Sign in to use this feature.

Years

Between: -

Subjects

remove_circle_outline
remove_circle_outline
remove_circle_outline
remove_circle_outline
remove_circle_outline
remove_circle_outline
remove_circle_outline
remove_circle_outline
remove_circle_outline

Journals

Article Types

Countries / Regions

Search Results (168)

Search Parameters:
Keywords = BBR test

Order results
Result details
Results per page
Select all
Export citation of selected articles as:
44 pages, 6890 KB  
Article
Evaluation of Aging Effects on Asphalt Binders and Pavements: Rheological Responses to Rejuvenators and Numerical Analysis of Polymer Modification
by Ahmet Sertac Karakas
Polymers 2026, 18(6), 759; https://doi.org/10.3390/polym18060759 - 20 Mar 2026
Viewed by 417
Abstract
The restricted availability of raw materials underscores the significance of recycling asphalt materials that have reached the end of their service life, facilitating their reuse with additives for economic and sustainability benefits. The study includes both empirical investigations and numerical analyses. Empirical studies [...] Read more.
The restricted availability of raw materials underscores the significance of recycling asphalt materials that have reached the end of their service life, facilitating their reuse with additives for economic and sustainability benefits. The study includes both empirical investigations and numerical analyses. Empirical studies were conducted in four stages to evaluate the binder and mixture. First, the rheological properties of binders obtained from various sources were assessed in both unmodified and modified states. Second, the binders were subjected to different levels of aging. Third, the presence of additives in the binders was investigated. In the final stage, the analysis of asphalt pavement layers was conducted using the finite element method (FEM) for both modified and unmodified binders. Performance tests were carried out to evaluate the binder’s properties, and physical examinations were conducted to compare these properties. The binders were tested under both unaged and aged conditions using linear amplitude sweep (LAS), frequency sweep (FS), multiple stress creep recovery (MSCR), and bending beam rheometer (BBR) tests. The results indicated that aging increased the stiffness of the binders, regardless of their source. Additionally, the introduction of a rejuvenator reduced the binder’s stiffness, particularly at low temperatures. Findings showed that the growth rate (GR) and rutting parameters increased with binder aging, while the frequency decreased. The R2 value of 0.92 demonstrates a strong correlation between the parameters. Polymer-modified binders demonstrated superior deformation resistance and higher stiffness stability. Overall, aging reduced asphalt flexibility, whereas modified binders improved long-term pavement deformation performance. Full article
(This article belongs to the Section Polymer Applications)
Show Figures

Graphical abstract

30 pages, 10949 KB  
Article
Micro-Foamed-Based Viscosity Reduction of SBS-Modified Asphalt and Its Physical and Rheological Properties
by Peifeng Cheng, Aoting Cheng, Yiming Li, Rui Ma and Youjie Chen
Polymers 2026, 18(6), 710; https://doi.org/10.3390/polym18060710 - 14 Mar 2026
Viewed by 419
Abstract
Foaming technology can effectively reduce the viscosity of polymer-modified asphalt and significantly decrease energy consumption during pavement construction, making it an effective approach for achieving low-carbon pavement construction and maintenance. However, mechanically foamed asphalt relies on specialized equipment and requires strict parameter control. [...] Read more.
Foaming technology can effectively reduce the viscosity of polymer-modified asphalt and significantly decrease energy consumption during pavement construction, making it an effective approach for achieving low-carbon pavement construction and maintenance. However, mechanically foamed asphalt relies on specialized equipment and requires strict parameter control. Although water-based foaming methods using zeolites or ethanol can alleviate these issues to some extent, they still present disadvantages such as significant variability in foaming performance and potential risks during transportation and construction. Therefore, this study investigates the feasibility of using crystalline hydrates with high water of crystallization for micro-foamed asphalt. Three types of micro-foamed SBS-modified asphalt (MFPA) were prepared using hydrates with different contents of water of crystallization. Physical property tests, foaming characteristic parameters, viscosity–temperature analysis, Fourier transform infrared spectroscopy (FTIR), adhesion tensile tests, scanning electron microscopy (SEM), and fluorescence microscopy were conducted to evaluate their effects on the physical and chemical properties, viscosity reduction performance, adhesion, and compatibility of SBS-modified asphalt. Furthermore, dynamic shear rheometer (DSR) tests, bending beam rheometer (BBR) tests, fatigue life modeling, and morphological analysis were employed to investigate the rheological properties, fatigue life, and bubble evolution behavior of the MFPA system. The results indicate that utilizing the thermal decomposition characteristics of crystalline hydrates with high water of crystallization (Na2SO4·10H2O, Na2HPO4·12H2O, and Na2CO3·10H2O) to release H2O and CO2 in SBS-modified asphalt for micro-foaming is a short-term reversible physical viscosity reduction process. The maximum expansion ratio (ERmax) of MFPA reaches 8–10, the half-life (HL) remains stable at approximately 180 s, and the foaming index (FI) peak is about 1160. The construction temperature can be reduced by 10–15%, and the viscosity reduction effect remains stable within 60 min. Compared with unfoamed SBS-modified asphalt, the compatibility, rutting resistance, and fatigue life of MFPA increase by approximately 65%, 32%, and 30%, respectively, while the low-temperature performance decreases by 18%. Under the same short-term and long-term aging conditions, MFPA exhibits better aging resistance. Specifically, its rutting resistance increases by 37%, and fatigue resistance improves by 30% compared with aged SBS-modified asphalt, while the low-temperature performance remains essentially unchanged. Full article
(This article belongs to the Section Polymer Analysis and Characterization)
Show Figures

