Sign in to use this feature.

Years

Between: -

Subjects

remove_circle_outline
remove_circle_outline
remove_circle_outline
remove_circle_outline
remove_circle_outline
remove_circle_outline
remove_circle_outline
remove_circle_outline
remove_circle_outline

Journals

remove_circle_outline
remove_circle_outline
remove_circle_outline
remove_circle_outline
remove_circle_outline
remove_circle_outline
remove_circle_outline
remove_circle_outline
remove_circle_outline
remove_circle_outline
remove_circle_outline
remove_circle_outline

Article Types

Countries / Regions

remove_circle_outline
remove_circle_outline
remove_circle_outline
remove_circle_outline
remove_circle_outline

Search Results (2,083)

Search Parameters:
Keywords = CoNiO2/Co3O4

Order results
Result details
Results per page
Select all
Export citation of selected articles as:
31 pages, 19433 KB  
Article
Mineral Geochemistry of Sulfides and Oxides and Its Implications for Ore-Forming Mechanisms in the Northeast Saveh Epithermal System, Central Urumieh-Dokhtar Magmatic Arc, Iran
by Mohammad Goudarzi, Hassan Zamanian, Urs Klötzli, Alireza Almasi, Sara Houshmand-Manavi and Jiranan Homnan
Minerals 2026, 16(2), 212; https://doi.org/10.3390/min16020212 - 19 Feb 2026
Abstract
We have investigated the major- and trace-element composition of hydrothermal pyrite, magnetite, and Ti-magnetite, and of the principal Cu-minerals chalcopyrite and chalcocite, to constrain ore-forming processes in the northeastern Saveh district (central Urumieh-Dokhtar magmatic arc, Iran). Our data provide new constraints on the [...] Read more.
We have investigated the major- and trace-element composition of hydrothermal pyrite, magnetite, and Ti-magnetite, and of the principal Cu-minerals chalcopyrite and chalcocite, to constrain ore-forming processes in the northeastern Saveh district (central Urumieh-Dokhtar magmatic arc, Iran). Our data provide new constraints on the magmatic–hydrothermal evolution and subsequent hydrothermal–supergene modification of the ore system. Ti-magnetites hosted in monzodioritic intrusions are enriched in Ti–V–Al, plot below the magnetite–ulvöspinel join and record high crystallization temperatures (>500 °C) under relatively low oxygen fugacity. By contrast, magnetite from silica-rich hydrothermal veins is Fe-rich with very low TiO2; it formed at intermediate temperatures (~200–300 °C) under higher fO2 and is markedly depleted in Ti and V compared with the intrusive oxides. Textures and oxide systematics (Al + Mn vs. Ti + V; V/Ti–Fe) document repeated hydrothermal pulses, Fe2+ leaching and element redistribution during cooling and fluid–rock interaction. Geochemical trends indicate progressive evolution from a magmatic fluid to later meteoric water overprint, with increasing As contents reflecting cooling and mixing with meteoric waters. Vertical elemental zoning suggests that most samples represent mid- to deep-level sections of the epithermal system. Elevated Cu contents (up to 0.95 wt.%) highlight pyrite as a significant Cu host. Co/Ni ratios between 1 and 10 further corroborate a magmatic–hydrothermal origin. Chalcopyrite is the principal economic Cu carrier at Northeast Saveh. Replacement follows a temperature- and fluid-controlled pathway (chalcopyrite → covellite → chalcocite). At lower temperatures (<~200 °C) replacement proceeds more slowly, producing chalcocite/digenite under prolonged reaction conditions. Chalcocite commonly occurs as thin replacement rims and fracture fills that concentrate remobilized copper. Collectively, the investigated oxide and sulfide proxies provide robust discriminants for separating magmatic versus hydrothermal domains and for vectoring toward higher-temperature feeders and zones of remobilized copper. Full article
(This article belongs to the Special Issue Igneous Rocks and Related Mineral Deposits)
12 pages, 2983 KB  
Article
Enhanced Synergistic Catalytic Effect of a CTF-Based Composite via Constructing of a Binary Oxide System for Thermal Decomposition of Ammonium Perchlorate
by Bo Kou, Wei Chen, Xianliang Chen, Bowei Gao and Linghua Tan
Nanomaterials 2026, 16(4), 270; https://doi.org/10.3390/nano16040270 - 19 Feb 2026
Viewed by 133
Abstract
As a widely used catalyst class, transition metal oxides (TMOs) face the challenges of detrimental nanoparticle agglomeration. The newly developing two-dimensional (2D) covalent triazine frameworks (CTFs) offer a promising solution as catalyst supports, capable of yielding composites with excellent dispersibility and synergistic catalytic [...] Read more.
As a widely used catalyst class, transition metal oxides (TMOs) face the challenges of detrimental nanoparticle agglomeration. The newly developing two-dimensional (2D) covalent triazine frameworks (CTFs) offer a promising solution as catalyst supports, capable of yielding composites with excellent dispersibility and synergistic catalytic enhancement. Building on this, and employing a hydroxylation functional modification strategy, this article introduces a binary oxide system to construct a CTF/CuO–NiO composite that exhibits excellent catalytic performance for the thermal decomposition of ammonium perchlorate (AP). Specifically, polyvinyl alcohol (PVA) was first employed to introduce -OH anchoring sites onto the CTF surface. A subsequent co-precipitation yielded a uniform dispersion of CuO–NiO nanoparticles across the functionalized CTF support. DSC analysis revealed that incorporating merely 2 wt% of the CTF/CuO–NiO composite into AP significantly alters its high-temperature decomposition (HTD) peak temperature, shifting it from 404.6 °C to 332.1 °C. This work highlights the construction of a binary oxide system through an effective dispersion strategy to enhance the synergistic catalytic performance of CTF-based composites. Full article
(This article belongs to the Special Issue Structural Regulation and Performance Assessment of Nanocatalysts)
Show Figures

