Sign in to use this feature.

Years

Between: -

Subjects

remove_circle_outline
remove_circle_outline
remove_circle_outline
remove_circle_outline
remove_circle_outline
remove_circle_outline
remove_circle_outline
remove_circle_outline
remove_circle_outline

Journals

remove_circle_outline
remove_circle_outline
remove_circle_outline
remove_circle_outline
remove_circle_outline
remove_circle_outline
remove_circle_outline
remove_circle_outline
remove_circle_outline
remove_circle_outline
remove_circle_outline

Article Types

Countries / Regions

remove_circle_outline
remove_circle_outline
remove_circle_outline
remove_circle_outline
remove_circle_outline
remove_circle_outline

Search Results (838)

Search Parameters:
Keywords = 9p21 locus

Order results
Result details
Results per page
Select all
Export citation of selected articles as:
16 pages, 764 KB  
Article
Establishment of CRISPR-Cas9-Mediated Gene Editing in the Swimming Crab Portunus trituberculatus
by Xiaopeng Wang, Xuhao Chen, Yueyue Zhou, Yun Zhao, Ce Shi, Ronghua Li, Lei Liu, Changkao Mu, Weiwei Song and Chunlin Wang
Molecules 2026, 31(2), 285; https://doi.org/10.3390/molecules31020285 - 13 Jan 2026
Abstract
Portunus trituberculatus is an economically important marine crustacean in East Asia’s aquaculture industry. Nevertheless, precise genome modification has not yet been established. In this study, we evaluated the applicability of the CRISPR-Cas9 gene editing system in P. trituberculatus using electroporation for efficient delivery [...] Read more.
Portunus trituberculatus is an economically important marine crustacean in East Asia’s aquaculture industry. Nevertheless, precise genome modification has not yet been established. In this study, we evaluated the applicability of the CRISPR-Cas9 gene editing system in P. trituberculatus using electroporation for efficient delivery of the Cas9-sgRNA complex into zygotes. We systematically investigated electroporation parameters, including buffer composition, voltage, capacitance, and pulse times. Our results showed that artificial seawater was a superior buffer to phosphate-buffered saline (PBS) and identified an effective electroporation condition of 600 V, 1 μF capacitance, and two pulses, resulting in approximately 72.7% fluorescent zygotes. Under these electroporated conditions, we detected gene indels and putative insertion events at the targeted locus of myostatin (mstn) gene. These results demonstrate the feasibility of Cas9-based genome editing in P. trituberculatus and provide a proof-of-concept for functional genomics studies and future genetic improvement of this species. Full article
(This article belongs to the Special Issue Biotechnology and Biomass Valorization)
18 pages, 1193 KB  
Article
Clinical Significance of cfiA Positivity Detected by Matrix-Assisted Laser Desorption/Ionization Time-of-Flight Mass Spectrometry in Bacteroides fragilis Infections
by Wing-Man Chik, Lam-Kwong Lee, Jason Chi-Ka Cheng, Suk-Han Yuen, Rocky Shum, Gilman Kit-Hang Siu and Sandy Ka-Yee Chau
Microorganisms 2026, 14(1), 168; https://doi.org/10.3390/microorganisms14010168 - 12 Jan 2026
Abstract
The MALDI-TOF MS Bruker Biotyper MBT subtyping IVD module enables the early detection of cfiA-positive Bacteroides fragilis (cfiA+ BF) during bacterial identification. However, the relationship between genetic positivity, phenotypic resistance, and clinical outcomes has not been fully elucidated. This retrospective [...] Read more.
The MALDI-TOF MS Bruker Biotyper MBT subtyping IVD module enables the early detection of cfiA-positive Bacteroides fragilis (cfiA+ BF) during bacterial identification. However, the relationship between genetic positivity, phenotypic resistance, and clinical outcomes has not been fully elucidated. This retrospective study analyzed B. fragilis isolates from three Hong Kong hospitals between 2021 and 2025 to examine their prevalence and the clinical utility of MALDI-TOF MS in rapid cfiA detection. Antibiotic susceptibility testing, cfiA gene detection using MALDI-TOF MS, and Oxford Nanopore sequencing were performed. Medical records were reviewed, and univariate analyses and multivariate logistic regression were used to identify factors associated with cfiA positivity and 30-day all-cause