Sign in to use this feature.

Years

Between: -

Subjects

remove_circle_outline
remove_circle_outline
remove_circle_outline
remove_circle_outline
remove_circle_outline
remove_circle_outline
remove_circle_outline
remove_circle_outline
remove_circle_outline

Journals

remove_circle_outline
remove_circle_outline
remove_circle_outline
remove_circle_outline
remove_circle_outline
remove_circle_outline

Article Types

Countries / Regions

remove_circle_outline
remove_circle_outline
remove_circle_outline
remove_circle_outline

Search Results (204)

Search Parameters:
Keywords = CAD digital model

Order results
Result details
Results per page
Select all
Export citation of selected articles as:
13 pages, 457 KB  
Data Descriptor
CBIS-DDSM-R: A Curated Radiomic Feature Dataset for Breast Cancer Classification
by Erika Sánchez-Femat, Carlos E. Galván-Tejada, Jorge I. Galván-Tejada, Hamurabi Gamboa-Rosales, Huizilopoztli Luna-García, Luis Alberto Flores-Chaires, Javier Saldívar-Pérez, Rafael Reveles-Martínez and José M. Celaya-Padilla
Data 2025, 10(11), 179; https://doi.org/10.3390/data10110179 - 4 Nov 2025
Abstract
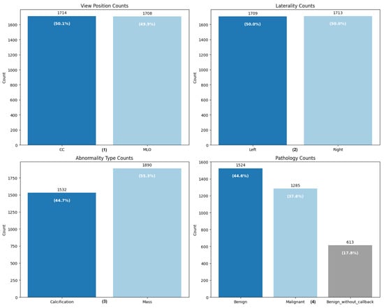
Early and accurate breast cancer detection is critical for patient outcomes. The Curated Breast Imaging Subset of the Digital Database for Screening Mammography (CBIS-DDSM) has been instrumental for computer-aided diagnosis (CAD) systems. However, the lack of a standardized preprocessing pipeline and consistent metadata [...] Read more.
Early and accurate breast cancer detection is critical for patient outcomes. The Curated Breast Imaging Subset of the Digital Database for Screening Mammography (CBIS-DDSM) has been instrumental for computer-aided diagnosis (CAD) systems. However, the lack of a standardized preprocessing pipeline and consistent metadata has limited its utility for reproducible quantitative imaging or radiomics. This paper introduces CBIS-DDSM-R, an open-source, radiomics-ready extension of the original dataset. It provides an automated pipeline for preprocessing mammograms and extracts a standardized set of 93 radiomics features per lesion, adhering to Image Biomarker Standardisation Initiative (IBSI) guidelines using PyRadiomics. The resulting dataset combines clinical and radiomics data into a unified format, offering a robust benchmark for developing and validating reproducible radiomics models for breast cancer characterization. Full article
Show Figures

Figure 1

20 pages, 17743 KB  
Article
Integrated Surveying for Architectural Heritage Documentation in Iraq: From LiDAR Scanner to GIS Applications
by Gehan Selim, Nabil Bachagha, Dhirgham Alobaydi, Sabeeh Lafta Farhan and Aussama Tarabeih
Remote Sens. 2025, 17(21), 3632; https://doi.org/10.3390/rs17213632 - 3 Nov 2025
Abstract
In recent years, remote sensing technologies have become indispensable for the documentation, analysis, and virtual preservation of historical, architectural, and archaeological heritage. Advances in 3D scanning have enabled the precise digital recording of complex structures as large-scale point clouds, facilitating highly detailed virtual [...] Read more.
In recent years, remote sensing technologies have become indispensable for the documentation, analysis, and virtual preservation of historical, architectural, and archaeological heritage. Advances in 3D scanning have enabled the precise digital recording of complex structures as large-scale point clouds, facilitating highly detailed virtual reconstructions. This study evaluates the capability of LiDAR-based Terrestrial Laser Scanning (TLS) for documenting historical monument façades within a 3D environment and generating accurate visualisation models from registered, colourised point clouds. The integration of high-resolution RGB imagery, processed through Reality Capture 1.5 software, enables the automatic production of realistic 3D models that combine geometric accuracy with visual fidelity. Simultaneously, Geographic Information Systems (GIS), particularly cloud-based platforms like ArcGIS Pro Online, enhance spatial data management, mapping, and analysis. When combined with TLS, GIS is part of a broader remote sensing framework that improves heritage documentation regarding precision, speed, and interpretability. The digital survey of the Shanasheel house in Al-Basrah, Iraq, demonstrates the effectiveness of this interdisciplinary approach. These architecturally and culturally significant buildings, renowned for their intricately decorated wooden façades, were digitally recorded using CAD-based methods to support preservation and mitigation against urban and environmental threats. This interdisciplinary workflow demonstrates how remote sensing technologies can play a vital role in heritage conservation, enabling risk assessment, monitoring of urban encroachment, and the protection of endangered cultural landmarks for future generations. Full article
Show Figures