Figure 1

21 pages, 4343 KB  
Article
Rheological and Performance Properties of a Bituminous Binder Modified with Date Kernel Powder
by Ceren Beyza İnce
Materials 2026, 19(6), 1120; https://doi.org/10.3390/ma19061120 - 13 Mar 2026
Viewed by 336
Abstract
This study presents an experimental investigation into the direct use of date kernel powder (DKP) as a biomass-based modifier for bituminous binders, with the aim of evaluating its feasibility as a sustainable binder modifier. DKP was incorporated into a conventional bituminous binder at [...] Read more.
This study presents an experimental investigation into the direct use of date kernel powder (DKP) as a biomass-based modifier for bituminous binders, with the aim of evaluating its feasibility as a sustainable binder modifier. DKP was incorporated into a conventional bituminous binder at different contents (5, 10, 15, and 20 wt.% by weight of binder), and its physicochemical properties were characterized using SEM, XRD, and FTIR. The rheological and performance properties of the modified binders were evaluated through conventional tests, aging procedures, rotational viscosity (RV), dynamic shear rheometer (DSR), bending beam rheometer (BBR), and linear amplitude sweep (LAS) testing, and the performance grades (PG) of all binders were determined. The results indicate that DKP addition increases binder stiffness and reduces temperature susceptibility while maintaining acceptable fatigue and low-temperature performance. Performance grading results showed that the high-temperature grade increased from PG 64 to PG 70 and the low-temperature grade improved from PG-22 to PG-34 at a DKP content of 15%. LAS test results indicated that fatigue life was maintained or improved at intermediate temperatures. Among the tested contents, 15% DKP provided the most balanced performance considering performance grade improvement, fatigue behavior, and workability characteristics, while higher contents resulted in increased stiffness. Overall, the findings suggest that DKP is a promising modifier for bituminous binders at the binder level. However, further studies at the mixture and field scale are recommended to confirm the long-term engineering applicability of DKP-modified binders. Full article
(This article belongs to the Section Construction and Building Materials)
Show Figures

Graphical abstract

23 pages, 3514 KB  
Article
Study on the Influence of Modified Steel Slag Filler on the Rheological Properties and Moisture Stability of Asphalt Mastic
by Zhe Ma, Chao Pu, Guanghui Zhang, Bin Wang, Waiitii Litifu, Chunmei Liu, Sihua Li and Peng Yin
Coatings 2026, 16(3), 340; https://doi.org/10.3390/coatings16030340 - 9 Mar 2026
Viewed by 259
Abstract
Steel slag is a major solid waste generated by the steelmaking industry. Its characteristics, including high hardness and large specific surface area, offer the potential to replace traditional mineral fillers in asphalt mixtures. However, the high alkalinity of unmodified steel slag often leads [...] Read more.
Steel slag is a major solid waste generated by the steelmaking industry. Its characteristics, including high hardness and large specific surface area, offer the potential to replace traditional mineral fillers in asphalt mixtures. However, the high alkalinity of unmodified steel slag often leads to unbalanced rheological properties and insufficient moisture stability in asphalt mastic. In this study, a modified steel slag filler was prepared using a process involving crushing and screening, water washing for dealkalization, and surface modification with a silane coupling agent. Using limestone powder and hydrated lime as control groups, the modification effects on base asphalt mastic were systematically investigated. Rheological properties were characterized using a dynamic shear rheometer (DSR) and bending beam rheometer (BBR). Interfacial performance was evaluated through pull-off tests and water immersion dispersion tests. Furthermore, mechanisms were elucidated using X-ray Fluorescence (XRF), BET specific surface area analysis, and surface free energy (SFE) tests. The results indicate that the modified steel slag significantly enhances the high-temperature deformation resistance of the asphalt mastic. At 58 °C, the complex modulus reached 7.3 MPa, representing increases of 43.3% compared to limestone powder mastic. At −18 °C, the creep stiffness increased by only 3.0%, suggesting that low-temperature cracking resistance remained fundamentally stable. The water immersion dispersion loss rate was 2.12%, and the attenuation rate of pull-off strength after water immersion was 12.5%, indicating that its resistance to moisture damage is superior to that of limestone powder and comparable to that of hydrated lime. Mechanism analysis reveals that the large specific surface area of the modified steel slag strengthens physical adsorption, while the basic oxides undergo a weak acid–base reaction with the acidic components of the asphalt. Additionally, surface modification improves compatibility. The preparation process for modified steel slag is simple; it can be used as a standalone substitute for traditional mineral fillers, balancing both performance and environmental benefits. Full article
Show Figures