mortality. Overall, B. fragilis exhibited a high rate of antibiotic resistance. Concomitant resistance to carbapenems and metronidazole was identified in three isolates. Among the 166 isolates, 40 (24.1%) were cfiA-positive. cfiA detection by MALDI-TOF MS showed 100% concordance with the gene sequencing results and correlated strongly with phenotypic carbapenem resistance (Φ = 0.82, p < 0.001 for meropenem; Φ = 0.70, p < 0.001 for ertapenem; Φ = 0.63, p < 0.001 for imipenem). Phylogenetic analysis revealed two distinct clusters corresponding to cfiA status, each exhibiting genetic diversity based on multi-locus sequence typing (MLST). The cfiA+ BF isolates demonstrated high-level phenotypic carbapenem resistance in the presence of upstream insertion sequences. The predominant sequence type (ST) among cfiA+ BF isolates was ST157, and 70% of ST157 isolates harbored IS1187 in the upstream region of cfiA. Gene sequencing also identified other emerging beta-lactamase genes blaOXA-347 and blaMUN. The 30-day all-cause mortality following B. fragilis infection was 13.3%, with independent predictors including a high Charlson Comorbidity Index (OR = 1.30; p = 0.02) and the absence of early source control (OR = 4.84; p = 0.03). This study highlights the widespread occurrence of cfiA+ BF in Hong Kong and the clinical significance of rapid cfiA detection. Continuous surveillance is essential to monitor the ongoing threat of antibiotic resistance in B. fragilis. Full article
(This article belongs to the Special Issue Advances in Clinical Infections and Antimicrobial Resistance)
26 pages, 1861 KB  
Article
Whole-Genome Sequencing and Pathogenic Characterization of a Pasteurella multocida Serotype A Isolate from a Case of Respiratory Disease in Tan Sheep
by Yuxi Zhao, Pan Wang, Yuqiu Yang, Yarong Xu and Jiandong Wang
Microorganisms 2026, 14(1), 154; https://doi.org/10.3390/microorganisms14010154 - 9 Jan 2026
Viewed by 222
Abstract
Tan sheep are a characteristic and economically important local breed in the Ningxia Hui Autonomous Region of China, where respiratory diseases continue to pose challenges to animal health and production. In this study, a Pasteurella multocida strain (P6) was isolated from the lung [...] Read more.
Tan sheep are a characteristic and economically important local breed in the Ningxia Hui Autonomous Region of China, where respiratory diseases continue to pose challenges to animal health and production. In this study, a Pasteurella multocida strain (P6) was isolated from the lung tissue of a single Tan sheep presenting with severe and fatal respiratory disease, and subjected to case-based genomic and pathogenic characterization. The isolate was identified as capsular serotype A based on biochemical profiling, 16S rRNA gene sequencing, kmt-1 PCR, and capsular typing. To provide supportive evidence of virulence potential, a murine infection model was employed, in which P6 induced acute clinical signs and severe pulmonary lesions, including congestion, edema, hemorrhage, and fibrinous inflammatory exudation. Whole-genome sequencing revealed that strain P6 possesses a 2,289,251 bp genome with a GC content of 40.2%, encoding 2155 predicted genes and multiple mobile genetic elements, including genomic islands, prophages, transposons, and a CRISPR locus. Phylogenetic analysis based on seven housekeeping genes placed P6 in close relationship with strains 166CV and 103220, distinct from several rodent- and avian-derived isolates. Functional genomic analyses identified numerous genes associated with carbohydrate metabolism, secondary metabolite biosynthesis, host–pathogen interaction, virulence-related functions, and antimicrobial resistance. Comparative genomic analysis with the reference strain PM70 indicated a largely conserved functional framework, accompanied by a significant enrichment of mobilome-associated genes, suggesting enhanced genomic plasticity. Overall, this study provides a descriptive genomic overview of a P. multocida isolate associated with respiratory disease in Tan sheep and highlights its genetic features and potential adaptive capacity, while acknowledging the limitations inherent to a single-case investigation. Full article
(This article belongs to the Section Veterinary Microbiology)
Show Figures