Figure 1

20 pages, 9569 KB  
Article
Novel OER/ORR Electrocatalysts Based on High-Entropy Perovskites with 3d/4d/5d Dopants
by Klaudia Zielińska, Juliusz Dąbrowa, Marek Zajusz, Miłosz Kożusznik and Konrad Świerczek
Catalysts 2026, 16(2), 192; https://doi.org/10.3390/catal16020192 - 18 Feb 2026
Viewed by 123
Abstract
In this study, the feasibility of a new group of alkali-free high-entropy ABO3-δ perovskite cathodes, in which the B-site is occupied by a mixture of 3d and 4d/5d elements, is examined. Six different materials with a general formula [...] Read more.
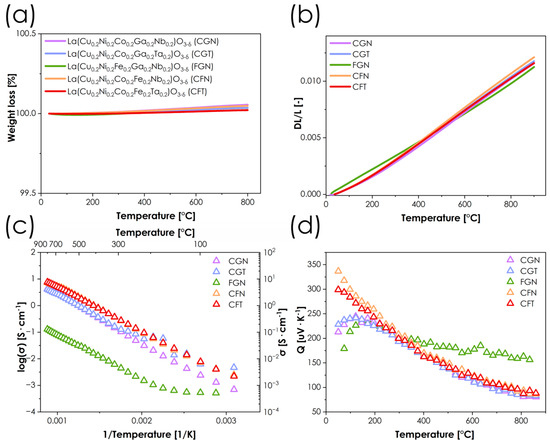
In this study, the feasibility of a new group of alkali-free high-entropy ABO3-δ perovskite cathodes, in which the B-site is occupied by a mixture of 3d and 4d/5d elements, is examined. Six different materials with a general formula of La(Cu0.2Ni0.2X10.2X20.2Y10.2)O3-δ (where X1, X2 = mixture of two Co, Ga, Fe, and Y1 = one of Nb/Ta): La(Cu0.2Ni0.2Co0.2Ga0.2Nb0.2)O3-δ, La(Cu0.2Ni0.2Co0.2Ga0.2Ta0.2)O3-δ, La(Cu0.2Ni0.2Fe0.2Ga0.2-Nb0.2)O3-δ, La(Cu0.2Ni0.2Fe0.2Ga0.2-Ta0.2)O3-δ, La(Cu0.2Ni0.2Co0.2Fe0.2Nb0.2)O3-δ, La(Cu0.2Ni0.2Co0.2Fe0.2Ta0.2)O3-δ were synthesized, with five of them possessing a single-phase, Pnma perovskite structure. While in the case of the basic properties, such as electrical conductivity or thermomechanical behavior, the studied oxides show a number of similarities, the differences between them become more apparent when low-temperature Oxygen Evolution Reaction (OER) and high-temperature Oxygen Reduction Reaction performance is evaluated. The overall best performance is achieved by La(Cu0.2Ni0.2Co0.2Fe0.2Nb0.2)O3-δ and La(Cu0.2Ni0.2Co0.2Fe0.2Ta0.2)O3-δ compositions, with the former offering slightly faster OER kinetics, and the latter exhibiting superior polarization resistance as an SOFC cathode. Overall, the materials exhibit a strong correlation between composition and properties, with potential for further development into non-equimolar compositions of superior performance. Full article
(This article belongs to the Section Catalytic Materials)
Show Figures

