Sign in to use this feature.

Years

Between: -

Subjects

remove_circle_outline
remove_circle_outline
remove_circle_outline
remove_circle_outline
remove_circle_outline
remove_circle_outline
remove_circle_outline
remove_circle_outline
remove_circle_outline

Journals

remove_circle_outline
remove_circle_outline
remove_circle_outline
remove_circle_outline
remove_circle_outline
remove_circle_outline
remove_circle_outline
remove_circle_outline
remove_circle_outline
remove_circle_outline
remove_circle_outline
remove_circle_outline
remove_circle_outline

Article Types

Countries / Regions

remove_circle_outline
remove_circle_outline
remove_circle_outline
remove_circle_outline
remove_circle_outline
remove_circle_outline

Search Results (662)

Search Parameters:
Keywords = AFP

Order results
Result details
Results per page
Select all
Export citation of selected articles as:
11 pages, 785 KB  
Article
Surveillance of Acute Flaccid Paralysis (AFP) in Greece: 2008–2024
by Stavroula Labropoulou, Theano Georgakopoulou, Vahid Baniasadi, Giota Mpizta, Stella Vorre, Maria Theodoridou, Mary Emmanouil and Emmanouil Angelakis
Pathogens 2025, 14(10), 976; https://doi.org/10.3390/pathogens14100976 - 26 Sep 2025
Abstract
As part of the WHO’s Global Polio Eradication Initiative, acute flaccid paralysis (AFP) surveillance in children under 15 years old is crucial for monitoring the emergence of polioviruses and tracking Non-Polio Enteroviruses (NPEVs). This study outlines the past 17 years of AFP surveillance [...] Read more.
As part of the WHO’s Global Polio Eradication Initiative, acute flaccid paralysis (AFP) surveillance in children under 15 years old is crucial for monitoring the emergence of polioviruses and tracking Non-Polio Enteroviruses (NPEVs). This study outlines the past 17 years of AFP surveillance in Greece from 2008 to 2024, during which a total of 256 AFP cases were recorded. Stool samples from these cases were analyzed using virus isolation in cell cultures (RD/L20B) and sequencing of NPEV-positive samples. The Attica region reported the highest number of cases with 81 (31%), followed by Central Macedonia and Crete, each with 29 cases (11%). The overall analysis of fecal specimens identified the etiological agent in 18 (7%) specimens, with 13 (4.7%) classified as NPEVs, 4 (1.5%) as adenoviruses, and 1 (0.4%) as a parechovirus. Coxsackievirus A, Coxsackievirus B, and various Echoviruses were the most frequently detected NPEV types. Notably, more than half of these positive specimens (10/18) were from the Attica region, which has the highest population density. These findings highlight the ongoing relevance of AFP surveillance in polio-free settings for broader pathogen monitoring and public health preparedness. Continued vigilance and investment in AFP surveillance are critical to sustaining Greece’s polio-free status and detecting emerging viral threats. Full article
(This article belongs to the Section Viral Pathogens)
Show Figures

Figure 1

13 pages, 1507 KB  
Article
SERS-Based Immunoassay for α-Fetoprotein Biomarker Detection Using an Au-Ag Nanostars Platform
by Josué Ismael García-Ramírez, Marcos Luna-Cervantes, Irma Yadira Izaguirre-Hernández, Julián Hernández-Torres, Enrique Juárez-Aguilar, Pablo Thomas-Dupont, José María Remes-Troche and Luis Zamora-Peredo
Biosensors 2025, 15(9), 632; https://doi.org/10.3390/bios15090632 - 22 Sep 2025
Viewed by 282
Abstract
Spiky Au-Ag nanostars offer intense plasmonic enhancement due to their sharp-tipped morphology, enabling powerful surface-enhanced Raman scattering (SERS). Here, we report a liquid-phase SERS platform that addresses current limitations in cancer biomarker detection, such as low sensitivity and dependence on Raman reporters. Nanostar [...] Read more.
Spiky Au-Ag nanostars offer intense plasmonic enhancement due to their sharp-tipped morphology, enabling powerful surface-enhanced Raman scattering (SERS). Here, we report a liquid-phase SERS platform that addresses current limitations in cancer biomarker detection, such as low sensitivity and dependence on Raman reporters. Nanostar concentration was tuned by simple centrifugation (10, 30, and 60 min), and their SERS performance was evaluated using methylene blue (MB) and mercaptopropionic acid (MPA) as probe molecules. Signal intensity scaled with nanostar content, enabling sensitive detection. Optimized nanostars were functionalized with MPA, 1-Ethyl-3-(3-dimethylamino1-Ethyl-3-(3dimethylaminopropyl1) carbodiimide (EDC), and N-Hydroxy succinimide (NHS) for covalent attachment of monoclonal anti-α-fetoprotein antibodies (AFP-Ab), facilitating the detection of AFP antigens across 167–38 ng/mL (antibody) and 500–0 ng/mL (antigen) ranges. The limit of detection (LOD) for the antigens was determined to be 16.73 ng/mL. Unlike conventional SERS systems, this aqueous, surfactant-free platform exploits the intrinsic vibrational modes of AFP, enabling sensitive and rapid biomarker detection with strong potential for early cancer diagnostics. Full article
(This article belongs to the Special Issue Surface Plasmon Resonance-Based Biosensors and Their Applications)
Show Figures