Figure 1

21 pages, 7163 KB  
Article
A Dynamic Pose-Testing Technique of Landing Gear Combined Stereo Vision and CAD Digital Model
by Wendong Zhang, Xianmin Chen, Baoquan Shi and Yao Li
Sensors 2025, 25(21), 6715; https://doi.org/10.3390/s25216715 - 3 Nov 2025
Abstract
The landing gear is one of the key components of an aircraft, enduring significant forces during takeoff and landing, and is influenced by various uncertain factors related to its structure. Therefore, conducting strength tests on the landing gear structure to study its ultimate [...] Read more.
The landing gear is one of the key components of an aircraft, enduring significant forces during takeoff and landing, and is influenced by various uncertain factors related to its structure. Therefore, conducting strength tests on the landing gear structure to study its ultimate load capacity is of great significance for structural design and analysis. This paper proposes a visual measurement method for dynamic pose of landing gear that combines stereo vision and CAD digital model. The method first establishes a measurement reference in CAD digital model and then uses close-range photogrammetry and binocular stereo vision technology to unify the coordinate system of the physical landing gear model with the measurement coordinate system of CAD model. Finally, during the motion of the landing gear, CAD model and the physical model can be synchronized by tracking a small number of key points, thus obtaining the complete motion state of the landing gear during the test. The experimental results demonstrate that the RMSE of the angle error is less than 0.1°, and the RMSE of the trajectory error is under 0.3 mm. This level of accuracy meets the requirements for pose measurement during the landing gear retraction and extension test. Compared to existing methods, this approach offers greater environmental adaptability, effectively reducing the impact of unfavorable factors such as occlusion during testing. It allows for the retrieval of pose information for any point on the landing gear, including its centroid. Full article
(This article belongs to the Section Optical Sensors)
Show Figures

Figure 1

17 pages, 3124 KB  
Article
Fit Accuracy of Plate-Type Retainers Fabricated Using Dental CAD/CAM Systems: A Controlled In Vitro Comparison Using Typodont-Derived Models
by Kosuke Nomi, So Koizumi, Masatoshi Shimura, Kazuhide Seimiya, Osamu Nikaido, Heetae Park, Reina Hatanaka, Masahiro Takahashi, Shinya Fuchida and Tetsutaro Yamaguchi
Dent. J. 2025, 13(11), 487; https://doi.org/10.3390/dj13110487 - 23 Oct 2025
Viewed by 226
Abstract
Objectives: This study aimed to compare the fit accuracy between retainers fabricated using conventional cold-curing resin (hereinafter referred to as “conventional retainers”) and those fabricated using three-dimensional (3D) printing based on computer-aided design/computer-aided manufacturing (CAD/CAM) technology (hereinafter referred to as “CAD/CAM retainers”). Furthermore, [...] Read more.
Objectives: This study aimed to compare the fit accuracy between retainers fabricated using conventional cold-curing resin (hereinafter referred to as “conventional retainers”) and those fabricated using three-dimensional (3D) printing based on computer-aided design/computer-aided manufacturing (CAD/CAM) technology (hereinafter referred to as “CAD/CAM retainers”). Furthermore, the study aimed to compare two different methods to evaluate the fit accuracy: the impression replica technique and the 3D triple-scan protocol. Methods: For each of the 20 working models derived from a maxillary typodont, one conventional retainer and one CAD/CAM retainer were fabricated. The fit accuracy was evaluated using the impression replica technique and the 3D triple-scan protocol. Measurements were taken at 12 points on each model, and the differences in thickness (gap) were analyzed using Wilcoxon’s signed-rank test. Moreover, the correlation between thickness and measurement site was evaluated using Spearman’s rank correlation coefficient. Results: In both evaluation methods, the CAD/CAM retainers exhibited superior fit accuracy compared to the conventional retainers. Notably, the 3D triple-scan protocol clearly demonstrated that the fit accuracy differed depending on the measurement site. Conclusions: CAD/CAM retainers demonstrated superior fit accuracy compared to conventional retainers, possibly because digital design can account for polymerization shrinkage. In the impression replica technique, the median (interquartile range) thickness for the conventional retainers was 0.169 (0.120–0.260) mm, whereas that for the CAD/CAM retainers was 0.136 (0.096–0.198) mm. The CAD/CAM retainers showed significantly smaller gap values (p < 0.001). Within the limitations of this in vitro study, CAD/CAM retainers showed significantly smaller gap values than conventional retainers, indicating improved fit accuracy. In particular, the 3D triple-scan protocol accurately captured site-specific variations in fit accuracy among the anterior, canine, and molar regions. Full article
(This article belongs to the Section Digital Technologies)
Show Figures

