A Circular Economy Approach to Landfill Leachate Biotransformation: Application of Microalgae and Cyanobacteria for Environmental Sustainability and Value-Added Products
Abstract
1. Introduction
2. Materials and Methods
2.1. Leachate: Sampling and Characterization
2.2. Strains
2.3. Sensitivity Analysis of the Strains to Landfill Leachate
2.4. Analytical Methods
2.4.1. Biomass (Dry Weight)
2.4.2. Biomass Preparation for Metabolite Analyses
2.4.3. Total Carbohydrates
2.4.4. Total Lipids
2.4.5. Indole-3-Acetic Acid (IAA)
2.4.6. Poly(3-hydroxybutyrate) (PHB)
2.5. Design of Experiments
2.6. Optimization
- Pb = the biomass productivity (g L−1 d−1);
- Xi = initial biomass concentration (g/L) at time t0;
- Xf = final biomass concentration (g/L) at time t;
- t0 and t = initial and final times, respectively (in days).
- Pb = biomass productivity (g L−1 d−1), as calculated in Equation (1);
- Cf = final metabolite content, expressed as a weight percentage relative to the dry biomass (% w/w).
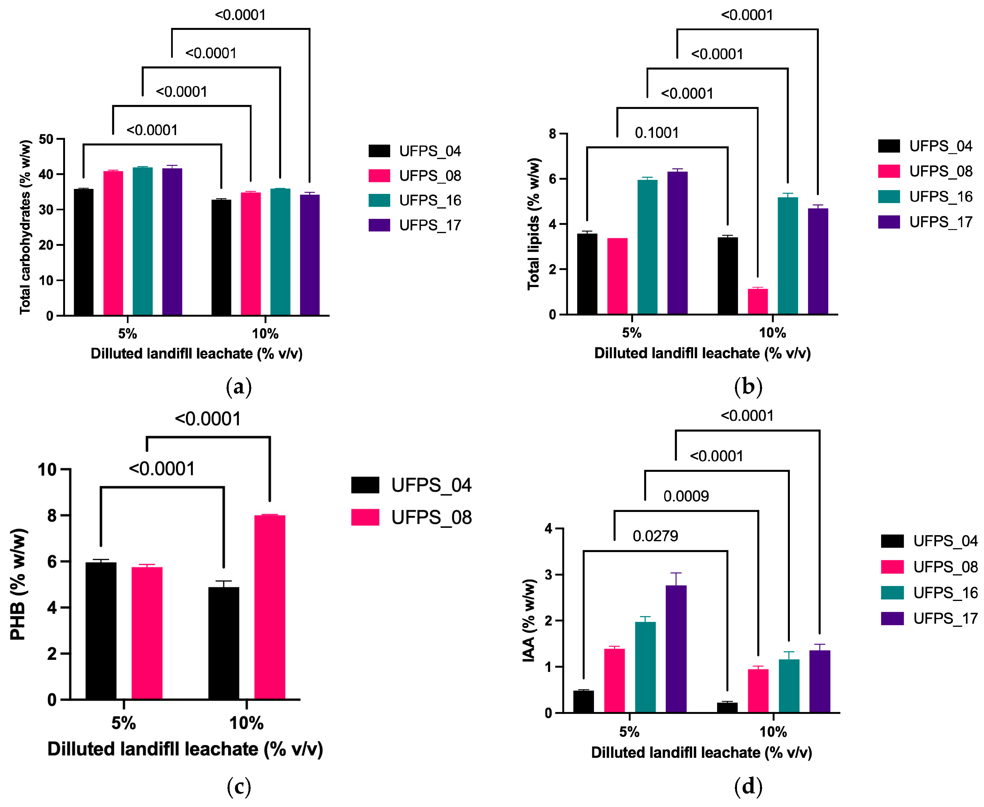
3. Results
3.1. Leachate Physicochemical Profile
3.2. Biomass Production and Metabolites Concentration
3.3. DoE and Optimization of Biomass and Metabolites Production
3.4. Conditions Confirmation
4. Discussion
4.1. Physicochemical Characterization of Leachate
4.2. Sensitivity Analysis of the Strains
4.3. Evaluation of Optimal Conditions at 20 L PBR
5. Conclusions
Author Contributions
Funding
Data Availability Statement
Acknowledgments
Conflicts of Interest
References
- Negi, P.; Mor, S.; Ravindra, K. Impact of Landfill Leachate on the Groundwater Quality in Three Cities of North India and Health Risk Assessment. Environ. Dev. Sustain. 2020, 22, 1455–1474. [Google Scholar] [CrossRef]
- Mai, S.; Barampouti, E.; Koumalas, A.; Dounavis, A. Leachates from Landfill Sites in Thessaloniki, Greece: Effect of Aging. Environ. Res. Eng. Manag. 2019, 75, 30–39. [Google Scholar] [CrossRef]
- Costa, A.M.; de Souza Marotta Alfaia, R.G.; Campos, J.C. Landfill Leachate Treatment in Brazil—An Overview. J. Environ. Manag. 2019, 232, 110–116. [Google Scholar] [CrossRef]
- Fan, Z.; Qin, L.; Zheng, W.; Meng, Q.; Shen, C.; Zhang, G. Oscillating Membrane Photoreactor Combined with Salt-Tolerated Chlorella Pyrenoidosa for Landfill Leachates Treatment. Bioresour. Technol. 2018, 269, 134–142. [Google Scholar] [CrossRef]
- Parvin, F.; Tareq, S.M. Impact of Landfill Leachate Contamination on Surface and Groundwater of Bangladesh: A Systematic Review and Possible Public Health Risks Assessment. Appl. Water Sci. 2021, 11, 100. [Google Scholar] [CrossRef]
- Wdowczyk, A.; Szymańska-Pulikowska, A. Differences in the Composition of Leachate from Active and Non-Operational Municipal Waste Landfills in Poland. Water 2020, 12, 3129. [Google Scholar] [CrossRef]
- Sossou, K.; Bala Prasad, S.; Agbotsou, K.E.; Saidou Souley, H.; Mudigandla, R. Characteristics of Landfill Leachate and Leachate Treatment by Biological and Advanced Coagulation Process: Feasibility and Effectiveness—An Overview. Waste Manag. Bull. 2024, 2, 181–198. [Google Scholar] [CrossRef]
- Wang, J.; Qiao, Z. A Comprehensive Review of Landfill Leachate Treatment Technologies. Front. Environ. Sci. 2024, 12, 1439128. [Google Scholar] [CrossRef]
- Shi, L.; Chen, H.; Meng, H.; Cheng, R.; Dai, J.; Zheng, X.; Zhang, Z. How Environmental Policy Impacts Technology Adoption: A Case of Landfill Leachate. J. Clean. Prod. 2021, 310, 127484. [Google Scholar] [CrossRef]
- Castellanos-Estupiñan, M.; Carrillo-Botello, A.; Rozo-Granados, L.; Becerra-Moreno, D.; García-Martínez, J.; Urbina-Suarez, N.; López-Barrera, G.; Barajas-Solano, A.; Bryan, S.; Zuorro, A. Removal of Nutrients and Pesticides from Agricultural Runoff Using Microalgae and Cyanobacteria. Water 2022, 14, 558. [Google Scholar] [CrossRef]
