Sign in to use this feature.

Years

Between: -

Subjects

remove_circle_outline
remove_circle_outline
remove_circle_outline
remove_circle_outline

Journals

Article Types

Countries / Regions

Search Results (14)

Search Parameters:
Keywords = Chorea-acanthocytosis

Order results
Result details
Results per page
Select all
Export citation of selected articles as:
11 pages, 1374 KB  
Case Report
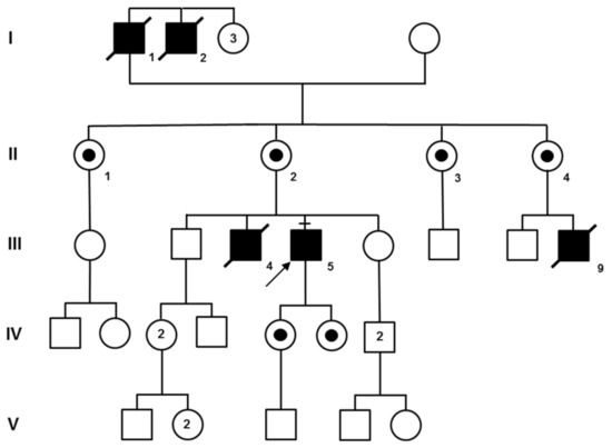
A Novel VPS13A Deletion in VPS13A Disease (Chorea-Acanthocytosis): A Case Report with Brief Literature Summary
by Benedetta Perrone, Viviana Mosca, Martina Pecoraro, Paola Ruffo, Elda Del Giudice, Alberta Leon, Martina Maino, Vincenzo La Bella, Rossella Spataro and Francesca Luisa Conforti
Int. J. Mol. Sci. 2025, 26(23), 11521; https://doi.org/10.3390/ijms262311521 - 27 Nov 2025
Viewed by 479
Abstract
VPS13A disease is a rare, autosomal-recessive, neurodegenerative disorder characterized by involuntary movements, orofacial dystonia, seizures, psychiatric symptoms, and the presence of spiky, deformed red blood cells (acanthocytes). The disease is caused by mutations in the VPS13A gene, which encodes the VPS13A protein (previously [...] Read more.
VPS13A disease is a rare, autosomal-recessive, neurodegenerative disorder characterized by involuntary movements, orofacial dystonia, seizures, psychiatric symptoms, and the presence of spiky, deformed red blood cells (acanthocytes). The disease is caused by mutations in the VPS13A gene, which encodes the VPS13A protein (previously known as chorein). This protein is a member of the family of bridge-like lipid transport proteins, involved in bulk lipid transfer between membranes and intracellular vesicle trafficking. We describe the case of a 37-year-old woman with gait instability, semi-flexed legs, and involuntary distal muscle movements. Genetic testing was performed using next-generation sequencing (NGS), followed by molecular analysis. Fibroblasts from the patient, her mother, and a healthy control were analyzed by immunofluorescence and Western blotting. NGS identified a novel homozygous 2.8 kb deletion encompassing exons 69–70 (69–70del) of the VPS13A gene (NM_033305.3). The same variant was detected in the patient’s mother in a heterozygous state and her brother in a homozygous state. Although other deletions in the gene have been described, a comprehensive search of population variant databases and the existing literature did not reveal previous reports of this deletion. Fibroblasts from the patient, her mother and a healthy control were characterized. Functional assays showed a complete absence of the VPS13A protein in the patient’s fibroblasts. This study expands the mutational spectrum of VPS13A-linked VPS13A disease and underlines the importance of comprehensive genetic analysis in atypical cases. Full article
Show Figures

