Polarization-Multiplexed High-Throughput AOTF-Based Spectral Imaging System
Abstract
1. Introduction
2. Methods and Analysis
2.1. Basic Principles of the Noncollinear AOTF Device
2.2. Structure of the AOTF Spectral Imaging System
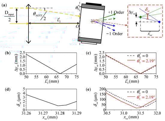
2.3. Optimization Strategy for Polarization Multiplexing Applications
3. Results and Discussion
3.1. Test and Analysis of Optimization Strategy
3.2. Test and Analysis of Throughput
3.3. Test and Analysis of Spatial Resolution
4. Conclusions
Author Contributions
Funding
Institutional Review Board Statement
Informed Consent Statement
Data Availability Statement
Acknowledgments
Conflicts of Interest
References
- Dixon, R. Acoustic diffraction of light in anisotropic media. IEEE J. Quantum Electron. 1967, 3, 85–93. [Google Scholar] [CrossRef]
- Voloshinov, V.B.; Mosquera, J.C. Wide-aperture acousto-optic interaction in birefringent crystals. Opt. Spectrosc. 2006, 101, 635–641. [Google Scholar] [CrossRef]
- Georgiev, G.; Georgieva, E.; Konstantinov, L. Angular and power characteristics of noncollinear acousto-optic tunable filters. Opt. Lasers Eng. 1999, 31, 1–12. [Google Scholar] [CrossRef]
- Del Bosque, D.; Mahoney, C.; Cheng, L.-J.; Hamilton, M.; Reyes, G.; Gundersen, H.; LaBaw, C. Acousto-optic tunable filter for hyperspectral imagery and dual-use applications. In Proceedings of the AIAA, Space Programs and Technologies Conference and Exhibit, Huntsville, AL, USA, 21–23 September 1993. [Google Scholar]
- Korablev, O.; Fedorova, A.; Villard, E.; Joly, L.; Kiselev, A.; Belyaev, D.; Bertaux, J.L. Characterization of the stray light in a space borne atmospheric AOTF spectrometer. Opt. Express 2013, 21, 18354–18360. [Google Scholar] [CrossRef]
- Yushkov, K.B.; Molchanov, V.Y. Hyperspectral imaging acousto-optic system with spatial filtering for optical phase visualization. J. Biomed. Opt. 2017, 22, 66017. [Google Scholar] [CrossRef]
- Jiangwei, Y.; Chunguang, Z.; Hao, W.; Lei, S. Rapid Microscopic Spectral Imaging of Lung Cancer Tissue Based on Acousto-Optic Tunable Filter. ChJL 2018, 45, 0407003. [Google Scholar] [CrossRef]
- Korablev, O.I.; Belyaev, D.A.; Dobrolenskiy, Y.S.; Trokhimovskiy, A.Y.; Kalinnikov, Y.K. Acousto-optic tunable filter spectrometers in space missions [Invited]. Appl. Opt. 2018, 57, C103–C119. [Google Scholar] [CrossRef]
- Wachman, E.S.; Niu, W.H.; Farkas, D.L. Imaging acousto-optic tunable filter with 0.35-micrometer spatial resolution. Appl. Opt. 1996, 35, 5220–5226. [Google Scholar] [CrossRef]
- Vila-Francés, J. Improving the performance of acousto-optic tunable filters in imaging applications. J. Electron. Imaging 2010, 19, 043022. [Google Scholar] [CrossRef]
- Pannell, C. Recent advances in acousto-optic tunable filters for hyper-spectral imaging with real-time spectral unmixing. In Proceedings of the CLEO: Science and Innovations 2013, San Jose, CA, USA, 9–14 June 2013; pp. 1–3. [Google Scholar]
- Voloshinov, V.B.; Molchanov, V.Y.; Mosquera, J.C. Spectral and polarization analysis of optical images by means of acousto-optics. Opt. Laser Technol. 1996, 28, 119–127. [Google Scholar] [CrossRef]
- Gupta, N. Materials for imaging acousto-optic tunable filters. In Proceedings of the Image Sensing Technologies: Materials, Devices, Systems, and Applications, Baltimore, MD, USA, 21 May 2014; pp. 41–50. [Google Scholar]
- Xu, Z.; Dai, S.; Lin, C.; Wu, Z. Research progress of acousto-optic crystals, glass materials and modulators. Laser Optoelectron. 2021, 58, 1516007. [Google Scholar]
- Voloshinov, V.B.; Molchanov, V.Y. Acousto-optical modulation of radiation with arbitrary polarization direction. Opt. Laser Technol. 1995, 27, 307–313. [Google Scholar] [CrossRef]
