Sign in to use this feature.

Years

Between: -

Subjects

remove_circle_outline
remove_circle_outline
remove_circle_outline
remove_circle_outline
remove_circle_outline
remove_circle_outline

Journals

Article Types

Countries / Regions

Search Results (34)

Search Parameters:
Keywords = Castelli index

Order results
Result details
Results per page
Select all
Export citation of selected articles as:
16 pages, 1372 KB  
Article
Lipid-Derived Cardiometabolic Indices in Normouricemic and Hyperuricemic Adults: A Retrospective Cross-Sectional Association Study
by Yazeed Alshuweishi, Salihah H. Khobrani, Muath Alsaidan, Tahani M. Alharthi, Mohannad G. Abdelgader and Abdulaziz M. Almuqrin
Healthcare 2025, 13(23), 3151; https://doi.org/10.3390/healthcare13233151 - 3 Dec 2025
Viewed by 382
Abstract
Introduction: Hyperuricemia is increasingly recognized as a metabolic disorder linked to dyslipidemia, insulin resistance, and vascular complications. In Saudi Arabia, the prevalence of hyperuricemia is rising with obesity and diabetes, yet its relationship with lipid-derived cardiometabolic indices remained understudied. This study aimed to [...] Read more.
Introduction: Hyperuricemia is increasingly recognized as a metabolic disorder linked to dyslipidemia, insulin resistance, and vascular complications. In Saudi Arabia, the prevalence of hyperuricemia is rising with obesity and diabetes, yet its relationship with lipid-derived cardiometabolic indices remained understudied. This study aimed to examine the associations between uricemia status and lipid-derived cardiometabolic indices in a large adult cohort. Methods: This retrospective cross-sectional study analyzed data from 7652 adults, including 5385 normouricemic (NU) and 2267 hyperuricemic (HU). Key cardiometabolic indices, including the triglyceride-glucose index (TyG), non-high-density lipoprotein cholesterol (non-HDL-C), remnant cholesterol (RC), atherogenic index of plasma (AIP), and Castelli risk indices I and II (CRI-I, CRI-II), were calculated. Associations were evaluated treating HU as the exposure and the lipid-derived cardiometabolic indices as the outcomes. Multivariable regression analyses, receiver operating characteristic (ROC) curves, and prevalence-based association estimates were used to assess these relationships. Results: HU individuals exhibited significantly higher TG along with lowered HDL-C. Median TyG (4.61), AIP (0.38), non-HDL-C (147 mg/dL), RC (18 mg/dL), CRI-I (4.30), and CRI-II (2.85) were higher in the HU group compared to NU group, with non-HDL-C and CRI-I falling within the abnormal range, AIP in the high-risk range, and TyG and CRI-II at borderline levels. Across the separately adjusted models, hyperuricemia showed consistent positive associations with RC, AIP, CRI-I, and CRI-II, whereas associations with TyG and non-HDL-C diminished after adjustment for renal or liver markers. ROC analysis demonstrated modest discriminatory ability of uric acid for elevated indices, with AIP (AUC = 0.641) and CRI-I (AUC = 0.640) exhibiting the highest performance. The prevalence of elevated indices was substantially higher in HU, particularly for CRI-II (44.0% vs. 25.9%) and CRI-I (28.2% vs. 13.7%). Conclusions: These findings highlight associations between HU and lipid-derived cardiometabolic indices, but further longitudinal research is required to determine whether HU has a clinical predictive value in cardiovascular risk assessment. Full article
Show Figures