Figure 1

13 pages, 7867 KB  
Article
Analysis of Brain, Blood, and Testis Phenotypes Lacking the Vps13a Gene in C57BL/6N Mice
by Jitrapa Pinyomahakul, Masataka Ise, Meiko Kawamura, Takashi Yamada, Kentaro Okuyama, Shinsuke Shibata, Jun Takizawa, Manabu Abe, Kenji Sakimura and Hirohide Takebayashi
Int. J. Mol. Sci. 2024, 25(14), 7776; https://doi.org/10.3390/ijms25147776 - 16 Jul 2024
Cited by 5 | Viewed by 2330
Abstract
The Vps13a gene encodes a lipid transfer protein called VPS13A, or chorein, associated with mitochondria-associated endoplasmic reticulum (ER) membranes (MAMs), mitochondria–endosomes, and lipid droplets. This protein plays a crucial role in inter-organelle communication and lipid transport. Mutations in the VPS13A gene are implicated [...] Read more.
The Vps13a gene encodes a lipid transfer protein called VPS13A, or chorein, associated with mitochondria-associated endoplasmic reticulum (ER) membranes (MAMs), mitochondria–endosomes, and lipid droplets. This protein plays a crucial role in inter-organelle communication and lipid transport. Mutations in the VPS13A gene are implicated in the pathogenesis of chorea-acanthocytosis (ChAc), a rare autosomal recessive neurodegenerative disorder characterized by chorea, orofacial dyskinesias, hyperkinetic movements, seizures, cognitive impairment, and acanthocytosis. Previous mouse models of ChAc have shown variable disease phenotypes depending on the genetic background. In this study, we report the generation of a Vps13a flox allele in a pure C57BL/6N mouse background and the subsequent creation of Vps13a knockout (KO) mice via Cre-recombination. Our Vps13a KO mice exhibited increased reticulocytes but not acanthocytes in peripheral blood smears. Additionally, there were no significant differences in the GFAP- and Iba1-positive cells in the striatum, the basal ganglia of the central nervous system. Interestingly, we observed abnormal spermatogenesis leading to male infertility. These findings indicate that Vps13a KO mice are valuable models for studying male infertility and some hematological aspects of ChAc. Full article
(This article belongs to the Section Molecular Neurobiology)
Show Figures

Figure 1

14 pages, 4976 KB  
Article
The Role of Chorein Deficiency in Late Spermatogenesis
by Kaoru Arai, Yoshiaki Nishizawa, Omi Nagata, Hitoshi Sakimoto, Natsuki Sasaki, Akira Sano and Masayuki Nakamura
Biomedicines 2024, 12(1), 240; https://doi.org/10.3390/biomedicines12010240 - 22 Jan 2024
Cited by 3 | Viewed by 2628
Abstract
VPS13A, also known as chorein, whose loss of function causes chorea-acanthocytosis (ChAc), is characterized by Huntington’s-disease-like neurodegeneration and neuropsychiatric symptoms in addition to acanthocytosis in red blood cells. We previously reported that ChAc-model mice with a loss of chorein function exhibited male infertility, [...] Read more.
VPS13A, also known as chorein, whose loss of function causes chorea-acanthocytosis (ChAc), is characterized by Huntington’s-disease-like neurodegeneration and neuropsychiatric symptoms in addition to acanthocytosis in red blood cells. We previously reported that ChAc-model mice with a loss of chorein function exhibited male infertility, with asthenozoospermia and mitochondrial dysmorphology in the spermatozoa. Here, we report a novel aspect of chorein dysfunction in male fertility, particularly its role in spermatogenesis and mitochondrial integrity. An increase in anti-malondialdehyde antibody immunoreaction within the testes, predominantly observed at the advanced stages of sperm formation in chorein-deficient mice, suggests oxidative stress as a contributing factor to mitochondrial dysfunction and impaired sperm maturation. The chorein immunoreactivity in spermatids of wild-type mice accentuates its significance in sperm development. ChAc-model mice exhibit mitochondrial ultrastructural abnormalities, specifically during the late stages of sperm maturation, suggesting a critical timeframe for chorein’s action in spermiogenesis. We observed an increase in TOM20 protein levels, indicative of disrupted mitochondrial import mechanisms. The concurrent decrease in metabolic enzymes such as IDH3A, LDHC, PGK2, and ACAT1 suggests a complex chorein-mediated metabolic network that is essential for sperm vitality. Additionally, heightened separation of cytoplasmic droplets from sperm highlights the potential membrane instability in chorein-deficient spermatozoa. Metabolomic profiling further suggests a compensatory metabolic shift, with elevated glycolytic and TCA-cycle substrates. Our findings suggest that chorein is involved in anti-ferroptosis and the maturation of mitochondrial morphology in the late stages of spermatogenesis, and its deficiency leads to asthenozoospermia characterized by membrane instability, abnormal cytosolic glycolysis, abnormal mitochondrial function, and a disrupted TCA cycle. Further analyses are required to unravel the molecular mechanisms that directly link these findings and to elucidate the role of chorein in spermatogenesis as well as its broader implications. Full article
(This article belongs to the Special Issue Molecular Regulation of Spermatozoa)
Show Figures

