Sign in to use this feature.

Years

Between: -

Subjects

remove_circle_outline
remove_circle_outline
remove_circle_outline
remove_circle_outline
remove_circle_outline

Journals

Article Types

Countries / Regions

Search Results (35)

Search Parameters:
Keywords = AOTF

Order results
Result details
Results per page
Select all
Export citation of selected articles as:
12 pages, 2248 KB  
Article
Cost-Effective and High-Throughput WSPRi Sensing System Based on Multi-Monochromatic LEDs and Adaptive Second-Order Fitting Algorithm
by Chenglong Guo, Jiacong Xiao, Jianchun Zeng, Youjun Zeng and Yi Liu
Sensors 2026, 26(1), 36; https://doi.org/10.3390/s26010036 - 20 Dec 2025
Viewed by 353
Abstract
Surface Plasmon Resonance imaging (SPRi) is a powerful label-free technique for high-throughput biochemical analysis. Wavelength modulation is particularly suitable for SPRi due to its wide dynamic range and robustness to fabrication tolerances. However, conventional systems relying on tunable filters (e.g., AOTF, LCTF) suffer [...] Read more.
Surface Plasmon Resonance imaging (SPRi) is a powerful label-free technique for high-throughput biochemical analysis. Wavelength modulation is particularly suitable for SPRi due to its wide dynamic range and robustness to fabrication tolerances. However, conventional systems relying on tunable filters (e.g., AOTF, LCTF) suffer from high cost, complexity, and limited temporal resolution. To overcome these drawbacks, we developed a rapid wavelength-modulation SPRi system using a multi-LED source and an adaptive second-order fitting (ASF) algorithm. The system covers the 730–805 nm spectrum with five LEDs. The ASF algorithm first performs a coarse full-spectrum scan to locate the resonance wavelength, then dynamically selects an optimal three-LED subset for fast second-order fitting, enabling accurate reconstruction of resonance wavelength without mechanical scanning. This approach significantly reduces cost and complexity while achieving a scanning cycle of 105 ms, RI resolution of 5.54 × 10−6 RIU, dynamic range of 0.0241 RIU, and excellent multi-channel consistency. The system has been successfully applied to monitor multi-channel antibody–antigen interactions in real time. Furthermore, it was used to detect cartilage oligomeric matrix protein (COMP) in synovial fluid, where an elevated concentration in an osteoarthritis sample versus a control aligned with its role as a cartilage catabolism marker. This work validates a practical and reliable platform for early diagnosis of osteoarthritis. Full article
(This article belongs to the Special Issue Recent Advances in Micro- and Nanofiber-Optic Sensors)
Show Figures

Figure 1

13 pages, 2337 KB  
Article
Underwater Sphere Classification Using AOTF-Based Multispectral LiDAR
by Yukai Ma, Hao Zhang, Rui Wang, Fashuai Li, Tingting He, Boyu Liu, Yicheng Wang and Fei Han
Photonics 2025, 12(10), 998; https://doi.org/10.3390/photonics12100998 - 10 Oct 2025
Viewed by 543
Abstract
Multispectral LiDAR (MSL) systems offer a significant advantage by actively capturing both spatial and spectral information. These systems offer significant promise in supporting the comprehensive analysis and precise classification of underwater targets. In this study, we build an MSL system based on an [...] Read more.
Multispectral LiDAR (MSL) systems offer a significant advantage by actively capturing both spatial and spectral information. These systems offer significant promise in supporting the comprehensive analysis and precise classification of underwater targets. In this study, we build an MSL system based on an acousto-optic tunable filter (AOTF) to investigate the feasibility of underwater sphere classification. The MSL prototype features a spectral resolution of 20 nm and 13 spectral channels, covering a range from 560 to 800 nm. Laboratory-based experiments were conducted to evaluate the accuracy of range measurements and the classification performance of the system. The spectral curves of nine distinct spheres acquired by the MSL were utilized for classification using a support vector machine (SVM). The experimental results indicate that classification using multispectral data yields a higher accuracy and Kappa coefficient. Finally, the point cloud acquired from scanning experiments further validated the MSL system’s performance. This finding preliminarily validates the feasibility of multispectral LiDAR for classifying submerged spherical targets. Full article
(This article belongs to the Special Issue Technologies and Applications of Optical Imaging)
Show Figures