Figure 1

21 pages, 5575 KB  
Article
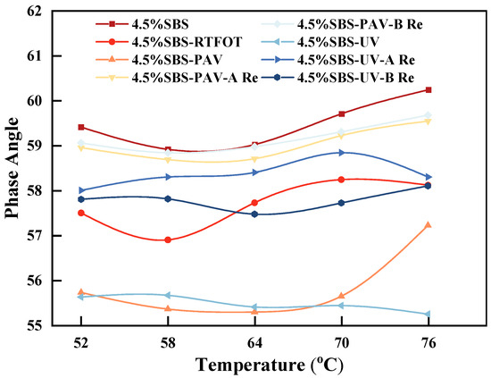
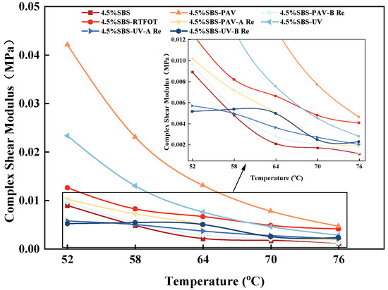
Comparative Investigation of the Rheological Properties and Rejuvenation Mechanism of Rejuvenated SBS Modified Asphalt Binder After Ultraviolet Aging
by Fucheng Guo, Xu He, Pengfei Zhi, Hongmei Ma, Hui Dou and Bo Li
Materials 2026, 19(5), 1041; https://doi.org/10.3390/ma19051041 - 9 Mar 2026
Viewed by 239
Abstract
This study aims to investigate the restorative effects and rejuvenation mechanisms of two rejuvenators on ultraviolet (UV)-aged SBS modified asphalt binder. Two types of rejuvenators were developed. The rheological properties of aged and rejuvenated asphalt were systematically evaluated using a dynamic shear rheometer [...] Read more.
This study aims to investigate the restorative effects and rejuvenation mechanisms of two rejuvenators on ultraviolet (UV)-aged SBS modified asphalt binder. Two types of rejuvenators were developed. The rheological properties of aged and rejuvenated asphalt were systematically evaluated using a dynamic shear rheometer (DSR), bending beam rheometer (BBR), and multiple stress creep and recovery (MSCR) tests. Fourier transform infrared spectroscopy (FTIR) and gel permeation chromatography (GPC) were employed to analyze the rejuvenation mechanisms. The results demonstrate that UV aging significantly deteriorates both the high- and low-temperature performance of SBS modified asphalt binder. Oil-rich rejuvenator A effectively restores UV-aged asphalt’s high-temperature performance and low-temperature stiffness. Polymer-based rejuvenator B better repairs PAV-aged cross-linked networks with superior chemical dilution, but over-dilutes large molecules. Both comparably restore aged low-temperature performance, with rejuvenator A favoring stiffness recovery and rejuvenator B favoring m-value recovery. FTIR analysis reveals that aging significantly increases the carbonyl and sulfoxide indices of SBS modified asphalt binder, especially after PAV and UV aging. Rejuvenator B exhibits superior chemical dilution, reducing these indices nearly to their original levels. GPC analysis demonstrates an aging-induced molecular weight increase and large molecular size (LMS) formation. The recovery effect of rejuvenator A is quite limited (reducing LMS by 2%). Conversely, rejuvenator B aggressively reduces LMS but causes over-dilution. Overall, rejuvenator B is recommended to be used for aged SBS modified asphalt binder, especially after UV aging. Full article
(This article belongs to the Topic Green Construction Materials and Construction Innovation)
Show Figures

