation between national economic development and the conservation status of UNESCO World Heritage sites. By analysing data from 31 countries as homes of sites inscribed on the List of World Heritage in Danger, this study examines the relationship between GDP per capita, the volume of international assistance, and the “In Danger” status of sites, adding control factors such as the fragile state index, encompassing threats of war and internal conflicts, and extreme climate events. To the author’s best knowledge, no such comparative assessment between development level and international assistance to sites inscribed on the list has been attempted before, so this quantitative analysis is a novel approach of the outlined problem area. The findings aim to demonstrate whether the current global heritage framework effectively supports lower-income nations or if financial disparity remains the primary driver of heritage loss in the face of global climate change and political factors. The main research question is whether the socio-economic status of a nation will remain a stronger predictor of heritage survival than the actual severity of environmental threats, maintaining a “heritage divide” between the Global North and the Global South. This research concludes with recommendations for a more equitable financial model to safeguard universal values in an age of increasing uncertainty. Full article
Show Figures

Figure 1

29 pages, 56643 KB  
Article
Spatial Distribution Characteristics of the Black Soil Layer and Regional Ecological Sensitivity Analysis in the Eastern Songnen High Plain
by Enquan Zhao, Xidong Zhao, Ming Li, Xiaodong Liu, Shisong Yuan, Jie Bai, Tian Qin and Hongxing Hou
Land 2026, 15(4), 649; https://doi.org/10.3390/land15040649 - 15 Apr 2026
Viewed by 168
Abstract
The Northeast Black Soil Region is an important commercial grain production base in China. However, ecological issues such as black soil degradation and soil erosion pose direct threats to food security. Previous studies have mainly examined individual factors of black soil degradation. Few [...] Read more.
The Northeast Black Soil Region is an important commercial grain production base in China. However, ecological issues such as black soil degradation and soil erosion pose direct threats to food security. Previous studies have mainly examined individual factors of black soil degradation. Few have integrated spatial thickness distribution with multi-dimensional ecological sensitivity. To address this gap, this study establishes an ecological sensitivity evaluation index system for Bayan County, located in the eastern Songnen High Plain. Based on a review of relevant literature, the system includes four dimensions: topography, climate, natural resources, and human activities. A combined Analytic Hierarchy Process (AHP) and Entropy Weight Method (EWM) was used to determine indicator weights. Compared with single-weighting methods, this approach balances expert judgment with data-driven variation. The results are as follows. (1) The thickness of the black soil layer in Bayan County ranges from 18 to 77 cm. Medium, thin, and thick layers account for 78.81%, 16.32%, and 4.87% of the area, respectively. The total black soil reserve is estimated at about 1.267 billion m3. (2) Among the primary indicators, natural resources have the highest weight (0.53). The five most important secondary indicators are the river buffer zone (0.14), NDVI (0.13), soil type (0.12), land use type (0.12), and road buffer zone (0.09). (3) The overall ecological sensitivity of the county is moderate, with a composite index ranging from 1.45 to 4.45. The proportions of extremely sensitive, highly sensitive, moderately sensitive, mildly sensitive, and insensitive areas are 10.79%, 25.51%, 28.95%, 24.23%, and 10.52%, respectively. These findings provide a scientific basis for ecological protection and black soil conservation. They also support the development of targeted, zone-specific management strategies in Bayan County. Full article
(This article belongs to the Section Land – Observation and Monitoring)
Show Figures