Figure 1

16 pages, 1707 KB  
Article
An Overview of Analog and Digital RF Generator Techniques, Suitable for Space-Based AOTF Applications
by Jurgen Vanhamel
Appl. Sci. 2025, 15(15), 8739; https://doi.org/10.3390/app15158739 - 7 Aug 2025
Viewed by 1157
Abstract
The use of Acousto-Optical Tunable Filters (AOTFs) is well known in ground- and space-based applications. These devices are used in several optical instruments and payloads for monitoring and other purposes. To make use of the filter capability of the AOTF, a dedicated Radio [...] Read more.
The use of Acousto-Optical Tunable Filters (AOTFs) is well known in ground- and space-based applications. These devices are used in several optical instruments and payloads for monitoring and other purposes. To make use of the filter capability of the AOTF, a dedicated Radio Frequency (RF) chain, consisting of an RF generator and RF amplifier, is needed. An RF generator can be designed in several ways. However, the design of these steering devices for space applications comes with several difficulties and limitations. The mechanical stress due to shock and vibration, the temperature variation, as well as the vacuum environment and radiation levels in which these devices have to perform limits the selection of possible techniques. This paper aims at giving an in-depth overview of space-qualified RF generator techniques using Commercial-Off-The-Shelf available components that usable in the harsh environment of space and applicable in driving AOTFs. Several analog as well as digital generator principles are discussed, substantiated by test results. Full article
(This article belongs to the Special Issue Recent Advances in Space Instruments and Sensing Technology)
Show Figures

Figure 1

17 pages, 13853 KB  
Article
Investigation on the Full-Aperture Diffraction Efficiency of AOTF Based on Tellurium Dioxide Crystals
by Zhiyuan Mi, Huijie Zhao, Qi Guo, Zhoujun Zhong and Chengsheng Zhou
Photonics 2025, 12(4), 335; https://doi.org/10.3390/photonics12040335 - 2 Apr 2025
Viewed by 1064
Abstract
The influence of acoustic field distribution and temperature variations on the full-aperture diffraction efficiency of non-collinear acousto-optic tunable filters (AOTFs) was investigated based on tellurium dioxide crystals. The strong acoustic anisotropy of the crystal induces non-uniform acoustic energy distribution, limiting the overall diffraction [...] Read more.
The influence of acoustic field distribution and temperature variations on the full-aperture diffraction efficiency of non-collinear acousto-optic tunable filters (AOTFs) was investigated based on tellurium dioxide crystals. The strong acoustic anisotropy of the crystal induces non-uniform acoustic energy distribution, limiting the overall diffraction efficiency. To analyze this effect, the acoustic field distribution within a large-aperture AOTF was simulated, and the diffraction efficiency across different aperture regions was evaluated and experimentally validated. The results demonstrate that sound beam contraction and acoustic energy non-uniformity significantly reduce the peak diffraction efficiency and increase the power required to achieve high diffraction efficiency. Additionally, temperature-induced variations in acoustic velocity alter the acoustic field structure, leading to spatially non-uniform changes in diffraction efficiency. Both simulations and experimental measurements confirm that while the overall impact of temperature on full-aperture diffraction efficiency remains relatively small, localized variations are pronounced, highlighting potential inaccuracies in single-beam-based efficiency measurements. Full article
Show Figures