Figure 1

18 pages, 2484 KB  
Article
Genetic Diversity of Streptococcus pneumoniae Isolated from Thirteen Arab Countries and over 22 Years: A Retrospective Bioinformatics Analysis
by Muhammad Halwani, Manal Al Daajani and Safa Boujemaa
Microbiol. Res. 2026, 17(1), 12; https://doi.org/10.3390/microbiolres17010012 - 7 Jan 2026
Viewed by 149
Abstract
Streptococcus pneumoniae (S. pneumoniae) is responsible for a wide range of infections. The aim of this study was to investigate the clonal diversity of S. pneumoniae in thirteen Arab countries. Multi-Locus Sequence Typing (MLST) data were extracted from PubMLST database. Genetic [...] Read more.
Streptococcus pneumoniae (S. pneumoniae) is responsible for a wide range of infections. The aim of this study was to investigate the clonal diversity of S. pneumoniae in thirteen Arab countries. Multi-Locus Sequence Typing (MLST) data were extracted from PubMLST database. Genetic analysis was performed using DnaSP software version 6.0. A Minimum Spanning Tree (MST) analysis was conducted to evaluate the population structure of S. pneumoniae strains. Genetic data from 1008 Arab S. pneumoniae strains, collected over 22 years (1996–2018), were analyzed. MLST analysis identified a highly diverse population comprising 600 sequence types grouped into 87 clonal complexes and 295 singletons. Both internationally disseminated clones (e.g., ST156) and country-specific lineages (e.g., ST2307, Saudi Arabia) were observed, indicating substantial geographic structuring. Significant associations were detected between sequence types and geographical origin, decade of isolation, patient age, disease type, and serotype (p < 0.05). Although recombination events were presented, the population retained a predominantly clonal structure over time (ISA = 0.0715, p < 0.001). Overall, these findings demonstrated extensive genetic heterogeneity and spatiotemporal structuring of S. pneumoniae in the Arab region, providing valuable insights for regional surveillance and vaccine-related strategies. Full article
Show Figures

Figure 1

12 pages, 1781 KB  
Article
Transcutaneous Auricular Vagus Nerve Stimulation Alleviates Headache Symptoms in Migraine Model Mice by the Locus Coeruleus/Noradrenergic System: An Experimental Study in a Mouse Model of Migraine
by Xingke Song, Zijie Chen, Haohan Zhu, Peijing Rong, Jinling Zhang, Xue Pu and Junying Wang
Biomedicines 2026, 14(1), 96; https://doi.org/10.3390/biomedicines14010096 - 2 Jan 2026
Viewed by 507
Abstract
Background/Objectives: Migraine is a complex neurological headache disorder, and transcutaneous auricular vagus nerve stimulation (taVNS) can effectively relieve headache symptoms, but its mechanism of effect is still unclear. This study aimed to explore the regulatory effects of taVNS on the locus coeruleus [...] Read more.
Background/Objectives: Migraine is a complex neurological headache disorder, and transcutaneous auricular vagus nerve stimulation (taVNS) can effectively relieve headache symptoms, but its mechanism of effect is still unclear. This study aimed to explore the regulatory effects of taVNS on the locus coeruleus (LC) and the norepinephrine (NE) system in migraine mice. Methods: C57/BL6 mice were randomly assigned to four experimental groups: the control group, model group, taVNS group, and sham taVNS group. A migraine model was established by administration of nitroglycerin. Headache behaviors were assessed using the orofacial stimulation test (OST) and the mouse grimace scale (MGS). Immunofluorescence staining was conducted to evaluate the expression of NE neurons in the LC, while Western blotting was used to determine the expression levels of α-2A adrenergic receptors in the spinal trigeminal nucleus caudalis (Sp5C). Additionally, fiber-optic recording was employed to monitor the real-time dynamics of NE release in Sp5C. Results: After taVNS intervention, the drinking time of OST in the model mice was significantly prolonged(p < 0.05), and facial expression scores were reduced (p < 0.05). TaVNS increased the number of NE neurons in the LC (p < 0.05), promoted the release of NE in Sp5C (p < 0.05), and upregulated the expression of α-2A adrenergic receptors in Sp5C (p < 0.05). Conclusions: The analgesic effects of taVNS are related to the activation of the LC-NE system and the inhibition of the decrease in Sp5C in migraine mice. Full article
(This article belongs to the Section Neurobiology and Clinical Neuroscience)
Show Figures