Figure 1

31 pages, 6901 KB  
Article
Therapeutic Potential of Food-Derived Rutin Phytosome Nanoparticles: Anti-Tumor, Antioxidant, and Anti-Inflammatory Activity in Ehrlich Ascites Carcinoma
by M. Alfawaz, Ekramy M. Elmorsy, Alaa Samy, Ahmed S. Shams, Mai A. Salem, Aly A. M. Shaalan, Manal S. Fawzy and Nora Hosny
Pharmaceuticals 2025, 18(9), 1410; https://doi.org/10.3390/ph18091410 - 19 Sep 2025
Viewed by 333
Abstract
Background/Objectives: Rutin (RT), a promising bioflavonoid, faces clinical limitations due to its poor solubility and bioavailability. In this study, we formulated RT-loaded phytosome nanoparticles (RT-PNPs) via thin-layer hydration and characterized their morphology, size distribution, and zeta potential. Methods: We established a mouse model [...] Read more.
Background/Objectives: Rutin (RT), a promising bioflavonoid, faces clinical limitations due to its poor solubility and bioavailability. In this study, we formulated RT-loaded phytosome nanoparticles (RT-PNPs) via thin-layer hydration and characterized their morphology, size distribution, and zeta potential. Methods: We established a mouse model of Ehrlich ascites carcinoma (EAC), randomly allocating ninety female Swiss albino mice into six groups: untreated controls, RT-treated, RT-PNP-treated, EAC, EAC + RT, and EAC + RT-PNPs. Tumor induction and treatment protocols were controlled, with the oral administration of 25 mg/kg/day of RT or RT-PNPs for 20 days. We comprehensively assessed survival, body weight, ascitic fluid/tumor volume, and cell viability and performed detailed hematological, serum biochemical, and tumor marker analyses. Multiorgan (liver and kidney) function and redox homeostasis were evaluated through enzymatic assays for SOD, CAT, GSH-Px, and GSH, as well as lipid peroxidation assessment. Proinflammatory cytokines and tumor markers (AFP, CEA, CA19-9, CA125, and CA15-3) were quantified via ELISA. Results: Gene expression profiling (TP53, Bax, and Bcl-2) and flow cytometry (p53 and Ki-67) elucidated the modulation of apoptosis. Histopathological scoring documented organ protection, while advanced multivariate (heatmap and principal component) analyses revealed distinct treatment clusterings. The RT-PNPs demonstrated potent anti-tumor, antioxidant, anti-inflammatory, and apoptosis-inducing effects, outperforming free RT in restoring physiological markers and tissue integrity. Conclusions: The current results underscore the potential of RT-PNPs as a multifaceted therapeutic approach to EAC, leveraging nanoparticle technology to optimize efficacy and systemic protection. Full article
(This article belongs to the Special Issue The Discovery and Development of Drug Ingredients from Food Sources)
Show Figures