Figure 1

24 pages, 1901 KB  
Review
Yeast as a Model to Find New Drugs and Drug Targets for VPS13-Dependent Neurodegenerative Diseases
by Joanna Kaminska, Piotr Soczewka, Weronika Rzepnikowska and Teresa Zoladek
Int. J. Mol. Sci. 2022, 23(9), 5106; https://doi.org/10.3390/ijms23095106 - 4 May 2022
Cited by 18 | Viewed by 5507
Abstract
Mutations in human VPS13A-D genes result in rare neurological diseases, including chorea-acanthocytosis. The pathogenesis of these diseases is poorly understood, and no effective treatment is available. As VPS13 genes are evolutionarily conserved, the effects of the pathogenic mutations could be studied [...] Read more.
Mutations in human VPS13A-D genes result in rare neurological diseases, including chorea-acanthocytosis. The pathogenesis of these diseases is poorly understood, and no effective treatment is available. As VPS13 genes are evolutionarily conserved, the effects of the pathogenic mutations could be studied in model organisms, including yeast, where one VPS13 gene is present. In this review, we summarize advancements obtained using yeast. In recent studies, vps13Δ and vps13-I2749 yeast mutants, which are models of chorea-acanthocytosis, were used to screen for multicopy and chemical suppressors. Two of the suppressors, a fragment of the MYO3 and RCN2 genes, act by downregulating calcineurin activity. In addition, vps13Δ suppression was achieved by using calcineurin inhibitors. The other group of multicopy suppressors were genes: FET4, encoding iron transporter, and CTR1, CTR3 and CCC2, encoding copper transporters. Mechanisms of their suppression rely on causing an increase in the intracellular iron content. Moreover, among the identified chemical suppressors were copper ionophores, which require a functional iron uptake system for activity, and flavonoids, which bind iron. These findings point at areas for further investigation in a higher eukaryotic model of VPS13-related diseases and to new therapeutic targets: calcium signalling and copper and iron homeostasis. Furthermore, the identified drugs are interesting candidates for drug repurposing for these diseases. Full article
Show Figures

Figure 1

13 pages, 1932 KB  
Article
Adaptative Up-Regulation of PRX2 and PRX5 Expression Characterizes Brain from a Mouse Model of Chorea-Acanthocytosis
by Enrica Federti, Alessandro Matte, Veronica Riccardi, Kevin Peikert, Seth L. Alper, Adrian Danek, Ruth H. Walker, Angela Siciliano, Iana Iatcenko, Andreas Hermann and Lucia De Franceschi
Antioxidants 2022, 11(1), 76; https://doi.org/10.3390/antiox11010076 - 29 Dec 2021
Cited by 9 | Viewed by 3116
Abstract
The peroxiredoxins (PRXs) constitute a ubiquitous antioxidant. Growing evidence in neurodegenerative disorders such as Parkinson’s disease (PD) or Alzheimer’s disease (AD) has highlighted a crucial role for PRXs against neuro-oxidation. Chorea-acanthocytosis/Vps13A disease (ChAc) is a devastating, life-shortening disorder characterized by acanthocytosis, neurodegeneration [...] Read more.
The peroxiredoxins (PRXs) constitute a ubiquitous antioxidant. Growing evidence in neurodegenerative disorders such as Parkinson’s disease (PD) or Alzheimer’s disease (AD) has highlighted a crucial role for PRXs against neuro-oxidation. Chorea-acanthocytosis/Vps13A disease (ChAc) is a devastating, life-shortening disorder characterized by acanthocytosis, neurodegeneration and abnormal proteostasis. We recently developed a Vps13a−/− ChAc-mouse model, showing acanthocytosis, neurodegeneration and neuroinflammation which could be restored by LYN inactivation. Here, we show in our Vps13a−/− mice protein oxidation, NRF2 activation and upregulation of downstream cytoprotective systems NQO1, SRXN1 and TRXR in basal ganglia. This was associated with upregulation of PRX2/5 expression compared to wild-type mice. PRX2 expression was age-dependent in both mouse strains, whereas only Vps13a−/− PRX5 expression was increased independent of age. LYN deficiency or nilotinib-mediated LYN inhibition improved autophagy in Vps13a−/− mice. In Vps13a−/−; Lyn−/− basal ganglia, absence of LYN resulted in reduced NRF2 activation and down-regulated expression of PRX2/5, SRXN1 and TRXR. Nilotinib treatment of Vps13a−/− mice reduced basal ganglia oxidation, and plasma PRX5 levels, suggesting plasma PRX5 as a possible ChAc biomarker. Our data support initiation of therapeutic Lyn inhibition as promptly as possible after ChAc diagnosis to minimize development of irreversible neuronal damage during otherwise inevitable ChAc progression. Full article
(This article belongs to the Special Issue Peroxiredoxin)
Show Figures

