Sign in to use this feature.

Years

Between: -

Subjects

remove_circle_outline
remove_circle_outline
remove_circle_outline
remove_circle_outline
remove_circle_outline

Journals

Article Types

Countries / Regions

Search Results (46)

Search Parameters:
Keywords = AUC/MIC ratio

Order results
Result details
Results per page
Select all
Export citation of selected articles as:
17 pages, 3974 KB  
Article
Development of a Population Pharmacokinetic Model of Levofloxacin in Healthy Adults and Identification of Optimal Dosing Regimens
by Yun-Jung Lee, Gaeun Kang, Dae-Young Zang and Dong-Hwan Lee
Pharmaceuticals 2025, 18(5), 621; https://doi.org/10.3390/ph18050621 - 25 Apr 2025
Viewed by 1454
Abstract
Background/Objectives: Levofloxacin dosing guidelines recommend adjustments only when the creatinine clearance (CrCl) is <50 mL/min. We hypothesized that further dose stratification based on CrCl could improve therapeutic outcomes, even when the CrCl ≥ 50 mL/min. This study aimed to develop a population [...] Read more.
Background/Objectives: Levofloxacin dosing guidelines recommend adjustments only when the creatinine clearance (CrCl) is <50 mL/min. We hypothesized that further dose stratification based on CrCl could improve therapeutic outcomes, even when the CrCl ≥ 50 mL/min. This study aimed to develop a population pharmacokinetic (PK) model of levofloxacin in healthy adults and identify optimal dosing regimens. Methods: In this prospective, open-label study, 12 healthy adults received a single dose of levofloxacin. Plasma concentrations were measured using liquid chromatography–tandem mass spectrometry. A population PK model was developed with nonlinear mixed-effects modeling, and Monte Carlo simulations were performed to identify optimal dosing regimens. Results: A two-compartment model with first-order kinetics best described the levofloxacin PK profiles. The CrCl was associated with a variation in clearance and lean body mass, with a variation in peripheral volume of distribution. Simulations identified optimal regimens, defined as those achieving a probability of target attainment of at least 90% for the target unbound 24-hour area under the curve at steady state to minimum inhibitory concentration ratio (fAUC/MIC), which differed by pathogen (≥30 for Gram-positive bacteria; ≥100 for Gram-negative bacteria). For the ratio fAUC/MIC ≥ 30 and an MIC of 0.5 mg/L, 500 mg daily was optimal for patients with a CrCl of 50–89 mL/min. For the ratio fAUC/MIC ≥ 100, 1000 mg daily was required in the same CrCl range and MIC value. Conclusions: The population PK model incorporating CrCl and lean body mass improved the prediction of levofloxacin PKs. Refining current dosing recommendations by incorporating stratified CrCl and MIC values could optimize therapeutic outcomes, particularly for patients with a CrCl ≥ 50 mL/min. Full article
(This article belongs to the Special Issue Population Pharmacokinetics and Pharmacogenetics)
Show Figures

Figure 1

13 pages, 2311 KB  
Article
Fluconazole Dosing for the Prevention of Candida spp. Infections in Hemato-Oncologic Pediatric Patients: Population Pharmacokinetic Modeling and Probability of Target Attainment Simulations
by Arkadiusz Adamiszak, Katarzyna Derwich, Alicja Bartkowska-Śniatkowska, Krzysztof Pietrzkiewicz, Izabela Niewiadomska-Wojnałowicz, Andrzej Czyrski, William J. Jusko and Agnieszka Bienert
Pharmaceutics 2025, 17(4), 488; https://doi.org/10.3390/pharmaceutics17040488 - 8 Apr 2025
Viewed by 2545
Abstract
Objectives: A population pharmacokinetic (popPK) model was used to evaluate fluconazole dosing regimens for Candida spp. prophylaxis in hemato-oncologic pediatric patients. Methods: Data were collected from patients receiving 3–12 mg/kg of fluconazole once daily as a 0.5 or 1 h infusion. [...] Read more.
Objectives: A population pharmacokinetic (popPK) model was used to evaluate fluconazole dosing regimens for Candida spp. prophylaxis in hemato-oncologic pediatric patients. Methods: Data were collected from patients receiving 3–12 mg/kg of fluconazole once daily as a 0.5 or 1 h infusion. Fluconazole concentrations were determined using a validated HPLC-UV method. The popPK model employed non-linear mixed effects modeling using the FOCEI algorithm implemented in nlmixr2. Monte Carlo simulations and probability of target attainment (PTA) analysis were performed in the rxode2 package to investigate dosing recommendations. Results: Concentration time data from nine patients, aged 7 months to 18 years, with 35 samples, were described by a one-compartment model with first-order elimination and allometric scaling of body weight. Assuming a Candida spp. MIC = 2 mg/L and the ratio of the area under the unbound concentration–time curve at a steady state to the MIC (fAUC/MIC) ≥ 100 as the pharmacokinetic/pharmacodynamic (PK/PD) target, the standard dosing regimens reported in the Summary of Product Characteristics (SmPC) did not achieve the target for patients treated with doses < 6 mg/kg. Conclusions: Hemato-oncologic pediatric patients require increased fluconazole doses to attain therapeutic efficacy. These results warrant clinical validation and should be confirmed by assessing a larger number of patients. Full article
Show Figures