Figure 1

32 pages, 3743 KB  
Article
Machine Learning-Based Mapping of Dominant Tree Species in Dryland Forests Using Multi-Temporal and Multi-Source Data
by Emad H. E. Yasin, Milan Koreň and Kornel Czimber
Remote Sens. 2026, 18(8), 1185; https://doi.org/10.3390/rs18081185 - 15 Apr 2026
Viewed by 187
Abstract
Timely and accurate mapping of tree species is essential for forest resource inventory, biodiversity conservation, and sustainable ecosystem management, particularly in dryland environments where structural heterogeneity, spectral similarity, and data scarcity complicate classification. This study develops a machine learning-based framework implemented in Google [...] Read more.
Timely and accurate mapping of tree species is essential for forest resource inventory, biodiversity conservation, and sustainable ecosystem management, particularly in dryland environments where structural heterogeneity, spectral similarity, and data scarcity complicate classification. This study develops a machine learning-based framework implemented in Google Earth Engine to map dominant tree species in the Elnour Natural Forest Reserve (ENFR), Blue Nile, Sudan, using multi-temporal and multi-sensor remote sensing data. Multi-temporal Landsat 5 TM, Landsat 8 OLI, and Sentinel-2 MSI imagery were integrated with vegetation index (NDVI), topographic variables derived from a digital elevation model (DEM), and field observations. The performance of Random Forest (RF), Support Vector Machine (SVM), Classification and Regression Trees (CART), and an unweighted ensemble approach was evaluated across four reference years (2008, 2013, 2018, and 2021). Results show that RF and SVM consistently achieved high classification performance, with overall accuracy (OA) ranging from 85.0% to 92.0% and Kappa coefficients (κ) from 0.81 to 0.89, while maintaining stable and ecologically realistic species-area estimates. CART showed greater sensitivity to class imbalance and overestimated minor species (OA = 72.0–80.0%, κ = 0.65–0.74), whereas the ensemble approach amplified misclassification of rare classes (OA = 78.0–84.0%, κ = 0.70–0.78). The integration of Sentinel-2 data improved species discrimination due to enhanced spatial and spectral resolution, particularly in the red-edge region; however, algorithm selection remained the dominant factor controlling performance. Feature importance analysis identified near-infrared (NIR), shortwave infrared (SWIR), and NDVI variables as the most influential predictors. Multi-temporal analysis revealed declining class separability, reflected by decreasing MCC values, and a shift in species composition, including a decline in Acacia seyal (Delile) and an increase in Sterculia setigera Delile. These patterns indicate increasing ecological complexity driven primarily by anthropogenic pressures, with climatic variability acting as an additional stressor. Full article
14 pages, 2534 KB  
Communication
Assessment of Genetic Diversity and Differentiation in Triadica cochinchinensis Populations Using SSR Markers
by Pengyan Zhou, Qi Zhou, Chenghao Zhang, Meng Xu and Yingang Li
Plants 2026, 15(8), 1209; https://doi.org/10.3390/plants15081209 - 15 Apr 2026
Viewed by 282
Abstract
Genetic diversity is fundamental for the conservation and sustainable utilization of plant species. Triadica cochinchinensis, a tree species native to southern China, is an important ornamental and nectar-producing plant with considerable economic value. However, the levels of genetic diversity and the patterns [...] Read more.
Genetic diversity is fundamental for the conservation and sustainable utilization of plant species. Triadica cochinchinensis, a tree species native to southern China, is an important ornamental and nectar-producing plant with considerable economic value. However, the levels of genetic diversity and the patterns of population differentiation across its natural populations remain unexplored. Here, we developed 24 highly polymorphic SSR markers and used them to assess the genetic diversity and differentiation among 280 individuals collected from 10 natural populations of T. cochinchinensis. The results showed that the average expected heterozygosity (He) revealed by the SSR markers was 0.774, and the average Shannon diversity index (I) was 1.660, indicating a high level of genetic diversity at the species level of T. cochinchinensis. Analysis using SSR markers revealed a low average observed heterozygosity (Ho = 0.323) and a relatively high average inbreeding coefficient within populations (F = 0.466). These findings suggest that inbreeding is likely occurring, which may contribute to a loss of heterozygosity within the studied populations. Notably, not all populations had high genetic diversity. For example, the He of SC2 population (0.490), QY population (0.568), and SC1 population (0.585) were all below the mean He (0.607), suggesting that attention should be given to protecting populations with low genetic diversity. The results further showed that the average genetic differentiation coefficient (FST) between populations was 0.094, and the average gene flow (Nm) was 2.278, indicating that the natural populations of T. cochinchinensis had low genetic differentiation and relatively high gene flow. AMOVA indicated that 74% of the total variation was distributed within populations. Notably, populations SC1 and SC2 exhibited higher genetic differentiation from all others (FST > 0.1), which is likely attributed to mountain barriers restricting gene flow. Therefore, it is recommended to enhance in situ conservation efforts while also facilitating assisted gene flow, such as through artificial introduction. For the first time, this study reveals the genetic information of natural populations of T. cochinchinensis at the molecular level, thereby offering a valuable reference for the conservation and utilization of its germplasm resources. Full article
(This article belongs to the Section Plant Genetic Resources)
Show Figures