Graphical abstract

24 pages, 2699 KB  
Article
Digital Twin Framework for Energy Transition in Gas Networks Based on Open-Source Tools: Methodology and Case Study in Southern Italy
by Filippo Luca Alberto Munafò, Ben Alex Baby, Tancredi Testasecca, Marco Ferraro and Marco Beccali
Energies 2025, 18(20), 5434; https://doi.org/10.3390/en18205434 - 15 Oct 2025
Viewed by 296
Abstract
The ongoing digitalization of energy infrastructure is a crucial enabler for improving efficiency, reliability, and sustainability in gas distribution networks, especially in the context of decarbonization and the integration of alternative energy carriers (e.g., renewable gases including biogas, green hydrogen). This study presents [...] Read more.
The ongoing digitalization of energy infrastructure is a crucial enabler for improving efficiency, reliability, and sustainability in gas distribution networks, especially in the context of decarbonization and the integration of alternative energy carriers (e.g., renewable gases including biogas, green hydrogen). This study presents the development and application of a Digital Twin framework for a real-world gas distribution network developed using open-source tools. The proposed methodology covers the entire digital lifecycle: from data acquisition through smart meters and GIS mapping, to 3D modelling and simulation using tools such as QGIS, FreeCAD, and GasNetSim. Consumption data are collected, processed, and harmonized via Python-based workflows, hourly simulations of network operation, including pressure, flow rate, and gas quality indicators like the Wobbe Index. Results demonstrate the effectiveness of the Digital Twin in accurately replicating real network behavior and supporting scenario analyses for the introduction of greener energy vectors such as hydrogen or biomethane. The case study highlights the flexibility and transparency of the workflow, as well as the critical importance of data quality and availability. The framework provides a robust basis for advanced network management, optimization, and planning, offering practical tools to support the energy transition in the gas sector. Full article
Show Figures

Figure 1

29 pages, 3369 KB  
Article
Longitudinal Usability and UX Analysis of a Multiplatform House Design Pipeline: Insights from Extended Use Across Web, VR, and Mobile AR
by Mirko Sužnjević, Sara Srebot, Mirta Moslavac, Katarina Mišura, Lovro Boban and Ana Jović
Appl. Sci. 2025, 15(19), 10765; https://doi.org/10.3390/app151910765 - 6 Oct 2025
Viewed by 561
Abstract
Computer-Aided Design (CAD) software has long served as a foundation for planning and modeling in Architecture, Engineering, and Construction (AEC). In recent years, the introduction of Augmented Reality (AR) and Virtual Reality (VR) has significantly reshaped the CAD landscape, offering novel interaction paradigms [...] Read more.
Computer-Aided Design (CAD) software has long served as a foundation for planning and modeling in Architecture, Engineering, and Construction (AEC). In recent years, the introduction of Augmented Reality (AR) and Virtual Reality (VR) has significantly reshaped the CAD landscape, offering novel interaction paradigms that bridge the gap between digital prototypes and real-world spatial understanding. These technologies have enabled users to engage with 3D architectural content in more immersive and intuitive ways, facilitating improved decision making and communication throughout design workflows. As digital design services grow more complex and span multiple media platforms—from desktop-based modeling to immersive AR/VR environments—evaluating usability and User Experience (UX) becomes increasingly challenging. This paper presents a longitudinal usability and UX study of a multiplatform house design pipeline (i.e., structured workflow for creating, adapting, and delivering house designs so they can be used seamlessly across multiple platforms) comprising a web-based application for initial house creation, a mobile AR tool for contextual exterior visualization, and VR applications that allow full-scale interior exploration and configuration. Together, these components form a unified yet heterogeneous service experience across different devices and modalities. We describe the iterative design and development of this system over three distinct phases (lasting two years), each followed by user studies which evaluated UX and usability and targeted different participant profiles and design maturity levels. The paper outlines our approach to cross-platform UX evaluation, including methods such as the Think-Aloud Protocol (TAP), standardized usability metrics, and structured interviews. The results from the studies provide insight into user preferences, interaction patterns, and system coherence across platforms. From both participant and evaluator perspectives, the iterative methodology contributed to improvements in system usability and a clearer mental model of the design process. The main research question we address is how iterative design and development affects the UX of the heterogeneous service. Our findings highlight important considerations for future research and practice in the design of integrated, multiplatform XR services for AEC, with potential relevance to other domains. Full article
(This article belongs to the Special Issue Extended Reality (XR) and User Experience (UX) Technologies)
Show Figures

