Effects of Empagliflozin and Dapagliflozin on Lipid Profiles and Atherogenic Risk Indices in Patients with Heart Failure and a History of CABG: First Evidence in the Literature
Abstract
1. Introduction
2. Materials and Methods
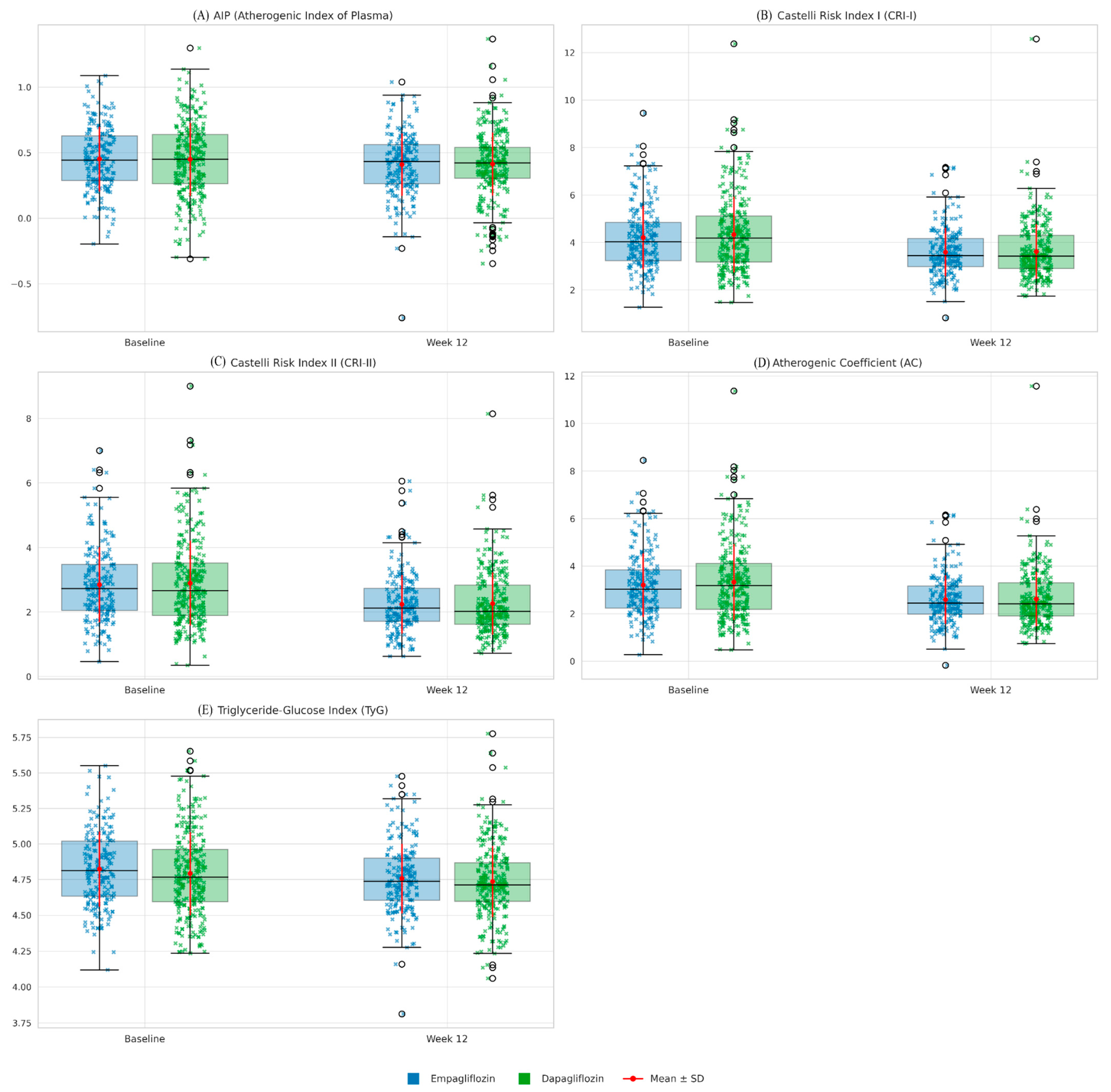
- AIP: log10(TG/HDL-C); low risk < 0.11, intermediate risk 0.11–0.21, high risk ≥ 0.21.
- CRI-I: TC/HDL-C; low risk < 3.5.
- CRI-II: LDL-C/HDL-C; low risk < 3.0.
- AC: (TC–HDL-C)/HDL-C or non-HDL-C/HDL-C; low risk < 3.0.
- TyG index: ln(TG × fasting glucose/2); low risk < 4.5.
Statistical Analysis
3. Results
3.1. Patient Characteristics
3.2. Biochemical Parameters and Atherogenic Risk Indices
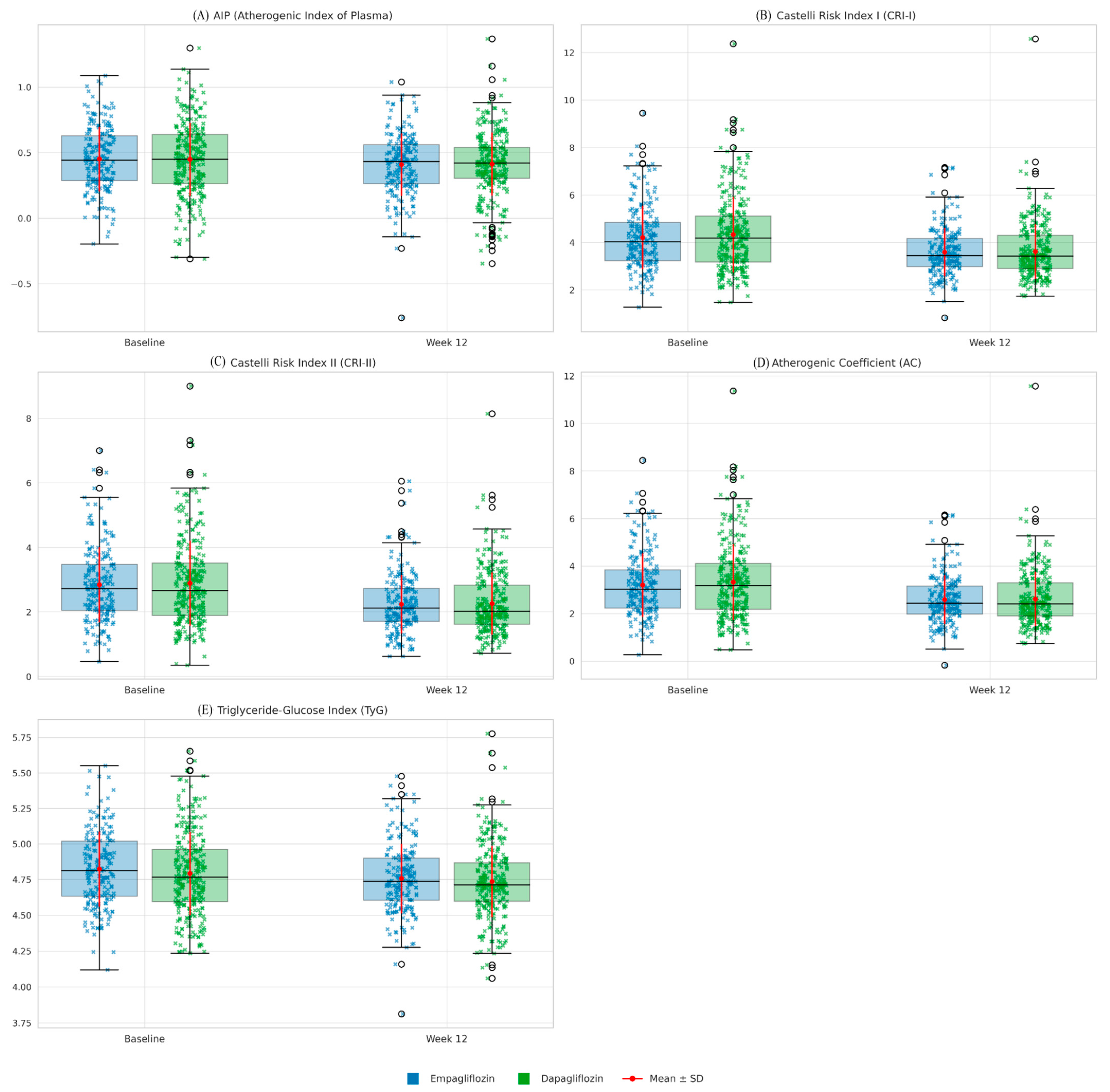
3.3. Changes in Lipid Parameters and Atherogenic Indices (12th Week)
3.4. Changes in Lipid Risk Categories
- TC: In the empagliflozin group, the proportion of patients with TC below 200 mg/dL increased from 58.7% to 77.6% (p < 0.001). Those with levels between 200 and 239 mg/dL decreased from 24.4% to 14.9% (p = 0.008), and those with levels above 240 mg/dL decreased from 16.9% to 7.5% (p < 0.01). In the dapagliflozin group, the proportion of patients with TC < 200 mg/dL increased from 63.3% to 85.5%, while those with 200–239 mg/dL declined from 23% to 8.5% and those with ≥240 mg/dL from 13.8% to 6% (all p < 0.001).
- LDL-C: In the empagliflozin group, the proportion of patients with LDL-C < 100 mg/dL increased from 25.9% to 45.8% (p < 0.001); the proportion with 130–159 mg/dL decreased from 21.9% to 12.9% (p = 0.013); and the proportion with ≥160 mg/dL decreased from 24.4% to 7% (p < 0.001). In the dapagliflozin group, the proportion of patients with LDL-C < 100 mg/dL increased from 35% to 61.5% (p < 0.001), while the proportion with 130–159 mg/dL decreased from 16.6% to 10.6% (p = 0.027) and the proportion with ≥160 mg/dL decreased from 22.6% to 7.4% (p < 0.001).
- HDL-C: In the empagliflozin group, HDL-C distribution did not change significantly: patients with >60 mg/dL remained at 20.4%; those with 40–59 mg/dL rose from 51.2% to 55.2%; and those with <40 mg/dL fell from 28.4% to 24.4% (all p > 0.05). In the dapagliflozin group, the proportion of patients with HDL-C < 40 mg/dL decreased from 37.1% to 28.3% (p < 0.001), while the proportion with 40–59 mg/dL increased from 45.9% to 54.8% (p = 0.004). The proportion with >60 mg/dL remained unchanged at 17% (p = 1.000).