Figure 1

18 pages, 1682 KB  
Article
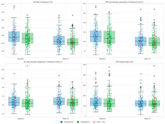
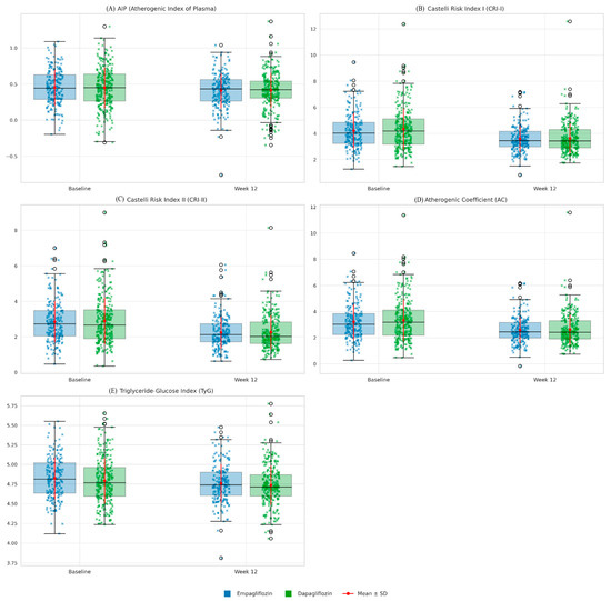
Effects of Empagliflozin and Dapagliflozin on Lipid Profiles and Atherogenic Risk Indices in Patients with Heart Failure and a History of CABG: First Evidence in the Literature
by Ilhan Ozgol, Ece Yigit Gencer, Cennet Yildiz, Dilay Karabulut, Fatma Nihan Turhan Çaglar, Burcu Bicakhan, Cihan Yucel, Serkan Ketenciler, Asime Ay and Zerrin Yigit
J. Clin. Med. 2025, 14(20), 7395; https://doi.org/10.3390/jcm14207395 - 20 Oct 2025
Viewed by 813
Abstract
Objective: This study aimed to compare the effects of empagliflozin and dapagliflozin on classical lipid parameters—including total cholesterol (TC), low-density lipoprotein cholesterol (LDL-C), high-density lipoprotein cholesterol (HDL-C), and triglycerides (TG)—as well as on atherogenic risk indices, including the atherogenic index of plasma (AIP), [...] Read more.
Objective: This study aimed to compare the effects of empagliflozin and dapagliflozin on classical lipid parameters—including total cholesterol (TC), low-density lipoprotein cholesterol (LDL-C), high-density lipoprotein cholesterol (HDL-C), and triglycerides (TG)—as well as on atherogenic risk indices, including the atherogenic index of plasma (AIP), Castelli Risk Index I (CRI-I), Castelli Risk Index II (CRI-II), atherogenic coefficient (AC), and triglyceride-glucose index (TyG), in patients with heart failure and a history of coronary artery bypass grafting (CABG). To our knowledge, this is the first study to comprehensively evaluate these parameters in this high-risk population. Methods: This single-center, retrospective study included 484 patients with preserved ejection fraction heart failure and prior CABG who were treated with sodium–glucose cotransporter-2 (SGLT2) inhibitors. Patients were allocated to empagliflozin (n = 201) or dapagliflozin (n = 283) groups. All patients were receiving statin therapy. Lipid parameters and atherogenic indices were evaluated at baseline and after 12 weeks of treatment. Results: Both empagliflozin and dapagliflozin significantly reduced TC and LDL-C at 12 weeks (p < 0.001). No significant changes were observed in HDL-C or TG. Both agents produced significant improvements in CRI-I, CRI-II, AC, and TyG index (all p < 0.001), while AIP remained unchanged. Dapagliflozin achieved a greater reduction in TC (p = 0.044). Conclusions: This study represents the first direct comparison of empagliflozin and dapagliflozin on lipid profiles and atherogenic indices in patients with heart failure and prior CABG. Both agents significantly improved TC, LDL-C, and atherogenic indices. Dapagliflozin achieved a greater reduction in TC compared with empagliflozin, but overall both drugs demonstrated favorable and largely comparable effects. Beyond improvements in absolute values, both agents also contributed to favorable shifts in risk categories of lipid-derived indices. These findings suggest that clinical decision-making between empagliflozin and dapagliflozin may rely on factors other than lipid modulation. Larger multicenter prospective trials are warranted to confirm these results and clarify their long-term cardiovascular implications. Full article
(This article belongs to the Section Cardiovascular Medicine)
Show Figures

Figure 1

24 pages, 967 KB  
Article
Effects of Aerobic-Resistance Training and Nutritional Intervention on Adiponectin, Interleukin-6, and hs-CRP Concentrations in Men with Abdominal Obesity—A Randomized Controlled Trial
by Karol Makiel, Aneta Targosz, Piotr Kosowski and Agnieszka Suder
Int. J. Mol. Sci. 2025, 26(19), 9500; https://doi.org/10.3390/ijms26199500 - 28 Sep 2025
Viewed by 2181
Abstract
The objective of this study was to assess the changes in adiponectin concentrations and inflammatory markers in men with abdominal obesity following physical exercise and exercise combined with dietary intervention. This study included 44 males with abdominal obesity (mean age 34.7 ± 5.5 [...] Read more.
The objective of this study was to assess the changes in adiponectin concentrations and inflammatory markers in men with abdominal obesity following physical exercise and exercise combined with dietary intervention. This study included 44 males with abdominal obesity (mean age 34.7 ± 5.5 years, waist circumference [WC] 110.3 ± 8.5, BMI 32.0 ± 3.9), who were randomly assigned to three groups: a control group without interventions (CG, n = 12), an experimental group engaging in aerobic-resistance exercise (EG, n = 16) and a group engaging in aerobic-resistance exercise combined with an ad libitum high-protein, low-glycemic index carbohydrate diet (EDG, n = 16). Body composition metrics: the body fat-, fat-free mass-, and abdominal fat-to body mass (BF/BM, FFM/BM, ABD/BM) indexes and the body adiposity index (BAI), along with biochemical blood analyses—adiponectin (ADIPO), interleukin-6 (IL-6), high-sensitivity C-reactive protein (hs-CRP), Castelli-II Index (CRI II) and fasting glucose–insulin (FG/I) ratio—were measured at baseline and after the intervention. The effects of the interventions on the analyzed variables across groups were assessed using mixed ANOVA tests with post hoc comparisons. Effect size (ES) was also calculated using partial eta squared (ηp2). The exercise intervention (EG) resulted in a significant reduction in the BAI (p < 0.01), insulin resistance FG/I (p < 0.02), and IL-6 concentrations (p < 0.01) and initiated an increase in ADIPO secretion (p = 0.03). The combined intervention (EDG) reduced the insulin resistance FG/I (p = 0.02) and atherogenic index CRI II (p = 0.01), decreased inflammatory markers IL-6 (p = 0.01) by 48% and hs-CRP (p = 0.04) by 30%, and simultaneously increased the ADIPO (p = 0.02) concentration by 15%. These effects were accompanied by significant changes in body composition: reductions in visceral fat ABD/BM (p < 0.01), total fat BF/BM (p < 0.01), and BAI (p = 0.02) and an increase in FFM/BM (p < 0.01). A crucial role in achieving these outcomes was played by dietary modifications, i.e., the inclusion of low-glycemic index carbohydrates (p < 0.01), a 23% increase in protein intake (p < 0.01), and a 50% increase in dietary fiber intake (p < 0.01), which consistently deepened the energy deficit (p < 0.01) and reduced fat intake (p < 0.01). These findings underscore that short-term interventions, whether exercise alone or combined with dietary modifications, can effectively reduce inflammation and lower insulin resistance in men with visceral obesity. However, the combined intervention, involving both exercise and dietary modifications, resulted in more pronounced beneficial changes in both body composition and concentrations of adipokines, inflammatory markers, and atherogenic indices and insulin resistance. Full article
Show Figures