Figure 1

25 pages, 6932 KB  
Article
Spatiotemporal Distribution of Continuous Precipitation and Its Effect on Vegetation Cover in China over the Past 30 Years
by Hui Zhang, Shuangyuan Sun, Zihan Liao, Tianying Wang, Jinghan Xu, Peishan Ju, Jinyu Gu and Jiping Liu
Plants 2026, 15(8), 1198; https://doi.org/10.3390/plants15081198 - 14 Apr 2026
Viewed by 369
Abstract
Precipitation is a fundamental element in terrestrial water circulation and ecosystem hydrological balance. The occurrence of concentrated precipitation is closely linked to vegetation growth and soil fertility rather than accumulated or averaged precipitation. Despite its importance, the characteristics of continuous precipitation and its [...] Read more.
Precipitation is a fundamental element in terrestrial water circulation and ecosystem hydrological balance. The occurrence of concentrated precipitation is closely linked to vegetation growth and soil fertility rather than accumulated or averaged precipitation. Despite its importance, the characteristics of continuous precipitation and its specific effects on vegetation cover remain uncertain. In this study, we formulated a new continuous precipitation index system, including CPd (continuous precipitation days); ACPt (annual continuous precipitation times); CPa (continuous precipitation amount); and FCP (frequency in different ranges of ACPa). We utilized daily precipitation data from 467 meteorological stations across China, which were divided into eight vegetation type regions. We observed that the spatial distribution of continuous precipitation differed to varying degrees from accumulated precipitation. The national average of MACPa for a single event was 16.7 mm, ranging from 3.8 mm in the temperate desert region to 37.1 mm in the tropical monsoon forest and rainforest region. Similarly, the national average of MCPd (MMCPd) for a single event was approximately 2.3 or 9 days. At the regional level, the tropical monsoon forest and rainforest region experienced the longest MMCPd. Furthermore, the national average of MACPt occurrences for 1 year was 57.7 times, varying from 29.8 times in the temperate desert region to 77.9 times in the tropical monsoon forest and rainforest region. Vegetation responses to precipitation regimes exhibit significant regional heterogeneity across China. Our analysis reveals that MACPt and MPa show markedly positive correlations with vegetation growth. In subtropical monsoon climate zones, particularly the Yunnan–Guizhou Plateau and Qinling Mountains, MACPt demonstrates strong positive correlations (r = 0.6–1.0) with NDVI, where sustained rainfall provides stable moisture availability for vegetation. While a positive correlation between vegetation (NDVI) and mean annual consecutive precipitation is observed in some arid northern regions, in ecosystems such as the Loess Plateau (TG/TM), vegetation growth shows greater dependence on MPa, highlighting the crucial role of total precipitation amount in water-limited ecosystems. Notably, extreme precipitation events display dual effects on vegetation dynamics. Prolonged heavy rainfall (MMCPd/MMCPa) exhibits significant negative impacts on NDVI (r = −1.0 to −0.6) in topographically complex regions, including the Hengduan Mountains and Yangtze River Basin (SE), likely due to induced soil erosion and waterlogging stress. Our findings underscore the importance of incorporating continuous precipitation indices to evaluate and forecast the influence of precipitation on ecosystem stability. This understanding is vital for developing informed conservation and management strategies to address current and future climate challenges. Full article
(This article belongs to the Special Issue Vegetation Dynamics and Ecological Restoration in Alpine Ecosystems)
Show Figures