Figure 1

24 pages, 4745 KB  
Article
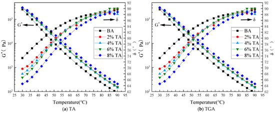
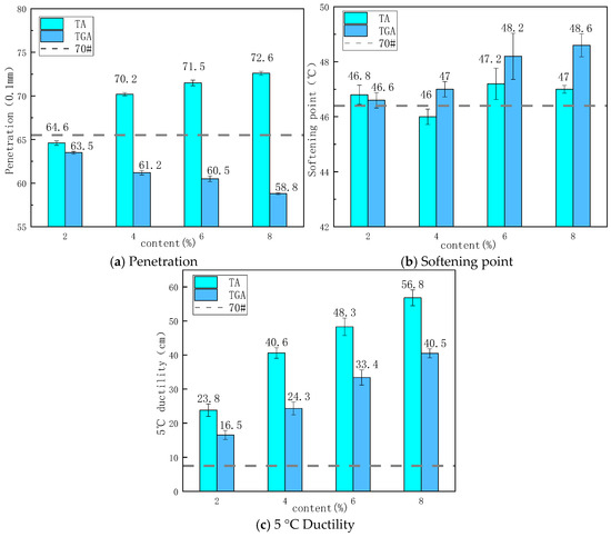
Preparation and Performance Study of Thermoplastic Polyurethane/Graphene Oxide Modified Asphalt
by Jiang Du, Guokai Li, Kezhen Yan and Xiaowen Zhao
Materials 2026, 19(5), 857; https://doi.org/10.3390/ma19050857 - 25 Feb 2026
Viewed by 315
Abstract
To prepare a modified asphalt with excellent road performance, thermoplastic polyurethane/graphene oxide (TPU/GO) incorporating dynamic disulfide bonds was developed as an additive and the synergistic effect of TPU and GO on asphalt was evaluated. Modified asphalts with different TPU/GO contents (2%, 4%, 6%, [...] Read more.
To prepare a modified asphalt with excellent road performance, thermoplastic polyurethane/graphene oxide (TPU/GO) incorporating dynamic disulfide bonds was developed as an additive and the synergistic effect of TPU and GO on asphalt was evaluated. Modified asphalts with different TPU/GO contents (2%, 4%, 6%, 8%) were prepared and TPU-modified asphalts were also prepared as control groups. The compatibility between TPU/GO and asphalt was evaluated by fluorescence microscopy (FM) and the dispersion of GO in TPU and asphalt was observed by emission scanning electron microscope (SEM). The road performance of modified asphalts was also assessed in this study. The FM results show that TPU/GO has good compatibility with asphalt, and the SEM results reveal that GO can be uniformly dispersed in TPU matrix, so that GO can also be evenly dispersed in asphalt and avoid the problem of GO aggregation in asphalt. The results also demonstrate that TPU/GO-modified asphalt comprehensively utilizes the respective advantages of TPU and GO. TPU/GO-modified asphalt has excellent low-temperature performance compared with base asphalt. The 5 °C ductility of 8%TPU/GO-modified asphalt is 440% higher than that of base asphalt and the BBR test also showed that the stress relaxation capacity of TPU/GO-modified asphalt is also significantly stronger than that of base asphalt. Moreover, the introduction of GO in asphalt can improve the creep recovery rate and complex modulus compared with TPU-modified asphalt, indicating better high-temperature rutting resistance. Comprehensive performance evaluation indicates that 8% TPU/GO-modified asphalt is the optimal dosage for engineering applications, balancing high-temperature rutting resistance, storage stability, anti-aging performance, and low-temperature behavior. Full article
Show Figures

Figure 1

17 pages, 2695 KB  
Article
Impacts of the Co-Pyrolytic Product from Waste Cooking Oil (WCO) and Polypropylene (PP) on Physical and Rheological Properties of Bitumen
by Neslihan Atasağun
Polymers 2026, 18(4), 475; https://doi.org/10.3390/polym18040475 - 13 Feb 2026
Viewed by 367
Abstract
This paper aims to investigate the effects of the co-pyrolytic product produced from the co-pyrolysis of waste cooking oil (WCO) and polypropylene (PP) on pure bitumen by using some physical and rheological tests. To reach this goal, the product was obtained by producing [...] Read more.
This paper aims to investigate the effects of the co-pyrolytic product produced from the co-pyrolysis of waste cooking oil (WCO) and polypropylene (PP) on pure bitumen by using some physical and rheological tests. To reach this goal, the product was obtained by producing from the co-pyrolysis of WCO and PP at distinct conditions. Different pyrolytic products with different structural properties can be obtained from the co-pyrolysis of various materials at different pyrolysis conditions. It was not found any study in which bitumen was modified with the co-pyrolytic product produced from the co-pyrolysis of WCO and PP materials at specified blending ratios and conditions, as described in this paper. For this reason, this paper investigates the effects of this co-pyrolytic product as an additive on bitumen in order to improve some of the rheological and physical properties of bitumen and to overcome some problems for the first time. The mixture ratio was determined as 1:2 (WCO:PP). PG 64-22 neat bitumen was modified with this co-pyrolytic product, and some features of the bituminous binders were detected by using differential scanning calorimetry (DSC), Fourier transform infrared spectroscopy (FTIR), penetration, softening point, dynamic shear rheometer (DSR), rotational viscometer (RV), a rolling thin film oven test (RTFOT), a pressurized aging vessel (PAV), a bending beam rheometer (BBR), storage stability, and scanning electron microscopy (SEM) tests. From the FTIR results of the modified binders, it was found that the intensity of the peak around 2357.69 cm−1 increased with the addition of this pyrolytic product. This pyrolytic additive hardened the pure bitumen’s consistency, increased its viscosity, improved its resistance against rutting deformations, and enhanced its high-temperature performance. It can be said that PG 64-22 pure bitumen can easily be modified with this pyrolytic product at the conditions described in this study. Additionally, this co-pyrolytic product improved the high-temperature performance grade (PG) of pure bitumen from PG 64 to PG 76 when it was used at 5% of the weight of neat bitumen. The findings demonstrated that the modified bituminous binders containing 3% and 5% co-pyrolytic product had suitable storage stabilities. Full article
(This article belongs to the Special Issue Sustainable Polymer Materials for Pavement Applications)
Show Figures