Figure 1

21 pages, 15286 KB  
Article
Unraveling the Spatiotemporal Distribution of VPS13A in the Mouse Brain
by Esther García-García, Nerea Chaparro-Cabanillas, Albert Coll-Manzano, Maria Carreras-Caballé, Albert Giralt, Daniel Del Toro, Jordi Alberch, Mercè Masana and Manuel J. Rodríguez
Int. J. Mol. Sci. 2021, 22(23), 13018; https://doi.org/10.3390/ijms222313018 - 1 Dec 2021
Cited by 7 | Viewed by 3500
Abstract
Loss-of-function mutations in the human vacuolar protein sorting the 13 homolog A (VPS13A) gene cause Chorea-acanthocytosis (ChAc), with selective degeneration of the striatum as the main neuropathologic feature. Very little is known about the VPS13A expression in the brain. The main objective of [...] Read more.
Loss-of-function mutations in the human vacuolar protein sorting the 13 homolog A (VPS13A) gene cause Chorea-acanthocytosis (ChAc), with selective degeneration of the striatum as the main neuropathologic feature. Very little is known about the VPS13A expression in the brain. The main objective of this work was to assess, for the first time, the spatiotemporal distribution of VPS13A in the mouse brain. We found VPS13A expression present in neurons already in the embryonic stage, with stable levels until adulthood. VPS13A mRNA and protein distributions were similar in the adult mouse brain. We found a widespread VPS13A distribution, with the strongest expression profiles in the pons, hippocampus, and cerebellum. Interestingly, expression was weak in the basal ganglia. VPS13A staining was positive in glutamatergic, GABAergic, and cholinergic neurons, but rarely in glial cells. At the cellular level, VPS13A was mainly located in the soma and neurites, co-localizing with both the endoplasmic reticulum and mitochondria. However, it was not enriched in dendritic spines or the synaptosomal fraction of cortical neurons. In vivo pharmacological modulation of the glutamatergic, dopaminergic or cholinergic systems did not modulate VPS13A concentration in the hippocampus, cerebral cortex, or striatum. These results indicate that VPS13A has remarkable stability in neuronal cells. Understanding the distinct expression pattern of VPS13A can provide relevant information to unravel pathophysiological hallmarks of ChAc. Full article
(This article belongs to the Section Molecular Neurobiology)
Show Figures

Figure 1

17 pages, 5182 KB  
Article
Genetic Dissection of Vps13 Regulation in Yeast Using Disease Mutations from Human Orthologs
by Jae-Sook Park, Nancy M. Hollingsworth and Aaron M. Neiman
Int. J. Mol. Sci. 2021, 22(12), 6200; https://doi.org/10.3390/ijms22126200 - 8 Jun 2021
Cited by 6 | Viewed by 3670
Abstract
The VPS13 family of proteins have emerged as key players in intracellular lipid transport and human health. Humans have four different VPS13 orthologs, the dysfunction of which leads to different diseases. Yeast has a single VPS13 gene, which encodes a protein that localizes [...] Read more.
The VPS13 family of proteins have emerged as key players in intracellular lipid transport and human health. Humans have four different VPS13 orthologs, the dysfunction of which leads to different diseases. Yeast has a single VPS13 gene, which encodes a protein that localizes to multiple different membrane contact sites. The yeast vps13Δ mutant is pleiotropic, exhibiting defects in sporulation, protein trafficking, endoplasmic reticulum (ER)-phagy and mitochondrial function. Non-null alleles resulting from missense mutations can be useful reagents for understanding the multiple functions of a gene. The exceptionally large size of Vps13 makes the identification of key residues challenging. As a means to identify critical residues in yeast Vps13, amino acid substitution mutations from VPS13A, B, C and D, associated with human disease, were introduced at the cognate positions of yeast VPS13, some of which created separation-of-function alleles. Phenotypic analyses of these mutants have revealed that the promotion of ER-phagy is a fourth, genetically separable role of VPS13 and provide evidence that co-adaptors at the endosome mediate the activity of VPS13 in vacuolar sorting. Full article
Show Figures