Figure 1

14 pages, 3373 KB  
Article
Predicting the Effect of Meropenem Against Klebsiella pneumoniae Using Minimum Inhibitory Concentrations Determined at High Inocula
by Maria V. Golikova, Kamilla N. Alieva, Elena N. Strukova, Julia R. Savelieva, Daria A. Kondratieva, Svetlana A. Dovzhenko, Mikhail B. Kobrin, Vladimir A. Ageevets, Alisa A. Avdeeva and Stephen H. Zinner
Antibiotics 2025, 14(3), 258; https://doi.org/10.3390/antibiotics14030258 - 3 Mar 2025
Cited by 1 | Viewed by 2655
Abstract
Background/Objectives: Assessing antibiotic MICs at high bacterial counts is likely to disclose hidden bacterial resistance and the inoculum effect if present and therefore also reveal potential decreased antibiotic effectiveness. In the current study, we evaluated the predictive potential of MICs determined at high [...] Read more.
Background/Objectives: Assessing antibiotic MICs at high bacterial counts is likely to disclose hidden bacterial resistance and the inoculum effect if present and therefore also reveal potential decreased antibiotic effectiveness. In the current study, we evaluated the predictive potential of MICs determined at high bacterial inocula to evaluate meropenem effectiveness and emergence of resistance in Klebsiella pneumoniae. Methods: Nine carbapenemase-free or carbapenemase-producing K. pneumoniae strains were exposed to meropenem in an in vitro hollow-fiber infection model (HFIM). The treatment effects were correlated with simulated antibiotic ratios of the area under the concentration–time curve (AUC) to the MIC (AUC/MIC) and to MICs determined at high inocula (AUC/MICHI). Results: Based on MICs determined at standard inocula, meropenem effects at different AUC/MIC ratios for both carbapenemase-free and carbapenemase-producing K. pneumoniae strains were stratified and could not be described by a single relationship. In contrast, when AUC/MICHI ratios were used, a single relationship with the antibiotic effect was obtained for all tested strains. Similarly, the emergence of meropenem resistance in HFIM was concordant with AUC/MICHI, but not with AUC/MIC ratios. Conclusions: MICs determined at high bacterial inocula enable the prediction of meropenem effects both for carbapenemase-free and for carbapenemase-producing K. pneumoniae strains. Also, MICs at standard and high inocula can identify carbapenemase-producing strains by revealing the inoculum effect. Full article
Show Figures

Figure 1

13 pages, 1268 KB  
Article
In Vitro Dynamic Model Evaluation of Meropenem Alone and in Combination with Avibactam Against Carbapenemase-Producing Klebsiella pneumoniae
by Elena N. Strukova, Yury A. Portnoy, Maria V. Golikova and Stephen H. Zinner
Pharmaceuticals 2024, 17(12), 1683; https://doi.org/10.3390/ph17121683 - 13 Dec 2024
Viewed by 1531
Abstract
Background: A potential strategy to maintain the efficacy of carbapenems against carbapenemase-producing Klebsiella pneumoniae (CPKP) is their combination with carbapenemase inhibitors. To address these issues, the effectiveness of a novel combination of meropenem with avibactam against CPKP was studied. Additionally, the applicability of [...] Read more.
Background: A potential strategy to maintain the efficacy of carbapenems against carbapenemase-producing Klebsiella pneumoniae (CPKP) is their combination with carbapenemase inhibitors. To address these issues, the effectiveness of a novel combination of meropenem with avibactam against CPKP was studied. Additionally, the applicability of a pharmacokinetically-based approach to antibiotic/inhibitor minimum inhibitory concentration (MIC) determinations to better predict efficacy was examined. Methods: CPKP strains were exposed to meropenem alone or in combination with avibactam in an in vitro hollow-fiber infection model. Treatment effects were correlated with simulated antibiotic and antibiotic/inhibitor combination ratios of the area under the concentration–time curve (AUC) to the MIC (AUC/MIC). All MICs were determined at standard and at high inocula; combination MICs were determined using the conventional approach with fixed avibactam concentration or using the pharmacokinetic (PK)-based approach with a fixed meropenem-to-avibactam concentration ratio, equal to the respective drug therapeutic AUC ratios. Results: Meropenem alone was not effective even against a “susceptible” CPKP strain. The addition of avibactam significantly improved both meropenem MICs and its effectiveness. The effects of meropenem alone and in combination with avibactam (merged data) correlated well with AUC/MIC ratios only when MICs were determined at high inocula and using the PK-based approach (r2 0.97); the correlation was worse with the conventional approach (r2 0.73). Conclusions: The effectiveness of meropenem/avibactam against CPKP is promising. A single “effect–AUC/MIC” relationship useful for predicting meropenem efficacy (alone or in combination with avibactam) was obtained using MICs at high inocula and combination MICs determined using a PK-based approach. Full article
Show Figures