Graphical abstract

17 pages, 2800 KB  
Article
Characterization of Viscoelastic Performance and VOC Emission of Warm-Mixed SBS Asphalt Binder Under Different Dosages of Warm-Mixed Additive
by Wentao Wang, Yue Yang, Mengxue Xu, Xiangrui Han, Yinghao Miao and Linbing Wang
Materials 2026, 19(3), 485; https://doi.org/10.3390/ma19030485 - 26 Jan 2026
Viewed by 315
Abstract
Warm-mixed asphalt technology can significantly reduce the heating temperatures required for asphalt pavement construction, which makes it one of the crucial technical approaches in road engineering for achieving energy conservation and emission reduction, and carbon neutrality. Existing research often focuses on designing asphalt [...] Read more.
Warm-mixed asphalt technology can significantly reduce the heating temperatures required for asphalt pavement construction, which makes it one of the crucial technical approaches in road engineering for achieving energy conservation and emission reduction, and carbon neutrality. Existing research often focuses on designing asphalt materials to ensure optimal service performance, but insufficient attention has been paid to the specific extent of reduction in asphalt fume emissions. However, the latter is a critical factor that cannot be neglected when constructing asphalt pavements in environmentally sensitive regions. Considering the environmental factor, this study systematically explores the comprehensive influence of different warm-mixed additive dosages on the viscoelastic properties and VOC emissions of warm-mixed SBS asphalt binder using rotational viscosity, bending beam rheometer (BBR), dynamic shear rheometer (DSR), and gas chromatography–mass spectrometry (GC-MS) test methods. The findings show that the application of warm-mixed additive does not compromise the comprehensive properties of SBS asphalt binder, but partially enhances its service performance instead. Due to the significant reduction in heating temperature, asphalt VOC emissions are indirectly reduced. Although the warm-mixed additive possesses a certain degree of volatility, its application still shows a significant trend toward emission reduction. Despite 0.4% being a relatively economical dosage of warm-mixed additive, a slight increase to 0.5% can achieve more pronounced environmental benefits in VOC emission reduction while maintaining comprehensive service performance that meets specification requirements. The findings can provide new insights for the application and decision-making of warm-mixed asphalt technology in environmentally sensitive regions. Full article
Show Figures

Figure 1

41 pages, 5074 KB  
Article
Advanced Characterization of Asphalt Concrete Mixtures Towards Implementation of MEPDG in the UAE
by Soughah Al-Samahi, Waleed Zeiada, Ghazi G. Al-Khateeb, Anas Cherkaoui and Helal Ezzat
Infrastructures 2026, 11(1), 33; https://doi.org/10.3390/infrastructures11010033 - 20 Jan 2026
Viewed by 769
Abstract
This study presents a comprehensive material characterization program to develop the database inputs required for implementing the Mechanistic–Empirical Pavement Design Guide (MEPDG) in the United Arab Emirates (UAE). Five asphalt concrete (AC) mixtures were evaluated, including two conventional penetration-grade binders (PEN 40/50 and [...] Read more.
This study presents a comprehensive material characterization program to develop the database inputs required for implementing the Mechanistic–Empirical Pavement Design Guide (MEPDG) in the United Arab Emirates (UAE). Five asphalt concrete (AC) mixtures were evaluated, including two conventional penetration-grade binders (PEN 40/50 and PEN 60/70) and three SBS-modified binders (PG70E–0, PG76E–10, and PG82E–22). The experimental program followed AASHTOWare Pavement ME Design requirements and included asphalt binder testing (penetration, softening point, rotational viscosity, DSR, and BBR) and AC mixture testing (dynamic modulus, flow number, axial fatigue, and indirect tensile strength). The results showed that SBS-modified binders and mixtures, particularly PG70E–10 and PG82E–22, exhibited improved rheological behavior, reduced permanent deformation, and enhanced fatigue resistance, while PG76E–10 demonstrated intermediate performance, highlighting the influence of polymer formulation and mixture structure. Pavement ME simulations indicated that Level 1 material inputs preserved laboratory-observed performance trends, resulting in lower predicted rutting, fatigue cracking, and International Roughness Index (IRI). In contrast, Level 3 inputs masked material-specific behavior and, in some cases, altered mixture performance rankings. These findings emphasize the necessity of mixture-level testing and Level 1 inputs for reliable mechanistic–empirical pavement design under UAE climatic and traffic conditions. Full article
Show Figures