Figure 1

14 pages, 5635 KB  
Article
The Erythrocyte Sedimentation Rate and Its Relation to Cell Shape and Rigidity of Red Blood Cells from Chorea-Acanthocytosis Patients in an Off-Label Treatment with Dasatinib
by Antonia Rabe, Alexander Kihm, Alexis Darras, Kevin Peikert, Greta Simionato, Anil Kumar Dasanna, Hannes Glaß, Jürgen Geisel, Stephan Quint, Adrian Danek, Christian Wagner, Dmitry A. Fedosov, Andreas Hermann and Lars Kaestner
Biomolecules 2021, 11(5), 727; https://doi.org/10.3390/biom11050727 - 12 May 2021
Cited by 24 | Viewed by 6177
Abstract
Background: Chorea-acanthocytosis (ChAc) is a rare hereditary neurodegenerative disease with deformed red blood cells (RBCs), so-called acanthocytes, as a typical marker of the disease. Erythrocyte sedimentation rate (ESR) was recently proposed as a diagnostic biomarker. To date, there is no treatment option for [...] Read more.
Background: Chorea-acanthocytosis (ChAc) is a rare hereditary neurodegenerative disease with deformed red blood cells (RBCs), so-called acanthocytes, as a typical marker of the disease. Erythrocyte sedimentation rate (ESR) was recently proposed as a diagnostic biomarker. To date, there is no treatment option for affected patients, but promising therapy candidates, such as dasatinib, a Lyn-kinase inhibitor, have been identified. Methods: RBCs of two ChAc patients during and after dasatinib treatment were characterized by the ESR, clinical hematology parameters and the 3D shape classification in stasis based on an artificial neural network. Furthermore, mathematical modeling was performed to understand the contribution of cell morphology and cell rigidity to the ESR. Microfluidic measurements were used to compare the RBC rigidity between ChAc patients and healthy controls. Results: The mechano-morphological characterization of RBCs from two ChAc patients in an off-label treatment with dasatinib revealed differences in the ESR and the acanthocyte count during and after the treatment period, which could not directly be related to each other. Clinical hematology parameters were in the normal range. Mathematical modeling indicated that RBC rigidity is more important for delayed ESR than cell shape. Microfluidic experiments confirmed a higher rigidity in the normocytes of ChAc patients compared to healthy controls. Conclusions: The results increase our understanding of the role of acanthocytes and their associated properties in the ESR, but the data are too sparse to answer the question of whether the ESR is a suitable biomarker for treatment success, whereas a correlation between hematological and neuronal phenotype is still subject to verification. Full article
(This article belongs to the Special Issue Biochemical and Biophysical Properties of Red Blood Cells in Disease)
Show Figures