Figure 1

13 pages, 1219 KB  
Article
Characterization of a New Hsp110 Inhibitor as a Potential Antifungal
by Cancan Sun, Yi Li, Justin M. Kidd, Jizhong Han, Liangliang Ding, Aaron E. May, Lei Zhou and Qinglian Liu
J. Fungi 2024, 10(11), 732; https://doi.org/10.3390/jof10110732 - 23 Oct 2024
Cited by 1 | Viewed by 1693
Abstract
Fungal infections present a significant global health challenge, prompting ongoing research to discover innovative antifungal agents. The 110 kDa heat shock proteins (Hsp110s) are molecular chaperones essential for maintaining cellular protein homeostasis in eukaryotes. Fungal Hsp110s have emerged as a promising target for [...] Read more.
Fungal infections present a significant global health challenge, prompting ongoing research to discover innovative antifungal agents. The 110 kDa heat shock proteins (Hsp110s) are molecular chaperones essential for maintaining cellular protein homeostasis in eukaryotes. Fungal Hsp110s have emerged as a promising target for innovative antifungal strategies. Notably, 2H stands out as a promising candidate in the endeavor to target Hsp110s and combat fungal infections. Our study reveals that 2H exhibits broad-spectrum antifungal activity, effectively disrupting the in vitro chaperone activity of Hsp110 from Candida auris and inhibiting the growth of Cryptococcus neoformans. Pharmacokinetic analysis indicates that oral administration of 2H may offer enhanced efficacy compared to intravenous delivery, emphasizing the importance of optimizing the AUC/MIC ratio for advancing its clinical therapy. Full article
(This article belongs to the Special Issue New Discovery on Antifungal Drugs)
Show Figures

Figure 1

20 pages, 2608 KB  
Article
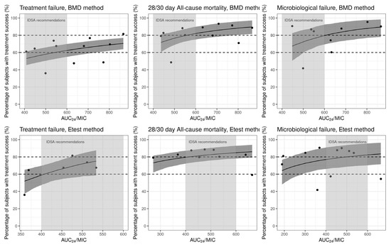
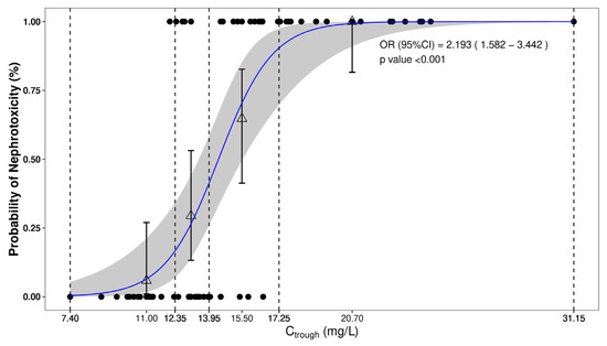
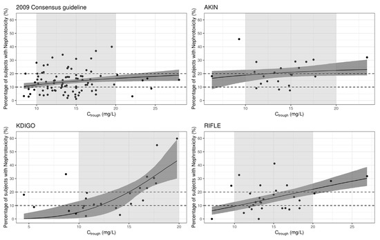
Is It Still Beneficial to Monitor the Trough Concentration of Vancomycin? A Quantitative Meta-Analysis of Nephrotoxicity and Efficacy
by Wanqiu Yang, Kaiting Zhang, Yuancheng Chen, Yaxin Fan and Jing Zhang
Antibiotics 2024, 13(6), 497; https://doi.org/10.3390/antibiotics13060497 - 28 May 2024
Cited by 2 | Viewed by 3476
Abstract
This study conducted a quantitative meta-analysis to investigate the association of vancomycin indicators, particularly area under the curve over 24 h (AUC24) and trough concentrations (Ctrough), and their relationship with both nephrotoxicity and efficacy. Literature research was performed in [...] Read more.
This study conducted a quantitative meta-analysis to investigate the association of vancomycin indicators, particularly area under the curve over 24 h (AUC24) and trough concentrations (Ctrough), and their relationship with both nephrotoxicity and efficacy. Literature research was performed in PubMed and Web of Science on vancomycin nephrotoxicity and efficacy in adult inpatients. Vancomycin Ctrough, AUC24, AUC24/minimum inhibitory concentration (MIC), nephrotoxicity evaluation and treatment outcomes were extracted. Logistic regression and Emax models were conducted, stratified by evaluation criterion for nephrotoxicity and primary outcomes for efficacy. Among 100 publications on nephrotoxicity, 29 focused on AUC24 and 97 on Ctrough, while of 74 publications on efficacy, 27 reported AUC24/MIC and 68 reported Ctrough. The logistic regression analysis indicated a significant association between nephrotoxicity and vancomycin Ctrough (odds ratio = 2.193; 95% CI 1.582–3.442, p < 0.001). The receiver operating characteristic curve had an area of 0.90, with a cut-off point of 14.55 mg/L. Additionally, 92.3% of the groups with a mean AUC24 within 400–600 mg·h/L showed a mean Ctrough of 10–20 mg/L. However, a subtle, non-statistically significant association was observed between the AUC24 and nephrotoxicity, as well as between AUC24/MIC and Ctrough concerning treatment outcomes. Our findings suggest that monitoring vancomycin Ctrough remains a beneficial and valuable approach to proactively identifying patients at risk of nephrotoxicity, particularly when Ctrough exceeds 15 mg/L. Ctrough can serve as a surrogate for AUC24 to some extent. However, no definitive cut-off values were identified for AUC24 concerning nephrotoxicity or for Ctrough and AUC24/MIC regarding efficacy. Full article
(This article belongs to the Section Pharmacokinetics and Pharmacodynamics of Drugs)
Show Figures