- Goswami, R.K.; Mehariya, S.; Verma, P.; Lavecchia, R.; Zuorro, A. Microalgae-Based Biorefineries for Sustainable Resource Recovery from Wastewater. J. Water Process Eng. 2021, 40, 101747. [Google Scholar] [CrossRef]
- Zuorro, A.; García-Martínez, J.B.; Barajas-Solano, A.F. The Application of Catalytic Processes on the Production of Algae-Based Biofuels: A Review. Catalysts 2021, 11, 22. [Google Scholar] [CrossRef]
- García, D.; Rangel-Basto, Y.; Barajas-Solano, A.; Muñoz-Peñalosa, Y.; Urbina-Suarez, N. Towards the Production of Microalgae Biofuels: The Effect of the Culture Medium on Lipid Deposition. BioTechnologia 2019, 100, 273–278. [Google Scholar] [CrossRef]
- García-Martínez, J.B.; Urbina-Suarez, N.A.; Zuorro, A.; Barajas-Solano, A.F.; Kafarov, V. Fisheries Wastewater as a Sustainable Media for the Production of Algae-Based Products. Chem. Eng. Trans. 2019, 76, 1339–1344. [Google Scholar] [CrossRef]
- Urbina-Suarez, N.A.; Ayala-González, D.D.; Rivera-Amaya, J.D.; Barajas-Solano, A.F.; Machuca-Martínez, F. Evaluation of the Light/Dark Cycle and Concentration of Tannery Wastewater in the Production of Biomass and Metabolites of Industrial Interest from Microalgae and Cyanobacteria. Water 2022, 14, 346. [Google Scholar] [CrossRef]
- Urbina-Suarez, N.A.; Barajas-Solano, A.F.; Garcia-Martinez, J.B.; Lopez-Barrera, G.L.; Gonzalez-Delgado, A.D. Cultivation of Chlorella Sp. for Biodiesel Production Using Two Farming Wastewaters in Eastern Colombia. J. Water Land Dev. 2021, 50, 141–149. [Google Scholar] [CrossRef]
- Franco-Morgado, M.; Amador-Espejo, G.G.; Pérez-Cortés, M.; Gutiérrez-Uribe, J.A. Microalgae and Cyanobacteria Polysaccharides: Important Link for Nutrient Recycling and Revalorization of Agro-Industrial Wastewater. Appl. Food Res. 2023, 3, 100296. [Google Scholar] [CrossRef]
- Hu, D.; Zhang, J.; Chu, R.; Yin, Z.; Hu, J.; Kristianto Nugroho, Y.; Li, Z.; Zhu, L. Microalgae Chlorella Vulgaris and Scenedesmus Dimorphus Co-Cultivation with Landfill Leachate for Pollutant Removal and Lipid Production. Bioresour. Technol. 2021, 342, 126003. [Google Scholar] [CrossRef]
- Liew, L.W.; Bashir, M.J.; Toh, P.Y.; Alazaiza, M.Y.D.; Amr, S.S.A.; Khoo, K.S.; Raksasat, R.; Lim, J.W. Microalgae Cultivation in Stabilized Landfill Leachate for Simultaneous Treatment and Biomass Production. J. Taiwan Inst. Chem. Eng. 2025, 166, 105068. [Google Scholar] [CrossRef]
- García, G.; Sosa-Hernández, J.E.; Rodas-Zuluaga, L.I.; Castillo-Zacarías, C.; Iqbal, H.; Parra-Saldívar, R. Accumulation of PHA in the Microalgae Scenedesmus Sp. under Nutrient-Deficient Conditions. Polymers 2020, 13, 131. [Google Scholar] [CrossRef]
- Hernández-García, A.; Velásquez-Orta, S.B.; Novelo, E.; Yáñez-Noguez, I.; Monje-Ramírez, I.; Orta Ledesma, M.T. Wastewater-Leachate Treatment by Microalgae: Biomass, Carbohydrate and Lipid Production. Ecotoxicol. Environ. Saf. 2019, 174, 435–444. [Google Scholar] [CrossRef] [PubMed]
- Gupta, A.; Pandey, P.; Gupta, R.; Tiwari, S.; Singh, S.P. Responding to Light Signals: A Comprehensive Update on Photomorphogenesis in Cyanobacteria. Physiol. Mol. Biol. Plants 2023, 29, 1915–1930. [Google Scholar] [CrossRef] [PubMed]
- Ersahin, M.E.; Cicekalan, B.; Cengiz, A.I.; Zhang, X.; Ozgun, H. Nutrient Recovery from Municipal Solid Waste Leachate in the Scope of Circular Economy: Recent Developments and Future Perspectives. J. Environ. Manag. 2023, 335, 117518. [Google Scholar] [CrossRef]
- Vallati, A.; De Lieto Vollaro, R.; Tallini, A.; Cedola, L. Photovoltaics Noise Barrier: Acoustic and Energetic Study. Energy Procedia 2015, 82, 716–723. [Google Scholar] [CrossRef]