Figure 1

14 pages, 2361 KB  
Article
Targeting Lyn Kinase in Chorea-Acanthocytosis: A Translational Treatment Approach in a Rare Disease
by Kevin Peikert, Hannes Glaß, Enrica Federti, Alessandro Matte, Lisann Pelzl, Katja Akgün, Tjalf Ziemssen, Rainer Ordemann, Florian Lang, The Network for Translational Research for Neuroacanthocytosis Patients, Lucia De Franceschi and Andreas Hermann
J. Pers. Med. 2021, 11(5), 392; https://doi.org/10.3390/jpm11050392 - 10 May 2021
Cited by 10 | Viewed by 5238
Abstract
Chorea-acanthocytosis (ChAc) is a neurodegenerative disease caused by mutations in the VPS13A gene. It is characterized by several neurological symptoms and the appearance of acanthocytes. Elevated tyrosine kinase Lyn activity has been recently identified as one of the key pathophysiological mechanisms in this [...] Read more.
Chorea-acanthocytosis (ChAc) is a neurodegenerative disease caused by mutations in the VPS13A gene. It is characterized by several neurological symptoms and the appearance of acanthocytes. Elevated tyrosine kinase Lyn activity has been recently identified as one of the key pathophysiological mechanisms in this disease, and therefore represents a promising drug target. Methods: We evaluated an individual off-label treatment with the tyrosine kinase inhibitor dasatinib (100 mg/d, 25.8–50.4 weeks) of three ChAc patients. Alongside thorough safety monitoring, we assessed motor and non-motor scales (e.g., MDS-UPDRS, UHDRS, quality of life) as well as routine and experimental laboratory parameters (e.g., serum neurofilament, Lyn kinase activity, actin cytoskeleton in red blood cells). Results: Dasatinib appeared to be reasonably safe. The clinical parameters remained stable without significant improvement or deterioration. Regain of deep tendon reflexes was observed in one patient. Creatine kinase, serum neurofilament levels, and acanthocyte count did not reveal consistent effects. However, a reduction of initially elevated Lyn kinase activity and accumulated autophagy markers, as well as a partial restoration of the actin cytoskeleton, was found in red blood cells. Conclusions: We report on the first treatment approach with disease-modifying intention in ChAc. The experimental parameters indicate target engagement in red blood cells, while clinical effects on the central nervous system could not be proven within a rather short treatment time. Limited knowledge on the natural history of ChAc and the lack of appropriate biomarkers remain major barriers for “clinical trial readiness”. We suggest a panel of outcome parameters for future clinical trials in ChAc. Full article
(This article belongs to the Special Issue Advances in the Therapeutics of Neurological Diseases)
Show Figures

Figure 1

18 pages, 36344 KB  
Article
Acanthocyte Sedimentation Rate as a Diagnostic Biomarker for Neuroacanthocytosis Syndromes: Experimental Evidence and Physical Justification
by Alexis Darras, Kevin Peikert, Antonia Rabe, François Yaya, Greta Simionato, Thomas John, Anil Kumar Dasanna, Semen Buvalyy, Jürgen Geisel, Andreas Hermann, Dmitry A. Fedosov, Adrian Danek, Christian Wagner and Lars Kaestner
Cells 2021, 10(4), 788; https://doi.org/10.3390/cells10040788 - 2 Apr 2021
Cited by 28 | Viewed by 7142
Abstract
(1) Background: Chorea-acanthocytosis and McLeod syndrome are the core diseases among the group of rare neurodegenerative disorders called neuroacanthocytosis syndromes (NASs). NAS patients have a variable number of irregularly spiky erythrocytes, so-called acanthocytes. Their detection is a crucial but error-prone parameter in the [...] Read more.
(1) Background: Chorea-acanthocytosis and McLeod syndrome are the core diseases among the group of rare neurodegenerative disorders called neuroacanthocytosis syndromes (NASs). NAS patients have a variable number of irregularly spiky erythrocytes, so-called acanthocytes. Their detection is a crucial but error-prone parameter in the diagnosis of NASs, often leading to misdiagnoses. (2) Methods: We measured the standard Westergren erythrocyte sedimentation rate (ESR) of various blood samples from NAS patients and healthy controls. Furthermore, we manipulated the ESR by swapping the erythrocytes and plasma of different individuals, as well as replacing plasma with dextran. These measurements were complemented by clinical laboratory data and single-cell adhesion force measurements. Additionally, we followed theoretical modeling approaches. (3) Results: We show that the acanthocyte sedimentation rate (ASR) with a two-hour read-out is significantly prolonged in chorea-acanthocytosis and McLeod syndrome without overlap compared to the ESR of the controls. Mechanistically, through modern colloidal physics, we show that acanthocyte aggregation and plasma fibrinogen levels slow down the sedimentation. Moreover, the inverse of ASR correlates with the number of acanthocytes (R2=0.61, p=0.004). (4) Conclusions: The ASR/ESR is a clear, robust and easily obtainable diagnostic marker. Independently of NASs, we also regard this study as a hallmark of the physical view of erythrocyte sedimentation by describing anticoagulated blood in stasis as a percolating gel, allowing the application of colloidal physics theory. Full article
(This article belongs to the Collection Advances in Red Blood Cells Research)
Show Figures