- Liu, J.; Rong, S.; Ma, Y.; Wang, J. A hyperspectral imager with adjustable spectral selectivity based on AOTF. Proc. SPIE–Int. Soc. Opt. Eng. 2010, 7857, 1–11. [Google Scholar] [CrossRef]
- Mazur, M.M.; Mazur, L.I.; Suddenok, Y.A.; Shorin, V.N. Increase of an Output Optical Signal of an Acousto-Optic Monochromator upon Frequency Modulation of a Control Signal. Opt. Spectrosc. 2018, 125, 594–598. [Google Scholar] [CrossRef]
- Voloshinov, V.B.; Molchanov, V.Y.; Babkina, T.M. Acousto-optic filter of nonpolarized electromagnetic radiation. Tech. Phys 2000, 45, 1186–1191. [Google Scholar] [CrossRef]
- Yuan, Y.; Hwang, J.Y.; Krishnamoorthy, M.; Ye, K.; Zhang, Y.; Ning, J.; Wang, R.C.; Deen, M.J.; Fang, Q. High-throughput acousto-optic-tunable-filter-based time-resolved fluorescence spectrometer for optical biopsy. Opt. Lett. 2009, 34, 1132–1134. [Google Scholar] [CrossRef]
- Nie, Z.; An, R.; Hayward, J.E.; Farrell, T.J.; Fang, Q. Hyperspectral fluorescence lifetime imaging for optical biopsy. J. Biomed. Opt. 2013, 18, 096001. [Google Scholar] [CrossRef]
- Abdlaty, R.; Orepoulos, J.; Sinclair, P.; Berman, R.; Fang, Q.Y. High Throughput AOTF Hyperspectral Imager for Randomly Polarized Light. Photonics 2018, 5, 3. [Google Scholar] [CrossRef]
- Romanova, G.; Beliaeva, A.; Ryvkina, Y.; Ryabov, D. Design Features of a Tunable Source Based on an Acousto-Optical Tunable Filter. In Proceedings of the 2022 Wave Electronics and its Application in Information and Telecommunication Systems (WECONF), St. Petersburg, Russia, 30 May–3 June 2022; pp. 1–4. [Google Scholar]
- Chang, I.C. Tunable Acousto-Optic Filters: An Overview. Opt. Eng. 1977, 16, 455–460. [Google Scholar] [CrossRef]
- Chang, I.C. Noncollinear acousto-optic filter with large angular aperture. Appl. Phys. Lett. 1974, 25, 370–372. [Google Scholar] [CrossRef]
- Batshev, V.; Machikhin, A.; Gorevoy, A.; Martynov, G.; Khokhlov, D.; Boritko, S.; Pozhar, V.; Lomonov, V. Spectral Imaging Experiments with Various Optical Schemes Based on the Same AOTF. Materials 2021, 14, 2984. [Google Scholar] [CrossRef] [PubMed]
- Romier, J.; Selves, J.; Gastellu-Etchegorry, J. Imaging spectrometer based on an acousto-optic tunable filter. Rev. Sci. Instrum. 1998, 69, 2859–2867. [Google Scholar] [CrossRef]
- Suhre, D.R.; Denes, L.J.; Gupta, N. Telecentric confocal optics for aberration correction of acousto-optic tunable filters. Appl. Opt. 2004, 43, 1255–1260. [Google Scholar] [CrossRef] [PubMed]
- Batshev, V.; Gorevoy, A.; Pozhar, V.; Machikhin, A. Aberration analysis of AOTF-based stereoscopic spectral imager using optical design software. J. Physics: Conf. Ser. 2021, 2127, 012035. [Google Scholar] [CrossRef]
- Glenar, D.A.; Hillman, J.J.; Saif, B.; Bergstralh, J. Acousto-optic imaging spectropolarimetry for remote sensing. Appl. Opt. 1994, 33, 7412–7424. [Google Scholar] [CrossRef]
- Georgiev, G.; Glenar, D.A.; Hillman, J.J. Spectral characterization of acousto-optic filters used in imaging spectroscopy. Appl. Opt. 2002, 41, 209–217. [Google Scholar] [CrossRef]
- Zhang, H.; Zhao, H.; Guo, Q.; Xuan, Y. Calibration of Acousto-Optic Interaction Geometry Based on the Analysis of AOTF Angular Performance. Materials 2023, 16, 3708. [Google Scholar] [CrossRef]
- Xu, Z.F.; Zhao, H.J.; Jia, G.R.; Sun, S.J.; Wang, X.Y. Optical schemes of super-angular AOTF-based imagers and system response analysis. Opt. Commun. 2021, 498, 127204. [Google Scholar] [CrossRef]
- Chang, I.C.I. Acoustooptic Devices and Applications. IEEE Trans. Sonics Ultrason. 1976, 23, 2–21. [Google Scholar] [CrossRef]