- Vallati, A.; Fiorini, C.V.; Grignaffini, S.; Ocłoń, P.; Di Matteo, M.; Kobylarczyk, J. Energy Retrofit Optimization for Social Building in Temperate Climate Zone. Energy Build. 2023, 282, 112771. [Google Scholar] [CrossRef]
- Vallati, A.; Di Matteo, M.; Sundararajan, M.; Muzi, F.; Fiorini, C.V. Development and Optimization of an Energy Saving Strategy for Social Housing Applications by Water Source-Heat Pump Integrating Photovoltaic-Thermal Panels. Energy 2024, 301, 131531. [Google Scholar] [CrossRef]
- Pedone, L.; Molaioni, F.; Vallati, A.; Pampanin, S. Energy Refurbishment Planning of Italian School Buildings Using Data-Driven Predictive Models. Appl. Energy 2023, 350, 121730. [Google Scholar] [CrossRef]
- Ali Yildirim, M.; Bartyzel, F.; Vallati, A.; Woźniak, M.K.; Ocłoń, P. Efficient Energy Storage in Residential Buildings Integrated with RESHeat System. Appl Energy 2023, 335, 120752. [Google Scholar] [CrossRef]
- Ishaq, A.; Said, M.I.M.; Azman, S.; Abdulwahab, M.F.; Alfa, M.I. Impact, Mitigation Strategies, and Future Possibilities of Nigerian Municipal Solid Waste Leachate Management Practices: A Review. Niger. J. Technol. Dev. 2022, 19, 181–194. [Google Scholar] [CrossRef]
- American Public Health Association; American Water Works Association; Water Environment Federation. Standard Methods for the Examination of Water and Wastewater, 24th ed.; Lipps, W.C., Braun-Howland, E.B., Baxter, T.E., Eds.; APHA Press: Washington, DC, USA, 2023. [Google Scholar]
- Andersen, R.; Berges, J.; Harrison, P.; Watanabe, M. Recipes for Freshwater and Seawater Media. In Algal Culture Techniques; Elsevier Academic Press: London, UK, 2005. [Google Scholar]
- Shaari, A.L.; Che Sa, S.N.; Surif, M.; Zolkarnain, N.; Ghazali, R. Growth of Marine Microalgae in Landfill Leachate and Their Ability as Pollutants Removal. Trop. Life Sci. Res. 2021, 32, 133–146. [Google Scholar] [CrossRef] [PubMed]
- Kholomyeva, M.; Vurm, R.; Tajnaiová, L.; Šír, M.; Maslova, M.; Kočí, V. Phycoremediation of Landfill Leachate with Desmodesmus Subspicatus: A Pre-Treatment for Reverse Osmosis. Water 2020, 12, 1755. [Google Scholar] [CrossRef]
- Moheimani, N.R.; Borowitzka, M.A.; Isdepsky, A.; Sing, S.F. Standard Methods for Measuring Growth of Algae and Their Composition. In Algae for Biofuels and Energy; Springer: Dordrecht, The Netherlands, 2013; pp. 265–284. [Google Scholar]
- Mishra, S.K.; Suh, W.I.; Farooq, W.; Moon, M.; Shrivastav, A.; Park, M.S.; Yang, J.-W. Rapid Quantification of Microalgal Lipids in Aqueous Medium by a Simple Colorimetric Method. Bioresour. Technol. 2014, 155, 330–333. [Google Scholar] [CrossRef] [PubMed]
- Gang, S.; Sharma, S.; Saraf, M.; Buck, M.; Schumacher, J. Analysis of Indole-3-Acetic Acid (IAA) Production in Klebsiella by LC-MS/MS and the Salkowski Method. Bio. Protoc. 2019, 9, e3230. [Google Scholar] [CrossRef]
- Getachew, A.; Woldesenbet, F. Production of Biodegradable Plastic by Polyhydroxybutyrate (PHB) Accumulating Bacteria Using Low Cost Agricultural Waste Material. BMC Res. Notes 2016, 9, 509. [Google Scholar] [CrossRef]
- Tighiri, H.O.; Erkurt, E.A. Biotreatment of Landfill Leachate by Microalgae-Bacteria Consortium in Sequencing Batch Mode and Product Utilization. Bioresour. Technol. 2019, 286, 121396. [Google Scholar] [CrossRef]
- Fichot, C.G.; Benner, R. The Spectral Slope Coefficient of Chromophoric Dissolved Organic Matter (S275–S295) as a Tracer of Terrigenous Dissolved Organic Carbon in River-Influenced Ocean Margins. Limnol. Oceanogr. 2012, 57, 1453–1466. [Google Scholar] [CrossRef]