Figure 1

12 pages, 4205 KB  
Article
Design of Acoustic Absorbing Structures for Mercurous Halide-Based Acousto-Optic Tunable Filters
by Shujing Sun, Huijie Zhao, Qi Guo and Yijie Wang
Materials 2024, 17(22), 5606; https://doi.org/10.3390/ma17225606 - 16 Nov 2024
Cited by 1 | Viewed by 1124
Abstract
For the acousto-optic tunable filter (AOTF)-based spectral imaging systems, the diffraction efficiency of the AOTF is a primary factor affecting system throughput. Moreover, the distribution of the acoustic field within the AOTF fundamentally determines the device’s diffraction efficiency. Thus, the design of an [...] Read more.
For the acousto-optic tunable filter (AOTF)-based spectral imaging systems, the diffraction efficiency of the AOTF is a primary factor affecting system throughput. Moreover, the distribution of the acoustic field within the AOTF fundamentally determines the device’s diffraction efficiency. Thus, the design of an AOTF device including a transducer and absorber to achieve a uniform acoustic field distribution plays an important role in improving diffraction efficiency. This study proposed an acoustic absorbing structure using mercurous halide crystals’ strong acoustic anisotropy to realize the conversion from shear horizontal wave to surface wave at the boundary and rapid dissipation. Snell’s law for acoustically anisotropic media is employed to design the angle of the acoustic absorbing structure. Experiments of mercurous halide-based AOTF demonstrate that this absorbing structure can effectively enhance diffraction efficiency. Full article
Show Figures

Figure 1

13 pages, 4933 KB  
Article
Spatial-Dependent Spectral Response of Acousto-Optic Tunable Filters with Inhomogeneous Acoustic Distribution
by Shujing Sun, Huijie Zhao, Qi Guo and Yijie Wang
Materials 2024, 17(18), 4537; https://doi.org/10.3390/ma17184537 - 15 Sep 2024
Cited by 3 | Viewed by 1523
Abstract
The spectral response of an acousto-optic tunable filter (AOTF) is crucial for an AOTF based spectral imaging system. The acousto-optic (AO) interaction within the spatial-distributed area of the acoustic field determines the spectral response of the light incidence. Assuming an ideally uniform acoustic [...] Read more.
The spectral response of an acousto-optic tunable filter (AOTF) is crucial for an AOTF based spectral imaging system. The acousto-optic (AO) interaction within the spatial-distributed area of the acoustic field determines the spectral response of the light incidence. Assuming an ideally uniform acoustic field distribution, phase-matching geometries can be applied to calculate the anisotropic Bragg diffraction in AO interactions, determining the wavelength and direction of the diffracted light. In this ideal scenario, the wavelength of the diffracted light depends solely on the direction of the incident light. However, due to the non-ideal nature of the acoustic field, the wavelength of the diffracted light exhibits slight variations with incident position. In this paper, an analytical model is proposed to calculate the spatial-dependent spectral response of the diffracted light under non-uniform acoustic field distribution. The study computes the variation pattern of the diffracted light amplitude caused by the inhomogeneous acoustic distribution. The theoretical considerations and computational model are confirmed by AOTF frequency scanning experiments. The study demonstrates that the distribution of the acoustic field leads to non-uniform spatial-spectral response in the AOTF, and the spatial AO interaction computational model can provide data support for calibrating AOTF systems in imaging applications. Full article
Show Figures

Figure 1

15 pages, 5479 KB  
Article
Evaluation of the Tellurium Dioxide Crystal Shear Acoustic Wave Attenuation at 40–140 MHz Frequency
by Zhiyuan Mi, Huijie Zhao, Qi Guo, Yue Yu and Yaoxing Liang
Materials 2024, 17(16), 4082; https://doi.org/10.3390/ma17164082 - 16 Aug 2024
Cited by 2 | Viewed by 2330
Abstract
The attenuation of slow shear acoustic waves in the (110) plane of tellurium dioxide (TeO2) crystals was investigated. The strong acoustic anisotropy of TeO2 crystals results in a non-uniform acoustic power distribution, which can introduce errors in conventional acousto-optic testing [...] Read more.
The attenuation of slow shear acoustic waves in the (110) plane of tellurium dioxide (TeO2) crystals was investigated. The strong acoustic anisotropy of TeO2 crystals results in a non-uniform acoustic power distribution, which can introduce errors in conventional acousto-optic testing methods. In this study, we propose a general method to measure the acoustic power distribution along the propagation direction of acoustic waves in non-collinear acousto-optic tunable filters (AOTFs). Additionally, we analyze the errors introduced by the non-uniform acoustic field resulting from strong acoustic anisotropy in acousto-optic testing methods. The measurements were carried out for a crystal cutoff angle of 6.5° from the [110] axis, for the ultrasound frequency range from 40 to 140 MHz. The attenuation coefficients were determined and their quadratic dependence on ultrasound frequency was confirmed. Full article
Show Figures