Figure 1

22 pages, 8922 KB  
Article
Stress Assessment of Abutment-Free and Three Implant–Abutment Connections Utilizing Various Abutment Materials: A 3D Finite Element Study of Static and Cyclic Static Loading Conditions
by Maryam H. Mugri, Nandalur Kulashekar Reddy, Mohammed E. Sayed, Khurshid Mattoo, Osama Mohammed Qomari, Mousa Mahmoud Alnaji, Waleed Abdu Mshari, Firas K. Alqarawi, Saad Saleh AlResayes and Raghdah M. Alshaibani
J. Funct. Biomater. 2025, 16(10), 372; https://doi.org/10.3390/jfb16100372 - 2 Oct 2025
Viewed by 1183
Abstract
Background: The implant–abutment interface has been thoroughly examined due to its impact on the success of implant healing and longevity. Removing the abutment is advantageous, but it changes the biomechanics of the implant fixture and restoration. This in vitro three-dimensional finite element analytical [...] Read more.
Background: The implant–abutment interface has been thoroughly examined due to its impact on the success of implant healing and longevity. Removing the abutment is advantageous, but it changes the biomechanics of the implant fixture and restoration. This in vitro three-dimensional finite element analytical (FEA) study aims to evaluate the distribution of von Mises stress (VMS) in abutment-free and three additional implant abutment connections composed of various titanium alloys. Materials and methods: A three-dimensional implant-supported single-crown prosthesis model was digitally generated on the mandibular section using a combination of microcomputed tomography imaging (microCT), a computer-assisted designing (CAD) program (SolidWorks), Analysis of Systems (ANSYS), and a 3D digital scan (Visual Computing Lab). Four digital models [A (BioHorizons), B (Straumann AG), C abutment-free (Matrix), and D (TRI)] representing three different functional biomaterials [wrought Ti-6Al-4Va ELI, Roxolid (85% Ti, 15% Zr), and Ti-6Al-4V ELI] were subjected to simulated static/cyclic static loading in axial/oblique directions after being restored with highly translucent monolithic zirconia restoration. The stresses generated on the implant fixture, abutment, crown, screw, cortical, and cancellous bones were measured. Results: The highest VMSs were generated by the abutment-free (Model C, Matrix) implant system on the implant fixture [static (32.36 Mpa), cyclic static (83.34 Mpa)], screw [static (16.85 Mpa), cyclic static (30.33 Mpa), oblique (57.46 Mpa)], and cortical bone [static (26.55), cyclic static (108.99 Mpa), oblique (47.8 Mpa)]. The lowest VMSs in the implant fixture, abutment, screw, and crown were associated with the binary alloy Roxolid [83–87% Ti and 13–17% Zr]. Conclusions: Abutment-free implant systems generate twice the stress on cortical bone than other abutment implant systems while producing the highest stresses on the fixture and screw, therefore demanding further clinical investigations. Roxolid, a binary alloy of titanium and zirconia, showed the least overall stresses in different loadings and directions. Full article
(This article belongs to the Special Issue Biomaterials and Biomechanics Modelling in Dental Implantology)
Show Figures