- Mallick, S.P.; Patel, H.V.; Gawande, S.; Wadee, A.; Chen, H.; McKenna, A.M.; Brazil, B.; Yu, W.; Zhao, R. Using Landfill Leachate to Indicate the Chemical and Biochemical Activities in Elevated Temperature Landfills. J. Environ. Manag. 2024, 351, 119719. [Google Scholar] [CrossRef]
- Okurowska, K.; Karunakaran, E.; Al-Farttoosy, A.; Couto, N.; Pandhal, J. Adapting the Algal Microbiome for Growth on Domestic Landfill Leachate. Bioresour. Technol. 2021, 319, 124246. [Google Scholar] [CrossRef]
- Liu, R.; Li, S.; Tu, Y.; Hao, X.; Qiu, F. Recovery of Value-Added Products by Mining Microalgae. J. Environ. Manag. 2022, 307, 114512. [Google Scholar] [CrossRef]
- Salbitani, G.; Carfagna, S. Ammonium Utilization in Microalgae: A Sustainable Method for Wastewater Treatment. Sustainability 2021, 13, 956. [Google Scholar] [CrossRef]
- Braun, J.C.A.; Colla, L.M. Use of Microalgae for the Development of Biofertilizers and Biostimulants. Bioenergy Res. 2023, 16, 289–310. [Google Scholar] [CrossRef]
- Zapata, D.; Arroyave, C.; Cardona, L.; Aristizábal, A.; Poschenrieder, C.; Llugany, M. Phytohormone Production and Morphology of Spirulina Platensis Grown in Dairy Wastewaters. Algal Res. 2021, 59, 102469. [Google Scholar] [CrossRef]
- Kanyatrakul, A.; Prakhongsak, A.; Honda, R.; Phanwilai, S.; Treesubsuntorn, C.; Boonnorat, J. Effect of Leachate Effluent from Activated Sludge and Membrane Bioreactor Systems with Acclimatized Sludge on Plant Seed Germination. Sci. Total Environ. 2020, 724, 138275. [Google Scholar] [CrossRef]
- Porto, B.; Gonçalves, A.L.; Esteves, A.F.; de Souza, S.M.A.G.U.; de Souza, A.A.U.; Vilar, V.J.P.; Pires, J.C.M. Assessing the Potential of Microalgae for Nutrients Removal from a Landfill Leachate Using an Innovative Tubular Photobioreactor. Chem. Eng. J. 2021, 413, 127546. [Google Scholar] [CrossRef]
- Wang, H.; Wu, B.; Liu, J.; Jiang, N.; Zhou, H.; Liu, J.; Zhao, Y.; Xu, J.; Wang, H. Simultaneous Purification of Anaerobic Digestion Slurry and Enhancement in Produced Biogas Using Different Microalgae-Based Technologies under a Variety of Mixed Light Wavelengths and Photoperiods. Energy 2023, 273, 127313. [Google Scholar] [CrossRef]
- Upendar, G.; Singh, S.; Chakrabarty, J.; Chandra Ghanta, K.; Dutta, S.; Dutta, A. Sequestration of Carbon Dioxide and Production of Biomolecules Using Cyanobacteria. J. Environ. Manag. 2018, 218, 234–244. [Google Scholar] [CrossRef]
- McGee, D.; Archer, L.; Fleming, G.T.A.; Gillespie, E.; Touzet, N. Influence of Spectral Intensity and Quality of LED Lighting on Photoacclimation, Carbon Allocation and High-Value Pigments in Microalgae. Photosynth. Res. 2020, 143, 67–80. [Google Scholar] [CrossRef] [PubMed]
- Guzmán-Palomino, A.; Aguilera-Vázquez, L.; Hernández-Escoto, H.; García-Vite, P.M.; Martínez-Salazar, A.L. Dynamical Simulation, Sensitivity, and Productivity Analysis of a Light-Photoacclimation Model for Microalgae-Based Carbohydrate Production in Continuous Photobioreactors. Processes 2023, 11, 1866. [Google Scholar] [CrossRef]
- Bahman, M.; Aghanoori, M.; Jalili, H.; Bozorg, A.; Danaee, S.; Bidhendi, M.E.; Amrane, A. Effect of Light Intensity and Wavelength on Nitrogen and Phosphate Removal from Municipal Wastewater by Microalgae under Semi-Batch Cultivation. Environ. Technol. 2022, 43, 1352–1358. [Google Scholar] [CrossRef]
- Nzayisenga, J.C.; Farge, X.; Groll, S.L.; Sellstedt, A. Effects of Light Intensity on Growth and Lipid Production in Microalgae Grown in Wastewater. Biotechnol. Biofuels 2020, 13, 4. [Google Scholar] [CrossRef] [PubMed]
- Ljubic, A.; Holdt, S.L.; Jakobsen, J.; Bysted, A.; Jacobsen, C. Fatty Acids, Carotenoids, and Tocopherols from Microalgae: Targeting the Accumulation by Manipulating the Light during Growth. J. Appl. Phycol. 2021, 33, 2783–2793. [Google Scholar] [CrossRef]