Graphical abstract

16 pages, 1647 KB  
Review
The Vps13 Family of Lipid Transporters and Its Role at Membrane Contact Sites
by Samantha Katarzyna Dziurdzik and Elizabeth Conibear
Int. J. Mol. Sci. 2021, 22(6), 2905; https://doi.org/10.3390/ijms22062905 - 12 Mar 2021
Cited by 86 | Viewed by 9740
Abstract
The conserved VPS13 proteins constitute a new family of lipid transporters at membrane contact sites. These large proteins are suspected to bridge membranes and form a direct channel for lipid transport between organelles. Mutations in the 4 human homologs (VPS13A–D) are [...] Read more.
The conserved VPS13 proteins constitute a new family of lipid transporters at membrane contact sites. These large proteins are suspected to bridge membranes and form a direct channel for lipid transport between organelles. Mutations in the 4 human homologs (VPS13A–D) are associated with a number of neurological disorders, but little is known about their precise functions or the relevant contact sites affected in disease. In contrast, yeast has a single Vps13 protein which is recruited to multiple organelles and contact sites. The yeast model system has proved useful for studying the function of Vps13 at different organelles and identifying the localization determinants responsible for its membrane targeting. In this review we describe recent advances in our understanding of VPS13 proteins with a focus on yeast research. Full article
(This article belongs to the Special Issue Yeast Models and Molecular Mechanisms of Neurodegenerative Diseases)
Show Figures

Graphical abstract

13 pages, 2443 KB  
Article
Neuroacanthocytosis Syndromes in an Italian Cohort: Clinical Spectrum, High Genetic Variability and Muscle Involvement
by Alessandro Vaisfeld, Giorgia Bruno, Martina Petracca, Anna Rita Bentivoglio, Serenella Servidei, Maria Gabriella Vita, Francesco Bove, Giulia Straccia, Clemente Dato, Giuseppe Di Iorio, Simone Sampaolo, Silvio Peluso, Anna De Rosa, Giuseppe De Michele, Melissa Barghigiani, Daniele Galatolo, Alessandra Tessa, Filippo Santorelli, Pietro Chiurazzi and Mariarosa Anna Beatrice Melone
Genes 2021, 12(3), 344; https://doi.org/10.3390/genes12030344 - 26 Feb 2021
Cited by 14 | Viewed by 3309
Abstract
Neuroacanthocytosis (NA) syndromes are a group of genetically defined diseases characterized by the association of red blood cell acanthocytosis, progressive degeneration of the basal ganglia and neuromuscular features with characteristic persistent hyperCKemia. The main NA syndromes include autosomal recessive chorea-acanthocytosis (ChAc) and X-linked [...] Read more.
Neuroacanthocytosis (NA) syndromes are a group of genetically defined diseases characterized by the association of red blood cell acanthocytosis, progressive degeneration of the basal ganglia and neuromuscular features with characteristic persistent hyperCKemia. The main NA syndromes include autosomal recessive chorea-acanthocytosis (ChAc) and X-linked McLeod syndrome (MLS). A series of Italian patients selected through a multicenter study for these specific neurological phenotypes underwent DNA sequencing of the VPS13A and XK genes to search for causative mutations. Where it has been possible, muscle biopsies were obtained and thoroughly investigated with histochemical assays. A total of nine patients from five different families were diagnosed with ChAC and had mostly biallelic changes in the VPS13A gene (three nonsense, two frameshift, three splicing), while three patients from a single X-linked family were diagnosed with McLeod syndrome and had a deletion in the XK gene. Despite a very low incidence (only one thousand cases of ChAc and a few hundred MLS cases reported worldwide), none of the 8 VPS13A variants identified in our patients is shared by two families, suggesting the high genetic variability of ChAc in the Italian population. In our series, in line with epidemiological data, McLeod syndrome occurs less frequently than ChAc, although it can be easily suspected because of its X-linked mode of inheritance. Finally, histochemical studies strongly suggest that muscle pathology is not simply secondary to the axonal neuropathy, frequently seen in these patients, but primary myopathic alterations can be detected in both NA syndromes. Full article
(This article belongs to the Section Human Genomics and Genetic Diseases)
Show Figures