Figure 1

10 pages, 547 KB  
Article
Periodontitis, Dyslipidemia and Rheumatoid Arthritis: An Additive Model of Cardiovascular Risk
by Marco Bonilla, Enrique Raya-Álvarez, Manuel Bravo, Eva Rosel and Francisco Mesa
J. Clin. Med. 2025, 14(19), 6722; https://doi.org/10.3390/jcm14196722 - 23 Sep 2025
Cited by 1 | Viewed by 756
Abstract
Background: Rheumatoid arthritis and periodontitis are chronic inflammatory diseases linked to systemic complications, including increased cardiovascular risk. The impact of glycemia, lipid profile and atherogenic cardiovascular risk indices in patients with rheumatoid arthritis (RA) and periodontitis, compared to controls, has not yet [...] Read more.
Background: Rheumatoid arthritis and periodontitis are chronic inflammatory diseases linked to systemic complications, including increased cardiovascular risk. The impact of glycemia, lipid profile and atherogenic cardiovascular risk indices in patients with rheumatoid arthritis (RA) and periodontitis, compared to controls, has not yet been evaluated. We aimed to analyze whether periodontitis acts as an aggravating factor in this relationship. Methods: In a case–control study, we assessed biochemical, RA-related markers and four atherogenic indices (Atherogenic Index of Plasma, Castelli Risk Index I, Castelli Risk Index II, and Triglyceride–Glucose Index). Periodontitis was evaluated using a gingival inflammation index (BOP) and a periodontal severity index (PIRIM). Multiple linear regression models were used to analyze whether periodontitis had a differential effect in RA cases versus controls. Results: A total of 46 participants were included (32 RA cases, 14 controls). Periodontitis was more prevalent among cases (62.5% vs. 28.5%). BOP was significantly higher in RA patients (p < 0.001) and associated with LDLC (p = 0.031). Both BOP and PIRIM correlated with higher CRI-1 and CRI-2 values across groups. PIRIM was also linked to increased LDLC (p = 0.018) and decreased HDLC (p = 0.003). Conclusions: RA and periodontitis appear to interact synergistically and are associated with a more atherogenic profile. These findings highlight periodontal health as a potentially modifiable factor in reducing cardiovascular risk in RA patients. Full article
(This article belongs to the Section Cardiovascular Medicine)
Show Figures

Figure 1

14 pages, 593 KB  
Article
BAN Score and Distinct Early Cardiometabolic Risk Signatures in a Non-Diabetic Population: A Cross-Sectional Analysis
by Yazeed Alshuweishi, Noha A. Alshuwayer, Lama Izziddeen, Arwa Abudawood, Dalal Alfayez and Ahmed M. Basudan
Healthcare 2025, 13(18), 2384; https://doi.org/10.3390/healthcare13182384 - 22 Sep 2025
Viewed by 720
Abstract
Background: The BMI–albumin–neutrophil-to-lymphocyte (BAN) score integrates adiposity, nutritional status, and systemic inflammation, but its role in detecting early cardiometabolic changes remains unclear. This study examined associations of the BAN score with vascular, glycemic, and lipid markers in non-diabetic adults. Methods: This retrospective cross-sectional [...] Read more.
Background: The BMI–albumin–neutrophil-to-lymphocyte (BAN) score integrates adiposity, nutritional status, and systemic inflammation, but its role in detecting early cardiometabolic changes remains unclear. This study examined associations of the BAN score with vascular, glycemic, and lipid markers in non-diabetic adults. Methods: This retrospective cross-sectional study included 162 non-diabetic subjects. Associations between the BAN score and vascular, glycemic, and lipid parameters were examined using Spearman’s correlation, ROC analysis, and regression models adjusted for age, sex, smoking status, and medication use. Results: Patients had a median age of 37 years, 72.8% were female, with median BMI 33 kg/m2, albumin 4.4 g/dL, and NLR 1.3. Higher BAN scores correlated with systolic blood pressure (SBP) (r = 0.23, p < 0.01), pulse pressure (PP) (r = 0.26, p < 0.001), and HbA1c (r = 0.22, p < 0.01). Compared with the lowest tertile, higher BAN tertiles showed significantly elevated SBP, PP, and HbA1c (p < 0.01). In adjusted models, each one-unit increase in BAN score was associated with higher SBP (β = 1.01, p = 0.037), PP (β = 0.66, p = 0.006), and HbA1c (β = 1.85, p = 0.008). No associations were found with the atherogenic index of plasma (AIP), Castelli risk index I (CRI-I), or Castelli risk index II (CRI-II). ROC analysis showed moderate discriminative ability for hypertension (AUC = 0.66) and HbA1c (AUC = 0.65). Conclusions: The BAN score is associated with a distinctive early cardiometabolic risk, particularly elevated SBP, widened PP, and early glycemic alterations. Further research should define the BAN score’s mechanisms and preventive utility. Full article
Show Figures