Figure 1

18 pages, 952 KB  
Article
Advanced Vehicle Electrical System Modelling for Software Solutions on Manufacturing Plants: Proposal and Applications
by Adrià Bosch Serra, Juan Francisco Blanes Noguera, Luis Ruiz Matallana, Carlos Álvarez Baldo and Joan Porcar Rodado
Appl. Syst. Innov. 2025, 8(5), 134; https://doi.org/10.3390/asi8050134 - 17 Sep 2025
Viewed by 650
Abstract
Mass customisation in the automotive industry has exploded the number of wiring harness variants that must be assembled, tested and repaired on the shop floor. Existing CAD or schematic formats are too heavy and too coarse-grained to drive in-line, per-VIN validation, while supplier [...] Read more.
Mass customisation in the automotive industry has exploded the number of wiring harness variants that must be assembled, tested and repaired on the shop floor. Existing CAD or schematic formats are too heavy and too coarse-grained to drive in-line, per-VIN validation, while supplier documentation is heterogeneous and often incomplete. This paper presents a pin-centric, two-tier graph model that converts raw harness tables into a machine-readable, wiring-aware digital twin suitable for real-time use in manufacturing plants. All physical and logical artefacts—pins, wires, connections, paths and circuits—are represented as nodes, and a dual-store persistence strategy separates attribute-rich JSON documents from a lightweight NetworkX property graph. The architecture supports dozens of vehicle models and engineering releases without duplicating data, and a decentralised validation pipeline enforces both object-level and contextual rules, reducing initial domain violations from eight to zero and eliminating fifty-two circuit errors in three iterations. The resulting platform graph is generated in 0.7 s and delivers 100% path-finding accuracy. Deployed at Ford’s Almussafes plant, the model already underpins launch-phase workload mitigation, interactive visualisation and early design error detection. Although currently implemented in Python 3.11 and lacking quantified production KPIs, the approach establishes a vendor-agnostic data standard and lays the groundwork for self-aware manufacturing: future work will embed real-time validators on the line, stream defect events back into the graph and couple the wiring layer with IoT frameworks for autonomous repair and optimisation. Full article
(This article belongs to the Section Information Systems)
Show Figures

Figure 1

22 pages, 5609 KB  
Article
A Methodological Approach to the Restoration of a Rural Street Using Affordable Digital Technologies
by Donat Karzhauov, Viera Paganová and Ľuboš Moravčík
Land 2025, 14(9), 1790; https://doi.org/10.3390/land14091790 - 2 Sep 2025
Viewed by 567
Abstract
Accurate spatial data is essential for the effective planning and restoration of rural streets, which are linear elements within settlements. This study evaluates the applicability of digital street models to landscape architecture, focusing on the precision and efficiency of three data acquisition methods: [...] Read more.
Accurate spatial data is essential for the effective planning and restoration of rural streets, which are linear elements within settlements. This study evaluates the applicability of digital street models to landscape architecture, focusing on the precision and efficiency of three data acquisition methods: terrestrial laser scanning (TLS), aerial photogrammetry using an unmanned aerial vehicle (UAV), and close-range photogrammetry (CRP) using a smartphone. TLS was used as the reference method due to its high local geometric accuracy, while UAV and CRP were assessed as low-cost alternatives. We conducted field data collection, digital model processing, and a comparative analysis of accuracy, cost, and time requirements. TLS achieved high precision, with 85% of measured points within ±0.5 cm; however, it produced data gaps due to scanning obstacles. UAV-derived models demonstrated 93% agreement with TLS and offered more complete coverage, making it a more efficient option for overall mapping. CRP models showed only 34% compliance with TLS but provided superior texture detail. However, their limited geometric accuracy and risk of deformation constrain their use in visualizing specific elements. Among the low-cost methods, the UAV is the most suitable for generating models usable in GIS and CAD environments. A combined approach—using a UAV for accurate geometry and CRP for detailed textures—offers a cost-effective strategy for enhancing model quality in landscape architectural applications. Full article
(This article belongs to the Special Issue Integrating Spatial Analysis into Sustainable Urban Planning)
Show Figures