Figure 1

11 pages, 1089 KB  
Article
CRAFITY and AFP/PIVKA-II Kinetics Predict Prognosis in Hepatocellular Carcinoma on Immunotherapy
by Shou-Wu Lee, Yi-Jie Huang, Ying-Cheng Lin, Hsin-Ju Tsai, Chia-Chang Chen, Chung-Hsin Chang, Teng-Yu Lee and Yen-Chun Peng
Cancers 2025, 17(18), 3058; https://doi.org/10.3390/cancers17183058 - 18 Sep 2025
Viewed by 255
Abstract
Background: The CRAFITY score, integrating baseline C-reactive protein (CRP) and alpha-fetoprotein (AFP), has been validated as a prognostic biomarker in hepatocellular carcinoma (HCC) treated with immunotherapy, but many patients present with non-elevated AFP, limiting its accuracy. This study evaluated a composite model incorporating [...] Read more.
Background: The CRAFITY score, integrating baseline C-reactive protein (CRP) and alpha-fetoprotein (AFP), has been validated as a prognostic biomarker in hepatocellular carcinoma (HCC) treated with immunotherapy, but many patients present with non-elevated AFP, limiting its accuracy. This study evaluated a composite model incorporating the CRAFITY score with AFP/PIVKA-II kinetic changes. Methods: We retrospectively enrolled 69 patients with unresectable HCC (BCLC stage B/C) receiving immunotherapy between September 2021 and June 2023. Baseline CRP, AFP, and PIVKA-II, as well as 4-week changes, were recorded. The CRAFITY-100 RULE combined CRAFITY (0–2) with AFP/PIVKA-II kinetics (0–3), yielding three risk levels (I–III). Clinical outcomes included objective response (OR) and overall survival (OS). Results: Of the cohort, 10 (14.5%), 29 (42%), and 30 (43.5%) patients had CRAFITY scores 0, 1, and 2, respectively, but this score did not clearly stratify OS (median 24, 12, and 15 months; p = 0.267). In contrast, the CRAFITY-100 RULE classified 5 (7.3%), 35 (50.7%), and 29 (42%) patients into levels I–III, respectively, with significantly different survival (median OS 24, 15, and 7 months; p = 0.048). OR rates were lowest at level III (17%). Time-dependent ROC analysis confirmed superior discrimination of CRAFITY-100 RULE over CRAFITY scores at 6 months (AUROC 0.673 vs. 0.604) and 12 months (0.732 vs. 0.656). Conclusions: The CRAFITY-100 RULE provided clearer stratification and higher discrimination. This simple model integrating baseline and dynamic biomarkers may assist clinical decision-making in unresectable HCC treated with immunotherapy. Full article
Show Figures

Figure 1

16 pages, 4245 KB  
Article
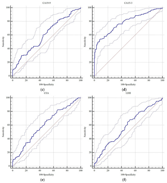
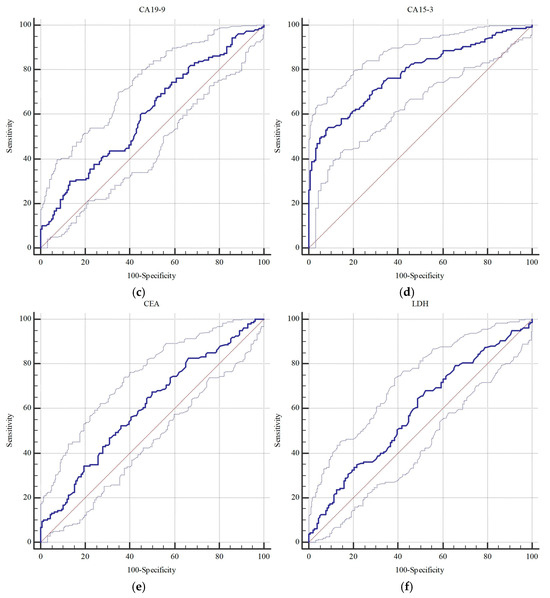
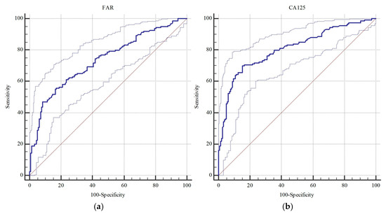
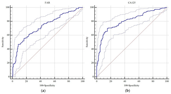
Diagnostic Power of the Fibrinogen-to-Albumin Ratio for Estimating Malignancy in Patients with Adnexal Masses: A Methodological Study
by Gözde Şahin, Ayşe HazırBulan, Hatice Argun Atalmış, İlkbal Temel Yüksel, Işık Sözen, Alper Koçbıyık, Nilüfer Çetinkaya Kocadal and İsmet Alkış
Diagnostics 2025, 15(18), 2372; https://doi.org/10.3390/diagnostics15182372 - 18 Sep 2025
Viewed by 240
Abstract
Background: Adnexal masses are common in women across different age and hormonal states: pregnancy, premenopause, and postmenopause. Ovarian carcinoma, a malignancy arising in the adnexa, poses significant health risks. While malignancy risk increases with age and postmenopausal status, current methods for stratifying [...] Read more.
Background: Adnexal masses are common in women across different age and hormonal states: pregnancy, premenopause, and postmenopause. Ovarian carcinoma, a malignancy arising in the adnexa, poses significant health risks. While malignancy risk increases with age and postmenopausal status, current methods for stratifying borderline cases remain inadequate, potentially leading to over- or undertreatment that may affect fertility or survival. Methods: This retrospective study was conducted with 318 adult women who were diagnosed with adnexal masses and underwent surgery at a university hospital between 2020 and November 2023. Patient data were retrieved from the hospital’s electronic medical record system. Routinely measured preoperative serologic parameters—carbohydrate antigen (CA)125, CA19-9, CA15-3, carcinoembryonic antigen (CEA), Alpha-fetoprotein (AFP), Lactate dehydrogenase (LDH), and fibrinogen-to-albumin ratio (FAR) levels—were analyzed alongside final histopathological results. No procedures outside routine clinical practice were performed. Diagnostic performance of each marker was evaluated using receiver operating curve (ROC) analysis. Results: A total of 318 patients with adnexal masses were analyzed. The FAR levels were significantly elevated in malignant compared to borderline and benign groups (p < 0.001), and FAR alone showed 47% sensitivity and 91% specificity for borderline tumors, whereas CA125 showed 70% sensitivity and 85% specificity. Multivariate models combining FAR, CA125, and CA15-3 achieved the highest diagnostic accuracy, with superior AUCs compared to single biomarkers. Conclusions: FAR is a simple, accessible inflammatory marker that complements CA125 by enhancing specificity. Combination of multiple markers with the highest sensitivity and specificity, together with FAR, may reduce the risk of both false negatives, offering a more balanced and accurate diagnostic tool for preoperative stratification of borderline tumor cases. Full article
(This article belongs to the Section Clinical Diagnosis and Prognosis)
Show Figures