Figure 1

11 pages, 1109 KB  
Article
Stomatal Characterization of Grasses Present in an Oak-Pine Ecosystem
by Jaime Neftalí Márquez-Godoy, Edith Ramírez-Segura, Abieser Vázquez-González, Alan Álvarez-Holguín, Carlos Raúl Morales-Nieto, Raúl Corrales-Lerma and José Humberto Vega-Mares
Grasses 2026, 5(2), 16; https://doi.org/10.3390/grasses5020016 - 8 Apr 2026
Viewed by 267
Abstract
Forage grasses are an important component of livestock systems due to their contribution to animal feed, soil conservation, and carbon sequestration. In the face of climate change, analyzing stomatal characteristics allows us to understand the mechanisms of adaptation and tolerance to environmental stress. [...] Read more.
Forage grasses are an important component of livestock systems due to their contribution to animal feed, soil conservation, and carbon sequestration. In the face of climate change, analyzing stomatal characteristics allows us to understand the mechanisms of adaptation and tolerance to environmental stress. Therefore, the objective of this study was to determine the stomatal characteristics and trichome density of ten forage grasses present in a pine-oak dominated ecosystem. Sampling was carried out in October and November 2022 on a 1938 ha area. Mature, healthy leaves were selected, and epidermal impressions were obtained from the adaxial and abaxial surfaces using the cyanoacrylate method. Observations were made with an optical microscope at 400× magnification, quantifying stomatal density, trichome density, number of epidermal cells, and stomatal index per mm2. The results indicated that nine species were amphistomatic, while Schizachyrium scoparium exhibited an epistomatic pattern. Muhlenbergia arizonica showed the highest stomatal density, and Setaria parviflora the lowest. It is concluded that there is high stomatal variability among species, highlighting its importance for the management and improvement of pastures. Full article
Show Figures

Graphical abstract

17 pages, 1558 KB  
Article
Stage-Dependent Succession of Bacterial Communities in the South China Sea Stony Coral Goniopora sp. During Bleaching
by Li Mo, Liyu Huang, Xinye Chen, Jiaojiao Zhang, Jiaxin Liu, Jiening Zou, Xiande Huang and Xiaoyong Zhang
Microorganisms 2026, 14(4), 833; https://doi.org/10.3390/microorganisms14040833 - 7 Apr 2026
Viewed by 326
Abstract
Although coral bleaching–associated microbial changes have been widely studied, bacterial succession during bleaching, particularly in partly bleached corals, remains poorly understood. Here, we investigated bacterial community dynamics in healthy, partly bleached, and bleached Goniopora sp. collected from the Sanya Coral Reef Conservation District, [...] Read more.
Although coral bleaching–associated microbial changes have been widely studied, bacterial succession during bleaching, particularly in partly bleached corals, remains poorly understood. Here, we investigated bacterial community dynamics in healthy, partly bleached, and bleached Goniopora sp. collected from the Sanya Coral Reef Conservation District, South China Sea. A total of 599,003 valid sequences were obtained and clustered into 5094 operational taxonomic units (OTUs). These OTUs spanned 45 bacterial phyla and were identified by 16S rRNA gene sequencing, revealing a highly diverse bacterial community associated with Goniopora sp. Alpha diversity differed significantly among health statuses, with partly bleached Goniopora sp. (PBG) exhibiting the highest bacterial diversity (Shannon index: 6.25 ± 0.11), followed by bleached Goniopora sp. (BG) (5.49 ± 0.18) and healthy Goniopora sp. (HG) (3.04 ± 0.17). Beta diversity analyses showed clear separation of microbial community structures among HG, PBG, and BG. Successional analyses revealed a progressive decline in putatively beneficial bacterial taxa, including the phylum Pseudomonadota and the genus Cohaesibacter with increasing bleaching severity, whereas the relative abundance of opportunistic or stress-associated bacteria, such as Blastopirellula, Mycobacterium, and some unclassified taxa, increased. Notably, many bacterial taxa, including Acidobacteriota, Woeseia and Ruegeria, displayed non-linear abundance patterns, with pronounced shifts during the partly bleached stage. These findings highlight substantial microbial restructuring during coral bleaching and underscore the importance of the partly bleached status as a transitional phase in coral-associated bacterial succession. Full article
(This article belongs to the Section Environmental Microbiology)
Show Figures