- TG: In the empagliflozin group, the proportion of patients with TG < 150 mg/dL increased from 63.7% to 71.1%, while those with 150–499 mg/dL decreased from 36.3% to 28.9% (p = 0.029). In the dapagliflozin group, the proportion of patients with TG < 150 mg/dL increased from 66.4% to 73.5%, while the proportion with 150–499 mg/dL decreased from 33.6% to 26.5% (p = 0.009). No patients in either group had TG > 500 mg/dL.
3.5. Changes in Risk Categories of Atherogenic Indices
- AIP: Considering the low (below 0.11), intermediate (between 0.11 and 0.21), and high (above 0.21) risk categories, the proportion of patients in the empagliflozin group who remained in the high-risk category decreased only from 85.1% to 82.6%, which was not statistically significant (p = 0.369). The proportion in the low-risk category increased from 7.5% to 10% (p = 0.197), while the proportion in the intermediate-risk category remained at 7.5%. In the dapagliflozin group, the proportion in the intermediate-risk category decreased significantly from 8.8% to 4.2% (p = 0.005), while there was a borderline, non-significant increase in the high-risk category (from 80.9% to 84.5%, p = 0.059), and a slight, non-significant increase in the low-risk category (from 10.2% to 11.3%, p = 0.532).
- CRI-I: In the empagliflozin group, patients in the low (<3.5) risk category increased from 31.3% to 53.2% and those in the high (>3.5) risk category decreased from 68.7% to 46.8% (both p < 0.001). In the dapagliflozin group, the proportion of patients in the low-risk category increased from 35.3% to 57.2%, while the proportion in the high-risk category decreased from 64.7% to 42.8% (both p < 0.001).
- CRI-II: A significant shift occurred in both the empagliflozin and dapagliflozin groups from the high (>3.0) risk category to the low (<3.0) category. In the empagliflozin group specifically, the proportion of low-risk patients increased from 61.7% to 82.6%, while the proportion of high-risk patients decreased from 38.3% to 17.4% (p < 0.001). In the dapagliflozin group, the proportion of low-risk patients increased from 58% to 78.4%, while the proportion of high-risk patients decreased from 42% to 21.6% (p < 0.001).
- AC: In the empagliflozin group, the proportion of patients in the low (<3.0) risk category increased from 49.3% to 70.6%, while the proportion in the high (>3.0) risk category decreased from 50.7% to 29.4% (p < 0.001). In the dapagliflozin group, low-risk patients increased from 47% to 71.7% and high-risk patients decreased from 53% to 28.3% (p < 0.001).