Graphical abstract

22 pages, 3866 KB  
Article
Development of a BIM-Based Metaverse Virtual World for Collaborative Architectural Design
by David Stephen Panya, Taehoon Kim, Soon Min Hong and Seungyeon Choo
Architecture 2025, 5(3), 71; https://doi.org/10.3390/architecture5030071 - 1 Sep 2025
Viewed by 951
Abstract
The rapid evolution of the metaverse is driving the development of new digital design tools that integrate Computer-Aided Design (CAD) and Building Information Modeling (BIM) technologies. Core technologies such as Virtual Reality (VR), Augmented Reality (AR), and Mixed Reality (MR) are increasingly combined [...] Read more.
The rapid evolution of the metaverse is driving the development of new digital design tools that integrate Computer-Aided Design (CAD) and Building Information Modeling (BIM) technologies. Core technologies such as Virtual Reality (VR), Augmented Reality (AR), and Mixed Reality (MR) are increasingly combined with BIM to enhance collaboration and innovation in design and construction workflows. However, current BIM–VR integration often remains limited to isolated tasks, lacking persistent, multi-user environments that support continuous project collaboration. This study proposes a BIM-based Virtual World (VW) framework that addresses these limitations by creating an immersive, real-time collaborative platform for the Architecture, Engineering, and Construction (AEC) industry. The system enables multi-user access to BIM data through avatars, supports direct interaction with 3D models and associated metadata, and maintains a persistent virtual environment that evolves alongside project development. Key functionalities include interactive design controls, real-time decision-making support, and integrated training capabilities. A prototype was developed using Unreal Engine and supporting technologies to validate the approach. The results demonstrate improved interdisciplinary collaboration, reduced information loss during design iteration, and enhanced stakeholder engagement. This research highlights the potential of BIM-based Virtual Worlds to transform AEC collaboration by fostering an open, scalable ecosystem that bridges immersive environments with data-driven design and construction processes. Full article
(This article belongs to the Special Issue Architecture in the Digital Age)
Show Figures

Figure 1

25 pages, 14188 KB  
Article
Assessment of Accuracy in Geometry Reconstruction, CAD Modeling, and MEX Additive Manufacturing for Models Characterized by Axisymmetry and Primitive Geometries
by Paweł Turek, Piotr Bielarski, Alicja Czapla, Hubert Futoma, Tomasz Hajder and Jacek Misiura
Designs 2025, 9(5), 101; https://doi.org/10.3390/designs9050101 - 28 Aug 2025
Viewed by 969
Abstract
Due to the rapid advancements in coordinate measuring systems, data processing software, and additive manufacturing (AM) techniques, it has become possible to create copies of existing models through the reverse engineering (RE) process. However, the lack of precise estimates regarding the accuracy of [...] Read more.
Due to the rapid advancements in coordinate measuring systems, data processing software, and additive manufacturing (AM) techniques, it has become possible to create copies of existing models through the reverse engineering (RE) process. However, the lack of precise estimates regarding the accuracy of the RE process—particularly at the measurement, reconstruction, and computer-aided design (CAD) modeling stages—poses significant challenges. Additionally, the assessment of dimensional and geometrical errors during the manufacturing stage using AM techniques limits the practical implementation of product replicas in the industry. This paper provides an estimation of the errors encountered in the RE process and the AM stage of various models. It includes examples of an electrical box, a lampshade for a standing lamp, a cover for a vacuum unit, and a battery cover. The geometry of these models was measured using a GOM Scan 1 (Carl Zeiss AG, Jena, Germany). Following the measurement process, data processing was performed, along with CAD modeling, which involved primitive detection, profile extraction, and auto-surface methods using Siemens NX 2406 software (Siemens Digital Industries, Plano, TX, USA). The models were produced using a Fortus 360-mc 3D printer (Stratasys, Eden Prairie, MN, USA) with ABS-M30 material. After fabrication, the models were scanned using a GOM Scan 1 scanner to identify any manufacturing errors. The research findings indicated that overall, 95% of the points representing reconstruction errors are within the maximum deviation range of ±0.6 mm to ±1 mm. The highest errors in CAD modeling were attributed to the auto-surfacing method, overall, 95% of the points are within the average range of ±0.9 mm. In contrast, the lowest errors occurred with the detect primitives method, averaging ±0.6 mm. Overall, 95% of the points representing the surface of a model made using the additive manufacturing technology fall within the deviation range ±0.2 mm on average. The findings provide crucial insights for designers utilizing RE and AM techniques in creating functional model replicas. Full article
(This article belongs to the Special Issue Design Process for Additive Manufacturing)
Show Figures