Figure 1

34 pages, 1029 KB  
Review
Protein and Peptide in Cancer Research: From Biomarker to Biotherapeutics
by Joo Hyeong Seo, Seung Hoon Shin, Hye Rin Woo, Yu Rim An, A Hyun Youn, Song Yeon Kim, Mi-Ran Ki and Seung Pil Pack
Cancers 2025, 17(18), 3031; https://doi.org/10.3390/cancers17183031 - 17 Sep 2025
Viewed by 551
Abstract
Proteins and peptides play a pivotal role in key pathological processes, including cancer growth, immune evasion, angiogenesis, and metastasis. Consequently, they are gaining attention as significant biomolecules in the diagnosis and treatment of various diseases. This review provides a comprehensive overview of the [...] Read more.
Proteins and peptides play a pivotal role in key pathological processes, including cancer growth, immune evasion, angiogenesis, and metastasis. Consequently, they are gaining attention as significant biomolecules in the diagnosis and treatment of various diseases. This review provides a comprehensive overview of the latest research trends and technological advancements in protein- and peptide-based cancer diagnostic and therapeutic strategies. It covers the clinical application of major diagnostic markers such as PSA, CA125, HER2, and AFP, as well as therapeutic strategies including monoclonal antibodies, immune checkpoint inhibitors, and anticancer peptides. Additionally, it introduces quantitative analysis techniques such as ELISA, mass spectrometry, and CyTOF, as well as advancements in delivery systems based on nanoparticle–peptide complexes. Peptides offer advantages for precision therapy due to their high target specificity and structural modifiability. However, they also have limitations such as stability, enzymatic degradation, and delivery efficiency. Emerging technologies such as synthetic biology, computational design, and omics-integrated analysis are being developed to address these challenges, and rapid advancements in this field are enhancing the potential for clinical application. This review underscores the potential of protein- and peptide-based strategies for precision cancer diagnosis and personalized therapy and proposes future research directions in this field. Full article
(This article belongs to the Special Issue New Findings in Targeting Cancer Proteins (Second Edition))
Show Figures

Figure 1

16 pages, 4320 KB  
Article
Properties of Putative APSES Transcription Factor AfpA in Aspergillus fumigatus
by Young-Ho Choi, Min-Woo Lee and Kwang-Soo Shin
J. Fungi 2025, 11(9), 678; https://doi.org/10.3390/jof11090678 - 16 Sep 2025
Viewed by 364
Abstract
Aspergillus fumigatus is a major opportunistic pathogenic fungus that causes invasive aspergillosis with high mortality rates in immunocompromised patients. APSES family transcription factors regulate fungal development and virulence, but the function of the putative APSES-type transcription factor AfpA (AFUA_5g11390) remains uncharacterized. To investigate [...] Read more.
Aspergillus fumigatus is a major opportunistic pathogenic fungus that causes invasive aspergillosis with high mortality rates in immunocompromised patients. APSES family transcription factors regulate fungal development and virulence, but the function of the putative APSES-type transcription factor AfpA (AFUA_5g11390) remains uncharacterized. To investigate the roles of AfpA in A. fumigatus, we constructed the ΔafpA mutant and performed phenotypic analyses, RT-qPCR analyses, and virulence studies. The ΔafpA mutant exhibited reduced vegetative growth but increased conidiation, with upregulation of asexual developmental regulators brlA, abaA, and wetA. AfpA positively regulated cAMP-PKA signaling, resulting in delayed conidia germination. Furthermore, the mutant responded differently to external stresses and displayed enhanced virulence in neutropenic mice. In conclusion, AfpA functions as a multifaceted regulator balancing growth, development, and pathogenicity in A. fumigatus. Full article
(This article belongs to the Section Fungal Genomics, Genetics and Molecular Biology)
Show Figures