- TyG index: No statistically significant changes were observed in either group (p > 0.05). In the empagliflozin group, the proportion of patients in the low (<4.5) risk category decreased from 10% to 9.5%, while the proportion in the high (>4.5) risk category increased from 90% to 90.5% (p = 0.847). In the dapagliflozin group, the proportion in the low-risk category decreased from 16.6% to 14.1%, while the proportion in the high-risk category increased from 83.4% to 85.9% (p = 0.250).
4. Discussion
5. Conclusions
Author Contributions
Funding
Institutional Review Board Statement
Informed Consent Statement
Data Availability Statement
Acknowledgments
Conflicts of Interest
References
- Hsia, D.S.; Grove, O.; Cefalu, W.T. An update on sodium-glucose co-transporter-2 inhibitors for the treatment of diabetes mellitus. Curr. Opin. Endocrinol. Diabetes Obes. 2017, 24, 73–79. [Google Scholar] [CrossRef]
- Wilding, J.; Fernando, K.; Milne, N.; Evans, M.; Ali, A.; Bain, S.; Hicks, D.; James, J.; Newland-Jones, P.; Patel, D.; et al. SGLT2 inhibitors in type 2 diabetes management: Key evidence and implications for clinical practice. Diabetes Ther. 2018, 9, 1757–1773. [Google Scholar] [CrossRef]
- Fonseca-Correa, J.I.; Correa-Rotter, R. Sodium-Glucose Cotransporter 2 Inhibitors Mechanisms of Action: A Review. Front. Med. 2021, 8, 777861. [Google Scholar] [CrossRef]
- Scheen, A.J. Pharmacodynamics, efficacy and safety of sodium-glucose co-transporter type 2 (SGLT2) inhibitors for the treatment of type 2 diabetes mellitus. Drugs 2015, 75, 33–59. [Google Scholar] [CrossRef] [PubMed]
- Vaduganathan, M.; Docherty, K.F.; Claggett, B.L.; Jhund, P.S.; A de Boer, R.; Hernandez, A.F.; E Inzucchi, S.; Kosiborod, M.N.; Lam, C.S.P.; Martinez, F.; et al. SGLT2 inhibitors in patients with heart failure: A comprehensive meta-analysis of five randomised controlled trials. Lancet 2022, 400, 757–767. [Google Scholar] [CrossRef] [PubMed]
- Zinman, B.; E Inzucchi, S.; Lachin, J.M.; Wanner, C.; Ferrari, R.; Fitchett, D.; Bluhmki, E.; Hantel, S.; Kempthorne-Rawson, J.; Newman, J.; et al. Rationale, design, and baseline characteristics of a randomized, placebo-controlled cardiovascular outcome trial of empagliflozin (EMPA-REG OUTCOME). Cardiovasc. Diabetol. 2014, 13, 102. [Google Scholar] [CrossRef] [PubMed]
- Wiviott, S.D.; Raz, I.; Bonaca, M.P.; Mosenzon, O.; Kato, E.T.; Cahn, A.; Silverman, M.G.; Zelniker, T.A.; Kuder, J.F.; Murphy, S.A.; et al. Dapagliflozin and cardiovascular outcomes in type 2 diabetes. N. Engl. J. Med. 2019, 380, 347–357. [Google Scholar] [CrossRef]
- Zinman, B.; Wanner, C.; Lachin, J.M.; Fitchett, D.; Bluhmki, E.; Hantel, S.; Mattheus, M.; Devins, T.; Johansen, O.E.; Woerle, H.J.; et al. Empagliflozin, cardiovascular outcomes, and mortality in type 2 diabetes. N. Engl. J. Med. 2015, 373, 2117–2128. [Google Scholar] [CrossRef]
- Anker, S.D.; Butler, J.; Filippatos, G.; Ferreira, J.P.; Bocchi, E.; Böhm, M.; Brunner-La Rocca, H.-P.; Choi, D.-J.; Chopra, V.; Chuquiure-Valenzuela, E.; et al. Empagliflozin in heart failure with a preserved ejection fraction. N. Engl. J. Med. 2021, 385, 1451–1461. [Google Scholar] [CrossRef]
- Patti, A.M.; Giglio, R.V.; Papanas, N.; Rizzo, M.; Rizvi, A.A. Future perspectives of the pharmacological management of diabetic dyslipidemia. Expert Rev. Clin. Pharmacol. 2019, 12, 129–143. [Google Scholar] [CrossRef]
- Yaribeygi, H.; Maleki, M.; Reiner, Ž.; Jamialahmadi, T.; Sahebkar, A. Mechanistic view on the effects of SGLT2 inhibitors on lipid metabolism in diabetic milieu. J. Clin. Med. 2022, 11, 6544. [Google Scholar] [CrossRef] [PubMed]
- Filippas-Ntekouan, S.; Tsimihodimos, V.; Filippatos, T.; Dimitriou, T.; Elisaf, M. SGLT2 inhibitors: Pharmacokinetics characteristics and effects on lipids. Expert Opin. Drug Metab. Toxicol. 2018, 14, 1113–1121. [Google Scholar] [CrossRef] [PubMed]
- Li, C.; Zhang, J.; Xue, M.; Li, X.; Han, F.; Liu, X.; Xu, L.; Lu, Y.; Cheng, Y.; Li, T.; et al. SGLT2 inhibition with empagliflozin attenuates myocardial oxidative stress and fibrosis in diabetic mice heart. Cardiovasc. Diabetol. 2019, 18, 15. [Google Scholar] [CrossRef]