Figure 1

23 pages, 6098 KB  
Article
Smart Manufacturing Workflow for Fuse Box Assembly and Validation: A Combined IoT, CAD, and Machine Vision Approach
by Carmen-Cristiana Cazacu, Teodor Cristian Nasu, Mihail Hanga, Dragos-Alexandru Cazacu and Costel Emil Cotet
Appl. Sci. 2025, 15(17), 9375; https://doi.org/10.3390/app15179375 - 26 Aug 2025
Viewed by 758
Abstract
This paper presents an integrated workflow for smart manufacturing, combining CAD modeling, Digital Twin synchronization, and automated visual inspection to detect defective fuses in industrial electrical panels. The proposed system connects Onshape CAD models with a collaborative robot via the ThingWorx IoT platform [...] Read more.
This paper presents an integrated workflow for smart manufacturing, combining CAD modeling, Digital Twin synchronization, and automated visual inspection to detect defective fuses in industrial electrical panels. The proposed system connects Onshape CAD models with a collaborative robot via the ThingWorx IoT platform and leverages computer vision with HSV color segmentation for real-time fuse validation. A custom ROI-based calibration method is implemented to address visual variation across fuse types, and a 5-s time-window validation improves detection robustness under fluctuating conditions. The system achieves a 95% accuracy rate across two fuse box types, with confidence intervals reported for statistical significance. Experimental findings indicate an approximate 85% decrease in manual intervention duration. Because of its adaptability and extensibility, the design can be implemented in a variety of assembly processes and provides a foundation for smart factory systems that are more scalable and independent. Full article
Show Figures

Figure 1

28 pages, 50179 KB  
Article
Single Image to Semantic BIM: Domain-Adapted 3D Reconstruction and Annotations via Multi-Task Deep Learning
by Serdar Erişen, Mansour Mehranfar and André Borrmann
Remote Sens. 2025, 17(16), 2910; https://doi.org/10.3390/rs17162910 - 21 Aug 2025
Viewed by 1796
Abstract
The digitization and semantic enrichment of built environments traditionally rely on costly and labor-intensive processes, which hinder scalability, adaptability, and real-time deployment in real-world applications. This research presents a novel, fully automated approach that transforms single RGB images directly into semantically enriched, Building [...] Read more.
The digitization and semantic enrichment of built environments traditionally rely on costly and labor-intensive processes, which hinder scalability, adaptability, and real-time deployment in real-world applications. This research presents a novel, fully automated approach that transforms single RGB images directly into semantically enriched, Building Information Modeling (BIM)-compatible 3D representations via an innovative domain adaptation and multi-task learning pipeline. The proposed method simultaneously leverages depth estimation and semantic segmentation from single-image inputs, using high-capacity 2D neural networks, thereby enabling accurate 3D mesh reconstruction and semantic labeling without manual annotation or specialized sensors. The developed pipeline segments and reconstructs both common architectural elements and previously unrepresented object classes, such as stairs, balustrades, railings, people, and furniture items, expanding the coverage of existing 3D indoor datasets. Experimental evaluations demonstrate remarkable reconstruction precision, with an RMSE as low as 0.02 and a per-point semantic accuracy of 81.89% on the TUM CMS Indoor Point Clouds dataset. The resulting 3D models are directly exportable to BIM, OBJ, and CAD formats, supporting a wide range of applications including digital documentation, asset management, and digital twins. By achieving high accuracy and semantic richness with minimal input, the proposed framework offers a scalable, efficient, and automated solution for the rapid digitization of complex built environments, addressing critical limitations in traditional scan-to-BIM workflows and setting new performance standards for future research in the field. Full article
(This article belongs to the Special Issue New Perspectives on 3D Point Cloud (Third Edition))
Show Figures