Figure 1

24 pages, 2689 KB  
Article
Technology and Rheological Properties of Warm Asphalt Rubber Based on an Ultra-Warm Mix Additive (UWM)–Sasobit Composite System
by Song Xu, Longxiang Zhao, Shishui Liulin, Xiangjie Niu, Xiaojuan Jia and Hui Cai
Polymers 2026, 18(1), 7; https://doi.org/10.3390/polym18010007 - 19 Dec 2025
Cited by 1 | Viewed by 497
Abstract
To address the challenges of decarbonization in the global transportation sector and disposal of waste tires, warm asphalt rubber (WAR) with low viscosity and high performance was prepared. In particular, the preparation and rheological behavior of WAR incorporating composite warm mix systems at [...] Read more.
To address the challenges of decarbonization in the global transportation sector and disposal of waste tires, warm asphalt rubber (WAR) with low viscosity and high performance was prepared. In particular, the preparation and rheological behavior of WAR incorporating composite warm mix systems at relatively high crumb rubber contents have not been thoroughly documented. In this study, WAR prepared under such conditions was systematically examined. A five-factor, three-level segmented orthogonal experimental design (OED) was employed to investigate the effects of preparation parameters on hot mix asphalt rubber (AR) properties. Based on the optimized AR formulation, a composite warm mix system combining Ultra-Warm Mix additive (UWM) and Sasobit was developed, and control groups containing 5% UWM only and 1.5% Sasobit only were prepared for comparison. Conventional physical tests together with rheological characterization, including Dynamic Shear Rheometer (DSR), Multiple Stress Creep Recovery (MSCR), and Bending Beam Rheometer (BBR) tests, were conducted to evaluate the high- and low-temperature performance of WAR. Results show that the optimal preparation process consisted of aromatic oil content 5%, crumb rubber content 30%, shear temperature 220 °C, shear time 120 min, and reaction time 90 min. The composite warm mix system notably enhanced WAR performance, with the WAR-5U1.5S group exhibiting the most balanced properties. A marked reduction in rotational viscosity was achieved while maintaining a stable softening point, and satisfactory ductility and elastic recovery were also retained. DSR and MSCR tests confirmed improved high-temperature deformation resistance, an increase in percent recovery R, and a decrease in non-recoverable creep compliance Jnr. BBR test further verified that the composite system maintained good low-temperature cracking resistance, meeting all specification requirements. Overall, these results indicate that, compared with the optimized AR, WAR can reduce mixing viscosity without sacrificing rutting or cracking performance, while alleviating the limitations observed for single warm mix additives. This study provides essential technical support for promoting WAR that integrates low-carbon construction with superior pavement performance. Full article
(This article belongs to the Special Issue Polymers and Functional Additives in Construction Materials)
Show Figures

Figure 1

17 pages, 7714 KB  
Article
Rheological Deterioration of High Viscosity High Elasticity Asphalt (HVEA) Under the Coupling Effect UV Aging and Salt Freeze-Thaw (SFT) Cycles
by Bo Zhang, Juan Liu, Qiaoli Le and Zhen Lu
Coatings 2025, 15(11), 1311; https://doi.org/10.3390/coatings15111311 - 10 Nov 2025
Viewed by 511
Abstract
To investigate the deterioration pattern of the rheological properties of high-viscosity high-elasticity asphalt (HVEA) under UV and salt freeze–thaw (SFT) cycle environments, two snowmelt salts were used for coupled aging tests, along with temperature sweep, bending beam rheological (BBR), and Fourier-transform infrared spectroscopy [...] Read more.
To investigate the deterioration pattern of the rheological properties of high-viscosity high-elasticity asphalt (HVEA) under UV and salt freeze–thaw (SFT) cycle environments, two snowmelt salts were used for coupled aging tests, along with temperature sweep, bending beam rheological (BBR), and Fourier-transform infrared spectroscopy (FT-IR) tests. The results showed that both snowmelt salts could enhance the high-temperature rutting resistance of HVEA, in which the enhancement effect of NaCl was more significant. With the increase in salt concentration, the BBR stiffness of HVEA decreased and then increased, while the m-value showed the opposite trend, indicating that the addition of snowmelt salt impaired its low-temperature creep performance. Additionally, UV-SFT aging would exacerbate the degradation of low-temperature crack resistance. The temperature sensitivity of HVEA gradually decreased with the drop of viscosity temperature sensitivity (VTS) value; salt corrosion further significantly reduced its temperature sensitivity. UV-SFT aging would significantly weaken fatigue performance of HVEA, especially after 15 cycles. FT-IR test showed that UV-SFT resulted in the enhancement of S=O and C=C characteristic peaks, suggesting that the HVEA underwent oxidization and chemical aging, which increased the low-temperature brittleness. Full article
(This article belongs to the Special Issue Synthesis and Application of Functional Polymer Coatings)
Show Figures