- Briand, F.; Mayoux, E.; Brousseau, E.; Burr, N.; Urbain, I.; Costard, C.; Mark, M.; Sulpice, T. Empagliflozin, via switching metabolism toward lipid utilization, moderately increases LDL cholesterol levels through reduced LDL catabolism. Diabetes 2016, 65, 2032–2038. [Google Scholar] [CrossRef] [PubMed]
- Lauritsen, K.M.; Voigt, J.H.; Pedersen, S.B.; Hansen, T.K.; Møller, N.; Jessen, N.; Gormsen, L.C.; Søndergaard, E. Effects of SGLT2 inhibition on lipid transport in adipose tissue in type 2 diabetes. Endocr. Connect. 2022, 11, e210558. [Google Scholar] [CrossRef]
- Jojima, T.; Tomotsune, T.; Iijima, T.; Akimoto, K.; Suzuki, K.; Aso, Y. Empagliflozin (an SGLT2 inhibitor), alone or in combination with linagliptin (a DPP-4 inhibitor), prevents steatohepatitis in a novel mouse model of non-alcoholic steatohepatitis and diabetes. Diabetol. Metabol. Syndr. 2016, 8, 45. [Google Scholar] [CrossRef]
- Hawley, S.A.; Ford, R.J.; Smith, B.K.; Gowans, G.J.; Mancini, S.J.; Pitt, R.D.; Day, E.A.; Salt, I.P.; Steinberg, G.R.; Hardie, D.G. The Na+/glucose cotransporter inhibitor canagliflozin activates AMPK by inhibiting mitochondrial function and increasing cellular AMP levels. Diabetes 2016, 65, 2784–2794. [Google Scholar] [CrossRef]
- Ptaszynska, A.; Hardy, E.; Johnsson, E.; Parikh, S.; List, J. Effects of dapagliflozin on cardiovascular risk factors. Postgrad. Med. 2013, 125, 181–189. [Google Scholar] [CrossRef]
- Rodríguez-Gutiérrez, R.; Gonzalez-Saldivar, G. Canagliflozin. Clevel. Clin. J. Med. 2014, 81, 87–88. [Google Scholar] [CrossRef]
- Shiffman, D.; Louie, J.Z.; Caulfield, M.P.; Nilsson, P.M.; Devlin, J.J.; Melander, O. LDL Subfractions Are Associated with Incident Cardiovascular Disease in the Malmö Prevention Project Study. Atherosclerosis 2017, 263, 287–292. [Google Scholar] [CrossRef]
- Ding, M.; Rexrode, K.M. A review of lipidomics of cardiovascular disease highlights the importance of isolating lipoproteins. Metabolites 2020, 10, 163. [Google Scholar] [CrossRef]
- Mannangi, N.B. Novel Lipid Indices in Chronic Kidney Disease. Natl. J. Med. Res. 2015, 5, 39–42. [Google Scholar]
- Bendzala, M.; Sabaka, P.; Caprnda, M.; Komornikova, A.; Bisahova, M.; Baneszova, R.; Petrovic, D.; Prosecky, R.; Rodrigo, L.; Kruzliak, P.; et al. Atherogenic index of plasma is positively associated with the risk of all-cause death in elderly women: A 10-year follow-up. Wien. Klin. Wochenschr. 2017, 129, 793–798. [Google Scholar] [CrossRef] [PubMed]
- Assempoor, R.; Daneshvar, M.S.; Taghvaei, A.; Abroy, A.S.; Azimi, A.; Nelson, J.R.; Hosseini, K. Atherogenic index of plasma and coronary artery disease: A systematic review and meta-analysis. Cardiovasc. Diabetol. 2025, 24, 35. [Google Scholar] [CrossRef] [PubMed]
- Dobiášová, M.; Frohlich, J.; Šedová, M.; Cheung, M.C.; Brown, B.G. Cholesterol Esterification and Atherogenic Index of Plasma Correlate with Lipoprotein Size and Findings on Coronary Angiography. J. Lipid Res. 2011, 52, 566–571. [Google Scholar] [CrossRef]
- Niroumand, S.; Khajedaluee, M.; Khadem-Rezaiyan, M.; Abrishami, M.; Juya, M.; Khodaee, G.; Dadgarmoghaddam, M. Atherogenic index of plasma (AIP): A marker of cardiovascular disease. Med. J. Islam. Repub. Iran 2015, 29, 240. [Google Scholar]
- Nair, D.; Carrigan, T.P.; Curtin, R.J.; Popovic, Z.B.; Kuzmiak, S.; Schoenhagen, P.; Flamm, S.D.; Desai, M.Y. Association of total cholesterol/high-density lipoprotein cholesterol ratio with proximal coronary atherosclerosis detected by multislice computed tomography. Prev. Cardiol. 2009, 12, 19–26. [Google Scholar] [CrossRef]
- Millán, J.; Pintó, X.; Muñoz, A.; Zúñiga, M.; Rubiés-Prat, J.; Pallardo, L.F.; Masana, L.; Mangas, A.; Hernández-Mijares, A.; González-Santos, P.; et al. Lipoprotein ratios: Physiological significance and clinical usefulness in cardiovascular prevention. Vasc. Health Risk Manag. 2009, 5, 757–765. [Google Scholar]
- Akpinar, O.; Bozkurt, A.; Acarturk, E.; Seydaoglu, G. A new index (CHOLINDEX) in detecting coronary artery disease risk. Anadolu Kardiyol. Derg. 2013, 13, 315–319. [Google Scholar] [CrossRef] [PubMed]