Figure 1

15 pages, 3784 KB  
Article
Identification of Novel QTLs for Iron Content and Development of KASP Marker in Wheat Grain
by Chang Liu, Zhankui Zeng, Xueyan Jing, Yue Zhao, Qunxiang Yan, Junge Bi and Chunping Wang
Agriculture 2026, 16(1), 105; https://doi.org/10.3390/agriculture16010105 - 31 Dec 2025
Viewed by 219
Abstract
Wheat (Triticum aestivum L.) is one of the most important staple crops in the world. Iron (Fe) plays a vital role in the growth and development of wheat as an essential nutrient. Meanwhile, Fe is closely associated with human health, as Fe [...] Read more.
Wheat (Triticum aestivum L.) is one of the most important staple crops in the world. Iron (Fe) plays a vital role in the growth and development of wheat as an essential nutrient. Meanwhile, Fe is closely associated with human health, as Fe deficiency anemia can cause fatigue, weakness, heart problems, and so on. In this study, quantitative trait loci (QTLs) for grain Fe content (GFeC) were detected in two populations: a recombinant inbred line (RIL) population with 175 lines derived from a cross between Avocet and Huites (AH population) genotyped with diversity array technology (DArT) and a natural population of 243 varieties (CH population) genotyped by using the 660K single-nucleotide polymorphism (SNP). Three stable QTLs (QGFe.haust-AH-5B, QGFe.haust-AH-6A, and QGFe.haust-AH-7A.2) were identified through QTL mapping with phenotypic variations of 11.55–13.63%, 3.58–9.89%, and 4.81–11.12% in the AH population in four environments. Genetic effects of QGFe.haust-AH-5B, QGFe.haust-AH-6A, and QGFe.haust-AH-7A.2 were shown to significantly increase GFeC by 8.11%, 14.05%, and 5.25%, respectively. One hundred and thirty-three significant SNPs were identified (p < 0.001) through a genome-wide association study (GWAS) for GFeC on chromosomes 1B, 2B, 3A, 3B, 5D, and 7A with phenotypic variations of 5.26–9.88% in the CH population. A novel locus was co-located within the physical interval 689.86 Mb-690.01 Mb in five environments through QTL mapping and GWAS, with one high-confidence gene, TraesCS7A02G499500, which was temporarily designated as TaqFe-7A, involved in GFeC regulation. A Kompetitive allele-specific PCR, KAFe-7A-2, was developed, which was validated in 181 natural populations. Genetic effect analysis revealed that favorable haplotype AA significantly increased GFeC by 4.64% compared to an unfavorable haplotype (p < 0.05). Therefore, this study provides the theoretical basis for cloning the GFeC gene and nutritional fortification breeding. Full article
(This article belongs to the Section Crop Genetics, Genomics and Breeding)
Show Figures