Figure 1

19 pages, 1888 KB  
Article
Synergistic Role of ZrO2 Promoter and Ni–NiO–ZrO2 Networks in Improving Ni Catalysts for Dry Methane Reforming at Low Temperature
by Tanakorn Ratana, Sabaithip Tungkamani, Sornsawan Srisuwan, Onnipha Sithalo and Monrudee Phongaksorn
Catalysts 2026, 16(2), 190; https://doi.org/10.3390/catal16020190 - 18 Feb 2026
Viewed by 67
Abstract
In this work, a rational catalyst design based on interfacial architecture engineering is proposed for low-temperature dry methane reforming (DMR) at 550 °C. Ni-based catalysts containing 10 wt% Ni were developed on a γ-Al2O3 support modified with 9 wt% MgO–1 [...] Read more.
In this work, a rational catalyst design based on interfacial architecture engineering is proposed for low-temperature dry methane reforming (DMR) at 550 °C. Ni-based catalysts containing 10 wt% Ni were developed on a γ-Al2O3 support modified with 9 wt% MgO–1 wt% ZrO2. Zirconia promoters were introduced either by dry impregnation or via an ammonia vapor-assisted route to construct a Ni–NiO–ZrO2 interfacial network. The effects of ZrO2 content (0, 1, and 3 wt%) and synthesis route on metal–support interactions, oxygen mobility, and coke resistance were systematically investigated. ZrO2 promotion increased the fraction of reducible Ni species and preferentially enhanced CO2 activation, thereby promoting the reverse water–gas shift (RWGS) reaction and lowering the H2/CO ratio. In contrast, ammonia vapor-assisted preparation induced the formation of an LDH-derived Ni–NiO–ZrO2 surface network, which increased the concentration of surface-accessible Ni species, suppressed excessive zirconia coverage, and significantly improved apparent oxygen mobility. These synergistic structural features are consistent with enhanced oxygen-assisted carbon removal and improved coke management through regulation of the nature of carbon species, leading to more balanced activation of CH4 and CO2. Overall, this study provides insights into interfacial structure–performance relationships for designing efficient Ni-based catalysts for CO2 utilization. Full article
15 pages, 9768 KB  
Article
Synthesis and Tribological Characteristics of High-Performance Self-Lubricating CoCrFeNiMox-Ni/MoS2-Ag-Cr2O3 Composites
by Bei Sun, Zhiming Gao and Zhongtang Gao
Materials 2026, 19(4), 783; https://doi.org/10.3390/ma19040783 - 18 Feb 2026
Viewed by 66
Abstract
High-temperature self-lubricating materials with stable tribological performance across a wide temperature range are essential for advanced mechanical systems under extreme conditions. However, balancing mechanical strength and lubrication efficiency remains a key challenge. This study fabricated CoCrFeNiMox-Ni/MoS2-Ag-Cr2O3 composites ( [...] Read more.
High-temperature self-lubricating materials with stable tribological performance across a wide temperature range are essential for advanced mechanical systems under extreme conditions. However, balancing mechanical strength and lubrication efficiency remains a key challenge. This study fabricated CoCrFeNiMox-Ni/MoS2-Ag-Cr2O3 composites (x = 0.2, 0.5, 1) via spark plasma sintering, aiming to investigate the effect of Mo content on their microstructure, mechanical properties, and tribological behavior. Microstructural analysis showed that the as-sintered composites mainly consist of FCC phase, Cr2O3, Ag, and Ni/MoS2. Increasing Mo content from 0.2 to 1 wt.% significantly promoted the formation of hard σ-phase intermetallics, leading to increased hardness (up to 546 HV) and yield strength (peaking at 502 MPa). Tribological tests at 25–800 °C indicated continuous lubrication behavior in all composites. The minimum friction coefficient was 0.23, and wear rates remained below 10−6 mm3/N·m. In the low-to-medium temperature range, lubrication was dominated by the synergistic effect of Ni/MoS2 and Ag: Ni/MoS2 formed low-shear-strength films, while Ag reduced surface adhesion. Meanwhile, the Mo solid solution strengthened and the σ-phase enhanced wear resistance by improving hardness and inhibiting plastic deformation. At high temperatures, tribochemical reactions generated lubricating films composed of oxides and molybdates, which maintained tribological performance by reducing direct contact between friction pairs. This study demonstrates that Mo-doped high-entropy alloy composites can serve as high-performance wide-temperature self-lubricating materials, providing a basis for designing “matrix-lubricant” systems for extreme-temperature applications. Full article
(This article belongs to the Section Advanced Composites)
Show Figures