Figure 1

24 pages, 3193 KB  
Review
The Role of Impella in Cardiogenic Shock in the Post-DanGer Shock Era
by Kassem Farhat, Sara Pollanen, Rongras Damrongwatanasuk, Laura DiChiacchio, Colby Salerno, Nikhil Sikand, Wissam I. Khalife and Jiun-Ruey Hu
Biomedicines 2025, 13(9), 2198; https://doi.org/10.3390/biomedicines13092198 - 8 Sep 2025
Viewed by 835
Abstract
The microaxial flow pump (mAFP) is a mechanical circulatory support device designed to directly unload the left ventricle, restore cardiac output, and improve systemic perfusion in the setting of cardiogenic shock (CS). CS is a devastating complication of acute myocardial infarction (AMI) and [...] Read more.
The microaxial flow pump (mAFP) is a mechanical circulatory support device designed to directly unload the left ventricle, restore cardiac output, and improve systemic perfusion in the setting of cardiogenic shock (CS). CS is a devastating complication of acute myocardial infarction (AMI) and advanced heart failure, characterized by systemic hypoperfusion and myocardial dysfunction, carrying an in-hospital mortality of 30–50%. However, there has been controversy about whether these theoretical physiological mechanisms behind mAFP translate into actual survival or recovery in this patient population that has historically been difficult to study in prospective trials. The lack of consensus has resulted in differing national guidelines, resource allocation, and clinical decision-making in time-sensitive clinical scenarios. Earlier studies were limited to retrospective analyses and a single small, underpowered randomized trial, none of which showed a mortality benefit. In 2024, the DanGer Shock trial emerged as the first multi-center trial to demonstrate mortality benefit in patients with STEMI complicated by CS treated with Impella CP, albeit at the cost of increased risk of major bleeding, hemolysis, and vascular complications, an effect sustained in the 10 year outcomes published in 2025. In this review, we examine reasons for the differing results of preceding studies and compare how multinational guidelines have reacted to this new evidence. Finally, we provide practical considerations regarding the use, complications, and troubleshooting of this technology, and identify gaps in evidence regarding patient selection and timing of placement. Full article
(This article belongs to the Special Issue Advanced Research on Heart Failure and Heart Transplantation)
Show Figures

Figure 1

18 pages, 3960 KB  
Article
Machine Learning Uncovers Novel Predictors of Peptide Receptor Radionuclide Therapy Eligibility in Neuroendocrine Neoplasms
by Gábor Sipka, István Farkas, Annamária Bakos, Anikó Maráz, Zsófia Sára Mikó, Tamás Czékus, Mátyás Bukva, Szabolcs Urbán, László Pávics and Zsuzsanna Besenyi
Cancers 2025, 17(17), 2935; https://doi.org/10.3390/cancers17172935 - 8 Sep 2025
Viewed by 598
Abstract
Background: Neuroendocrine neoplasms (NENs) are a diverse group of malignancies in which somatostatin receptor expression can be crucial in guiding therapy. We aimed to evaluate the effectiveness of [99mTc]Tc-EDDA/HYNIC-TOC SPECT/CT in differentiating neuroendocrine tumor histology, selecting candidates for radioligand therapy, and [...] Read more.
Background: Neuroendocrine neoplasms (NENs) are a diverse group of malignancies in which somatostatin receptor expression can be crucial in guiding therapy. We aimed to evaluate the effectiveness of [99mTc]Tc-EDDA/HYNIC-TOC SPECT/CT in differentiating neuroendocrine tumor histology, selecting candidates for radioligand therapy, and identifying correlations between somatostatin receptor expression and non-imaging parameters in metastatic NENs. Methods: This retrospective study included 65 patients (29 women, 36 men, mean age 61) with metastatic neuroendocrine neoplasms confirmed by histology, follow-up, or imaging, comprising 14 poorly differentiated carcinomas and 51 well-differentiated tumors. Somatostatin receptor SPECT/CT results were assessed visually and semiquantitatively, with mathematical models incorporating histological, oncological, immunohistochemical, and laboratory parameters, followed by biostatistical analysis. Results: Of 392 lesions evaluated, the majority were metastases in the liver, lymph nodes, and bones. Mathematical models estimated somatostatin receptor expression accurately (70–83%) based on clinical parameters alone. Key factors included tumor origin, oncological treatments, and the immunohistochemical marker CK7. Associations were found between age, grade, disease extent, and markers (CEA, CA19-9, AFP). Conclusions: Our findings suggest that [99mTc]Tc-EDDA/HYNIC-TOC SPECT/CT effectively evaluates somatostatin receptor expression in NENs. Certain immunohistochemical and laboratory parameters, beyond recognized factors, show potential prognostic value, supporting individualized treatment strategies. Full article
(This article belongs to the Special Issue Mathematical Oncology: Using Mathematics to Enable Cancer Discoveries)
Show Figures