Figure 1

18 pages, 234058 KB  
Technical Note
A Xeno-Free Protocol for Rapid Differentiation of Human iPSC-Derived Microglia from the KOLF2.1J Reference Line
by Nélio A. J. Oliveira, Katherine R. Lewkowicz, Patricia A. Clow, Michael E. Ward, Mark R. Cookson, William C. Skarnes and Justin A. McDonough
Bioengineering 2026, 13(1), 45; https://doi.org/10.3390/bioengineering13010045 - 30 Dec 2025
Viewed by 342
Abstract
We present a detailed, xeno-free protocol for the rapid differentiation of human induced pluripotent stem cells (hiPSCs) into microglia using the well-characterized KOLF2.1J reference line. This system employs doxycycline-inducible expression of six transcription factors (6-TF), stably integrated into the CLYBL safe harbor locus, [...] Read more.
We present a detailed, xeno-free protocol for the rapid differentiation of human induced pluripotent stem cells (hiPSCs) into microglia using the well-characterized KOLF2.1J reference line. This system employs doxycycline-inducible expression of six transcription factors (6-TF), stably integrated into the CLYBL safe harbor locus, to drive uniform microglial differentiation within two weeks. Building upon an established transcription factor-driven approach, our protocol includes key optimizations for KOLF2.1J, including culture on Laminin-521 to support xeno-free conditions. The resulting i-Microglia exhibit hallmark features of mature microglia, including expression of P2RY12, loss of the pluripotency marker SSEA4, phagocytic activity, and upregulation of immune markers (e.g., CD80, CD83) upon LPS stimulation. We also demonstrate compatibility with co-culture systems using iPSC-derived neurons. Additionally, we describe a modification of the line to include a constitutive mCherry reporter integrated into the SH4-2 safe harbor locus, enabling fluorescent tracking of microglia in mixed cultures or in vivo. This protocol provides a reproducible and scalable platform for generating functional human microglia from a widely used hiPSC line, supporting applications in brain tumors and disease modeling, neuroinflammation research, and therapeutic screening. Full article
(This article belongs to the Special Issue Advancing Treatment for Brain Tumors)
Show Figures

Figure 1

16 pages, 4053 KB  
Article
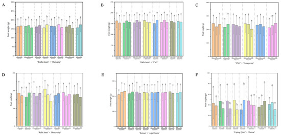
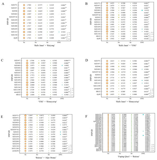
Application of Genome-Assisted Prediction (GAP) for Apple Fruit Weight
by Meng Yu, Yingying Yang, Bin Liang, Yujia Peng, Li Liu and Yazhou Yang
Plants 2026, 15(1), 65; https://doi.org/10.3390/plants15010065 - 25 Dec 2025
Viewed by 304
Abstract
Apple fruit weight is a critical quantitative trait controlled by multiple genes, with numerous quantitative trait loci (QTLs) having been identified. This study evaluated the potential of genome-assisted prediction (GAP) by genotyping 573 hybrids from six populations with 70 previously identified quantitative trait [...] Read more.
Apple fruit weight is a critical quantitative trait controlled by multiple genes, with numerous quantitative trait loci (QTLs) having been identified. This study evaluated the potential of genome-assisted prediction (GAP) by genotyping 573 hybrids from six populations with 70 previously identified quantitative trait locus (QTL)-based markers. Genetic diversity and marker-trait association (MTA) analyses identified two optimized marker combinations. Results showed that using the screened marker combination with moderate PIC (Polymorphism Information Content, PIC) and HWE-conforming (Hardy–Weinberg Equilibrium, HWE) significantly increased accuracy compared to the full marker set in specific populations, such as ‘YM1’ × ‘Honeycrisp’ (Y × H; r increased from 0.115 to 0.204; p < 0.05) and ‘Fuping Qiuzi’ × ‘Ruixue’ (Q × RX; r increased from 0.482 to 0.576; p < 0.001). MTA-based (marker-trait association, MTA) marker combinations achieved the highest accuracy in most populations, particularly in Q × RX (r = 0.5766, p < 0.001) and Y × H (r = 0.2475, p < 0.05). In contrast, the full marker set showed population dependence (r ranging from −0.088 to 0.482). These results indicate that the 70 markers were not generally effective across diverse apple hybrids. We propose a procedure for screening effective markers (PIC, HWE, MTA), providing a practical framework and theoretical foundation for implementing GAP in apple breeding. Full article
Show Figures