Figure 1

15 pages, 4711 KB  
Article
Drug Exposure and Susceptibility of Pyrazinamide Correlate with Treatment Response in Pyrazinamide-Susceptible Patients with Multidrug-Resistant Tuberculosis
by Shulan Dong, Ge Shao, Lina Davies Forsman, Sainan Wang, Shanshan Wang, Jiayi Cao, Ziwei Bao, Judith Bruchfeld, Jan-Willem C. Alffenaar, Jia Liu, Yi Hu and Meiying Wu
Pharmaceutics 2024, 16(1), 144; https://doi.org/10.3390/pharmaceutics16010144 - 21 Jan 2024
Cited by 3 | Viewed by 2215
Abstract
Exploring the influence of pyrazinamide exposure and susceptibility on treatment response is crucial for optimizing the management of multidrug-resistant tuberculosis (MDR-TB). This study aimed to investigate the association between pyrazinamide exposure, susceptibility, and response to MDR-TB treatment, as well as find clinical thresholds [...] Read more.
Exploring the influence of pyrazinamide exposure and susceptibility on treatment response is crucial for optimizing the management of multidrug-resistant tuberculosis (MDR-TB). This study aimed to investigate the association between pyrazinamide exposure, susceptibility, and response to MDR-TB treatment, as well as find clinical thresholds for pyrazinamide. A prospective multi-center cohort study of participants with MDR-TB using pyrazinamide was conducted in three TB-designated hospitals in China. Univariate and multivariate analyses were applied to investigate the associations. Classification and Regression Tree (CART) analysis was used to identify clinical thresholds, which were further evaluated by multivariate analysis and receiver operating characteristic (ROC) curves. The study included 143 patients with MDR-TB. The exposure/susceptibility ratio of pyrazinamide was associated with two-month culture conversion (adjusted risk ratio (aRR), 1.1; 95% confidence interval (CI), 1.07–1.20), six-month culture conversion (aRR, 1.1; 95% CI, 1.06–1.16), treatment success (aRR, 1.07; 95% CI, 1.03–1.10), as well as culture conversion time (adjusted hazard ratio (aHR) 1.18; 95% CI,1.14–1.23). The threshold for optimal improvement in sputum culture results at the sixth month of treatment was determined to be a pyrazinamide AUC0–24h/MIC ratio of 7.8. In conclusion, the exposure/susceptibility ratio of pyrazinamide is associated with the treatment response of MDR-TB, which may change in different Group A drug-based regimens. Full article
Show Figures

Figure 1

13 pages, 2263 KB  
Article
Pharmacodynamics of Doripenem Alone and in Combination with Relebactam in an In Vitro Hollow-Fiber Dynamic Model: Emergence of Resistance of Carbapenemase-Producing Klebsiella pneumoniae and the Inoculum Effect
by Elena N. Strukova, Maria V. Golikova, Svetlana A. Dovzhenko, Mikhail B. Kobrin and Stephen H. Zinner
Antibiotics 2023, 12(12), 1705; https://doi.org/10.3390/antibiotics12121705 - 7 Dec 2023
Cited by 3 | Viewed by 1450
Abstract
The emergence of bacteria resistant to beta-lactam/beta-lactamase inhibitor combinations is insufficiently studied, wherein the role of the inoculum effect (IE) in decreased efficacy is unclear. To address these issues, 5-day treatments with doripenem and doripenem/relebactam combination at different ratios of the agents were [...] Read more.
The emergence of bacteria resistant to beta-lactam/beta-lactamase inhibitor combinations is insufficiently studied, wherein the role of the inoculum effect (IE) in decreased efficacy is unclear. To address these issues, 5-day treatments with doripenem and doripenem/relebactam combination at different ratios of the agents were simulated in a hollow-fiber dynamic model against carbapenemase-producing K. pneumoniae at standard and high inocula. Minimal inhibitory concentrations (MICs) of doripenem alone and in the presence of relebactam at two inocula were determined. Combination MICs were tested using traditional (fixed relebactam concentration) and pharmacokinetic-based approach (fixed doripenem-to-relebactam concentration ratio equal to the therapeutic 24-h area under the concentration-time curve (AUC) ratio). In all experiments, resistant subpopulations were noted, but combined simulations reduced their numbers. With doripenem, the IE was apparent for both K. pneumoniae isolates in combined treatments for one strain. The pharmacokinetic-based approach to combination MIC estimation compared to traditional showed stronger correlation between DOSE/MIC and emergence of resistance. These results support (1) the constraint of relebactam combined with doripenem against the emergence of resistance and IE; (2) the applicability of a pharmacokinetic-based approach to estimate carbapenem MICs in the presence of an inhibitor to predict the IE and to describe the patterns of resistance occurrence. Full article
(This article belongs to the Special Issue Overcoming Bacterial Resistance Using Antibiotic Combinations)
Show Figures