Figure 1

19 pages, 6909 KB  
Article
Glycolic Acid-Induced Surface Reconstruction and In Situ Carbon Coating for High-Electrochemical-Performance Lithium-Rich Manganese-Based Cathodes
by Xichen Yang, Jie Miao, Yongchao Chen, Yaoxun Fang, Hao Wang and Gongchang Peng
Batteries 2026, 12(2), 70; https://doi.org/10.3390/batteries12020070 - 15 Feb 2026
Viewed by 155
Abstract
Lithium-rich manganese-based cathode materials (LRMs, Li1.2Mn0.54Ni0.13Co0.13O2) are promising prospects for subsequent-generation lithium-ion batteries owing to their elevated operating voltage, large specific capacity, and affordability. Nonetheless, their actual implementation is significantly impeded by irreversible [...] Read more.
Lithium-rich manganese-based cathode materials (LRMs, Li1.2Mn0.54Ni0.13Co0.13O2) are promising prospects for subsequent-generation lithium-ion batteries owing to their elevated operating voltage, large specific capacity, and affordability. Nonetheless, their actual implementation is significantly impeded by irreversible lattice-oxygen redox reactions, surface structural disorder, and interfacial phase collapse, leading to low initial Coulombic efficiency (ICE), inadequate rate capability, and sluggish Li+ transport. Herein, we report a simple and mild glycolic acid-assisted surface-engineering strategy to enhance the electrochemical performance of LRM. Glycolic acid treatment induces controlled H+/Li+ ion exchange at the particle surface and anchors surface transition metals through the formation of transition metals (TM)–OH and TM–O–C=O bonds. Subsequent calcination constructs an in situ carbon layer-spinel-layered heterostructure, accompanied by the generation of coupled anionic and cationic vacancies. This reconstructed surface provides fast Li+ diffusion pathways and stabilized ion-transport channels, while the dual-vacancy configuration enhances lattice-oxygen reversibility and suppresses structural disorder. Consequently, the modified LRM delivers a high initial discharge capacity of 285.3 mAh⋅g−1 with an ICE of 89.9%, while maintaining 81% capacity retention after 100 cycles. Notably, it exhibits a significantly suppressed voltage decay of only 1.7 mV/cycle at 3C, markedly outperforming the pristine LRM. Density Functional Theory (DFT) calculations reveal that the surface-modified sample possesses enhanced electronic conductivity, as evidenced by the improved Density of States (DOS), and achieves superior structural stability through increased binding energies. This environmentally benign surface-engineering strategy offers a practical and efficient route toward the industrial application of LRM. Full article
Show Figures