Figure 1

14 pages, 2223 KB  
Article
Single Nucleotide Polymorphisms in the Promoter Region of MyoG Gene Affecting Growth Traits and Transcription Factor Binding Sites in Guizhou White Goat (Capra hircus)
by Xingchao Song, Huaixin Long, Jinzhu Meng, Yuanyuan Zhao, Zhenyang Wu and Qingming An
Genes 2026, 17(1), 14; https://doi.org/10.3390/genes17010014 - 25 Dec 2025
Viewed by 203
Abstract
Objective: Growth traits are important economic characteristics in livestock. Genetic polymorphism has great influences on the improvement of goat growth traits. As an important member of the myogenic regulatory factor (MRFs) family, MyoG gene polymorphisms can alter the growth characteristics in goats. [...] Read more.
Objective: Growth traits are important economic characteristics in livestock. Genetic polymorphism has great influences on the improvement of goat growth traits. As an important member of the myogenic regulatory factor (MRFs) family, MyoG gene polymorphisms can alter the growth characteristics in goats. In this study, we aimed to investigate the regulation mechanism of the MyoG gene promoter region from the perspective of single nucleotide polymorphisms (SNPs) and transcription factors. Methods: Genomic DNA sequencing was carried out to detect SNPs in the −1000 bp upstream to 300 bp downstream of the MyoG gene promoter region in 224 Guizhou White goats (Capra hircus), and the genetic parameters of novel SNPs were calculated. The association between SNPs and growth traits, comprising body weight, body length, body height, chest circumference and cannon circumference, were analyzed using one-way ANOVA by IBM SPSS 23.0 software according to the general linear model. Transcription factor binding sites in the promoter region of the MyoG gene before and after mutation were predicted using bioinformatics software programs. Results: Four SNPs, including g.–709C>T, g.–461G>T, g.–377G>T and g.–249G>A, were identified in the 1 246 bp promoter region of the MyoG gene in Guizhou White goats. Based on χ2 test, the g.–709C>T and g.–461G>T loci were consistent with Hardy–Weinberg equilibrium, while two other SNPs were deviated from Hardy–Weinberg equilibrium in Guizhou White goats. Association analysis revealed that the body weight of those with the CT genotype at the g.–709C>T locus was greater than of those with the CC and TT genotypes in Guizhou White goats (p < 0.05). At the g.–461G>T locus, the body weight of individuals with the GG genotype was significantly higher than that of those with GT genotype (p < 0.01). The body length of individuals with the GG genotype formed by the g.–249G>A locus was significantly higher than that of those with the GA genotype (p < 0.01). Online software programs found that four SNPs within the promoter region of the MyoG gene changed some transcription factor binding sites. Conclusions: Mutations of the MyoG gene promoter region may have a significant regulatory effect on the growth traits of Guizhou White goats. The small sample size may be one of the limitations for this study; nevertheless, these findings could provide a theoretical basis for further exploring the relationship between the four SNPs studied and the growth traits in Guizhou White goats, as well as the promoter function of the MyoG gene. Full article
Show Figures

Figure 1

15 pages, 1312 KB  
Article
Management and Genetic Diversity of an Italian Pistacia Collection Through Microsatellite Markers
by Nicola Santillo, Sabrina Micali, Ignazio Verde and Elisa Vendramin
Int. J. Mol. Sci. 2026, 27(1), 13; https://doi.org/10.3390/ijms27010013 - 19 Dec 2025
Viewed by 218
Abstract
Conservation and characterization of germplasm collections are essential for safeguarding agrobiodiversity and supporting breeding programs. A collection of 140 accessions comprising three different Pistacia species, P. integerrima, P. terebinthus, and P. vera, was analyzed using 27 EST-SSR markers. On average, [...] Read more.
Conservation and characterization of germplasm collections are essential for safeguarding agrobiodiversity and supporting breeding programs. A collection of 140 accessions comprising three different Pistacia species, P. integerrima, P. terebinthus, and P. vera, was analyzed using 27 EST-SSR markers. On average, 3.4 alleles per locus, and 28.2% rare alleles were found. Observed heterozygosity (Ho = 0.36) was lower than expected (He = 0.48), while five loci displayed PIC values above 0.50, highlighting their high informativeness. The phylogenetic analysis clearly separated the three species. Among P. vera samples, Nj tree and population structure analysis identified three main sub-groups: Eastern Mediterranean/Middle Eastern accessions, Italian traditional cultivars, and US modern cultivars. The first group showed higher internal variability, reflecting both local diversification and historical genetic exchanges. Through the use of EST-SSR markers, the present study assesses the genetic diversity within the Pistacia collection while highlighting errors due to mislabeling issues. These results confirm the effectiveness of microsatellite markers to provide a framework for the management and exploitation of genetic diversity for breeding and conservation strategies, also in the Pistacia genus. Full article
(This article belongs to the Section Molecular Plant Sciences)
Show Figures