- Seijas Velásquez, S.; Seijas Bernabé, N.S.; Seijas Bernabé, P.A. Cultivo de Arthrospira Jenneri En Fotobiorreactor Multitubular Para Captura de CO de Gases de Combustion. UCV-SCIENTIA 2020, 11, 23–27. [Google Scholar] [CrossRef]
- Bravo Montesdeoca, M.G.; Lodeiros Seijo, C.; Zapata Vívenes, E.; Alió Mingo, J.J. Efecto de Luces LED y Fluorescentes Sobre El Crecimiento y La Biomasa de Thalassiosira Pseudonana (Cleve, 1873). Téc. Rev. Agrocienc. 2020, 10. [Google Scholar] [CrossRef]
- Porras-Mahecha, D.; Garzón-Castro, C.L.; Hurtado, X.; Gómez, F. Control of the Intensity of Light in a Photobioreactor for Cultivation of Microalgae. In Proceedings of the 2019 IEEE 39th Central America and Panama Convention (CONCAPAN XXXIX); IEEE: New York, NY, USA, 2019; pp. 1–5. [Google Scholar]
- Yuan, H.; Zhang, X.; Jiang, Z.; Wang, X.; Wang, Y.; Cao, L.; Zhang, X. Effect of Light Spectra on Microalgal Biofilm: Cell Growth, Photosynthetic Property, and Main Organic Composition. Renew. Energy 2020, 157, 83–89. [Google Scholar] [CrossRef]
- Zhang, H.; Chen, A.; Huang, L.; Zhang, C.; Gao, B. Transcriptomic Analysis Unravels the Modulating Mechanisms of the Biomass and Value-Added Bioproducts Accumulation by Light Spectrum in Eustigmatos Cf. Polyphem (Eustigmatophyceae). Bioresour. Technol. 2021, 338, 125523. [Google Scholar] [CrossRef]
- Ren, H.-Y.; Dai, Y.-Q.; Kong, F.; Xing, D.; Zhao, L.; Ren, N.-Q.; Ma, J.; Liu, B.-F. Enhanced Microalgal Growth and Lipid Accumulation by Addition of Different Nanoparticles under Xenon Lamp Illumination. Bioresour. Technol. 2020, 297, 122409. [Google Scholar] [CrossRef]
- Maltsev, Y.; Maltseva, K.; Kulikovskiy, M.; Maltseva, S. Influence of Light Conditions on Microalgae Growth and Content of Lipids, Carotenoids, and Fatty Acid Composition. Biology 2021, 10, 1060. [Google Scholar] [CrossRef]
- Rearte, T.A.; Celis-Pla, P.S.M.; Abdala-Díaz, R.; Castro-Varela, P.; Marsili, S.N.; García, C.; Cerón-García, M.C.; Figueroa, F.L. Increase in Polyunsaturated Fatty Acids and Carotenoid Accumulation in the Microalga Golenkinia brevispicula (Chlorophyceae) by Manipulating Spectral Irradiance and Salinity. Biotechnol. Bioeng. 2024, 121, 3715–3727. [Google Scholar] [CrossRef]
- Sun, Y.; Liao, Q.; Huang, Y.; Xia, A.; Fu, Q.; Zhu, X.; Fu, J.; Li, J. Application of Growth-Phase Based Light-Feeding Strategies to Simultaneously Enhance Chlorella vulgaris Growth and Lipid Accumulation. Bioresour. Technol. 2018, 256, 421–430. [Google Scholar] [CrossRef]
- Frank, M.; Cortleven, A.; Pěnčík, A.; Novak, O.; Schmülling, T. The Photoperiod Stress Response in Arabidopsis thaliana Depends on Auxin Acting as an Antagonist to the Protectant Cytokinin. Int. J. Mol. Sci. 2022, 23, 2936. [Google Scholar] [CrossRef]
- Van Do, T.C.; Tran, D.T.; Le, T.G.; Nguyen, Q.T. Characterization of Endogenous Auxins and Gibberellins Produced by Chlorella sorokiniana TH01 under Phototrophic and Mixtrophic Cultivation Modes toward Applications in Microalgal Biorefinery and Crop Research. J. Chem. 2020, 2020, 4910621. [Google Scholar] [CrossRef]
- Lin, H.; Li, Y.; Hill, R.T. Microalgal and Bacterial Auxin Biosynthesis: Implications for Algal Biotechnology. Curr. Opin. Biotechnol. 2022, 73, 300–307. [Google Scholar] [CrossRef]
- Vendruscolo, R.G.; Fagundes, M.B.; Maroneze, M.M.; do Nascimento, T.C.; de Menezes, C.R.; Barin, J.S.; Zepka, L.Q.; Jacob-Lopes, E.; Wagner, R. Scenedesmus obliquus Metabolomics: Effect of Photoperiods and Cell Growth Phases. Bioprocess Biosyst. Eng. 2019, 42, 727–739. [Google Scholar] [CrossRef]