Graphical abstract

17 pages, 3043 KB  
Article
Flavonoids as Potential Drugs for VPS13-Dependent Rare Neurodegenerative Diseases
by Piotr Soczewka, Krzysztof Flis, Déborah Tribouillard-Tanvier, Jean-Paul di Rago, Cláudia N. Santos, Regina Menezes, Joanna Kaminska and Teresa Zoladek
Genes 2020, 11(7), 828; https://doi.org/10.3390/genes11070828 - 21 Jul 2020
Cited by 12 | Viewed by 4166
Abstract
Several rare neurodegenerative diseases, including chorea acanthocytosis, are caused by mutations in the VPS13AD genes. Only symptomatic treatments for these diseases are available. Saccharomyces cerevisiae contains a unique VPS13 gene and the yeast vps13Δ mutant has been proven as a [...] Read more.
Several rare neurodegenerative diseases, including chorea acanthocytosis, are caused by mutations in the VPS13AD genes. Only symptomatic treatments for these diseases are available. Saccharomyces cerevisiae contains a unique VPS13 gene and the yeast vps13Δ mutant has been proven as a suitable model for drug tests. A library of drugs and an in-house library of natural compounds and their derivatives were screened for molecules preventing the growth defect of vps13Δ cells on medium with sodium dodecyl sulfate (SDS). Seven polyphenols, including the iron-binding flavone luteolin, were identified. The structure–activity relationship and molecular mechanisms underlying the action of luteolin were characterized. The FET4 gene, which encodes an iron transporter, was found to be a multicopy suppressor of vps13Δ, pointing out the importance of iron in response to SDS stress. The growth defect of vps13Δ in SDS-supplemented medium was also alleviated by the addition of iron salts. Suppression did not involve cell antioxidant responses, as chemical antioxidants were not active. Our findings support that luteolin and iron may target the same cellular process, possibly the synthesis of sphingolipids. Unveiling the mechanisms of action of chemical and genetic suppressors of vps13Δ may help to better understand VPS13AD-dependent pathogenesis and to develop novel therapeutic strategies. Full article
(This article belongs to the Special Issue Genetic Aspects of Yeast: Cell Biology, Ecology and Biotechnology)
Show Figures

Figure 1

24 pages, 14607 KB  
Article
Combined Dendritic and Axonal Deterioration Are Responsible for Motoneuronopathy in Patient-Derived Neuronal Cell Models of Chorea-Acanthocytosis
by Hannes Glaß, Patrick Neumann, Arun Pal, Peter Reinhardt, Alexander Storch, Jared Sterneckert and Andreas Hermann
Int. J. Mol. Sci. 2020, 21(5), 1797; https://doi.org/10.3390/ijms21051797 - 5 Mar 2020
Cited by 14 | Viewed by 4336
Abstract
Chorea acanthocytosis (ChAc), an ultra-rare devastating neurodegenerative disease, is caused by mutations in the VPS13A gene, which encodes for the protein chorein. Affected patients suffer from chorea, orofacial dyskinesia, epilepsy, parkinsonism as well as peripheral neuropathy. Although medium spinal neurons of the striatum [...] Read more.
Chorea acanthocytosis (ChAc), an ultra-rare devastating neurodegenerative disease, is caused by mutations in the VPS13A gene, which encodes for the protein chorein. Affected patients suffer from chorea, orofacial dyskinesia, epilepsy, parkinsonism as well as peripheral neuropathy. Although medium spinal neurons of the striatum are mainly affected, other regions are impaired as well over the course of the disease. Animal studies as well as studies on human erythrocytes suggest Lyn-kinase inhibition as valuable novel opportunity to treat ChAc. In order to investigate the peripheral neuropathy aspect, we analyzed induced pluripotent stem cell derived midbrain/hindbrain cell cultures from ChAc patients in vitro. We observed dendritic microtubule fragmentation. Furthermore, by using in vitro live cell imaging, we found a reduction in the number of lysosomes and mitochondria, shortened mitochondria, an increase in retrograde transport and hyperpolarization as measured with the fluorescent probe JC-1. Deep phenotyping pointed towards a proximal axonal deterioration as the primary axonal disease phenotype. Interestingly, pharmacological interventions, which proved to be successful in different models of ChAc, were ineffective in treating the observed axonal phenotypes. Our data suggests that treatment of this multifaceted disease might be cell type and/or neuronal subtype specific, and thus necessitates precision medicine in this ultra-rare disease. Full article
(This article belongs to the Special Issue Rare Diseases: Molecular Mechanisms and Therapeutic Strategies (II))
Show Figures

Figure 1

Back to TopTop