Figure 1

22 pages, 3333 KB  
Article
A Regulatory Network of Arabinogalactan Proteins, Glycosylation, and Nucleotide Sugars for Optimizing Mara des Bois Strawberries Postharvest Storage Quality
by María Isabel Escribano, Irene Romero, María Teresa Sanchez-Ballesta and Carmen Merodio
Plants 2025, 14(17), 2796; https://doi.org/10.3390/plants14172796 - 6 Sep 2025
Viewed by 389
Abstract
Arabinogalactan proteins (AGPs) and extensins influence cell wall assembly and regulate plant cell mechanical properties through interactions with extracellular matrix polymers. These proteins may play a key role in the biochemical events underlying postharvest treatments aimed at controlling fruit texture and turgor loss [...] Read more.
Arabinogalactan proteins (AGPs) and extensins influence cell wall assembly and regulate plant cell mechanical properties through interactions with extracellular matrix polymers. These proteins may play a key role in the biochemical events underlying postharvest treatments aimed at controlling fruit texture and turgor loss associated with senescence-related disorders. We studied the temporal and spatial accumulation patterns of extensin and AGP isoforms constitutively expressed along with the profiling of nucleotide sugars UDP-galactose, UDP-arabinose, UDP-glucuronic acid, and UDP-rhamnose in Mara des Bois strawberries under different storage conditions. We also assessed the expression timing of AGP-encoding genes (FvAFP4, FvAGP5) and genes involved in key steps of post-translational glycosylation (FvP4H1, FvGAT20, FvGAT7). Whereas extensins are down-regulated, AGPs are transcriptionally regulated by cold and cold-high CO2 and post-translationally modulated after transfer to 20 °C. Based on their subcellular localization, molecular properties, isoform-specific glycosylation, UDP-sugar availability, and timing-regulated expression, AGPs are likely involved in cell wall assembly and modulation of mechanical properties. Consequently, they may influence fruit texture and enhanced softening resistance, potentially counteracting senescence-associated disorders through CO2-responsive signaling mechanisms. Conversely, the decrease in both UDP-galactose levels and AGPs gene expression in non-cold-stored senescent strawberries at 20 °C further supports their relevance in AGPs biosynthesis regulation and underscores their potential as markers for improving postharvest storage strategies. Full article
(This article belongs to the Special Issue Postharvest Quality and Physiology of Vegetables and Fruits)
Show Figures

Figure 1

14 pages, 1915 KB  
Article
Distinct Gut Microbiota Profiles Associated with Advanced Hepatocellular Carcinoma in a Thai Cohort: A 16S rRNA Sequencing Study
by Thanakorn Charoenthanadhol, Jutarop Phetcharaburanin, Theerayut Bubpamala, Aumkhae Sookprasert, Jarin Chindaprasirt, Thanachai Sanlung, Piyakarn Watcharenwong, Siraphong Putraveephong and Kosin Wirasorn
Cancers 2025, 17(17), 2915; https://doi.org/10.3390/cancers17172915 - 5 Sep 2025
Viewed by 630
Abstract
Background: Hepatocellular carcinoma (HCC) remains a major contributor to global cancer mortality. Increasing evidence suggests that the gut microbiota is a key modulator of liver disease progression and a promising source of non-invasive biomarkers. However, regional disparities in microbial profiles, influenced by [...] Read more.
Background: Hepatocellular carcinoma (HCC) remains a major contributor to global cancer mortality. Increasing evidence suggests that the gut microbiota is a key modulator of liver disease progression and a promising source of non-invasive biomarkers. However, regional disparities in microbial profiles, influenced by ethnicity, diet, and environment, limit the generalizability of the existing data. This study aimed to characterize gut microbiota alterations in Thai patients with advanced untreated HCC compared to healthy individuals. Method: Fecal samples from 27 untreated Thai advanced HCC patients were collected, and data from 31 healthy individuals retrieved from a previous study were employed. Gut microbiota profiles were analyzed using 16S rRNA gene sequencing. Results: Alpha diversity was significantly reduced in HCC patients (p < 0.001). At the phylum level, Proteobacteria and Firmicutes were enriched in HCC, whereas Actinobacteria were more abundant in controls. Proteobacteria and Bacteroidota levels were positively correlated with serum alpha-fetoprotein (AFP) levels, whereas Firmicutes were negatively correlated with ALBI scores. Conclusions: Thai patients with advanced HCC exhibited distinct gut microbial signatures, characterized by dysbiosis and expansion of Proteobacteria. These findings support the role of the gut microbiota as a potential non-invasive biomarker for disease severity and prognosis in HCC, underscoring the importance of population-specific microbial studies. Full article
(This article belongs to the Section Molecular Cancer Biology)
Show Figures