Figure 1

22 pages, 696 KB  
Review
Acute Aortic Dissection in Women: A Comprehensive Review of Sex-Specific Differences, Clinical Management, and Outcomes
by Vasiliki Androutsopoulou, Dimitrios E. Magouliotis, Andrew Xanthopoulos, Kalliopi Keramida, Metaxia Bareka, Konstantinos Stamoulis, Kosmas Tsakiridis, Thanos Athanasiou and John Skoularigis
J. Cardiovasc. Dev. Dis. 2026, 13(4), 158; https://doi.org/10.3390/jcdd13040158 - 3 Apr 2026
Viewed by 1041
Abstract
Acute aortic dissection (AAD) is a life-threatening cardiovascular emergency characterized by important sex-related differences in presentation, management, and outcomes. Although women account for a smaller proportion of cases, they typically present at older ages and more frequently exhibit atypical symptoms, hemodynamic instability, and [...] Read more.
Acute aortic dissection (AAD) is a life-threatening cardiovascular emergency characterized by important sex-related differences in presentation, management, and outcomes. Although women account for a smaller proportion of cases, they typically present at older ages and more frequently exhibit atypical symptoms, hemodynamic instability, and complications such as pericardial effusion or tamponade, contributing to diagnostic delays and higher pre-hospital mortality. Beyond clinical factors, biological differences may influence disease expression in women. Menopause-associated vascular aging, hormonal modulation of extracellular matrix remodeling, and pregnancy-related hemodynamic and connective tissue changes may alter aortic wall integrity and susceptibility to dissection. Notably, women often experience dissection at smaller absolute aortic diameters, highlighting the potential importance of body-size indexing in risk stratification and surgical thresholds. In type A AAD, women are less likely to undergo extensive surgical repair in some cohorts, and although contemporary in-hospital mortality differences are narrowing, long-term survival disparities may persist. In type B AAD, women are more frequently managed conservatively, while outcomes following thoracic endovascular aortic repair appear broadly comparable between sexes. Pregnancy and the postpartum period represent particularly vulnerable windows, especially among patients with underlying heritable aortopathies. Greater awareness of sex-specific biological and clinical characteristics, incorporation of indexed aortic dimensions, and improved multidisciplinary management strategies are essential to optimize outcomes for women with acute aortic dissection. Full article
Show Figures