Figure 1

28 pages, 11142 KB  
Article
Real-Time Registration of Unmanned Aerial Vehicle Hyperspectral Remote Sensing Images Using an Acousto-Optic Tunable Filter Spectrometer
by Hong Liu, Bingliang Hu, Xingsong Hou, Tao Yu, Zhoufeng Zhang, Xiao Liu, Jiacheng Liu and Xueji Wang
Drones 2024, 8(7), 329; https://doi.org/10.3390/drones8070329 - 17 Jul 2024
Cited by 2 | Viewed by 2700
Abstract
Differences in field of view may occur during unmanned aerial remote sensing imaging applications with acousto-optic tunable filter (AOTF) spectral imagers using zoom lenses. These differences may stem from image size deformation caused by the zoom lens, image drift caused by AOTF wavelength [...] Read more.
Differences in field of view may occur during unmanned aerial remote sensing imaging applications with acousto-optic tunable filter (AOTF) spectral imagers using zoom lenses. These differences may stem from image size deformation caused by the zoom lens, image drift caused by AOTF wavelength switching, and drone platform jitter. However, they can be addressed using hyperspectral image registration. This article proposes a new coarse-to-fine remote sensing image registration framework based on feature and optical flow theory, comparing its performance with that of existing registration algorithms using the same dataset. The proposed method increases the structure similarity index by 5.2 times, reduces the root mean square error by 3.1 times, and increases the mutual information by 1.9 times. To meet the real-time processing requirements of the AOTF spectrometer in remote sensing, a development environment using VS2023+CUDA+OPENCV was established to improve the demons registration algorithm. The registration algorithm for the central processing unit+graphics processing unit (CPU+GPU) achieved an acceleration ratio of ~30 times compared to that of a CPU alone. Finally, the real-time registration effect of spectral data during flight was verified. The proposed method demonstrates that AOTF hyperspectral imagers can be used in real-time remote sensing applications on unmanned aerial vehicles. Full article
Show Figures

Figure 1

12 pages, 3256 KB  
Article
Miniaturizing Hyperspectral Lidar System Employing Integrated Optical Filters
by Haibin Sun, Yicheng Wang, Zhipei Sun, Shaowei Wang, Shengli Sun, Jianxin Jia, Changhui Jiang, Peilun Hu, Haima Yang, Xing Yang, Mika Karjalnen, Juha Hyyppä and Yuwei Chen
Remote Sens. 2024, 16(9), 1642; https://doi.org/10.3390/rs16091642 - 4 May 2024
Cited by 2 | Viewed by 3031
Abstract
Hyperspectral LiDAR (HSL) has been utilized as an efficacious technique in object classification and recognition based on its unique capability to obtain ranges and spectra synchronously. Different kinds of HSL prototypes with varied structures have been promoted and measured its performance. However, almost [...] Read more.
Hyperspectral LiDAR (HSL) has been utilized as an efficacious technique in object classification and recognition based on its unique capability to obtain ranges and spectra synchronously. Different kinds of HSL prototypes with varied structures have been promoted and measured its performance. However, almost all of these HSL prototypes employ complex and large spectroscopic devices, such as an Acousto-Optic Tunable Filter and Liquid-Crystal Tunable Filter, which makes this HSL system bulky and expensive, and then hinders its extensive application in many fields. In this paper, a smart and smaller spectroscopic component, an intergraded optical filter (IOF), is promoted to miniaturize these HSL systems. The system calibration, range precision, and spectral profile experiments were carried out to test the HSL prototype. Although the IOF employed here only covered a wavelength range of 699–758 nm with a six-channel passband and showed a transmittance of less than 50%, the HSL prototype showed excellent performance in ranging and spectral profile collecting. The spectral profiles collected are well in accordance with those acquired based on the AOTF. The spectral profiles of the fruits, vegetables, plants, and ore samples collected by the HSL based on an IOF can effectively reveal the status of the plants, the component materials, and ore species. Finally, we also showed the integrated design of the HSL based on a three-dimensional IOF and combined with a detector. The performance and designs of this HSL system based on an IOF show great potential for miniaturizing in some specific applications. Full article
(This article belongs to the Special Issue Remote Sensing and Lidar Data for Forest Monitoring)
Show Figures