Graphical abstract

28 pages, 2584 KB  
Article
(Co2+,Ni2+)2SiO4 Bimetallic Olivines: An Investigation on the Influence of Molar Ratio Composition of the Ni–Co Olivine System for the Heck–Mizoroki Reaction
by Zanele P. Vundla and Holger B. Friedrich
Reactions 2026, 7(1), 13; https://doi.org/10.3390/reactions7010013 - 14 Feb 2026
Viewed by 131
Abstract
This study systematically investigates the role of Ni in Co2SiO4 in a bimetallic (Co2+,Ni2+)2SiO4 olivine-type system and the materials’ catalytic efficiency in a model Heck–Mizoroki coupling reaction. Thus, a series of olivines with [...] Read more.
This study systematically investigates the role of Ni in Co2SiO4 in a bimetallic (Co2+,Ni2+)2SiO4 olivine-type system and the materials’ catalytic efficiency in a model Heck–Mizoroki coupling reaction. Thus, a series of olivines with varying (Co2+,Ni2+)2SiO4 compositions (0–100% Ni) was synthesised and characterised by ICP-OES, FTIR/Raman, P-XRD and XPS analysis. Ideal mixing of metals was achieved with (49:51) Co:Ni. Catalytic testing revealed distinct conversion vs. time profiles, with the (69:31) Co:Ni olivine exhibiting the best overall performance, combining good reactivity with near-perfect selectivity (>99%) and improved stability. Mechanistic pathways were probed through product scope analysis, reactant–product temporal profiling, leaching and radical scavenging experiments. Results suggest a radical-assisted Heck–Mizoroki mechanism. Spectroscopic data correlated Co2+ and Ni2+ incorporation with M1 and M2 site occupancy, where Ni2+ M2 sites enhanced reactant activation and intermediate stability and Co2+ in the M1 site enhanced product release, though also homocoupling in Co2SiO4. Minimal leaching was observed for all bimetallic catalysts. These findings highlight the tunability of bimetallic olivines for C–C coupling reactions via controlled cation distribution. Full article
(This article belongs to the Special Issue Recent Developments in Heterogeneous Catalysis)
29 pages, 5752 KB  
Article
Processing of LCO LIBs Leachates—Part I: Removal of Accompanying Metals and Monitoring Losses of Co and Li
by Zita Takáčová, Martin Kurian, Jakub Klimko, Dusan Orac and Andrea Miskufova
Processes 2026, 14(4), 654; https://doi.org/10.3390/pr14040654 - 13 Feb 2026
Viewed by 198
Abstract
This study investigates the hydrometallurgical purification of the acidic leachate from spent LiCoO2-based lithium batteries, focusing on the selective removal of Cu, Mn, and Ni while monitoring co-precipitation of Fe and Al and minimizing Co and Li losses. Thermodynamic modelling using [...] Read more.
This study investigates the hydrometallurgical purification of the acidic leachate from spent LiCoO2-based lithium batteries, focusing on the selective removal of Cu, Mn, and Ni while monitoring co-precipitation of Fe and Al and minimizing Co and Li losses. Thermodynamic modelling using HSC Chemistry 10 and Hydra/Medusa guided the design of precipitation conditions. The optimal Cu precipitation was achieved using Na2S (Na2S:Cu = 4:1, 20 °C, 5 min, 300 rpm), yielding > 99% removal. Mn was efficiently precipitated as MnO2 using KMnO4 (KMnO4:Mn = 1:1, 20 °C, pH ≈ 2, 10–15 min, ≈97% efficiency). Ni was recovered as [Ni(DMG)2] under DMG:Ni = 5:1, 80 °C, 15 min, pH ≈ 5, achieving ≈99% removal. Sequential 2 L experiments (precipitation order: Cu → Mn → Ni) validated the scalability of the process. Cu and Ni removal remained high (>95%), while Mn efficiency slightly decreased (≈91%) due to kinetic and redox inhomogeneity. No significant precipitation of Co and Li was observed, leaving them in solution and concentrating from 12.9 to 18.8 g·L−1 and 2.71 to 3.50 g·L−1, respectively, with total losses of <1%. The resulting CuS, MnO2, and [Ni(DMG)2] precipitates exhibited moderate purity (46–63%) but represented valuable secondary raw materials. Overall, sequential precipitation under optimized conditions demonstrates robust, selective removal of accompanying metals while concentrating Co and Li, providing an efficient and scalable route for LIBs leachate valorisation. Full article
(This article belongs to the Section Separation Processes)
Show Figures

Figure 1

18 pages, 11347 KB  
Article
Kinetics of Oxidation at High Temperature and Degradation States of Cr-Free Al-Containing Cobalt and Nickel Alloys Reinforced by TaC Carbides
by Patrice Berthod
Crystals 2026, 16(2), 125; https://doi.org/10.3390/cryst16020125 - 8 Feb 2026
Viewed by 217
Abstract
Two cobalt alloys and one nickel alloy, containing Ta and C in similar atomic contents and either 5 or 10 wt.% Al, were cast. Their microstructures and their oxidation behaviors in air at 1200 °C over 50 h were investigated. All contained eutectic [...] Read more.
Two cobalt alloys and one nickel alloy, containing Ta and C in similar atomic contents and either 5 or 10 wt.% Al, were cast. Their microstructures and their oxidation behaviors in air at 1200 °C over 50 h were investigated. All contained eutectic script-like TaC carbides and a dendritic matrix which was either single-phased (FCC) or double-phased (FCC + Co3Al). The cobalt sample with 5 wt.% oxidized catastrophically, became thinner, lost all its TaC, and was covered by a thick oxide shell (outer CoO and inner mixture of CoO, CoAl2O4 and Ta-rich oxides). The two other alloys, Ni-based with 5 wt.% Al and Co-based with 10 wt.% Al, oxidized more slowly, with a mass gain kinetic slightly lower than that for chromia-forming alloys at 1200 °C and a continuous duplex oxide scale made of an outer MAl2O4 spinel and inner Al2O3 scales. This evidences the existence of two Al content thresholds, depending on the base element, that must be exceeded to obtain acceptable oxidation behavior. Full article
(This article belongs to the Special Issue Microstructure Characterization and Design of Advanced Alloys)
Show Figures