- Zhang, X.; Yuan, H.; Guan, L.; Wang, X.; Wang, Y.; Jiang, Z.; Cao, L.; Zhang, X. Influence of Photoperiods on Microalgae Biofilm: Photosynthetic Performance, Biomass Yield, and Cellular Composition. Energies 2019, 12, 3724. [Google Scholar] [CrossRef]
- Arcila, J.S.; Céspedes, D.; Buitrón, G. Influence of Wavelength Photoperiods and N/P Ratio on Wastewater Treatment with Microalgae–Bacteria. Water Sci. Technol. 2021, 84, 712–724. [Google Scholar] [CrossRef]
- Smith, R.T.; Gilmour, D.J. The Influence of Exogenous Organic Carbon Assimilation and Photoperiod on the Carbon and Lipid Metabolism of Chlamydomonas reinhardtii. Algal Res. 2018, 31, 122–137. [Google Scholar] [CrossRef]
- Samadhiya, K.; Ghosh, A.; Nogueira, R.; Bala, K. Newly Isolated Native Microalgal Strains Producing Polyhydroxybutyrate and Energy Storage Precursors Simultaneously: Targeting Microalgal Biorefinery. Algal Res. 2022, 62, 102625. [Google Scholar] [CrossRef]
- Kumar, A.N.; Katakojwala, R.; Amulya, K.; Mohan, S.V. Polyhydroxybutyrate Production from Dark-Fermentative Effluent and Composite Grafting with Bagasse Derived α-Cellulose in a Biorefinery Approach. Chemosphere 2021, 279, 130563. [Google Scholar] [CrossRef]
- Zakir Hossain, S.M.; Sultana, N.; Hossain, M.M.; Razzak, S.A. Optimization of Microalgal Biomass and Lipid Productivities for Bioenergy Production Using Central Composite Design with Desirability Function. Int. J. Energy Res. 2021, 45, 17342–17357. [Google Scholar] [CrossRef]
- Beigbeder, J.-B.; Lavoie, J.-M. Effect of Photoperiods and CO2 Concentrations on the Cultivation of Carbohydrate-Rich P. Kessleri Microalgae for the Sustainable Production of Bioethanol. J. CO2 Util. 2022, 58, 101934. [Google Scholar] [CrossRef]
- Satya, A.; Chrismadha, T.; Satya, I.A. Irradiance Optimation for Growing Spirulina Fusiformis: Biomass, Phycocyanin, and Protein Production. Indones. J. Limnol. 2021, 2, 76–85. [Google Scholar] [CrossRef]
- Lei, Y.; Wang, J.; Wu, J. Optimization of Tubular Microalgal Photobioreactors with Spiral Ribs under Single-Sided and Double-Sided Illuminations. Processes 2019, 7, 619. [Google Scholar] [CrossRef]
- Sohani, E.; Pajoum Shariati, F.; Pajoum Shariati, S.R. Assessment of Various Colored Lights on the Growth Pattern and Secondary Metabolites Synthesis in Spirulina platensis. Prep. Biochem. Biotechnol. 2023, 53, 412–423. [Google Scholar] [CrossRef]
- Werner, A.; Broeckling, C.D.; Prasad, A.; Peebles, C.A.M. A Comprehensive Time-course Metabolite Profiling of the Model cyanobacterium Synechocystis Sp. PCC 6803 under Diurnal Light:Dark Cycles. Plant J. 2019, 99, 379–388. [Google Scholar] [CrossRef]
- Montano, C.J.; Seger Pereira Mercedes, S.; PR Campos, T. Issues on the Optimization of Bioreactors of Microalgae and Cyanobacteria Crops for Hydrogen and Bioproduct Productions. Int. J. Innov. Educ. Res. 2020, 8, 276–293. [Google Scholar] [CrossRef]
- Paiva, A.L.P.; Gonçalves da Fonseca Silva, D.; Couto, E. Recycling of Landfill Leachate Nutrients from Microalgae and Potential Applications for Biomass Valorization. J. Environ. Chem. Eng. 2021, 9, 105952. [Google Scholar] [CrossRef]
- Wang, L.; Liu, Y.; Ni, H.; Zuo, W.; Shi, H.; Liao, W.; Liu, H.; Chen, J.; Bai, Y.; Yue, H.; et al. Systematic Characterization of Plant-Associated Bacteria That Can Degrade Indole-3-Acetic Acid. PLoS Biol. 2024, 22, e3002921. [Google Scholar] [CrossRef]
- Koch, M.; Berendzen, K.W.; Forchhammer, K. On the Role and Production of Polyhydroxybutyrate (PHB) in the Cyanobacterium Synechocystis Sp. PCC 6803. Life 2020, 10, 47. [Google Scholar] [CrossRef] [PubMed]
- Simonazzi, M.; Pezzolesi, L.; Galletti, P.; Gualandi, C.; Pistocchi, R.; De Marco, N.; Paganelli, Z.; Samorì, C. Production of Polyhydroxybutyrate by the Cyanobacterium Cf. Anabaena Sp. Int. J. Biol. Macromol. 2021, 191, 92–99. [Google Scholar] [CrossRef] [PubMed]