Figure 1

12 pages, 2613 KB  
Article
Analysis of Phase Mismatch for Mercurous Bromide-Based Non-Collinear AOTF Design in Spectral Imaging Applications
by Huijie Zhao, Chi Cheng, Qi Guo, Rui Ma and Yutian Yang
Materials 2024, 17(7), 1703; https://doi.org/10.3390/ma17071703 - 8 Apr 2024
Cited by 1 | Viewed by 1543
Abstract
The spectral and spatial characteristics of Acousto-Optic Tunable Filters (AOTFs), such as a tuning curve, spectral resolution, angular aperture, and diffraction efficiency, are determined by the device’s acousto-optic crystal configuration and piezoelectric transducer. For high-throughput spectral imaging applications, it is essential to enlarge [...] Read more.
The spectral and spatial characteristics of Acousto-Optic Tunable Filters (AOTFs), such as a tuning curve, spectral resolution, angular aperture, and diffraction efficiency, are determined by the device’s acousto-optic crystal configuration and piezoelectric transducer. For high-throughput spectral imaging applications, it is essential to enlarge the spectral bandwidth and angular aperture during the design phase of AOTFs. Thus, phase mismatch due to incident angle or wavelength was studied analytically using phase diagrams in this paper. Additionally, a performance parameter analysis model was established based on the use of mercurous bromide crystals for large angular aperture AOTF device design, and the impact of crystal and transducer design parameters on the spectral bandwidth and angular aperture was evaluated. This also experimentally validates the diffraction capability of AOTFs made from mercurous bromide crystal, which possess a broad spectral transmission ability ranging from visible to long-wave infrared. Full article
(This article belongs to the Special Issue Acousto-Optical Spectral Technologies (2nd Edition))
Show Figures

Figure 1

14 pages, 3827 KB  
Article
Angular-Spectral Characteristics of Acousto-Optic Tunable Filters Based on Mercurous Halide Crystals
by Huijie Zhao, Chi Cheng, Qi Guo, Kai Yu and Yutian Yang
Materials 2024, 17(5), 967; https://doi.org/10.3390/ma17050967 - 20 Feb 2024
Cited by 3 | Viewed by 2065
Abstract
The angular and spectral properties crucial for the functionality of acousto-optic (AO) devices are determined by phase-matching geometries in AO interactions. In applications such as spectral imagers based on acousto-optic tunable filters (AOTFs), systematic throughput is constrained by the angle separating diffracted and [...] Read more.
The angular and spectral properties crucial for the functionality of acousto-optic (AO) devices are determined by phase-matching geometries in AO interactions. In applications such as spectral imagers based on acousto-optic tunable filters (AOTFs), systematic throughput is constrained by the angle separating diffracted and transmitted light. This research introduces an analytical model that elucidates the angular-spectral properties of diffracted beams in mercurous halide crystals. These crystals possess a wide transmissive spectral range, from visible light to long-wave infrared light. The study computes and confirms correlations between the separation angle and parameters including incident angle, polarization, acoustic angle, and crystal birefringence. Experimental validation conducted on mercurous halide and tellurium dioxide crystals demonstrates that higher birefringence in crystals significantly amplifies the separation angle, augmenting the device’s performance. The study contributes to the development of devices with large separation angles during the design phase, enhancing systematic throughput in spectral imaging applications. Full article
(This article belongs to the Special Issue Acousto-Optical Spectral Technologies (2nd Edition))
Show Figures