Figure 1

22 pages, 581 KB  
Article
Age-Related Characteristics of Diastolic Dysfunction in Type 2 Diabetes Patients
by Elena-Daniela Grigorescu, Bogdan-Mircea Mihai, Georgiana-Diana Cazac-Panaite, Adina-Bianca Foșălău, Alina Onofriescu, Mariana Floria, Cristina Gena Dascălu, Alexandr Ceasovschih, Laurențiu Șorodoc and Cristina-Mihaela Lăcătușu
J. Clin. Med. 2025, 14(16), 5772; https://doi.org/10.3390/jcm14165772 - 15 Aug 2025
Viewed by 800
Abstract
Background: Asymptomatic left ventricular diastolic dysfunction (LVDD) occurs in type 2 diabetes mellitus (T2DM) patients, particularly among the elderly. Aim: This study aimed to identify diastolic function changes over a 52-week follow-up and the predictive factors for LVDD in T2DM patients [...] Read more.
Background: Asymptomatic left ventricular diastolic dysfunction (LVDD) occurs in type 2 diabetes mellitus (T2DM) patients, particularly among the elderly. Aim: This study aimed to identify diastolic function changes over a 52-week follow-up and the predictive factors for LVDD in T2DM patients without atherosclerotic manifestations. Methods: Diastolic function, metabolic profile, atherogenic indexes, and subclinical inflammatory markers were assessed at baseline and after one year in 138 T2DM outpatients. All variables were compared in patients with and without LVDD across three age groups. Results: The patients were 57.86 ± 8.82 years old, 49.3% male, with a mean 5-year diabetes duration and a median HbA1c of 7.8%. At baseline, 71 patients had grade 1 LVDD, 12 had grade 2 and 3 LVDD, and 15 had indeterminate LVDD. In the elderly group, 29 patients had LVDD. The logistic regression analysis identified age over 65 as an independent risk factor for LVDD (Exp B = 9.85, 95% CI: 1.29–75.36, p = 0.027). LVDD patients had a longer diabetes duration and a higher prevalence of diabetic neuropathy. Elderly patients had the lowest E/A, e’, lateral s’, atherogenic and Castelli risk indexes, and significantly higher E/e’, EDT, LAVI and TNF-alpha values (p < 0.05). After 52 weeks, diastolic function worsened in 27 patients, who had no significant differences compared to those with stable or improved diastolic function. Conclusions: LVDD was common in our T2DM patients without known cardiovascular disease, and age increases the LVDD risk. Echocardiographic assessment is necessary, especially in elderly T2DM patients with co-morbidities, to identify patients at risk of progression to heart failure early. Full article
(This article belongs to the Special Issue Cardiovascular Disease in the Elderly: Prevention and Diagnosis)
Show Figures

Figure 1

19 pages, 957 KB  
Article
Prognostic Value of Non-Traditional Lipid Indices for In-Hospital Mortality in Patients with Acute Coronary Syndromes
by Rustem Yilmaz, Kenan Toprak, Ahmet Karagoz, Osman Can Yontar, Melisa Ucar, Halil Ibrahim Kokcu, Berkant Ozturk, Enes Kaya, Mustafa Yilmaz and Ersoy Öz
Medicina 2025, 61(5), 846; https://doi.org/10.3390/medicina61050846 - 4 May 2025
Viewed by 1225
Abstract
Background and Objectives: Acute coronary syndrome (ACS) is a life-threatening cardiovascular condition with high mortality rates, necessitating accurate and early risk assessment to optimize patient outcomes. While traditional lipid markers, such as low-density lipoprotein-cholesterol (LDL-C) and high-density lipoprotein-cholesterol (HDL-C), are widely used, [...] Read more.
Background and Objectives: Acute coronary syndrome (ACS) is a life-threatening cardiovascular condition with high mortality rates, necessitating accurate and early risk assessment to optimize patient outcomes. While traditional lipid markers, such as low-density lipoprotein-cholesterol (LDL-C) and high-density lipoprotein-cholesterol (HDL-C), are widely used, non-traditional lipid indices, including the lipoprotein combined index (LCI), atherogenic index of plasma (AIP), atherogenic index (AI), Castelli risk indices (CRI-I, CRI-II), and atherogenic combined index (ACI) may offer additional prognostic insights by reflecting the underlying atherogenic and inflammatory processes. This study aimed to assess the prognostic value of these non-traditional lipid indices, along with traditional lipid and biochemical markers, for in-hospital mortality in ACS patients. Materials and Methods: This retrospective observational study analyzed data from ACS patients admitted to the coronary care unit (CCU) between January 2019 and September 2024. A cohort of 920 patients was divided into survivor (n = 823, 89.46%) and non-survivor (n = 97, 10.54%) groups based on in-hospital mortality outcomes. Demographic, hematological, biochemical, and lipid profile data, including traditional and non-traditional lipid indices, were collected. Separate logistic regression models were developed for each index, adjusting for demographic and clinical variables in order to assess the independent predictive power of each non-traditional lipid index. Results: Significant differences were observed between survivor and non-survivor groups in terms of age, c-reactive protein (CRP), white blood cell count (WBC), hemoglobin (HGB), and creatinine levels (all p-values < 0.05). While traditional lipid markers, such as LDL-C and HDL-C, showed limited predictive value, non-traditional lipid indices demonstrated stronger associations. The highest Exp (Beta) values were observed for the CRI-II, AI, and CRI-I. An ROC analysis further confirmed that the CRI-II, AI, and CRI-I had the highest AUC values, with pairwise comparisons underscoring the CRI-II’s superior accuracy. These findings suggest that non-traditional lipid indices predict atherogenic risk better than traditional markers alone. Conclusions: Non-traditional lipid indices, particularly the CRI-I and II, AI, LCI, ACI, and AIP, were found to be significantly associated with in-hospital mortality in ACS patients. These indices may provide additional prognostic value beyond traditional lipid parameters; however, further prospective studies are needed to confirm their clinical utility. These results underscore the importance of integrating non-traditional lipid indices into routine risk assessments to improve mortality predictions and inform targeted interventions in high-risk ACS patients. Full article
(This article belongs to the Section Cardiology)
Show Figures