Figure 1

23 pages, 1544 KB  
Article
Reproductive Performance of Male African Catfish (Clarias gariepinus) Breeders Under Varying Hormone Preparations and Doses Under Controlled Conditions
by Joshua L. Superio, Hasmin F. Villanueva, Frenz Charish B. Hechanova, Kenaz Barnie P. Cejar, Fiona L. Pedroso and Casiano H. Choresca
Fishes 2026, 11(4), 208; https://doi.org/10.3390/fishes11040208 - 1 Apr 2026
Viewed by 861
Abstract
The African catfish (Clarias gariepinus) is an important aquaculture species in the Philippines, but it exhibits reproductive dysfunctions in captivity due to the absence of natural spawning cues and culture-induced stress. In hatcheries, sperm collection often requires sacrificing male breeders, limiting [...] Read more.
The African catfish (Clarias gariepinus) is an important aquaculture species in the Philippines, but it exhibits reproductive dysfunctions in captivity due to the absence of natural spawning cues and culture-induced stress. In hatcheries, sperm collection often requires sacrificing male breeders, limiting breeding program applications, and threatening genetic diversity. This study evaluated and optimized hormonal induction protocols to enhance spermiation and fertilization success in male C. gariepinus. Two experimental trials were conducted under controlled hatchery conditions. In Trial 1, human chorionic gonadotropin combined with a dopamine antagonist (hCG + DA; 5000 IU·kg−1 BW + 5 mg·kg−1 BW) and Ovaprim (1.0 mL·kg−1 BW) significantly increased circulating testosterone and estradiol levels, spermiation index, and fertilization outcomes (embryo viability, hatching, and larval survival). In Trial 2, medium to low doses of hCG + DA (3000–5000 IU·kg−1 BW + 5 mg·kg−1 BW) and Ovaprim (0.75–1.0 mL·kg−1 BW) yielded the best performance in terms of hormone levels, spermiation index, and fertilizing capabilities. The presence of a dopamine antagonist (DA) likely contributed to the efficacy of the treatments, since dopamine suppresses the secretion of gonadotropin-releasing hormone (dopaminergic inhibition), and DA counteracts this effect, increasing LH and FSH levels necessary for gametogenesis. Taken together, these results highlight the potential of optimized hormonal protocols to mitigate reproductive dysfunctions in male C. gariepinus in aquaculture settings. Further studies should refine dose combinations, assess the long-term health of broodstock, and evaluate cost-effectiveness to support sustainable broodstock management and genetic conservation. Full article
(This article belongs to the Section Physiology and Biochemistry)
Show Figures

Figure 1

17 pages, 3260 KB  
Article
A Comparative Analysis of the Codon Usage Bias of HSP90 Genes in Six Poaceae Forages
by Shurui Li, Jinyu Liu, Haojun Wang, Qilin Liu, Chengruizhi Lin, Xiuzhi He, Wenjuan Cai, Linkai Huang, Gang Nie and Guangyan Feng
Agronomy 2026, 16(7), 699; https://doi.org/10.3390/agronomy16070699 - 26 Mar 2026
Viewed by 353
Abstract
Codon usage bias is important for regulating protein translation efficiency and accuracy. The HSP90 gene, a pivotal gene in plants, maintains homeostasis in plant protein stress responses and organelle immune defense functions. We systematically examine codon usage preferences in six forage grass species [...] Read more.
Codon usage bias is important for regulating protein translation efficiency and accuracy. The HSP90 gene, a pivotal gene in plants, maintains homeostasis in plant protein stress responses and organelle immune defense functions. We systematically examine codon usage preferences in six forage grass species and the regulatory mechanisms of the HSP90 gene in governing codon preference. A set of metrics is evaluated, including effective codon number (ENC), codon adaptation index, and relative synonymous codon usage. Neutral evolutionary trajectories reveal usage preferences for six plant codons, with natural selection serving as the primary driving factor. The correlation between the ENC–GC3 curve (ENC relative to third-position GC content in synonymous codons) and codon bias index reveals these genes to exhibit moderate codon bias. The phenomenon of evolutionary constraints is exemplified by a propensity for C/G-terminating codons, concomitant with a suppression of NUA/NCG codons (NUA is an abbreviation for UA dinucleotide, and NCG is an abbreviation for CG dinucleotide). Phylogenomic reconstruction reveals a conserved diversification pathway, positioning P. giganteum A. Rich. at the basal node of the evolutionary framework. This study identified through systematic assessment that natural selection is the primary evolutionary force driving the biased use of codons in grass HSP90 genes. This finding provides actionable insights for enhancing abiotic stress tolerance in forage germplasm through precise codon engineering. Full article
(This article belongs to the Section Grassland and Pasture Science)
Show Figures