Figure 1

17 pages, 1568 KB  
Article
Cell-Free DNA Versus Circulating Tumor Cells: A Pilot Study of Alpha-Fetoprotein Analysis for Diagnosis and Treatment Monitoring in Hepatocellular Carcinoma
by Ga Young Moon, Hyun Sung Park, Ha Neul Kim, Hei-Gwon Choi, Yonghan Han, Hyuk Soo Eun, Tae Hee Lee and Jiyoon Bu
Biosensors 2025, 15(9), 579; https://doi.org/10.3390/bios15090579 - 4 Sep 2025
Viewed by 524
Abstract
Serum alpha-fetoprotein (AFP) is widely used for hepatocellular carcinoma (HCC) management, yet its limited sensitivity and specificity restrict diagnostic and prognostic utility. In this study, we explore the clinical potential of AFP quantification from cell-free DNA (cfDNA) and circulating tumor cells (CTCs) using [...] Read more.
Serum alpha-fetoprotein (AFP) is widely used for hepatocellular carcinoma (HCC) management, yet its limited sensitivity and specificity restrict diagnostic and prognostic utility. In this study, we explore the clinical potential of AFP quantification from cell-free DNA (cfDNA) and circulating tumor cells (CTCs) using a novel bead-based liquid biopsy platform. Following isolation, AFP abundance in cfDNA was quantified by qPCR, while AFP protein expression in CTCs was assessed via immunohistochemistry. Compared to serum AFP, cfDNA-derived AFP demonstrated significantly greater diagnostic accuracy in distinguishing HCC patients from non-cancerous individuals (p < 0.0001, AUC = 0.998), while AFP+ CTCs showed high specificity. Post-treatment changes in AFP levels from cfDNA and CTCs were significantly associated with therapeutic response and overall survival, outperforming conventional serum AFP. Longitudinal monitoring further revealed that cfDNA AFP levels reliably captured recurrence events prior to clinical diagnosis. Moreover, a combined metric integrating AFP levels from cfDNA and CTCs significantly improved response stratification (AUC = 0.89), outperforming individual biomarkers. This pilot study highlights the potential of multimodal AFP profiling through cfDNA and CTCs as a promising, non-invasive approach for enhancing diagnosis, prognosis, and treatment monitoring in HCC, with direct implications for personalized therapeutic strategies. Full article
Show Figures

Graphical abstract

50 pages, 5366 KB  
Review
Fiber-Reinforced Composites Used in the Manufacture of Marine Decks: A Review
by Lahiru Wijewickrama, Janitha Jeewantha, G. Indika P. Perera, Omar Alajarmeh and Jayantha Epaarachchi
Polymers 2025, 17(17), 2345; https://doi.org/10.3390/polym17172345 - 29 Aug 2025
Viewed by 1516
Abstract
Fiber-reinforced composites (FRCs) have emerged as transformative alternatives to traditional marine construction materials, owing to their superior corrosion resistance, design flexibility, and strength-to-weight ratio. This review comprehensively examines the current state of FRC technologies in marine deck and underwater applications, with a focus [...] Read more.
Fiber-reinforced composites (FRCs) have emerged as transformative alternatives to traditional marine construction materials, owing to their superior corrosion resistance, design flexibility, and strength-to-weight ratio. This review comprehensively examines the current state of FRC technologies in marine deck and underwater applications, with a focus on manufacturing methods, durability challenges, and future innovations. Thermoset polymer composites, particularly those with epoxy and vinyl ester matrices, continue to dominate marine applications due to their mechanical robustness and processing maturity. In contrast, thermoplastic composites such as Polyether Ether Ketone (PEEK) and Polyether Ketone Ketone (PEKK) offer advantages in recyclability and hydrothermal performance but are hindered by higher processing costs. The review evaluates the performance of various fiber types, including glass, carbon, basalt, and aramid, highlighting the trade-offs between cost, mechanical properties, and environmental resistance. Manufacturing processes such as vacuum-assisted resin transfer molding (VARTM) and automated fiber placement (AFP) enable efficient production but face limitations in scalability and in-field repair. Key durability concerns include seawater-induced degradation, moisture absorption, interfacial debonding, galvanic corrosion in FRP–metal hybrids, and biofouling. The paper also explores emerging strategies such as self-healing polymers, nano-enhanced coatings, and hybrid fiber architectures that aim to improve long-term reliability. Finally, it outlines future research directions, including the development of smart composites with embedded structural health monitoring (SHM), bio-based resin systems, and standardized certification protocols to support broader industry adoption. This review aims to guide ongoing research and development efforts toward more sustainable, high-performance marine composite systems. Full article
(This article belongs to the Section Polymer Composites and Nanocomposites)
Show Figures