Figure 1

15 pages, 814 KB  
Article
Role of a Real-Time TDM-Based Expert Clinical Pharmacological Advice Program in Optimizing the Early Pharmacokinetic/Pharmacodynamic Target Attainment of Continuous Infusion Beta-Lactams among Orthotopic Liver Transplant Recipients with Documented or Suspected Gram-Negative Infections
by Milo Gatti, Matteo Rinaldi, Cristiana Laici, Antonio Siniscalchi, Pierluigi Viale and Federico Pea
Antibiotics 2023, 12(11), 1599; https://doi.org/10.3390/antibiotics12111599 - 7 Nov 2023
Cited by 11 | Viewed by 2422
Abstract
(1) Objectives: To describe the attainment of optimal pharmacokinetic/pharmacodynamic (PK/PD) targets in orthotopic liver transplant (OLT) recipients treated with continuous infusion (CI) beta-lactams optimized using a real-time therapeutic drug monitoring (TDM)-guided expert clinical pharmacological advice (ECPA) program during the early post-surgical period. (2) [...] Read more.
(1) Objectives: To describe the attainment of optimal pharmacokinetic/pharmacodynamic (PK/PD) targets in orthotopic liver transplant (OLT) recipients treated with continuous infusion (CI) beta-lactams optimized using a real-time therapeutic drug monitoring (TDM)-guided expert clinical pharmacological advice (ECPA) program during the early post-surgical period. (2) Methods: OLT recipients admitted to the post-transplant intensive care unit over the period of July 2021–September 2023, receiving empirical or targeted therapy with CI meropenem, piperacillin-tazobactam, meropenem-vaborbactam, or ceftazidime-avibactam optimized using a real-time TDM-guided ECPA program, were retrospectively retrieved. Steady-state beta-lactam (BL) and/or beta-lactamase inhibitor (BLI) plasma concentrations (Css) were measured, and the Css/MIC ratio was selected as the best PK/PD target for beta-lactam efficacy. The PK/PD target of meropenem was defined as being optimal when attaining a fCss/MIC ratio > 4. The joint PK/PD target of the BL/BLI combinations (namely piperacillin-tazobactam, ceftazidime-avibactam, and meropenem-vaborbactam) was defined as being optimal when the fCss/MIC ratio > 4 of the BL and the fCss/target concentration (CT) ratio > 1 of tazobactam or avibactam, or the fAUC/CT ratio > 24 of vaborbactam were simultaneously attained. Multivariate logistic regression analysis was performed for testing potential variables that were associated with a failure in attaining early (i.e., at first TDM assessment) optimal PK/PD targets. (3) Results: Overall, 77 critically ill OLT recipients (median age, 57 years; male, 63.6%; median MELD score at transplantation, 17 points) receiving a total of 100 beta-lactam treatment courses, were included. Beta-lactam therapy was targeted in 43% of cases. Beta-lactam dosing adjustments were provided in 76 out of 100 first TDM assessments (76.0%; 69.0% decreases and 7.0% increases), and overall, in 134 out of 245 total ECPAs (54.7%). Optimal PK/PD target was attained early in 88% of treatment courses, and throughout beta-lactam therapy in 89% of cases. Augmented renal clearance (ARC; OR 7.64; 95%CI 1.32–44.13) and MIC values above the EUCAST clinical breakpoint (OR 91.55; 95%CI 7.12–1177.12) emerged as independent predictors of failure in attaining early optimal beta-lactam PK/PD targets. (4) Conclusion: A real-time TDM-guided ECPA program allowed for the attainment of optimal beta-lactam PK/PD targets in approximately 90% of critically ill OLT recipients treated with CI beta-lactams during the early post-transplant period. OLT recipients having ARC or being affected by pathogens with MIC values above the EUCAST clinical breakpoint were at high risk for failure in attaining early optimal beta-lactam PK/PD targets. Larger prospective studies are warranted for confirming our findings. Full article
(This article belongs to the Special Issue Antibiotics Use in Infection and Public Health)
Show Figures