Figure 1

24 pages, 1533 KB  
Article
Association of CETP, APOA5, IL6, and PON1 Gene Variants with Dyslipidemia and Cardiovascular Risk in a Population from Cauca Department, Colombia
by Astrid Lorena Urbano-Cano, Rosa Elvira Álvarez-Rosero and Yamil Liscano
Genes 2025, 16(5), 545; https://doi.org/10.3390/genes16050545 - 30 Apr 2025
Cited by 1 | Viewed by 1546
Abstract
Background: Cardiovascular disease remains the leading cause of death worldwide, and dyslipidemia is a critical, modifiable risk factor. Aim: We sought to evaluate the relationship between polymorphisms in CETP (rs3764261), APOA5 (rs662799), IL6 (rs1800796), and PON1 (Q192R) and lipid parameters, and to assess [...] Read more.
Background: Cardiovascular disease remains the leading cause of death worldwide, and dyslipidemia is a critical, modifiable risk factor. Aim: We sought to evaluate the relationship between polymorphisms in CETP (rs3764261), APOA5 (rs662799), IL6 (rs1800796), and PON1 (Q192R) and lipid parameters, and to assess their contribution to dyslipidemia and overall cardiovascular risk in an urban cohort from Cauca, Colombia. Methods: In this cross-sectional observational study, 304 participants aged 40–69 years were enrolled. Clinical, anthropometric, and biochemical data were collected, and genotyping was performed for the four target polymorphisms. We used descriptive statistics to characterize the sample, non-parametric tests to compare lipid levels by genotype, and multivariable logistic regression to identify independent predictors of dyslipidemia. Results: Individuals with dyslipidemia exhibited significantly higher total cholesterol and VLDL levels, lower HDL levels, and an elevated Castelli II index compared with the non-dyslipidemia group. Although CETP genotype frequencies differed between groups, only the APOA5 rs662799 variant was significantly associated with increased VLDL levels, suggesting its potential role as a genetic biomarker of cardiovascular risk. Conclusions: Our findings underscore the interplay between metabolic factors and genetic variants in the pathogenesis of dyslipidemia. Notably, the APOA5 rs662799 polymorphism emerged as a key determinant of VLDL concentration, highlighting its promise for personalized cardiovascular risk stratification and management in this population. Full article
(This article belongs to the Section Human Genomics and Genetic Diseases)
Show Figures

Figure 1

10 pages, 1358 KB  
Article
Cardiovascular Disease Markers in Schizophrenia During Negative Symptoms and Remission Periods
by Okan Imre, Gurkan Imre, Mehmet Mustu, Omer Acat and Rahim Kocabas
J. Clin. Med. 2025, 14(7), 2288; https://doi.org/10.3390/jcm14072288 - 27 Mar 2025
Viewed by 1049
Abstract
Objectives: This study aims to investigate cardiovascular disease markers in patients with schizophrenia and to contribute to the early indication of asymptomatic cardiovascular diseases in these patients. In our study, there are three groups: schizophrenia with negative symptoms (SCH-N), schizophrenia in remission [...] Read more.
Objectives: This study aims to investigate cardiovascular disease markers in patients with schizophrenia and to contribute to the early indication of asymptomatic cardiovascular diseases in these patients. In our study, there are three groups: schizophrenia with negative symptoms (SCH-N), schizophrenia in remission (SCH-R), and a healthy control group (HC). In these groups, there were compared parameters such as lipid panel, Atherogenic Index (AIP), Triglyceride-glucose (TyG) index, Castelli Risk Index-1 (CRI-I), Castelli Risk Index-2 (CRI-II), and Atherogenic Coefficient (AC), which are associated with the risk of cardiovascular disease. Methods: The participants of the study were from the HC group and schizophrenia patients aged between 18 and 65 who were followed up at the Psychiatry Clinic of Karaman Hospital. This cross-sectional case–control study consists of the SCH-N (n:20), the SCH-R (n:23), and the HC (n:21) groups. Those with cardiovascular, endocrine, and inflammatory diseases, those with alcohol and substance addiction, those using drugs other than psychiatric drugs, and those lacking informed consent were excluded from the study. Patients in active psychotic episodes were also excluded from the study due to communication difficulties. All data were analyzed using SPSS 25.0 package program in a computer environment. The conformity of continuous data to normal distribution was evaluated with normality test value, q-q plot, skewness, and kurtosis. For significant results in the ANOVA test, pairwise comparisons were conducted using the post hoc Bonferroni correction when variances were homogeneously distributed. Similarly, for significant results in the Kruskal–Wallis Test, pairwise comparisons were performed using the Dunn–Bonferroni test. In this study, values less than p < 0.05 were considered statistically significant. Results: When all groups were compared, the increase in the TGs, TyG index, AIP, CRI-I, CRI-II, and AC values in the SCH-R group compared to the HC group was found to be statistically significant (p < 0.001, p < 0.001, p < 0.001, p < 0.001, p = 0.015, p < 0.001; sequentially). Conclusions: This study revealed that cardiovascular risk markers in schizophrenia patients showed significant differences. In particular, the elevation in parameters such as TGs, TyG index, AIP, CRI-I, CRI-II, and AC indicates that schizophrenia patients have an increased risk for cardiovascular diseases. Therefore, it is recommended that schizophrenia patients be closely monitored for cardiovascular risk factors and to intervene early. Full article
(This article belongs to the Section Mental Health)
Show Figures