- Emerging Risk Factors Collaboration; Di Angelantonio, E.; Sarwar, N.; Perry, P.; Kaptoge, S.; Ray, K.K.; Thompson, A.; Wood, A.M.; Lewington, S.; Sattar, N.; et al. Emerging Risk Factors Collaboration. Major lipids, apolipoproteins, and risk of vascular disease. JAMA 2009, 302, 1993–2000. [Google Scholar] [CrossRef]
- Simental-Mendía, L.E.; Rodríguez-Morán, M.; Guerrero-Romero, F. The Product of Fasting Glucose and Triglycerides as Surrogate for Identifying Insulin Resistance in Apparently Healthy Subjects. Metab. Syndr. Relat. Disord. 2008, 6, 299–304. [Google Scholar] [CrossRef]
- Unger, G.; Benozzi, S.F.; Perruzza, F.; Pennacchiotti, G.L. Triglycerides and glucose index: A useful indicator of insulin resistance. Endocrinol. Nutr. 2014, 61, 533–540. [Google Scholar] [CrossRef]
- Salazar, J.; Bermúdez, V.; Calvo, M.; Olivar, L.C.; Luzardo, E.; Navarro, C.; Mencia, H.; Martínez, M.; Rivas-Ríos, J.; Wilches-Durán, S.; et al. Optimal cutoff for the evaluation of insulin resistance through triglyceride-glucose index: A cross-sectional study in a Venezuelan population. F1000Research 2017, 6, 1337. [Google Scholar] [CrossRef] [PubMed]
- Won, K.-B.; Park, E.J.; Han, D.; Lee, J.H.; Choi, S.-Y.; Chun, E.J.; Park, S.H.; Han, H.-W.; Sung, J.; Jung, H.O.; et al. Triglyceride glucose index is an independent predictor for the progression of coronary artery calcification in the absence of heavy coronary artery calcification at baseline. Cardiovasc. Diabetol. 2020, 19, 34. [Google Scholar] [CrossRef]
- Calapkulu, M.; Cander, S.; Gul, O.O.; Ersoy, C. Lipid profile in type 2 diabetic patients with new dapagliflozin treatment; actual clinical experience data of six months retrospective lipid profile from single center. Diabetes Metab. Syndr. 2019, 13, 1031–1034. [Google Scholar] [CrossRef]
- Bays, H.E.; Sartipy, P.; Xu, J.; Sjöström, C.D.; Underberg, J.A. Dapagliflozin in patients with type 2 diabetes mellitus, with and without elevated triglyceride and reduced HDL cholesterol levels. J. Clin. Lipidol. 2017, 11, 450–458.e1. [Google Scholar] [CrossRef]
- Bechmann, L.E.; Emanuelsson, F.; Nordestgaard, B.G.; Benn, M. SGLT2-Inhibition Increases Total, LDL, and HDL Cholesterol and Lowers Triglycerides: Meta-Analyses of 60 Randomized Trials, Overall and by Dose, Ethnicity, and Drug Type. Atherosclerosis 2024, 394, 117236. [Google Scholar] [CrossRef] [PubMed]
- Matthaei, S.; Bowering, K.; Rohwedder, K.; Grohl, A.; Parikh, S. Dapagliflozin Improves Glycemic Control and Reduces Body Weight as Add-On Therapy to Metformin Plus Sulfonylurea: A 24-Week Randomized, Double-Blind Clinical Trial. Diabetes Care 2015, 38, 365–372. [Google Scholar] [CrossRef] [PubMed]
- Cha, S.-A.; Park, Y.-M.; Yun, J.-S.; Lim, T.-S.; Song, K.-H.; Yoo, K.-D.; Ahn, Y.-B.; Ko, S.-H. A comparison of effects of DPP-4 inhibitor and SGLT2 inhibitor on lipid profile in patients with type 2 diabetes. Lipids Health Dis. 2017, 16, 58. [Google Scholar] [CrossRef]
- Hayashi, T.; Fukui, T.; Nakanishi, N.; Yamamoto, S.; Tomoyasu, M.; Osamura, A.; Ohara, M.; Yamamoto, T.; Ito, Y.; Hirano, T. Dapagliflozin decreases small dense low-density lipoprotein-cholesterol and increases high-density lipoprotein 2-cholesterol in patients with type 2 diabetes: Comparison with sitagliptin. Cardiovasc. Diabetol. 2017, 16, 8. [Google Scholar] [CrossRef]
- Liakos, A.; Karagiannis, T.; Athanasiadou, E.; Sarigianni, M.; Mainou, M.; Papatheodorou, K.; Bekiari, E.; Tsapas, A. Efficacy and safety of empagliflozin for type 2 diabetes: A systematic review and meta-analysis. Diabetes Obes. Metab. 2014, 16, 984–993. [Google Scholar] [CrossRef]
- Tikkanen, I.; Narko, K.; Zeller, C.; Green, A.; Salsali, A.; Broedl, U.C.; Woerle, H.J. Empagliflozin reduces blood pressure in patients with type 2 diabetes and hypertension. Diabetes Care 2015, 38, 420–428. [Google Scholar] [CrossRef]
- Bai, S.; Chen, T.; Li, Y.; Li, X.; Du, R. Comparison of prognostic value of triglyceride-glucose index and atherogenic index of plasma in patients with acute coronary syndrome: A retrospective study. JRSM Cardiovasc. Dis. 2025, 14, 20480040251341155. [Google Scholar] [CrossRef] [PubMed]