Figure 1

10 pages, 259 KB  
Brief Report
Assessing Clinical Outcomes of Vancomycin Treatment in Adult Patients with Vancomycin-Susceptible Enterococcus faecium Bacteremia
by Hiroshi Sasano and Kazuhiko Hanada
Antibiotics 2023, 12(11), 1577; https://doi.org/10.3390/antibiotics12111577 - 29 Oct 2023
Cited by 4 | Viewed by 2183
Abstract
Purpose: Enterococcal bacteremia is associated with high mortality and long-term hospitalization. Here, we aimed to investigate the clinical outcomes and evaluate the risk factors for mortality in adult patients treated with vancomycin (VCM) for vancomycin-susceptible Enterococcus faecium (E. faecium) bacteremia. Methods: [...] Read more.
Purpose: Enterococcal bacteremia is associated with high mortality and long-term hospitalization. Here, we aimed to investigate the clinical outcomes and evaluate the risk factors for mortality in adult patients treated with vancomycin (VCM) for vancomycin-susceptible Enterococcus faecium (E. faecium) bacteremia. Methods: This is a retrospective, record-based study. The data were collected from inpatients at a single university hospital between January 2009 and December 2020. The area under the curve (AUC) of VCM was calculated using the Bayesian approach. The primary outcome was a 30-day in-hospital mortality. Results: A univariate analysis showed significant differences in the concomitant use of vasopressors, history of the use of no clinically relevant activity antimicrobial agents against E. faecium, VCM plasma trough concentration, and renal dysfunction during VCM administration between the 30-day in-hospital mortality and survival groups. However, the groups’ AUC/minimum inhibitory concentration (MIC) were not significantly different. A multivariate analysis suggested that concomitant vasopressors may be an independent risk factor for 30-day in-hospital mortality (odds ratio, 7.81; 95% confidence interval, 1.16–52.9; p = 0.035). The VCM plasma trough concentrations and the AUC/MIC in the mortality group were higher than those in the surviving group. No association between the AUC/MIC and the treatment effect in E. faecium bacteremia was assumed, because the known, target AUC/MIC were sufficiently achieved in the mortality group. Conclusions: There may be no association between the AUC/MIC and the treatment effect in E. faecium bacteremia. When an immunocompromised host develops E. faecium bacteremia with septic shock, especially when a vasopressor is used in a patient with unstable hemodynamics, it may be difficult to treat it, despite efforts to ensure the appropriate AUC/MIC and therapeutic vancomycin concentration levels. Full article
(This article belongs to the Special Issue Antimicrobial Stewardship and Use in Healthcare Setting)
8 pages, 554 KB  
Article
Real-Life Vancomycin Therapeutic Drug Monitoring in Coagulase-Negative Staphylococcal Bacteremia in Neonatal and Pediatric Intensive Care Unit: Are We Underestimating Augmented Renal Clearance?
by Claudia Sette, Marcello Mariani, Luca Grasselli, Alessio Mesini, Carolina Saffioti, Chiara Russo, Roberto Bandettini, Andrea Moscatelli, Luca A. Ramenghi and Elio Castagnola
Antibiotics 2023, 12(11), 1566; https://doi.org/10.3390/antibiotics12111566 - 26 Oct 2023
Cited by 2 | Viewed by 2399
Abstract
Bloodstream infections (BSI) from coagulase-negative-staphylococci (CoNS) are among the most frequent healthcare-related infections. Their treatment involves the use of vancomycin, a molecule whose optimal pharmacokinetic/pharmacodynamic (PK/PD) target for efficacy and safety is an area-under-curve/minimum inhibitory concentration (AUC/MIC) ratio ≥ 400 with AUC < [...] Read more.
Bloodstream infections (BSI) from coagulase-negative-staphylococci (CoNS) are among the most frequent healthcare-related infections. Their treatment involves the use of vancomycin, a molecule whose optimal pharmacokinetic/pharmacodynamic (PK/PD) target for efficacy and safety is an area-under-curve/minimum inhibitory concentration (AUC/MIC) ratio ≥ 400 with AUC < 600. BSIs from CoNS in pediatric and neonatal intensive care unit that occurred at the Gaslini Institute over five years were evaluated to investigate the efficacy of vancomycin therapy in terms of achieving the desired PK/PD target and determining whether any variables interfere with the achievement of this target. AUC/MIC ≥ 400 with AUC < 600 at 48 and 72 h after therapy initiation was achieved in only 21% of the neonatal population and 25% of the pediatric population. In the pediatric population, an inverse correlation emerged between estimated glomerular filtration rate (eGFR) and achieved AUC levels. Median eGFR at 72 h was significantly higher (expression of hyperfiltration) in events with AUC < 400, compared with those with AUC ≥ 400 (p < 0.001). A cut-off value of eGFR in the first 72 h has been identified (145 mL/min/1.73 m2), beyond which it is extremely unlikely to achieve an AUC ≥ 400, and therefore a higher dose or a different antibiotic should be chosen. Full article
(This article belongs to the Special Issue Therapeutic Drug Monitoring in Intensive Care)
Show Figures