Graphical abstract

13 pages, 545 KB  
Article
Lipid Levels and Atherogenic Indices as Important Predictive Parameters in the Assessment of Cardiovascular Risk in Patients with Pulmonary Tuberculosis—Slovak Pilot Study
by Karolína Kubalová, Igor Porvazník, Mária Majherová, Lenka Demková, Anna Piotrowska and Marta Mydlárová Blaščáková
Medicina 2025, 61(3), 365; https://doi.org/10.3390/medicina61030365 - 20 Feb 2025
Cited by 3 | Viewed by 2285
Abstract
Background and Objective: Tuberculosis is one of the globally prevalent infectious diseases. Lipids play a crucial role in its development as well as in other diseases of the cardiovascular system. Cardiovascular diseases significantly worsen the functional and vital prognosis of tuberculosis patients. [...] Read more.
Background and Objective: Tuberculosis is one of the globally prevalent infectious diseases. Lipids play a crucial role in its development as well as in other diseases of the cardiovascular system. Cardiovascular diseases significantly worsen the functional and vital prognosis of tuberculosis patients. The aim of the study was to assess the differences in lipid profile, glucose, and atherogenic markers between tuberculosis patients and healthy individuals. Materials and Methods: The project involved 34 patients diagnosed with pulmonary tuberculosis (TB) and a control group (CG: n = 35). The following were assessed: total cholesterol (CHOL), low-density lipoprotein (LDL), high-density lipoprotein (HDL), triglycerides (TG), and glucose. Atherogenic indices: Castelli risk index I (CRI-I), Castelli risk index II (CRI-II), atherogenic index of plasma (AIP) and atherogenic coefficient (AC) were calculated from lipid profile parameters using appropriate formulas. Results: A statistically significant difference was found between CG and TB in the parameters CHOL, LDL and HDL (p < 0.001). Based on the calculated atherogenic indices CRI-I and AIP, people diagnosed with TB can be classified into the high cardiovascular risk group. By fitting the ROC curve, atherogenic indices were shown to be effective predictors of cardiovascular risk in people with tuberculosis. Conclusions: Atherogenic indices are useful markers for detecting cardiovascular disease in patients with tuberculosis and may help identify cardiovascular risks that might otherwise be missed. Full article
Show Figures

Figure 1

13 pages, 822 KB  
Article
Coronary Artery Disease in Very Young Women: Risk Factors and Prognostic Insights from Extended Follow-Up
by Samuel Pintos-Rodríguez, Víctor Alfonso Jiménez Díaz, César Veiga, Carlos Martínez García, Francisco Caamaño Isorna, Andrés Íñiguez Romo and Pablo Juan-Salvadores
J. Cardiovasc. Dev. Dis. 2025, 12(2), 34; https://doi.org/10.3390/jcdd12020034 - 21 Jan 2025
Cited by 2 | Viewed by 2348
Abstract
Coronary artery disease (CAD) is usually associated with the elderly, but an increase in its incidence has been recently reported among young people, including very young women. The aim of this study is to assess the associations between different clinical variables and the [...] Read more.
Coronary artery disease (CAD) is usually associated with the elderly, but an increase in its incidence has been recently reported among young people, including very young women. The aim of this study is to assess the associations between different clinical variables and the risk of early CAD and occurrence of major adverse cardiovascular events (MACEs) during follow-up. Our cohort consists of women ≤40 years referred for coronary angiography due to suspicion of CAD; a nested case–control study was conducted among these patients. In total, 19,321 coronary angiographies were performed between 2006 and 2015, of which 2.6% were in patients ≤40 years old; 52 women were finally included. Family history of CAD was strongly associated with the early onset of the disease [OR 5.94, 95%CI (1.13–31.15); p = 0.035] in young women. The incidence of MACE was also associated with depression [HR 8.20 95%CI (1.03–65.17); p = 0.047] and Castelli Index [HR 11.49, 95%CI (1.40–94.51); p = 0.023]. Primary prevention focused on genetic analysis for high-risk women with a family history of CAD and secondary prevention, targeting a better cholesterol management and mental health assistance must be considered. Full article
(This article belongs to the Section Epidemiology, Lifestyle, and Cardiovascular Health)
Show Figures