Figure 1

15 pages, 8132 KB  
Article
Polarization-Multiplexed High-Throughput AOTF-Based Spectral Imaging System
by Hao Zhang, Huijie Zhao, Qi Guo, Dong Xu and Wenjie Teng
Materials 2023, 16(12), 4243; https://doi.org/10.3390/ma16124243 - 8 Jun 2023
Cited by 6 | Viewed by 2745
Abstract
Spectral imaging detection using acousto-optical tunable filters (AOTFs) faces a significant challenge of low throughput due to the traditional design that only receives a single polarization light. To overcome this issue, we propose a novel polarization multiplexing design and eliminate the need for [...] Read more.
Spectral imaging detection using acousto-optical tunable filters (AOTFs) faces a significant challenge of low throughput due to the traditional design that only receives a single polarization light. To overcome this issue, we propose a novel polarization multiplexing design and eliminate the need for crossed polarizers in the system. Our design allows for simultaneous collection of ±1 order light from the AOTF device, resulting in a more than two-fold increase in system throughput. Our analysis and experimental results validate the effectiveness of our design in improving system throughput and enhancing the imaging signal-to-noise ratio (SNR) by approximately 8 dB. In addition, AOTF devices used in polarization multiplexing applications require optimized crystal geometry parameter design that does not follow the parallel tangent principle. This paper proposes an optimization strategy for arbitrary AOTF devices which can achieve similar spectral effects. The implications of this work are significant for target detection applications. Full article
(This article belongs to the Special Issue Acousto-Optical Spectral Technologies)
Show Figures

Figure 1

15 pages, 4124 KB  
Article
Calibration of Acousto-Optic Interaction Geometry Based on the Analysis of AOTF Angular Performance
by Hao Zhang, Huijie Zhao, Qi Guo and Yan Xuan
Materials 2023, 16(10), 3708; https://doi.org/10.3390/ma16103708 - 13 May 2023
Cited by 6 | Viewed by 2171
Abstract
Acousto-optic interaction geometry determines the spectral and spatial response of an acousto-optic tunable filter (AOTF). The precise calibration of the acousto-optic interaction geometry of the device is a necessary process before designing and optimizing optical systems. In this paper, we develop a novel [...] Read more.
Acousto-optic interaction geometry determines the spectral and spatial response of an acousto-optic tunable filter (AOTF). The precise calibration of the acousto-optic interaction geometry of the device is a necessary process before designing and optimizing optical systems. In this paper, we develop a novel calibration method based on the polar angular performance of an AOTF. A commercial AOTF device with unknown geometry parameters was experimentally calibrated. The experimental results show high precision, in some cases falling within 0.01°. In addition, we analyzed the parameter sensitivity and Monte Carlo tolerance of the calibration method. The results of the parameter sensitivity analysis show that the principal refractive index has a large influence on the calibration results, while other factors have little influence. The results of the Monte Carlo tolerance analysis show that the probability of the results falling 0.1° using this method is greater than 99.7%. This work provides an accurate and easy-to-perform method for AOTF crystal calibration and can contribute to the characteristic analysis of AOTFs and the optical design of spectral imaging systems. Full article
(This article belongs to the Special Issue Acousto-Optical Spectral Technologies)
Show Figures