Figure 1

13 pages, 2949 KB  
Article
Pharmacokinetic, Pharmacokinetic/Pharmacodynamic, and Safety Investigations of Lefamulin in Healthy Chinese Subjects
by Yingying Hu, Qiong Wei, Xingchen Bian, Xinyi Yang, Jicheng Yu, Jingjing Wang, Haijing Yang, Guoying Cao, Xiaojie Wu and Jing Zhang
Antibiotics 2023, 12(9), 1391; https://doi.org/10.3390/antibiotics12091391 - 31 Aug 2023
Cited by 4 | Viewed by 2480
Abstract
This study aimed to explore the pharmacokinetics (PK) and safety of oral (PO) and intravenous (IV) lefamulin in healthy Chinese subjects and to evaluate the efficacy of the intravenous administration regimen using pharmacokinetic/pharmacodynamic (PK/PD) analysis. This study was a randomized, open-label, single- and [...] Read more.
This study aimed to explore the pharmacokinetics (PK) and safety of oral (PO) and intravenous (IV) lefamulin in healthy Chinese subjects and to evaluate the efficacy of the intravenous administration regimen using pharmacokinetic/pharmacodynamic (PK/PD) analysis. This study was a randomized, open-label, single- and multiple-dose, intravenous and oral administration study. PK parameters were calculated, and the probability of target attainment (PTA) and the cumulative fraction of response (CFR) after IV administration of lefamulin 150 mg 1 h q12 h were analyzed with Monte Carlo simulations. Lefamulin exhibited extensive distribution. The mean steady-state AUC0–24 h of 150 mg lefamulin IV and 600 mg lefamulin PO were 10.03 and 13.96 μg·h/mL, respectively. For Streptococcus pneumoniae and Staphylococcus aureus, based on the free-drug AUC over MIC ratio (fAUC/MIC) target of 1-log10 cfu reduction, the PK/PD breakpoints were 0.25 and 0.125 mg/L, respectively. The CFR was over 90% for both types of strains with 95% protein binding rate, suggesting that the regimen was microbiologically effective. Lefamulin was safe and well-tolerated. The PK of lefamulin in healthy Chinese subjects were consistent with that in foreign countries. Lefamulin demonstrated the microbiological effectiveness against Streptococcus pneumoniae and Staphylococcus aureus. Full article
Show Figures

Figure 1

9 pages, 522 KB  
Article
Pharmacokinetics of Danofloxacin in Gushi Chickens after Single Oral and Intravenous Administration
by Jun-Cheng Chen, Fang Yang, Guang-Hui Li, Ming-Hui Duan, Ze-En Li, Yan Dai, Mei Zhang and Fan Yang
Metabolites 2023, 13(8), 906; https://doi.org/10.3390/metabo13080906 - 2 Aug 2023
Cited by 2 | Viewed by 1990
Abstract
This study aimed to determine the pharmacokinetics of danofloxacin in Gushi chickens after a single oral (PO) and intravenous (IV) dose at 5 mg/kg body weight (BW). Thirty-two Gushi chickens, aged 20 weeks, were selected and divided into two groups at random, with [...] Read more.
This study aimed to determine the pharmacokinetics of danofloxacin in Gushi chickens after a single oral (PO) and intravenous (IV) dose at 5 mg/kg body weight (BW). Thirty-two Gushi chickens, aged 20 weeks, were selected and divided into two groups at random, with each group consisting of 16 chickens, evenly distributed between males and females. Following danofloxacin administration, blood samples were taken at predetermined time intervals and the plasma was separated. The concentrations of danofloxacin in plasma were quantified by HPLC with a fluorescence detector. Then the concentrations versus time data were subjected to non-compartmental analysis (NCA) using Phoenix software (version: 8.1.0). After administering danofloxacin orally at a dose of 5 mg/kg BW to Gushi chickens, our results demonstrated that the peak concentration reached 0.53 μg/mL at 4 h. The half-life of absorption (t1/2ka) was determined to be 2.37 ± 1.60 h, and the bioavailability (F) was calculated as 40.12 ± 15.83%. For both oral and intravenous administration, the area under the concentration–time curve (AUC0-∞) was determined to be 4.72 ± 1.86 and 11.76 ± 3.25 h·µg/mL, respectively. The corresponding elimination half-life (t1/2λz) was measured as 11.24 ± 3.90 and 10.17 ± 3.72 h. Moreover, the mean residence time (MRT) was calculated as 10.20 ± 2.47 and 7.05 ± 1.97 h for these respective routes. Based on the calculated AUC/MIC ratio values, it can be inferred that the 5 mg/kg BW dosage of danofloxacin, whether administered orally or intravenously, is expected to effectively treat Escherichia coli and Pasteurella multocida infections in Gushi chickens. Full article
(This article belongs to the Special Issue Veterinary Drug Residue Detection and Pharmacokinetics)
Show Figures