Figure 1

12 pages, 4516 KB  
Article
Effect of NiO Composition on the Structural and Morphological Properties of NiO-YSZ and NiO-SDC Particles Synthesized via the Impregnation Route
by Alia Syuhada Abd Rahman, Yin Fong Yeong, Thiam Leng Chew and Chanatip Samart
J. Compos. Sci. 2026, 10(2), 84; https://doi.org/10.3390/jcs10020084 - 6 Feb 2026
Viewed by 260
Abstract
Carbon dioxide (CO2) and methane (CH4) are major greenhouse gases, and their increasing emissions contribute significantly to global warming. Dry reforming of methane (DRM) offers a promising route to mitigate these emissions by simultaneously utilizing both CO2 and [...] Read more.
Carbon dioxide (CO2) and methane (CH4) are major greenhouse gases, and their increasing emissions contribute significantly to global warming. Dry reforming of methane (DRM) offers a promising route to mitigate these emissions by simultaneously utilizing both CO2 and CH4 and converting them into syngas, a valuable intermediate for producing fuels and chemicals. Nickel-based catalysts are widely used in DRM due to their high activity and cost-effectiveness. However, their performance depends strongly on metal loading and support properties. This study aims to investigate the effect of different NiO loadings (40, 50, and 60 wt%) on the structural and morphological characteristics of NiO-YSZ and NiO-SDC catalysts synthesized via the impregnation method. In this method, yttria-stabilized zirconia (YSZ) and samarium-doped ceria (SDC) powders were dispersed into a nickel precursor solution to form supported catalysts, which were then characterized to evaluate their structural integrity, crystallinity, and surface morphology. The results showed that higher NiO loadings generally improved the structural and morphological features, with NiO-SDC demonstrating better characteristics than NiO-YSZ. These findings provide essential insights that will guide future work on fabricating membranes using these catalysts for the CO2-CH4 dry reforming process. Full article
(This article belongs to the Section Composites Applications)
Show Figures

Figure 1

18 pages, 3864 KB  
Article
Tuning the Hydrogen Evolution Activity of Co2NiO4 via Precursor-Controlled Synthesis
by Abu Talha Aqueel Ahmed, Momin M. Mujtaba, Kafeel Ahmed Tufail Ahmed, Abu Saad Ansari, Sangeun Cho, Youngmin Lee, Sejoon Lee and Sankar Sekar
Int. J. Mol. Sci. 2026, 27(3), 1584; https://doi.org/10.3390/ijms27031584 - 5 Feb 2026
Viewed by 274
Abstract
The realization of efficient and durable earth-abundant electrocatalysts for alkaline hydrogen evolution reaction (HER) is critical for scalable hydrogen production, yet remains limited by insufficient intrinsic activity. Herein, we demonstrate a precursor-controlled hydrothermal strategy that enables precise morphology and surface-state regulation of spinel [...] Read more.
The realization of efficient and durable earth-abundant electrocatalysts for alkaline hydrogen evolution reaction (HER) is critical for scalable hydrogen production, yet remains limited by insufficient intrinsic activity. Herein, we demonstrate a precursor-controlled hydrothermal strategy that enables precise morphology and surface-state regulation of spinel Co2NiO4 directly grown on nickel foam, allowing a clear correlation between catalyst architecture and HER performance. By replacing urea with hexamethylenetetramine, an ultrathin, highly interconnected two-dimensional nanosheet network (CNO-HT) is obtained, which promotes efficient electron transport, rapid electrolyte penetration, and maximized exposure of catalytically active sites. Structural and spectroscopic analyses confirm the formation of phase-pure cubic Co2NiO4 with enriched mixed-valence Ni and Co species, favoring enhanced redox activity. The CNO-HT catalyst exhibits a low overpotential (86 mV at 10 mA cm−2) and a smaller Tafel slope (103 mV dec−1), significantly outperforming the urea-derived counterpart. Importantly, the catalyst maintains stable HER operation for 96 h at both 10 and 100 mA cm−2, with post-stability electrochemical analyses confirming preserved kinetics and interfacial properties. This work establishes precursor-regulated nanosheet engineering as general and scalable strategy to unlock the intrinsic catalytic potential of spinel metal oxides, offering actionable design principles for next-generation non-noble electrocatalysts for alkaline hydrogen production. Full article
(This article belongs to the Topic Advanced Materials for Water Splitting)
Show Figures