Graphical abstract

26 pages, 2066 KB  
Review
Antioxidant Molecules in the Human Vitreous Body During Prenatal Eye Development
by Ina G. Panova, Tural Galbinur and Alexander S. Tatikolov
Antioxidants 2025, 14(9), 1041; https://doi.org/10.3390/antiox14091041 - 23 Aug 2025
Viewed by 777
Abstract
The structures of the developing eye may be damaged as a result of the impact of reactive oxygen species (ROS) interacting with different cellular components. The antioxidant molecules found in the eye, especially in the vitreous body—the largest component of the eye, playing [...] Read more.
The structures of the developing eye may be damaged as a result of the impact of reactive oxygen species (ROS) interacting with different cellular components. The antioxidant molecules found in the eye, especially in the vitreous body—the largest component of the eye, playing a crucial role in the formation of structures and functions of the developing eye—provide protection to the eye tissues from ROS. This review considers various antioxidant molecules (ascorbic acid, lutein, bilirubin, uric acid, catecholamines, erythropoietin, albumin, and alpha-fetoprotein) that have been found in the human vitreous body during the early stages of pregnancy (10–31 weeks of gestation) and their functions in the development of the eye. The presence of some molecules is transient (lutein, AFP), whereas a temporal decrease (albumin, bilirubin) or increase (ascorbic acid, erythropoietin) in the concentrations of other antioxidants is observed. Since the actual overall content of antioxidants in the developing vitreous body is probably much higher than that found to date, further research is needed to study antioxidants there. It is especially important to study the antioxidant status of the vitreous body at the earliest stages of its development. Antioxidants found suggest their use for the prophylactic of ocular diseases during pregnancy and finding new antioxidants could create an additional opportunity in this regard. Full article
Show Figures

Figure 1

16 pages, 309 KB  
Article
Authoritative Filial Piety Rather than Reciprocal Filial Piety Mediated the Relationship Between Parental Support, Career Decision Self-Efficacy, and Discrepancies Between Individual-Set and Parent-Set Career Goals
by Shanshan Guan, Fanrong Meng and Chenggang Wu
Behav. Sci. 2025, 15(8), 1135; https://doi.org/10.3390/bs15081135 - 21 Aug 2025
Viewed by 715
Abstract
Although a wealth of research has examined the predictors influencing the discrepancies between individual-set and parent-set career goals (DBIPCG), investigations grounded in collectivist cultural perspectives remain relatively scarce. Within collectivist societies, filial piety holds profound cultural significance. Drawing on a dual filial piety [...] Read more.
Although a wealth of research has examined the predictors influencing the discrepancies between individual-set and parent-set career goals (DBIPCG), investigations grounded in collectivist cultural perspectives remain relatively scarce. Within collectivist societies, filial piety holds profound cultural significance. Drawing on a dual filial piety framework encompassing reciprocal filial piety (RFP) and authoritative filial piety (AFP), this study aims to explore the interconnections among parental support, self-efficacy in career decision-making, dual filial piety orientations, and DBIPCG. The results indicated that parental support was negatively associated with DBIPCG. By contrast, self-efficacy in career decision-making did not predict DBIPCG directly. Instead, self-efficacy indirectly influenced DBIPCG, an effect mediated specifically by AFP rather than RFP, Furthermore, AFP was found to mediate the link between parental support and DBIPCG. These findings underscore the role of parental support in minimizing differences in career goal formation between generations and highlight the potentially adverse implications of AFP in exacerbating such discrepancies. Full article
(This article belongs to the Special Issue Psychological Research on Sexual and Social Relationships)
Back to TopTop