- Bai, S.; Chen, T.; Li, Y.; Li, X.; Du, R. Atherogenic index of plasma and triglyceride-glucose index mediate the association between stroke and all-cause mortality: Insights from the lipid paradox. Lipids Health Dis. 2025, 24, 173. [Google Scholar] [CrossRef]
- Wu, X.; Qiu, W.; Yang, H.; Chen, Y.-J.; Liu, J.; Zhao, G. Associations of the triglyceride–glucose index and atherogenic index of plasma with the severity of new-onset coronary artery disease in different glucose metabolic states. Cardiovasc. Diabetol. 2024, 23, 76. [Google Scholar] [CrossRef] [PubMed]
- Mariani, M.V.; Lavalle, C.; Palombi, M.; Pierucci, N.; Trivigno, S.; D’AMato, A.; Filomena, D.; Cipollone, P.; Laviola, D.; Piro, A.; et al. SGLT2i reduce arrhythmic events in heart failure patients with cardiac implantable electronic devices. ESC Heart Fail. 2025, 12, 2125–2133. [Google Scholar] [CrossRef]
- McMurray, J.J.V.; Solomon, S.D.; Inzucchi, S.E.; Køber, L.; Kosiborod, M.N.; Martinez, F.A.; Ponikowski, P.; Sabatine, M.S.; Anand, I.S.; Bělohlávek, J.; et al. Dapagliflozin in patients with heart failure and reduced ejection fraction (DAPA-HF). N. Engl. J. Med. 2019, 381, 1995–2008. [Google Scholar] [CrossRef] [PubMed]
- Solomon, S.D.; McMurray, J.J.; Claggett, B.; de Boer, R.A.; DeMets, D.; Hernandez, A.F.; Inzucchi, S.E.; Kosiborod, M.N.; Lam, C.S.; Martinez, F.; et al. Dapagliflozin in Heart Failure with Mildly Reduced or Preserved Ejection Fraction. N. Engl. J. Med. 2022, 387, 1089–1098. [Google Scholar] [CrossRef]



| Variables | Empagliflozin (n = 201) | Dapagliflozin (n = 283) | Total (n = 484) | p Value | 95% CI Phi Value |
|---|---|---|---|---|---|
| Age, years | 61.41 ± 10.58 | 63.08 ± 11.24 | 62.97 ± 11.04 | 0.151 | −0.31–3.66 |
| ≥60 years, n (%) | 117 (58.2) | 168 (59.4) | 285 (59.0) | 0.799 | 0.001 |
| Sex, n (%) | |||||
| Male | 120 (59.7) | 186 (65.7) | 306 (63.2) | 0.176 | 0.062 |
| Female | 81 (40.3) | 97 (34.3) | 178 (36.8) | ||
| Comorbidities, n (%) | |||||
| Hypertension (HT) | 133 (66.2) | 178 (62.9) | 311 (64.3) | 0.459 | 0.034 |
| Diabetes mellitus (DM) | 125 (62.2) | 181 (64.0) | 306 (63.2) | 0.691 | −0.018 |
| Hyperlipidemia (HL) | 122 (60.7) | 244 (86.4) | 366 (84.5) | 0.216 | −0.056 |
| Smoking | 54 (26.9) | 55 (19.4) | 89 (19.0) | 0.481 | −0.032 |
| Atrial fibrillation (AF) | 41 (20.4) | 71 (25.1) | 112 (23.1) | 0.228 | −0.055 |
| Medications, n (%) | |||||
| Beta-blocker | 162 (80.6) | 217 (76.7) | 379 (78.3) | 0.303 | −0.050 |
| Aldactone (MRA) | 80 (39.8) | 110 (38.7) | 190 (39.3) | 0.812 | −0.011 |
| Furosemide | 127 (63.2) | 187 (65.8) | 314 (64.9) | 0.546 | 0.027 |
| Torasemide | 46 (22.9) | 66 (23.2) | 112 (23.2) | 0.927 | 0.004 |
| Calcium channel blocker | 45 (22.4) | 68 (23.9) | 113 (23.3) | 0.690 | 0.018 |
| ACE-i/ARB | 165 (82.1) | 231 (81.3) | 396 (81.9) | 0.833 | −0.010 |
| Acetylsalicylic acid | 201 (100) | 283 (100) | 484 (100) | 1.000 | - |
| Statin therapy | 0.409 | −0.38 | |||
| High dose statin therapy | 161 (80.1) | 235 (83) | 396 (81.8) | ||
| Moderate dose statin therapy | 40 (19.9) | 48 (17) | 88 (18.2) | ||
| Laboratory data | |||||
| Fasting plasma glucose (mg/dL) | 122.23 ± 44.04 | 122.68 ± 44.28 | 122.49 ± 44.13 | 0.776 | −7.55–8.46 |
| HbA1c, % | 6.64 ± 1.37 | 6.65 ± 1.29 | 6.65 ± 1.32 | 0.656 | −0.23–0.25 |
| BUN (mg/dL) | 17.25 ± 6.95 | 18.72 ± 8.29 | 18.11 ± 7.78 | 0.030 | 0.09–2.84 |
| Creatinine (mg/dL) | 0.89 ± 0.22 | 0.97 ± 0.22 | 0.94 ± 0.23 | 0.001 | 0.04–0.12 |
| Uric acid (mg/dL) | 5.72 ± 1.55 | 6.35 ± 1.79 | 6.10 ± 1.71 | 0.001 | 0.26–0.94 |
| Lipids | |||||
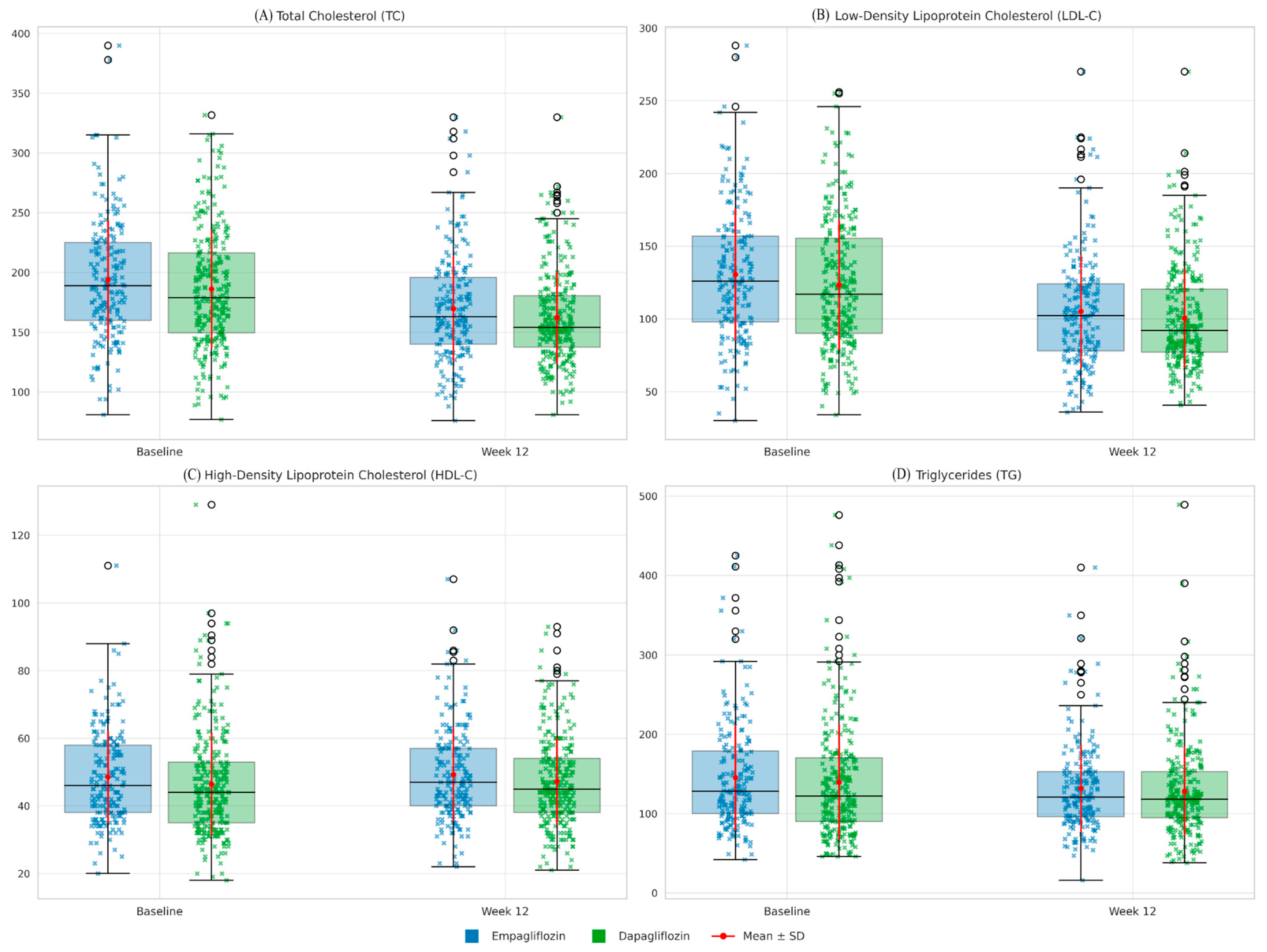
| Total cholesterol (TC), mg/dL | 193.81 ± 50.25 | 186.19 ± 49.59 | 189.35 ± 49.95 | 0.087 | −16.65–1.41 |
| LDL-C, mg/dL | 130.59 ± 45.61 | 123.27 ± 44.48 | 126.31 ± 45.05 | 0.061 | −15.46–0.82 |
| HDL-C, mg/dL | 48.57 ± 13.56 | 46.38 ± 15.42 | 47.29 ± 14.70 | 0.018 | −4.84–0.47 |
| Triglycerides (TG), mg/dL | 145.31 ± 66.51 | 139.53 ± 72.86 | 141.93 ± 70.28 | 0.127 | 18.51–6.96 |
| AIP | 0.45 ± 0.25 | 0.45 ± 0.28 | 0.45 ± 0.27 | 0.897 | −0.05–0.45 |
| CRI-I | 4.21 ± 1.33 | 4.33 ± 1.59 | 4.28 ± 1.49 | 0.690 | −0.13–0.38 |
| CRI-II | 2.85 ± 1.16 | 2.90 ± 1.32 | 2.88 ± 1.09 | 0.948 | −0.17–0.27 |