- Roh, H.; Lee, J.S.; Choi, H.I.; Sung, Y.J.; Choi, S.Y.; Woo, H.M.; Sim, S.J. Improved CO2-Derived Polyhydroxybutyrate (PHB) Production by Engineering Fast-Growing Cyanobacterium Synechococcus Elongatus UTEX 2973 for Potential Utilization of Flue Gas. Bioresour. Technol. 2021, 327, 124789. [Google Scholar] [CrossRef] [PubMed]
- Carpine, R.; Olivieri, G.; Hellingwerf, K.J.; Pollio, A.; Pinto, G.; Marzocchella, A. Photoautotrophic production of poly-.-hydroxybutyrate (phb) from cyanobacteria: Nitrate effects and screening of strains. Environ. Eng. Manag. J. 2019, 18, 1337–1346. [Google Scholar] [CrossRef]






| Factor | Name | Units | Type | Minimum | Maximum |
|---|---|---|---|---|---|
| A | Photoperiod | h | Numeric | 10.00 | 24.00 |
| B | LED | Wavelength | Categorical | Red:Blue 3:1 | White |
| C | Strain | - | Categorical | Microalgae1 | Cyano2 |
| Category | Parameter | Unit | Value |
|---|---|---|---|
| General descriptors | pH | pH units | 8.8 |
| Conductivity | mS/cm | 32 | |
| Physical/optical properties | Color | UPC | 2450 |
| Turbidity | NTU | 52.6 | |
| Organic load | COD | mg/L O2 | 5024 |
| BOD5 | mg/L O2 | 3114 | |
| Derived indicator | BOD5/COD | — | 0.61 |
| Nutrients/Inorganics | Ammoniacal nitrogen (N–NH4+) | mg/L | 1056 |
| Nitrates (N–NO3−) | mg/L | 641.2 | |
| Nitrites (N–NO2−) | mg/L | 2.6 | |
| Phosphates (PO43−) | mg/L | 152.3 | |
| Sulfates (SO42−) | mg/L | 241 | |
| Metal | Iron (Fe) | mg/L | 8.7 |
| Source | Sum of Squares | df | Mean Square | F-Value | p-Value |
|---|---|---|---|---|---|
| Block | 0.2431 | 4 | 0.0608 | ||
| Model | 0.0000 | 0 | |||
| Residual | 0.2745 | 23 | 0.0119 | ||
| Lack of Fit | 0.2429 | 18 | 0.0135 | 2.14 | 0.2050 ** |
| Pure Error | 0.0316 | 5 | 0.0063 | ||
| Cor Total | 0.5176 | 27 |
| Response | Source | Sum of Squares | df | Mean Square | F-Value | p-Value |
|---|---|---|---|---|---|---|
| Total Carbohydrates (% w/w) | Block | 1.20 | 4 | 0.3011 | ||
| Model | 4.57 | 13 | 0.3512 | 24.30 | <0.0001 * | |
| A-Photoperiod | 1.45 | 1 | 1.45 | 100.54 | <0.0001 * | |
| B-LED | 0.2620 | 1 | 0.2620 | 18.13 | 0.0017 * | |
| C-Strain | 1.27 | 3 | 0.4249 | 29.40 | <0.0001 * | |
| AB | 0.1270 | 1 | 0.1270 | 8.79 | 0.0142 * | |
| AC | 1.02 | 3 | 0.3384 | 23.41 | <0.0001 * | |
| BC | 0.5628 | 3 | 0.1876 | 12.98 | 0.0009 * | |
| A2 | 0.1957 | 1 | 0.1957 | 13.54 | 0.0042 * | |
| Residual | 0.1445 | 10 | 0.0145 | |||
| Lack of Fit | 0.0390 | 5 | 0.0078 | 0.3698 | 0.8505 ** | |
| Pure Error | 0.1055 | 5 | 0.0211 | |||
| Cor Total | 5.91 | 27 | ||||
| R2 | 0.9693 | Adeq Precision | 24.3007 | C.V. % | 3.21 | |
| Adjusted R2 | 0.9294 | Std. Dev. | 0.1202 | |||
| Predicted R2 | 0.7924 | Mean | 3.75 | |||
| Total Lipids (% w/w) | Block | 111.89 | 4 | 27.97 | ||
| Model | 133.09 | 5 | 26.62 | 17.29 | <0.0001 * | |
| A-Photoperiod | 0.4327 | 1 | 0.4327 | 0.2811 | 0.6025 ** | |
| B-LED | 12.70 | 1 | 12.70 | 8.25 | 0.0101 * | |
| C-Strain | 114.41 | 3 | 38.14 | 24.77 | <0.0001 * | |
| Residual | 27.71 | 18 | 1.54 | |||
| Lack of Fit | 18.67 | 13 | 1.44 | 0.7946 | 0.6614 ** | |
| Pure Error | 9.04 | 5 | 1.81 | |||
| Cor Total | 272.69 | 27 | ||||
| R2 | 0.8277 | Adeq Precision | 15.6191 | C.V. % | 18.01 | |
| Adjusted R2 | 0.7798 | Std. Dev. | 1.24 | |||
| Predicted R2 | 0.5901 | Mean | 6.89 |
| Response | Source | Sum of Squares | df | Mean Square | F-Value | p-Value |
|---|---|---|---|---|---|---|
| IAAs (% w/w) | Block | 3.29 | 4 | 0.8236 | ||
| Model | 27.94 | 13 | 2.15 | 28.43 | <0.0001 * | |
| A-Photoperiod | 5.55 | 1 | 5.55 | 73.49 | <0.0001 * | |
| B-LED | 0.2103 | 1 | 0.2103 | 2.78 | 0.1262 ** | |