Graphical abstract

26 pages, 2241 KB  
Article
Effects of Increasing Farmed Salmon Intake to the Recommended Fish-Intake Amounts on Lipid Profile in Young Women: An 8-Week Intervention Study
by Zofia Utri-Khodadady and Dominika Głąbska
Nutrients 2024, 16(23), 4051; https://doi.org/10.3390/nu16234051 - 26 Nov 2024
Cited by 1 | Viewed by 4925
Abstract
Background/Objectives: Habitual dietary changes that could help reduce the potential consequences of excessive body mass, such as hyperlipidemia and increased cardiovascular disease risk, are needed. The aim of this study is to assess the impact of a farmed-salmon-based dietary intervention on lipid profile [...] Read more.
Background/Objectives: Habitual dietary changes that could help reduce the potential consequences of excessive body mass, such as hyperlipidemia and increased cardiovascular disease risk, are needed. The aim of this study is to assess the impact of a farmed-salmon-based dietary intervention on lipid profile parameters in young women with excessive body mass. Methods: The 8-week intervention involved 38 pair-matched women aged 18–30 years with excessive body weight defined as BMI ≥ 25.0 kg/m2. Participants were randomly assigned to the intervention (200 g of smoked salmon weekly) or the control group. Lipid profile parameters (total cholesterol (TC), high-density lipoprotein (HDL), low-density lipoprotein (LDL), triglycerides (TAG)), as well as atherogenic indices (Atherogenic Index of Plasma (AIP), Atherogenic Coefficient (AC), Cholesterol Index (Cholindex), Castelli Risk Index 1 (CRI-1), Castelli Risk Index 2 (CRI-2) and the TAG/HDL ratio) were assessed before, during, and after the intervention. Results: At baseline, 47% of participants had at least one of the lipid profile parameters outside the recommended range. No statistically significant differences were observed in the TC, HDL, non-HDL, LDL, or TAG concentrations or in the various atherogenic indices between the intervention and the control group after the 8-week-long intervention. However, differences in the change of the LDL concentration were noted, with a decrease of 8.2 ± 20.7 mg/dL in the intervention group compared to an increase of 9.5 ± 20.0 mg/dL in the control group (p = 0.011), as well as in the change of the Cholindex for which a median decrease of 4.4 mg/dL was noted in the intervention group, while a median increase of 0.8 mg/dL in the control group was observed (p = 0.040). Additionally, across participants with a waist-to-height ratio (WHtR) greater than 0.5, an increase of 50.0 ± 68.3 mg/dL in the intervention group and a decrease of 8.6 ± 56.6 mg/dL in the control group was noted for the TAG concentration change (p = 0.040). Conclusions: Concerning the observed beneficial influence of increasing farmed salmon intake to the recommended fish-intake amounts on decreasing LDL and Cholindex in young women with excessive body weight after 8 weeks, it seems that such a diet alteration might be recommended for this group to decrease their risk of cardiovascular disease in the future. Nonetheless, regarding the diverse influence on TAG, further studies are needed to assess the influence of increasing the intake of fatty fish available on the market at present on human health. Full article
Show Figures

Graphical abstract

17 pages, 1517 KB  
Article
Effects of a Sorghum Beverage with Lacticaseibacillus paracasei on Body Composition, Lipid Profiles, and Intestinal Health in Overweight and Obese Adults: A Randomized Single-Blind Pilot Study
by Lucimar Aguiar da Silva, Vinícius Parzanini Brilhante de São José, Larissa Arruda Rodrigues, Pietra Vidal Cardoso do Prado, Renata Celi Lopes Toledo, Frederico Augusto Ribeiro de Barros, Andressa Moreira de Souza, Rosemar Antoniassi, Carlos Wanderlei Piler de Carvalho, Valéria Aparecida Vieira Queiroz, Karina Maria Olbrich dos Santos, Joseph Francis Pierre, Bárbara Pereira da Silva and Hércia Stampini Duarte Martino
Foods 2024, 13(19), 3128; https://doi.org/10.3390/foods13193128 - 30 Sep 2024
Cited by 4 | Viewed by 3068
Abstract
(1) Background: This study aimed to evaluate the effect of an extruded whole-grain sorghum beverage containing L. paracasei on body composition, lipid profiles, and intestinal health in overweight and obese adults. (2) Methods: A chronic, single-blind randomized controlled pilot study was conducted with [...] Read more.
(1) Background: This study aimed to evaluate the effect of an extruded whole-grain sorghum beverage containing L. paracasei on body composition, lipid profiles, and intestinal health in overweight and obese adults. (2) Methods: A chronic, single-blind randomized controlled pilot study was conducted with 30 volunteers allocated to three groups (n = 10/group): extruded sorghum beverage (ESB), extruded sorghum beverage with L. paracasei (ESPB), and control beverage (CB) (waxy maize starch). The chemical composition of the beverages was analyzed. Volunteers consumed the beverages for ten weeks at breakfast, along with individual dietary prescriptions. Body composition, biochemical markers, gastrointestinal symptoms, stool consistency, intestinal permeability, short-chain fatty acids, fecal pH, and stool L. paracasei DNA concentration were analyzed at the beginning and end of the intervention period. (3) Results: The ESB showed better composition than the CB, particularly in terms of resistant starch content, total phenolic compounds, condensed tannins, and antioxidant capacity. Both the ESB and the ESPB had an effect on body composition (estimated total visceral fat and waist volume), biochemical markers (Castelli index I), and intestinal health (Bristol scale, diarrhea score, valeric acid, and L. paracasei DNA concentration). No changes were observed in the CB group after the intervention. (4) Conclusions: Whole-grain sorghum beverages demonstrated good nutritional value, and consumption of these beverages, with or without L. paracasei, provided health benefits, including improvements in body composition, Castelli index I scores, and intestinal health, in overweight and obese adults. Full article
Show Figures