| AC | 3.21 ± 1.33 | 3.33 ± 1.59 | 3.28 ± 1.49 | 0.690 | −0.13–0.38 |
| TyG index | 4.82 ± 0.26 | 4.79 ± 0.29 | 4.80 ± 0.28 | 0.223 | −0.08–0.02 |
| Variables | Empagliflozin (n = 201) | Dapagliflozin (n = 283) | p Value (Between Groups) | 95% CI |
|---|---|---|---|---|
| TC, mg/dL | ||||
| Week 0 (Baseline) | 193.81 ± 50.25 | 186.19 ± 49.59 | 0.087 | −16.65–1.41 |
| Week 12 | 169.66 ± 44.55 | 162.31 ± 38.31 | 0.044 | −14.78–0.08 |
| p (within-group) | <0.001 | <0.001 | ||
| 95% CI | 17.37–30.92 | 18.41–29.33 | ||
| LDL-C, mg/dL | ||||
| Week 0 (Baseline) | 130.59 ± 45.61 | 123.27 ± 44.48 | 0.061 | −15.46–0.82 |
| Week 12 | 105.15 ± 38.74 | 100.38 ± 34.20 | 0.132 | −11.31–1.78 |
| p (within-group) | <0.001 | <0.001 | ||
| 95% CI | 19.00–31.87 | 17.48–28.29 | ||
| HDL-C, mg/dL | ||||
| Week 0 (Baseline) | 48.57 ± 13.56 | 46.38 ± 15.42 | 0.018 | −4.84–0.47 |
| Week 12 | 49.28 ± 13.84 | 47.25 ± 12.97 | 0.150 | −4.45–0.38 |
| p (within-group) | >0.05 | >0.05 | ||
| 95% CI | −1.81–0.39 | −2.23–0.51 | ||
| TG, mg/dL | ||||
| Week 0 (Baseline) | 145.31 ± 66.51 | 139.53 ± 72.86 | 0.127 | 18.51–6.96 |
| Week 12 | 131.90 ± 54.94 | 128.34 ± 56.43 | 0.392 | −6.33–8.48 |
| p (within-group) | >0.05 | >0.05 | ||
| 95% CI | 4.18–22.64 | 5.05–17.34 | ||
| AIP | ||||
| Week 0 (Baseline) | 0.45 ± 0.25 | 0.45 ± 0.28 | 0.150 | −0.05–0.45 |
| Week 12 | 0.41 ± 0.24 | 0.41 ± 0.24 | 0.987 | −0.04–0.05 |
| p (within-group) | >0.05 | >0.05 | ||
| 95% CI | 0.01–0.07 | 0.01–0.06 | ||
| CRI-I | ||||
| Week 0 (Baseline) | 4.21 ± 1.33 | 4.33 ± 1.59 | 0.690 | −0.13–0.38 |
| Week 12 | 3.60 ± 1.01 | 3.62 ± 1.14 | 0.712 | −0.17–0.22 |
| p (within-group) | <0.001 | <0.001 | ||
| 95% CI | 0.44–0.77 | 0.55–0.87 | ||
| CRI-II | ||||
| Week 0 (Baseline) | 2.85 ± 1.16 | 2.90 ± 1.32 | 0.948 | −0.17–0.27 |
| Week 12 | 2.24 ± 0.90 | 2.27 ± 0.96 | 0.826 | −0.14–0.18 |
| p (within-group) | <0.001 | <0.001 | ||
| 95% CI | 0.45–0.75 | 0.48–0.77 | ||
| AC | ||||
| Week 0 (Baseline) | 3.21 ± 1.33 | 3.33 ± 1.59 | 0.690 | −0.13–0.38 |
| Week 12 | 2.60 ± 1.01 | 2.62 ± 1.14 | 0.712 | −0.17–0.22 |
| p (within-group) | <0.001 | <0.001 | ||
| 95% CI | 0.44–0.77 | 0.54–0.87 | ||
| TyG index | ||||
| Week 0 (Baseline) | 4.82 ± 0.26 | 4.79 ± 0.29 | 0.241 | −0.08–0.02 |
| Week 12 | 4.76 ± 0.24 | 4.74 ± 0.25 | 0.335 | −0.06–0.02 |
| p (within-group) | <0.001 | <0.001 | ||
| 95% CI | 0.03–0.10 | 0.03–0.08 | ||
| Fasting plasma glucose, mg/dL | ||||
| Week 0 (Baseline) | 122.23 ± 44.04 | 122.68 ± 44.28 | 0.776 | −7.55–8.46 |
| Week 12 | 114.65 ± 34.13 | 112.83 ± 28.78 | 0.480 | −7.46–3.81 |
| p (within-group) | 0.004 | <0.001 | ||
| 95% CI | 2.47–12.68 | 5.73–13.96 | ||
| Variables | Change from Baseline (%) in Lipid Parameters (mg/dL) and Atherogenic Indices | p Value | |
|---|---|---|---|
| Empagliflozin (n = 201) | Dapagliflozin (n = 283) | ||
| TC, mg/dL | −9.40 ± 23.99 (95% CI, −12.74 to −6.06) | −9.25 ± 22.00 (95% CI, −11.82 to −6.67) | 0.358 |
| LDL-C, mg/dL | −13.57 ± 33.54 (95% CI, −18.23 to −8.91) | −11.08 ± 34.03 (95% CI, −15.07 to −7.09) | 0.163 |
| HDL-C, mg/dL | 2.84 ± 19.24 (95% CI, 0.16 to 5.52) | 6.06 ± 26.83 (95% CI, 2.92 to 9.20) | 0.401 |
| TG, mg/dL | 0.17 ± 44.16 (95% CI, −5.97 to 6.31) | 1.24 ± 38.40 (95% CI, −3.25 to 5.74) | 0.307 |
| AIP | 20.79 ± 360.64 (95% CI, −29.37 to 70.95) −4.66 [−28.00–17.60] * | 26.67 ± 237.29 (95% CI, −1.10 to 54.43) −4.73 [−27.35–18.43] * | 0.750 |
| CRI-I | −9.90 ± 26.35 (95% CI, −13.57 to −6.24) | −10.70 ± 26.88 (95% CI, −13.84 to −7.55) | 0.394 |
| CRI-II | −13.83 ± 36.08 (95% CI, −18.85 to −8.82) | −10.67 ± 52.19 (95% CI, −16.77 to −4.56) | 0.225 |
| AC | −9.56 ± 50.43 (95% CI, −16.57 to −2.54) | −10.82 ± 45.55 (95% CI, −16.15 to −5.49) | 0.357 |
| TyG index | −1.24 ± 4.96 (95% CI, −1.93 to −0.55) | −1.02 ± 4.48 (95% CI, −1.54 to −0.50) | 0.592 |
| Variables | Categories | Empagliflozin (n = 201) | p Value | Dapagliflozin (n = 283) | p Value |
|---|---|---|---|---|---|
| TC, mg/dL, n (%) | <200 mg/dL | 118 (58.7) to 156 (77.6) | <0.001 | 179 (63.3) to 242 (85.5) | <0.001 |
| 200–239 mg/dL | 49 (24.4) to 30 (14.9) | 0.008 | 65 (23) to 24 (8.5) | <0.001 | |