Figure 1

22 pages, 2651 KB  
Article
Evaluation of Rheological Properties of Warm Mix Flame-Retardant Asphalt (WMFRA) Binder Suitable for Tunnel Area
by Bo Zhang, Juan Liu, Qiaoli Le and Zhen Lu
Polymers 2025, 17(21), 2829; https://doi.org/10.3390/polym17212829 - 23 Oct 2025
Cited by 1 | Viewed by 736
Abstract
This study aimed to systematically evaluate the rheological properties of warm mix flame-retardant asphalt (WMFRA). First, conventional performance tests were conducted on the prepared warm mix rubberized asphalt (WMRA), incorporating different warm mix agents in order to screen out an agent with optimum [...] Read more.
This study aimed to systematically evaluate the rheological properties of warm mix flame-retardant asphalt (WMFRA). First, conventional performance tests were conducted on the prepared warm mix rubberized asphalt (WMRA), incorporating different warm mix agents in order to screen out an agent with optimum performance. Subsequently, limestone power (LP), aluminum trihydrate (ATH), OA composed of ATH and organically modified montmorillonite (OMMT), and zinc borate (ZK) were employed in the oxygen index (OI) test of WMFRA to determine the optimal dosage of flame retardants. Finally, a dynamic shear rheometer (DSR) and a bending beam rheometer (BBR) were used to evaluate the rheological properties of WMFRA. The results showed that the R-Type warm mix agent was superior to S-Type in reducing consistency and improving low-temperature cracking resistance but slightly weakened high-temperature stability. The OA composite flame retardant could enhance the OI from 20.16% to 24% at 15wt% dosage, thereby meeting the specified flame-retardant requirement. Furthermore, OA could markedly boost the high-temperature performance of WMFRA, exhibiting significantly higher complex modulus (G*) and rutting factor (G*/sinδ) compared to WMFRA with other flame retardants. In general, all flame retardants reduced the temperature sensitivity of WMFRA, with ZK being the most effective at 12.6%. Regarding low-temperature performance, LP and ATH improved stress relaxation of WMFRA, while ZK and OA impaired this capability. All flame retardants reduced low-temperature flexibility, but the low-temperature behavior was still dominated by the S(t). For fatigue performance, LP and ATH degraded the fatigue performance by advancing the damage time by 958.9 s and 669.7 s, respectively. In contrast, ZK improved fatigue performance by increasing the complex shear modulus, thereby extending the fatigue life (Nf50) by 3.2%. This study provided a theoretical basis for the formulation optimization of WMFRA. Full article
(This article belongs to the Special Issue Sustainable Polymer Materials for Pavement Applications)
Show Figures

Figure 1

12 pages, 1409 KB  
Article
Investigation of the Temperature Performance of Bitumen Modified with Egg Shell Waste
by İbrahim Erginer, Ömer Faruk Cansız, Ali Tuncay Özyılmaz, Nurullah Karaca and Bestami Taşar
Appl. Sci. 2025, 15(19), 10500; https://doi.org/10.3390/app151910500 - 28 Sep 2025
Viewed by 595
Abstract
This study was conducted to improve the heat performance of bitumen. The effect of eggshells on the performance of bitumen was investigated. Eggshell waste was ground and mixed with bitumen at 1%, 2%, and 3% by weight. Sulfuric acid was used as a [...] Read more.
This study was conducted to improve the heat performance of bitumen. The effect of eggshells on the performance of bitumen was investigated. Eggshell waste was ground and mixed with bitumen at 1%, 2%, and 3% by weight. Sulfuric acid was used as a catalyst for maximum interaction of eggshells with bitumen. The high heat performance and rutting resistance of modified bitumen formed at 160 °C were determined by the Dynamic Shear Rheometer (DSR) test. In addition, the low heat performance of modified bitumen was determined with the Bending Beam Rheometer (BBR) test. It was determined that the high heat performance of modified bitumen increased by 16.22% and the low heat performance (creep values) by 11.43% compared to pure bitumen. In addition, it was determined that the rutting resistance values of modified bitumen increased compared to pure bitumen. Full article
Show Figures