Graphical abstract

11 pages, 963 KB  
Article
Increased Cardiometabolic Risk in Dynapenic Obesity: Results from the Study of Workers’ Health (ESAT)
by Mariana de Oliveira Carvalho, Alice Pereira Duque, Grazielle Vilas Bôas Huguenin, Mauro Felippe Felix Mediano and Luiz Fernando Rodrigues Júnior
Life 2024, 14(9), 1174; https://doi.org/10.3390/life14091174 - 18 Sep 2024
Cited by 4 | Viewed by 1279 | Correction
Abstract
Background: The coexistence of obesity and low muscle strength—denoted dynapenic obesity (DO)—has been associated with an unhealthy metabolic profile and increased risk for metabolic syndrome. However, there is a lack on studies investigating if DO exhibits higher cardiometabolic risk than non-dynapenic obesity. Objectives: [...] Read more.
Background: The coexistence of obesity and low muscle strength—denoted dynapenic obesity (DO)—has been associated with an unhealthy metabolic profile and increased risk for metabolic syndrome. However, there is a lack on studies investigating if DO exhibits higher cardiometabolic risk than non-dynapenic obesity. Objectives: To assess if individuals with DO exhibit elevated cardiometabolic risk compared to non-dynapenic obesity. Methods: a cross-sectional study that analyzed the data of workers from a quaternary care hospital collected between November 2018 and March 2020. Participants were stratified into the following anthropometrical and peripheral muscle strength profiles: non-obese/non-dynapenic (NOND), non-obese/dynapenic (NOD), obese/non-dynapenic (OND), and obese dynapenic (OD). Cardiovascular risk was evaluated by Atherogenic Index (AI), Plasma Atherogenic Index (PAI), Hypertriglyceridemic Waist (HW), A Body Shape Index (ABSI), Atherogenic Dyslipidemia (AD), Castelli Indices I and II, and Framingham Score (FS). Results: the OD group had significantly lower HDL compared to all others (p = 0.009), and despite exhibited lower prevalence of HW compared to OND (p < 0.01), a higher cardiometabolic risk compared to OND profile was observed assessing AI (p = 0.05), Castelli I (p < 0.05) and Castelli II (p < 0.05) scores. Conclusions: in the studied population, individuals with DO exhibit elevated cardiometabolic risk compared to other anthropometrical and peripheral muscle strength profiles. Full article
(This article belongs to the Section Epidemiology)
Show Figures

Figure 1

14 pages, 652 KB  
Article
Sex Differences in Biochemical Analyses, Cardiometabolic Risk Factors and Their Correlation with CRP in Healthy Mexican Individuals
by Aniel Jessica Leticia Brambila-Tapia, Alejandra Soledad González-Gómez, Laura Arely Carrillo-Delgadillo, Ana Míriam Saldaña-Cruz and Ingrid Patricia Dávalos-Rodríguez
J. Pers. Med. 2024, 14(9), 904; https://doi.org/10.3390/jpm14090904 - 26 Aug 2024
Cited by 1 | Viewed by 1034
Abstract
Background: Few studies have been undertaken to detect the presence of cardiovascular risk factors (CRFs) in healthy populations (individuals auto-reported as healthy). These risk factors include high body mass index (BMI), high waist-to-hip ratio (WHR), high systolic and diastolic blood pressure (SBP, DBP), [...] Read more.
Background: Few studies have been undertaken to detect the presence of cardiovascular risk factors (CRFs) in healthy populations (individuals auto-reported as healthy). These risk factors include high body mass index (BMI), high waist-to-hip ratio (WHR), high systolic and diastolic blood pressure (SBP, DBP), high uric acid and high Castelli’s risk index (CRI); this last is the ratio of total cholesterol to HDL cholesterol (TC/HDL-c). In addition, the correlations between CRFs and the biomarker C-reactive protein (CRP) has not been explored in each sex. Aim: Therefore, this study aimed to determine sex differences in the abnormalities in blood and urine analyses, including CRFs and their correlation with CPR in a non-representative sample of healthy Mexican individuals. Results: A total of 238 subjects were included, 123 (51.7%) of whom were women. The main blood alterations detected were high serum lipids, including high total cholesterol, LDL-cholesterol, triglycerides, and the CRI, which were higher in men than in women. The men’s samples had a higher frequency of hypertensives and pre-hypertensives than the women’s sample. The CRP showed positive significant correlations with the CRFs: BMI, WHR, SBP, DBP, uric acid, and the CRI, with a higher correlation for BMI and WHR, and most of these correlations were higher in women than in men. Additionally, all these factors showed a positive correlation among them. Conclusion: In conclusion, the main alterations observed in blood are related to cardiovascular risk and were reported with a higher frequency in men when compared with women. This finding can be related to the higher values of WHR in this sex; additionally, the inflammatory marker CRP was more correlated with the cardiometabolic risk factors in women than in men, which suggests a different relationship between inflammation and cardiometabolic risk factors in each sex. Full article
(This article belongs to the Section Sex, Gender and Hormone Based Medicine)
Show Figures

Figure 1

Back to TopTop