Figure 1

8 pages, 457 KB  
Brief Report
Evaluation of Real-World Vancomycin Dosing and Attainment of Therapeutic Drug Monitoring Targets
by Nicole Bradley and Kimberly Ng
Pharmacy 2023, 11(3), 95; https://doi.org/10.3390/pharmacy11030095 - 6 Jun 2023
Cited by 7 | Viewed by 5024
Abstract
In 2020, the Infectious Diseases Society of America (IDSA) recommended a change in vancomycin therapeutic drug monitoring from trough-based to AUC/MIC-based to optimize vancomycin’s efficacy and reduce nephrotoxicity. Many hospitals have not implemented this change due to barriers such as the cost of [...] Read more.
In 2020, the Infectious Diseases Society of America (IDSA) recommended a change in vancomycin therapeutic drug monitoring from trough-based to AUC/MIC-based to optimize vancomycin’s efficacy and reduce nephrotoxicity. Many hospitals have not implemented this change due to barriers such as the cost of AUC/MIC software and lack of provider familiarity. The purpose of this study was to determine the rate of AUC/MIC ratio target attainment using current trough-based vancomycin dosing practices at a city hospital. The rates of acute kidney injury (AKI) were also evaluated. Vancomycin orders were reviewed retrospectively to determine the expected AUC/MIC ratios using first-order pharmacokinetic equations over a 7-month period. Orders were excluded if they were written for a one-time dose, for individuals less than 18 years of age, or for those on hemodialysis. A total of 305 vancomycin orders were included in this review. Overall, 27.9% (85/305) of vancomycin orders attained the AUC/MIC ratio target of 400–600 mg·h/L as recommended by the guidelines. Nearly 35% (106/305) achieved AUC/MIC ratios below 400 mg·h/L and 37.4% (114/305) achieved AUC/MIC ratios above 600 mg·h/L. Orders for obese patients were significantly more likely to have below the target AUC/MIC ratios (68% vs. 23.9%, X2 48.48, p < 0.00001) and non-obese patients were significantly more likely to have above the target AUC/MIC ratios (45.7% vs. 12%, X2 27.36, p < 0.00001). The overall rate of acute kidney injury observed was 2.6%. Most vancomycin orders did not attain therapeutic drug monitoring targets, reflecting the ongoing clinical challenge of optimizing vancomycin doses and implementing new guideline recommendations. Full article
Show Figures

Figure 1

12 pages, 1620 KB  
Article
Physiologically-Based Pharmacokinetic Modelling to Predict the Pharmacokinetics and Pharmacodynamics of Linezolid in Adults and Children with Tuberculous Meningitis
by Carlijn H. C. Litjens, Laurens F. M. Verscheijden, Elin M. Svensson, Petra H. H. van den Broek, Hedwig van Hove, Jan B. Koenderink, Frans G. M. Russel, Rob E. Aarnoutse and Lindsey H. M. te Brake
Antibiotics 2023, 12(4), 702; https://doi.org/10.3390/antibiotics12040702 - 3 Apr 2023
Cited by 3 | Viewed by 3622
Abstract
Linezolid is used off-label for treatment of central nervous system infections. However, its pharmacokinetics and target attainment in cranial cerebrospinal fluid (CSF) in tuberculous meningitis patients is unknown. This study aimed to predict linezolid cranial CSF concentrations and assess attainment of pharmacodynamic (PD) [...] Read more.
Linezolid is used off-label for treatment of central nervous system infections. However, its pharmacokinetics and target attainment in cranial cerebrospinal fluid (CSF) in tuberculous meningitis patients is unknown. This study aimed to predict linezolid cranial CSF concentrations and assess attainment of pharmacodynamic (PD) thresholds (AUC:MIC of >119) in plasma and cranial CSF of adults and children with tuberculous meningitis. A physiologically based pharmacokinetic (PBPK) model was developed to predict linezolid cranial CSF profiles based on reported plasma concentrations. Simulated steady-state PK curves in plasma and cranial CSF after linezolid doses of 300 mg BID, 600 mg BID, and 1200 mg QD in adults resulted in geometric mean AUC:MIC ratios in plasma of 118, 281, and 262 and mean cranial CSF AUC:MIC ratios of 74, 181, and 166, respectively. In children using ~10 mg/kg BID linezolid, AUC:MIC values at steady-state in plasma and cranial CSF were 202 and 135, respectively. Our model predicts that 1200 mg per day in adults, either 600 mg BID or 1200 mg QD, results in reasonable (87%) target attainment in cranial CSF. Target attainment in our simulated paediatric population was moderate (56% in cranial CSF). Our PBPK model can support linezolid dose optimization efforts by simulating target attainment close to the site of TBM disease. Full article
(This article belongs to the Special Issue Clinical Pharmacokinetics of Antibiotics)
Show Figures

Figure 1

Back to TopTop