Figure 1

14 pages, 3727 KB  
Article
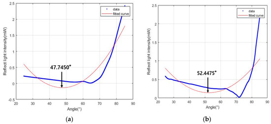
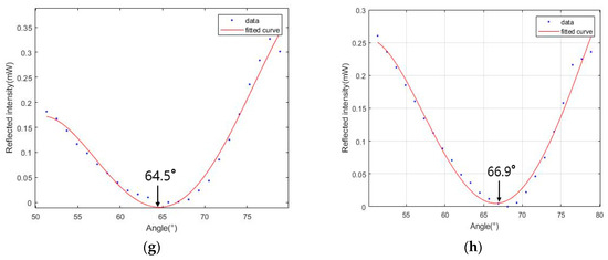
Development of a Mercury Bromide Birefringence Measurement System Based on Brewster’s Angle
by Oh-Tae Kwon, Geonwoo Kim, Hyungjin Bae, Jaeyeol Ryu, Sikwan Woo and Byoung-Kwan Cho
Sensors 2023, 23(9), 4208; https://doi.org/10.3390/s23094208 - 23 Apr 2023
Cited by 1 | Viewed by 2166
Abstract
Mercury bromide (Hg2Br2) has been used to develop acousto-optic tunable filters (AOTFs) because it has several advantages, including a high refractive index, a broad optical bandwidth, and a relatively high figure of merit. Therefore, the measurement of its birefringence [...] Read more.
Mercury bromide (Hg2Br2) has been used to develop acousto-optic tunable filters (AOTFs) because it has several advantages, including a high refractive index, a broad optical bandwidth, and a relatively high figure of merit. Therefore, the measurement of its birefringence is a highly important factor for ensuring AOTF quality. However, for single crystals, it is difficult (at the millimeter scale) to quantify the birefringence using an ellipsometer, as this equipment is only designed to conduct measurements on thin films. In this study, a simple birefringence measurement system for Hg2Br2 was developed based on Brewster’s angle at the millimeter scale. The planar distributions of the Hg2Br2 crystal along the (100), (010), and (001) planes were used in the experiments. The developed measurement system can measure the reflected light intensity of the Hg2Br2 crystal depending on the incidence angles (rotations at 0.01125° steps) and can calculate the ordinary and extraordinary refractive indices and birefringence. The calculated birefringence of the Hg2Br2 crystal was 0.8548; this value exhibits an error of 0.64% compared with a value of 0.86 reported in the literature. The developed measurement system demonstrates the ability to be used to evaluate the quality of birefringent single crystals. Full article
(This article belongs to the Section Optical Sensors)
Show Figures

Figure 1

18 pages, 3073 KB  
Article
Bacterial Colony Phenotyping with Hyperspectral Elastic Light Scattering Patterns
by Iyll-Joon Doh, Diana Vanessa Sarria Zuniga, Sungho Shin, Robert E. Pruitt, Bartek Rajwa, J. Paul Robinson and Euiwon Bae
Sensors 2023, 23(7), 3485; https://doi.org/10.3390/s23073485 - 27 Mar 2023
Cited by 5 | Viewed by 3128
Abstract
The elastic light-scatter (ELS) technique, which detects and discriminates microbial organisms based on the light-scatter pattern of their colonies, has demonstrated excellent classification accuracy in pathogen screening tasks. The implementation of the multispectral approach has brought further advantages and motivated the design and [...] Read more.
The elastic light-scatter (ELS) technique, which detects and discriminates microbial organisms based on the light-scatter pattern of their colonies, has demonstrated excellent classification accuracy in pathogen screening tasks. The implementation of the multispectral approach has brought further advantages and motivated the design and validation of a hyperspectral elastic light-scatter phenotyping instrument (HESPI). The newly developed instrument consists of a supercontinuum (SC) laser and an acousto-optic tunable filter (AOTF). The use of these two components provided a broad spectrum of excitation light and a rapid selection of the wavelength of interest, which enables the collection of multiple spectral patterns for each colony instead of relying on single band analysis. The performance was validated by classifying microflora of green-leafed vegetables using the hyperspectral ELS patterns of the bacterial colonies. The accuracy ranged from 88.7% to 93.2% when the classification was performed with the scattering pattern created at a wavelength within the 473–709 nm region. When all of the hyperspectral ELS patterns were used, owing to the vastly increased size of the data, feature reduction and selection algorithms were utilized to enhance the robustness and ultimately lessen the complexity of the data collection. A new classification model with the feature reduction process improved the overall classification rate to 95.9%. Full article
(This article belongs to the Special Issue Optical Sensing Technologies for Food Quality and Safety)
Show Figures

Figure 1

Back to TopTop