Figure 1

18 pages, 1062 KB  
Review
The Use of PEEK Barriers in Bone Regeneration Procedures: A Scoping Review
by Leonardo Díaz, Xavier Uriarte, Andrés Landázuri, Heloisa Fonseca Marāo, Pablo Urrutia, Alfredo Torres and Shengchi Fan
Prosthesis 2025, 7(4), 101; https://doi.org/10.3390/prosthesis7040101 - 19 Aug 2025
Cited by 1 | Viewed by 941
Abstract
Introduction: Guided bone regeneration (GBR) is a key approach for managing alveolar ridge defects. Although titanium meshes are widely used for non-resorbable space maintenance, their limitations have prompted interest in alternative materials. Polyetheretherketone (PEEK), a high-performance thermoplastic, has emerged as a potential barrier [...] Read more.
Introduction: Guided bone regeneration (GBR) is a key approach for managing alveolar ridge defects. Although titanium meshes are widely used for non-resorbable space maintenance, their limitations have prompted interest in alternative materials. Polyetheretherketone (PEEK), a high-performance thermoplastic, has emerged as a potential barrier due to its mechanical strength, radiolucency, and compatibility with digital workflows. Objective: To map the current evidence on the use of PEEK barriers in GBR, focusing on biological performance, mechanical properties, and clinical outcomes in animal and human studies. Methods: A scoping review was conducted following PRISMA-ScR guidelines. Eligible studies included in vivo animal models or clinical trials involving PEEK barriers for alveolar bone regeneration. Data on study design, defect type, barrier characteristics, surgical protocol, outcomes, and complications were extracted. Results: Five studies met the inclusion criteria: two animal models and three clinical trials. All reported successful space maintenance and bone gain with PEEK barriers, with outcomes comparable to titanium meshes. Customization through CAD/CAM or 3D printing was common. Complications such as soft tissue dehiscence and exposure occurred but generally did not affect regeneration. Evidence was limited by small sample sizes, short follow-up, and single-center designs. Conclusions: PEEK barriers show promise as customizable alternatives to traditional GBR membranes. However, current evidence is limited and geographically concentrated. Future multicenter studies with long-term follow-up and standardized outcome measures are needed to validate the clinical potential of PEEK in bone regeneration. Full article
Show Figures

Figure 1

29 pages, 12645 KB  
Article
The IoRT-in-Hand: Tele-Robotic Echography and Digital Twins on Mobile Devices
by Juan Bravo-Arrabal, Zhuoqi Cheng, J. J. Fernández-Lozano, Jose Antonio Gomez-Ruiz, Christian Schlette, Thiusius Rajeeth Savarimuthu, Anthony Mandow and Alfonso García-Cerezo
Sensors 2025, 25(16), 4972; https://doi.org/10.3390/s25164972 - 11 Aug 2025
Viewed by 1391
Abstract
The integration of robotics and mobile networks (5G/6G) through the Internet of Robotic Things (IoRT) is revolutionizing telemedicine, enabling remote physician participation in scenarios where specialists are scarce, where there is a high risk to them, such as in conflicts or natural disasters, [...] Read more.
The integration of robotics and mobile networks (5G/6G) through the Internet of Robotic Things (IoRT) is revolutionizing telemedicine, enabling remote physician participation in scenarios where specialists are scarce, where there is a high risk to them, such as in conflicts or natural disasters, or where access to a medical facility is not possible. Nevertheless, touching a human safely with a robotic arm in non-engineered or even out-of-hospital environments presents substantial challenges. This article presents a novel IoRT approach for healthcare in or from remote areas, enabling interaction between a specialist’s hand and a robotic hand. We introduce the IoRT-in-hand: a smart, lightweight end-effector that extends the specialist’s hand, integrating a medical instrument, an RGB camera with servos, a force/torque sensor, and a mini-PC with Internet connectivity. Additionally, we propose an open-source Android app combining MQTT and ROS for real-time remote manipulation, alongside an Edge–Cloud architecture that links the physical robot with its Digital Twin (DT), enabling precise control and 3D visual feedback of the robot’s environment. A proof of concept is presented for the proposed tele-robotic system, using a 6-DOF manipulator with the IoRT-in-hand to perform an ultrasound scan. Teleoperation was conducted over 2300 km via a 5G NSA network on the operator side and a wired network in a laboratory on the robot side. Performance was assessed through human subject feedback, sensory data, and latency measurements, demonstrating the system’s potential for remote healthcare and emergency applications. The source code and CAD models of the IoRT-in-hand prototype are publicly available in an open-access repository to encourage reproducibility and facilitate further developments in robotic telemedicine. Full article
Show Figures

Figure 1

Back to TopTop