Figure 1

13 pages, 4564 KB  
Article
Microstructure and Mechanical Properties of Ultrafine-Grained CrMnFeCoNi High-Entropy Alloy Prepared via Powder Metallurgy
by Sunghyuk Jang, Seonghyun Park and Jae-Gil Jung
Metals 2026, 16(2), 170; https://doi.org/10.3390/met16020170 - 1 Feb 2026
Viewed by 215
Abstract
We studied the microstructural evolution and mechanical properties of ultrafine-grained CrMnFeCoNi high-entropy alloys fabricated by mechanical alloying of various additives and spark plasma sintering. The additives were 1 wt.% process control agent (stearic acid) + 1 wt.% graphene nanofiber (GNF) (PG) or 1 [...] Read more.
We studied the microstructural evolution and mechanical properties of ultrafine-grained CrMnFeCoNi high-entropy alloys fabricated by mechanical alloying of various additives and spark plasma sintering. The additives were 1 wt.% process control agent (stearic acid) + 1 wt.% graphene nanofiber (GNF) (PG) or 1 wt.% Y2O3 + 1 wt.% GNF (YG) to modify the constituting phase of the sintered alloy. The PG and YG powders exhibited a single FCC phase. The YG powders had a larger powder size and a smaller crystallite size than the PG powders. Ultrafine-grained FCC matrices with average particle sizes of 0.57 μm and 0.71 μm, respectively, were formed through the SPS process of PG and YG powders. The absence of PCA in YG alloys resulted in a bimodal distribution of fine and coarse grains (due to incomplete mechanical alloying) and formation of a lesser and finer Cr7C3 phase (due to reduced C content). The sintered PG alloy contained coarse (~60 nm) spinel Mn3O4 oxides along grain boundaries, whereas the YG alloy exhibited coarse Mn3O4 and fine (~17 nm) Y2O3 oxide particles along grain boundaries. Additionally, the YG alloy contained tiny (~5 nm) Y2O3 oxide particles with a cube-on-cube orientation relationship within the FCC matrix. YG alloy exhibited higher hardness and compressive yield strength than PG alloy, mainly due to the oxide dispersion strengthening of finely dispersed Y2O3 particles. The addition of Y2O3 reinforcing particles had a minimal effect on the ultimate compressive strength and fracture strain of the sintered alloy. Full article
(This article belongs to the Special Issue Feature Papers in Entropic Alloys and Meta-Metals)
Show Figures

Figure 1

23 pages, 3118 KB  
Article
Geochemical Signatures and Economic Evaluation of Rare Earth Element Enrichment in the Şahinali Coals, Western Anatolia
by Neslihan Ünal-Kartal
Minerals 2026, 16(2), 167; https://doi.org/10.3390/min16020167 - 31 Jan 2026
Viewed by 270
Abstract
The horst and graben system in Western Anatolia lies on the eastern boundary of the Aegean extensional system, one of the most active extensional zones in the world. The Şahinali coal basin is located south of the Büyük Menderes Graben, which is part [...] Read more.
The horst and graben system in Western Anatolia lies on the eastern boundary of the Aegean extensional system, one of the most active extensional zones in the world. The Şahinali coal basin is located south of the Büyük Menderes Graben, which is part of this system. This study examines the rare earth elements and yttrium (REY) geochemistry, accumulation conditions, and economic potential of the Şahinali coals. Compared to world coals, the REE concentration in Şahinali coals (208.3 ppm) is quite high, and all REY groups are slightly enriched. Light REY (LREY) is dominant compared to medium REY (MREY) and heavy REY (HREY). The most abundant element in this group is Ce, reaching a concentration of 123.3 ppm. REY distribution patterns indicate H-type enrichment in most samples and, to a lesser extent, M-H-type enrichment. Element ratios (Al2O3/TiO2, TiO2/Zr, La/Sc, Co/Th) and REY anomalies (Ce, Eu, Gd) indicate that the sedimentary input is predominantly derived from felsic rocks, with limited intermediate to mafic contributions. SEM-EDS findings and correlation analyses indicate that REY are predominantly associated with aluminosilicate minerals. LREY-Th and MREY/HREY-Y relationships are supported by monazite and Y-rich illitic K-aluminosilicates. Paleoenvironmental indicators (V/Cr, Ni/Co, U/Th, Sr/Cu, Rb/Sr, Sr/Ba) indicate that the coal accumulated under oxic–suboxic, warm and humid conditions. The average REY oxide (REO) content slightly exceeds the commonly cited 1000 ppm screening threshold for coal ash. The majority of samples contain elevated proportions of critical REY (30.7%–54.3%) and show promising outlook coefficients (Coutl: 0.8–1.7). Together, these results indicate a favourable compositional signature for preliminary REY resource screening in the Şahinali coals, particularly with respect to elements relevant for high-technology applications. Full article
(This article belongs to the Section Mineral Geochemistry and Geochronology)
Show Figures