Figure 1

18 pages, 4659 KB  
Article
Performance Enhancement and Nano-Scale Interaction Mechanism of Asphalt Modified with Solid Waste-Derived Nano-Micro-Powders
by Xiaodong Jia, Yao Ge, Hongzhou Zhu and Kaifeng Zheng
Coatings 2025, 15(9), 1079; https://doi.org/10.3390/coatings15091079 - 15 Sep 2025
Viewed by 825
Abstract
To investigate the influence patterns and underlying mechanisms of solid waste-derived Nano-Micro-Powder (NMP) materials on asphalt performance, this study selected nano-sized silica fume (a typical industrial solid waste) along with conventionally used hydrated lime and cement powders as representative modifiers. Based on material [...] Read more.
To investigate the influence patterns and underlying mechanisms of solid waste-derived Nano-Micro-Powder (NMP) materials on asphalt performance, this study selected nano-sized silica fume (a typical industrial solid waste) along with conventionally used hydrated lime and cement powders as representative modifiers. Based on material type, dosage, and particle size, the high-temperature rheological properties, low-temperature rheological behavior, and nano-scale mechanical characteristics of NMP-modified asphalt were systematically evaluated through dynamic shear frequency tests, Multiple Stress Creep Recovery (MSCR) tests, Bending Beam Rheometer (BBR) tests, and Atomic Force Microscopy (AFM) measurements. Additionally, the grey relational analysis method was employed to quantify the impact of key nanoparticle characteristics on modified asphalt performance. The results demonstrate the following: (1) With increasing NMP dosage and decreasing particle size, the complex modulus (G*) of modified asphalt increases significantly, while the creep recovery rate (R) rises and non-recoverable creep compliance (Jnr) decreases. The creep stiffness slope (m-value) diminishes under low-temperature conditions. (2) Among different NMP types, silica fume-modified asphalt exhibits the highest G*, R, and m-value parameters. (3) At the nanoscale, adhesion force, modulus, and surface roughness all increase with higher NMP dosage and smaller particle size. Silica fume demonstrates superior performance in these nano-mechanical properties compared to hydrated lime and cement powders. (4) Grey relational analysis reveals that specific surface area shows the strongest correlation with the overall performance of NMP-modified asphalt. Full article
(This article belongs to the Special Issue Novel Cleaner Materials for Pavements)
Show Figures

Figure 1

17 pages, 2868 KB  
Article
Study on the Influence of ZM Modifier on the Rheological Properties and Microstructural Characteristics of Asphalt
by Yining Wang, Zhen Zang and Wenyuan Xu
Coatings 2025, 15(9), 1069; https://doi.org/10.3390/coatings15091069 - 11 Sep 2025
Viewed by 603
Abstract
As traffic load continuously rises and climatic conditions increasingly vary, the performance of conventional base asphalt can no longer satisfy the needs of modern road engineering in low-temperature cracking resistance, high-temperature stability, and long-term durability. Therefore, the development of novel and efficient asphalt [...] Read more.
As traffic load continuously rises and climatic conditions increasingly vary, the performance of conventional base asphalt can no longer satisfy the needs of modern road engineering in low-temperature cracking resistance, high-temperature stability, and long-term durability. Therefore, the development of novel and efficient asphalt modifiers holds significant engineering value and practical importance. In this study, modified asphalt was prepared using varying dosages of ZM modifier (direct-injection asphalt mixture modified polymer additive). A series of experiments was executed to assess its influence on asphalt properties. First, fundamental property tests were implemented to determine the regulating effect of the ZM modifier on basic physical performances, like the softening point and penetration of the base asphalt. Penetration tests at different temperatures were performed to calculate the penetration index, thereby assessing the material’s temperature sensitivity. Subsequently, focusing on temperature as a key factor, tests on temperature sweep, and multiple stress creep recovery (MSCR) were implemented to delve into the deformation resistance and creep recovery behavior of the modified asphalt under high-temperature conditions. In addition, bending beam rheometer (BBR) experiments were introduced to attain stiffness modulus and creep rate indices, which were applied to appraise the low-temperature rheological performance. Aside from Scanning Electron Microscopy (SEM), Fourier Transform Infrared Spectroscopy (FTIR) was utilized to explore the mechanism by which the ZM modifier influences the asphalt’s functional group composition and microstructure. Our findings reveal that the ZM modifier significantly increases the asphalt’s softening point and penetration index, reduces penetration and temperature sensitivity, and enhances high-temperature stability. Under high-temperature conditions, the ZM modifier adjusts the viscoelastic balance of asphalt, hence enhancing its resistance to flow deformation and its capacity for creep recovery. In low-temperature environments, the modifier increases the stiffness modulus of asphalt and improves its crack resistance. FTIR analyses reveal that the ZM modifier does not introduce new functional groups, indicating a physical modification process. However, by enhancing the cross-linked structure and increasing the hydrocarbon content within the asphalt, it strengthens the adhesion between the asphalt and aggregates. Overall, the asphalt’s performance improvement positively relates to the dosage of the ZM modifier, providing both theoretical basis and experimental support for its application in road engineering. Full article
(This article belongs to the Special Issue Surface Treatments and Coatings for Asphalt and Concrete)
Show Figures

Figure 1

Back to TopTop