- Goutzoulis, A.P.; Pape, D.R. Design and Fabrication of Acousto-Optic Devices; Marcel Dekker Inc.: New York, NY, USA, 1994. [Google Scholar]
- Yushkov, K.B.; Dupont, S.; Kastelik, J.C.; Voloshinov, V.B. Polarization-independent imaging with an acousto-optic tandem system. Opt. Lett. 2010, 35, 1416–1418. [Google Scholar] [CrossRef]
- Gass, P.A.; Sambles, J.R. Accurate design of a noncollinear acousto-optic tunable filter. Opt. Lett. 1991, 16, 429–431. [Google Scholar] [CrossRef] [PubMed]
- Machikhin, A.; Gorevoy, A.; Batshev, V.; Pozhar, V. Modes of wide-aperture acousto-optic diffraction in a uniaxial birefringent crystal. JOpt 2021, 23, 125607. [Google Scholar] [CrossRef]
- Anchutkin, V.S.; Bel’skii, A.B.; Voloshinov, V.B.; Yushkov, K.B. Acoustooptical method of spectral-polarization image analysis. J. Opt. Technol. 2009, 76, 473–477. [Google Scholar] [CrossRef]












| Parameters | The 1st AOTF | The 2nd AOTF (Optimization Strategy) |
|---|---|---|
| ±7.5 | ±7.5 | |
| 5.2 | 5.2 | |
| 75 | 75 | |
| 66.8 | 67.1 | |
| 20 | 20 | |
| 4.0 | 4.0 | |
| 75 | 75 | |
| 5.2 | 5.3 | |
| 15.9 | 16.1 |
| AOTF Device | The 1st AOTF | The 2nd AOTF | ||||
|---|---|---|---|---|---|---|
| Detection Mode | Polarization Multiplexing | Single e Light | Single o Light | Polarization Multiplexing | Single e Light | Single o Light |
| Theoretical throughput within 620–650 nm | 78,090 | 38,458 | 39,119 | 77,680 | 37,979 | 38,402 |
| Maximum diffraction efficiency | 33.3% | 32.4% | 32.6% | 33.1% | 31.8% | 32.4% |
| Ratio of throughput improvement | 2.03 | 2.00 | 2.05 | 2.02 | ||
| Parameter | Test 1 | Test 2 | Test 3 | Average |
|---|---|---|---|---|
| ) | 109.7 | 109.5 | 109.5 | 109.5 |
| ) | 38.1 | 38.6 | 38.3 | 38.3 |
| ) | 41.5 | 42.0 | 41.9 | 41.8 |
| 2.88 | 2.84 | 2.86 | 2.85 | |
| (Eliminating loss of polarizers) | (2.13) | (2.10) | (2.11) | (2.11) |
| 2.64 | 2.61 | 2.61 | 2.62 | |
| (Eliminating loss of polarizers) | (1.96) | (1.93) | (1.93) | (1.94) |
| ) | 4.9 | 4.7 | 4.7 | 4.8 |
| ) | 4.2 | 4.6 | 4.4 | 4.4 |
| ) | 4.4 | 4.9 | 4.8 | 4.7 |
| /dB | 27.0 | 27.4 | 27.3 | 27.2 |
| /dB | 19.1 | 18.5 | 18.8 | 18.8 |
| /dB | 19.5 | 18.7 | 18.8 | 19.0 |
Disclaimer/Publisher’s Note: The statements, opinions and data contained in all publications are solely those of the individual author(s) and contributor(s) and not of MDPI and/or the editor(s). MDPI and/or the editor(s) disclaim responsibility for any injury to people or property resulting from any ideas, methods, instructions or products referred to in the content. |
© 2023 by the authors. Licensee MDPI, Basel, Switzerland. This article is an open access article distributed under the terms and conditions of the Creative Commons Attribution (CC BY) license (https://creativecommons.org/licenses/by/4.0/).
Share and Cite
Zhang, H.; Zhao, H.; Guo, Q.; Xu, D.; Teng, W. Polarization-Multiplexed High-Throughput AOTF-Based Spectral Imaging System. Materials 2023, 16, 4243. https://doi.org/10.3390/ma16124243
Zhang H, Zhao H, Guo Q, Xu D, Teng W. Polarization-Multiplexed High-Throughput AOTF-Based Spectral Imaging System. Materials. 2023; 16(12):4243. https://doi.org/10.3390/ma16124243
Chicago/Turabian StyleZhang, Hao, Huijie Zhao, Qi Guo, Dong Xu, and Wenjie Teng. 2023. "Polarization-Multiplexed High-Throughput AOTF-Based Spectral Imaging System" Materials 16, no. 12: 4243. https://doi.org/10.3390/ma16124243
APA StyleZhang, H., Zhao, H., Guo, Q., Xu, D., & Teng, W. (2023). Polarization-Multiplexed High-Throughput AOTF-Based Spectral Imaging System. Materials, 16(12), 4243. https://doi.org/10.3390/ma16124243