Figure 1

20 pages, 9472 KB  
Article
Spatial Downscaling of Satellite-Based Precipitation Data over the Qaidam Basin, China
by Yuanzheng Wang, Changzhen Yan, Qimin Ma and Xiaopeng Jia
Remote Sens. 2026, 18(7), 995; https://doi.org/10.3390/rs18070995 - 26 Mar 2026
Viewed by 355
Abstract
High-spatiotemporal-resolution precipitation data are essential for studies on regional hydrology, meteorology, and ecological conservation. Because the Qaidam Basin is a data-scarce region with a few ground stations and coarse-resolution remote sensing products, its utility in regional research is constrained. Therefore, high-resolution precipitation data [...] Read more.
High-spatiotemporal-resolution precipitation data are essential for studies on regional hydrology, meteorology, and ecological conservation. Because the Qaidam Basin is a data-scarce region with a few ground stations and coarse-resolution remote sensing products, its utility in regional research is constrained. Therefore, high-resolution precipitation data are urgently needed. Here, longitude, latitude, the normalized difference vegetation index (NDVI), the digital elevation model (DEM), daytime and nighttime land surface temperature, slope, and aspect were selected as environmental variables. Four machine learning methods, Artificial Neural Network (ANN), Cubist, Random Forest (RF), and Support Vector Machine (SVM), were used to downscale Tropical Rainfall Measuring Mission (TRMM) precipitation data from 25 to 1 km in the Qaidam Basin and validated using ground observation stations. For annual downscaling, the accuracy ranked as Cubist > ANN > RF > SVM, and residual correction further improved performance. The Cubist model produced the best results, generating finer spatial patterns and reducing outliers in both annual and monthly products. Longitude, latitude, the DEM, and the NDVI were important contributors to the Cubist model. The resulting high-resolution dataset provides valuable support for hydrological and climate change research in the Qaidam Basin. Full article
Show Figures

Figure 1

22 pages, 5716 KB  
Article
Machine-Learning-Based Historical Reconstruction of Soil Organic Carbon Dynamics in Coastal Tidal Flats: Quantifying the Spatiotemporal Impacts of Reclamation
by Caiyao Kou, Yongbin Zhang, Weidong Man, Fuping Li, Chunyan Lu, Qingwen Zhang and Mingyue Liu
Remote Sens. 2026, 18(7), 978; https://doi.org/10.3390/rs18070978 - 25 Mar 2026
Viewed by 387
Abstract
Coastal tidal flat soil organic carbon (SOC) is significantly affected by reclamation activities. However, the limited availability of historical SOC data constrains the reconstruction of past SOC. SOC data were integrated in current time-point and remote sensing data during the last two decades [...] Read more.
Coastal tidal flat soil organic carbon (SOC) is significantly affected by reclamation activities. However, the limited availability of historical SOC data constrains the reconstruction of past SOC. SOC data were integrated in current time-point and remote sensing data during the last two decades by applying machine learning (ML) methods such as random forest (RF), boosted regression trees (BRT), and extreme gradient boosting (XGBoost) to map the spatiotemporal distribution of tidal flat reclamation and the spatial distribution of SOC content in the western coastal region of the Bohai Rim over the last two decades and to explore how the period and type of reclamation affect SOC content. The results show that: (1) The area of tidal flats decreased by 61.92% from 2000 to 2020 due to reclamation activities. (2) Among the ML methods, the XGBoost model demonstrated the best performance (R2 = 0.71, MAE = 0.93 g/kg, RMSE = 1.32 g/kg, d-Willmott = 0.98), with the modified normalized difference water index (MNDWI) being the most important predictor variable. (3) The SOC content of tidal flats decreased from 4.11 g/kg in 2000 to 3.33 g/kg in 2020, a reduction of 18.98%. (4) The reclamation of tidal flats into marshes, forest lands, grasslands, farmlands, and bare lands led to an increasing trend in SOC content, with the greatest increase observed in regions converted to farmlands. This study provides data support for the control of reclamation activities, creation of tidal flat conservation policies, and strategic decision-making for climate change mitigation. Full article
(This article belongs to the Special Issue Intelligent Remote Sensing for Wetland Mapping and Monitoring)
Show Figures

Figure 1

Back to TopTop