| >240 mg/dL | 34 (16.9) to 15 (7.5) | <0.001 | 39 (13.8) to 17 (6) | <0.001 | |
| LDL-C, mg/dL, n (%) | <100 mg/dL | 52 (25.9) to 92 (45.8) | <0.001 | 99 (35) to 174 (61.5) | <0.001 |
| 130–159 mg/dL | 44 (21.9) to 26 (12.9) | 0.013 | 47 (16.6) to 30 (10.6) | 0.027 | |
| >160 mg/dL | 49 (24.4) to 14 (7) | <0.001 | 64 (22.6) to 21 (7.4) | <0.001 | |
| HDL-C, mg/dL, n (%) | >60 mg/dL | 41 (20.4) to 41 (20.4) | 1.000 | 48 (17) to 48 (17) | 1.000 |
| 40–59 mg/dL | 103 (51.2) to 111 (55.2) | 0.248 | 130 (45.9) to 155 (54.8) | 0.004 | |
| <40 | 57 (28.4) to 49 (24.4) | 0.157 | 105 (37.1) to 80 (28.3) | <0.001 | |
| TG, mg/dL, n (%) | <150 mg/dL | 128 (63.7) to 143 (71.1) | 0.029 | 188 (66.4) to 208 (73.5) | 0.009 |
| 150–499 mg/dL | 73 (36.3) to 58 (28.9) | 0.029 | 95 (33.6) to 75 (26.5) | 0.009 | |
| >500 mg/dL | - | - | - | - |
| Variables | Categories | Empagliflozin (n = 201) | p Value | Dapagliflozin (n = 283) | p Value |
|---|---|---|---|---|---|
| AIP, n (%) | <0.11 | 15 (7.5) to 20 (10) | 0.197 | 29 (10.2) to 32 (11.3) | 0.532 |
| 0.11–0.21 | 15 (7.5) to 15 (7.5) | 1.000 | 25 (8.8) to 12 (4.2) | 0.005 | |
| >0.21 | 171 (85.1) to 166 (82.6) | 0.369 | 229 (80.9)) to 239 (84.5) | 0.059 | |
| CRI-I, n (%) | <3.5 | 63 (31.3) to 107 (53.2) | <0.001 | 100 (35.3) to 162 (57.2) | <0.001 |
| >3.5 | 138 (68.7) to 94 (46.8) | <0.001 | 183 (64.7) to 121 (42.8) | <0.001 | |
| CRI-II, n (%) | <3.0 | 124 (61.7) to 166 (82.6) | <0.001 | 164 (58) to 222 (78.4) | <0.001 |
| >3.0 | 77 (38.3) to 35 (17.4) | <0.001 | 119 (42) to 61 (21.6) | <0.001 | |
| AC, n (%) | <3.0 | 99 (49.3) to 142 (70.6) | <0.001 | 133 (47) to 203 (71.7) | <0.001 |
| >3.0 | 102 (50.7) to 59 (29.4) | <0.001 | 150 (53) to 80 (28.3) | <0.001 | |
| TyG Index, n (%) | <4.5 | 20 (10) to 19 (9.5) | 0.847 | 47 (16.6) to 40 (14.1) | 0.250 |
| >4.5 | 181 (90) to 182 (90.5) | 0.847 | 236 (83.4) to 243 (85.9) | 0.250 |
Disclaimer/Publisher’s Note: The statements, opinions and data contained in all publications are solely those of the individual author(s) and contributor(s) and not of MDPI and/or the editor(s). MDPI and/or the editor(s) disclaim responsibility for any injury to people or property resulting from any ideas, methods, instructions or products referred to in the content. |
© 2025 by the authors. Licensee MDPI, Basel, Switzerland. This article is an open access article distributed under the terms and conditions of the Creative Commons Attribution (CC BY) license (https://creativecommons.org/licenses/by/4.0/).
Share and Cite
Ozgol, I.; Yigit Gencer, E.; Yildiz, C.; Karabulut, D.; Turhan Çaglar, F.N.; Bicakhan, B.; Yucel, C.; Ketenciler, S.; Ay, A.; Yigit, Z. Effects of Empagliflozin and Dapagliflozin on Lipid Profiles and Atherogenic Risk Indices in Patients with Heart Failure and a History of CABG: First Evidence in the Literature. J. Clin. Med. 2025, 14, 7395. https://doi.org/10.3390/jcm14207395
Ozgol I, Yigit Gencer E, Yildiz C, Karabulut D, Turhan Çaglar FN, Bicakhan B, Yucel C, Ketenciler S, Ay A, Yigit Z. Effects of Empagliflozin and Dapagliflozin on Lipid Profiles and Atherogenic Risk Indices in Patients with Heart Failure and a History of CABG: First Evidence in the Literature. Journal of Clinical Medicine. 2025; 14(20):7395. https://doi.org/10.3390/jcm14207395
Chicago/Turabian StyleOzgol, Ilhan, Ece Yigit Gencer, Cennet Yildiz, Dilay Karabulut, Fatma Nihan Turhan Çaglar, Burcu Bicakhan, Cihan Yucel, Serkan Ketenciler, Asime Ay, and Zerrin Yigit. 2025. "Effects of Empagliflozin and Dapagliflozin on Lipid Profiles and Atherogenic Risk Indices in Patients with Heart Failure and a History of CABG: First Evidence in the Literature" Journal of Clinical Medicine 14, no. 20: 7395. https://doi.org/10.3390/jcm14207395
APA StyleOzgol, I., Yigit Gencer, E., Yildiz, C., Karabulut, D., Turhan Çaglar, F. N., Bicakhan, B., Yucel, C., Ketenciler, S., Ay, A., & Yigit, Z. (2025). Effects of Empagliflozin and Dapagliflozin on Lipid Profiles and Atherogenic Risk Indices in Patients with Heart Failure and a History of CABG: First Evidence in the Literature. Journal of Clinical Medicine, 14(20), 7395. https://doi.org/10.3390/jcm14207395