| C-Strain | 14.28 | 3 | 4.76 | 62.99 | <0.0001 * | |
| AB | 1.53 | 1 | 1.53 | 20.18 | 0.0012 * | |
| AC | 1.73 | 3 | 0.5780 | 7.65 | 0.0060 * | |
| BC | 3.39 | 3 | 1.13 | 14.94 | 0.0005 * | |
| A2 | 3.64 | 1 | 3.64 | 48.21 | <0.0001 * | |
| Residual | 0.7559 | 10 | 0.0756 | |||
| Lack of Fit | 0.1393 | 5 | 0.0279 | 0.2259 | 0.9359 ** | |
| Pure Error | 0.6166 | 5 | 0.1233 | |||
| Cor Total | 31.99 | 27 | ||||
| R2 | 0.9737 | Adeq Precision | 16.1872 | C.V. % | 16.17 | |
| Adjusted R2 | 0.9394 | Std. Dev. | 0.2749 | |||
| Predicted R2 | 0.8237 | Mean | 1.70 | |||
| PHB (% w/w) | Block | 210.50 | 4 | 52.62 | ||
| Model | 347.80 | 5 | 69.56 | 318.50 | <0.0001 * | |
| A-Photoperiod | 0.1287 | 1 | 0.1287 | 0.5891 | 0.4527 ** | |
| B-LED | 0.0355 | 1 | 0.0355 | 0.1625 | 0.6917 ** | |
| C-Strain | 343.14 | 3 | 114.38 | 523.71 | <0.0001 * | |
| Residual | 3.93 | 18 | 0.2184 | |||
| Lack of Fit | 3.70 | 13 | 0.2846 | 6.15 | 0.280 ** | |
| Pure Error | 0.2313 | 5 | 0.0463 | |||
| Cor Total | 562.23 | 27 | ||||
| R2 | 0.9888 | Adeq Precision | 34.4179 | C.V. % | 34.77 | |
| Adjusted R2 | 0.9857 | Std. Dev. | 0.4673 | |||
| Predicted R2 | 0.9713 | Mean | 1.34 |
| Response | Expected Value (% w/w) | Variables | Units | Value |
|---|---|---|---|---|
| Total carbohydrates | 69.3 | Photoperiod | h | 23.54 |
| LED | -- | Cool white | ||
| Strain | -- | UFPS_08 | ||
| Total lipids | 12.2 | Photoperiod | h | 24 |
| LED | -- | Cool white | ||
| Strain | -- | UFPS_16 | ||
| IAA | 3.5 | Photoperiod | h | 23.82 |
| LED | -- | Red:Blue | ||
| Strain | -- | UFPS_17 | ||
| PHB | 20.3 | Photoperiod | h | 10 |
| LED | -- | Cool white | ||
| Strain | -- | UFPS_08 |
Disclaimer/Publisher’s Note: The statements, opinions and data contained in all publications are solely those of the individual author(s) and contributor(s) and not of MDPI and/or the editor(s). MDPI and/or the editor(s) disclaim responsibility for any injury to people or property resulting from any ideas, methods, instructions or products referred to in the content. |
© 2026 by the authors. Licensee MDPI, Basel, Switzerland. This article is an open access article distributed under the terms and conditions of the Creative Commons Attribution (CC BY) license.
Share and Cite
Zuorro, A.; Ortiz-Alvarez, M.D.; Lavecchia, R.; Barajas-Ferreira, C.; García-Martínez, J.B.; Barajas-Solano, A.F. A Circular Economy Approach to Landfill Leachate Biotransformation: Application of Microalgae and Cyanobacteria for Environmental Sustainability and Value-Added Products. Water 2026, 18, 462. https://doi.org/10.3390/w18040462
Zuorro A, Ortiz-Alvarez MD, Lavecchia R, Barajas-Ferreira C, García-Martínez JB, Barajas-Solano AF. A Circular Economy Approach to Landfill Leachate Biotransformation: Application of Microalgae and Cyanobacteria for Environmental Sustainability and Value-Added Products. Water. 2026; 18(4):462. https://doi.org/10.3390/w18040462
Chicago/Turabian StyleZuorro, Antonio, Maria D. Ortiz-Alvarez, Roberto Lavecchia, Crisostomo Barajas-Ferreira, Janet B. García-Martínez, and Andrés F. Barajas-Solano. 2026. "A Circular Economy Approach to Landfill Leachate Biotransformation: Application of Microalgae and Cyanobacteria for Environmental Sustainability and Value-Added Products" Water 18, no. 4: 462. https://doi.org/10.3390/w18040462
APA StyleZuorro, A., Ortiz-Alvarez, M. D., Lavecchia, R., Barajas-Ferreira, C., García-Martínez, J. B., & Barajas-Solano, A. F. (2026). A Circular Economy Approach to Landfill Leachate Biotransformation: Application of Microalgae and Cyanobacteria for Environmental Sustainability and Value-Added Products. Water, 18(4), 462. https://doi.org/10.3390/w18040462