Figure 1

16 pages, 3007 KB  
Article
Morphology-Driven Enhancement of Alkaline OER Performance in Spinel NiCo2O4 Nanosheet Electrodes
by Abu Talha Aqueel Ahmed, Abu Saad Ansari, Sangeun Cho and Atanu Jana
Int. J. Mol. Sci. 2026, 27(3), 1444; https://doi.org/10.3390/ijms27031444 - 31 Jan 2026
Viewed by 265
Abstract
The oxygen evolution reaction (OER) is a critical anodic process in alkaline water electrolysis, and its catalytic performance can be effectively regulated through rational morphology engineering that governs active-site exposure, mass transport, and charge-transfer kinetics. Herein, we report a precursor-controlled synthesis of spinel [...] Read more.
The oxygen evolution reaction (OER) is a critical anodic process in alkaline water electrolysis, and its catalytic performance can be effectively regulated through rational morphology engineering that governs active-site exposure, mass transport, and charge-transfer kinetics. Herein, we report a precursor-controlled synthesis of spinel NiCo2O4 (NCO) catalysts with tunable two-dimensional architectures for efficient alkaline OER. By employing hexamethylenetetramine (H) and urea (U) as precipitating agents, the NiCo2O4 catalysts with distinctly different nanosheet morphologies were directly grown on nickel foam. The NCO-H catalyst exhibits substantially enhanced OER activity by achieving lower overpotential of 259 mV, a smaller Tafel slope of 84 mV dec−1, and higher turnover frequency compared to NCO-U catalyst. The superior OER performance is attributed to an ultrathin, highly interconnected nanosheet network that provides abundant accessible active sites, shortened ion-diffusion pathways, and accelerated interfacial charge transfer. Moreover, the optimized electrode demonstrates excellent durability (50 h) with negligible potential degradation after the partial surface transformation into an oxyhydroxide-rich active phase, while post-stability polarization and impedance analyses confirm the preservation of catalytic integrity. These findings highlight precursor-regulated morphology engineering as an effective strategy for optimizing the electrocatalytic performance of spinel oxides and establish NiCo2O4 as a robust, earth-abundant OER catalyst for alkaline water-splitting applications. Full article
Show Figures

Figure 1

17 pages, 2706 KB  
Article
Dual-Promoted Trimetallic CoMo-Ni/Al2O3-K2O Catalysts: Impact of K2O Doping on Guaiacol Hydrodeoxygenation Selectivity
by Kenian L. Arévalo Blanco, Wilder S. Campo Baca and Esneyder Puello Polo
Inorganics 2026, 14(2), 45; https://doi.org/10.3390/inorganics14020045 - 30 Jan 2026
Viewed by 275
Abstract
The influence of potassium oxide (K2O) doping on the hydrodeoxygenation (HDO) performance of trimetallic CoMo–Ni/Al2O3 catalysts was systematically investigated using guaiacol as a lignin-derived model compound. Catalysts containing 0, 1, 3, and 5 wt% K2O were [...] Read more.
The influence of potassium oxide (K2O) doping on the hydrodeoxygenation (HDO) performance of trimetallic CoMo–Ni/Al2O3 catalysts was systematically investigated using guaiacol as a lignin-derived model compound. Catalysts containing 0, 1, 3, and 5 wt% K2O were synthesized and characterized by SEM-EDS, N2 physisorption, XRD, FTIR, and HRTEM. SEM micrographs showed homogeneous morphologies with no significant agglomeration, while EDS analysis confirmed elemental compositions close to nominal values, with K2O contents increasing proportionally and maintaining uniform surface distribution. Adsorption–desorption isotherms confirmed mesoporous structures with specific surface areas ranging from 258 to 184 m2 g−1, decreasing with increasing K2O loading. XRD revealed γ-Al2O3, NiO, (NH4)3[CoMo6O24H6]·7H2O, and K2O phases, with slight peak shifts indicating surface modification rather than lattice incorporation of K+. FTIR spectra evidenced characteristic polyoxomolybdate vibrations and metal–oxygen interactions with alumina. HRTEM revealed MoS2 slab lengths between 1.85 and 2.51 nm, stacking numbers from 2.08 to 3.17, and Mo edge-to-corner ratios (fe/fc) between 1.39 and 2.43, corresponding to dispersions of 0.45–0.57. Guaiacol conversion remained high (≥95%) for all catalysts, while HDO selectivity strongly depended on K2O content. At 5 wt% K2O, cyclohexane selectivity reached 81.3% with an HDO degree of 65%, compared to 52.0% and 31% for the undoped catalyst. Pseudo-first-order kinetic analysis revealed that potassium promotes demethylation and demethoxylation steps while suppressing rearrangement pathways, steering the reaction network toward direct deoxygenation. These results demonstrate that K2O acts as an efficient structural and electronic promoter, enabling precise control of HDO selectivity without compromising catalytic activity. Full article
(This article belongs to the Special Issue Transition Metal Catalysts: Design, Synthesis and Applications)
Show Figures

Graphical abstract

Back to TopTop