Figure 1

23 pages, 4845 KB  
Article
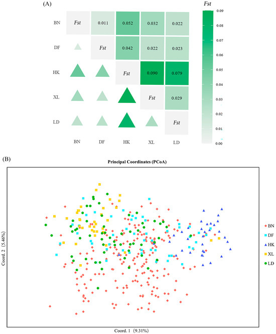
Accelerating Dalbergia odorifera Plantation Breeding: SSR-Based Genetic Diversity and Trait Associations for Enhanced Heartwood Yield
by Xinyue Hou, Ruxue Bai, Rongtao Li, Jiawen Li, Yun Yang, Haoling Li, Bo Chen, Liangming Huang, Hui Meng and Jianhe Wei
Plants 2025, 14(24), 3787; https://doi.org/10.3390/plants14243787 - 12 Dec 2025
Viewed by 389
Abstract
Dalbergia odorifera T. Chen possesses significant aromatic, medicinal, and timber value, yet its wild populations are critically endangered due to habitat degradation. Breeding programs are urgently needed to address resource shortages, but the suitability of large-scale plantations as alternative genetic resources remains unverified. [...] Read more.
Dalbergia odorifera T. Chen possesses significant aromatic, medicinal, and timber value, yet its wild populations are critically endangered due to habitat degradation. Breeding programs are urgently needed to address resource shortages, but the suitability of large-scale plantations as alternative genetic resources remains unverified. This study systematically evaluated the genetic diversity of 380 individuals from five populations using 24 polymorphic SSR markers, identifying 278 alleles. The results demonstrated a moderate level of genetic diversity in plantation populations, comparable to wild resources. Additionally, nine phenotypic traits were measured in 70 individuals. Correlation analysis revealed that the heartwood ratio (HWR) was significantly positively correlated with diameter at breast height (DBH) and ground diameter (GD) (p ≤ 0.05). Our association analysis, based on general linear (GLM) and mixed linear models (MLM), revealed two key findings: one locus (96c-345) was significantly associated with diameter traits, and four loci (34a-241, S03-265, JXHT097-252, JXHT136-270) were strongly linked to the HWR (p ≤ 0.01). This research provides initial evidence that plantations are viable substitutes for wild germplasm and establishes a foundation for marker-assisted breeding in this valuable species. Full article
(This article belongs to the Special Issue Genetic Breeding of Trees)
Show Figures

Figure 1

18 pages, 3908 KB  
Article
Identification of Regulators for Antigen-Specific CD8+ T Cells in African Swine Fever Virus-Restored Pigs
by Fanghong Zhang, Siqi Niu, Alegria Agostinho Francisco, Beneque Alberto Anzol, Min Yao, Guopin Liu, Jianwu Wang and Tinghua Huang
Vet. Sci. 2025, 12(12), 1184; https://doi.org/10.3390/vetsci12121184 - 11 Dec 2025
Viewed by 358
Abstract
Background: Individual differences in immune responses to African swine fever virus (ASFV), whether induced by vaccination or natural infection, may be linked to genetic variation in the genes involved in antigen presentation. Methods: A total of nine pigs from the 112-population were selected [...] Read more.
Background: Individual differences in immune responses to African swine fever virus (ASFV), whether induced by vaccination or natural infection, may be linked to genetic variation in the genes involved in antigen presentation. Methods: A total of nine pigs from the 112-population were selected for RNA-seq analysis. To pinpoint key transcription factors (TFs) regulating gene expression in the lymph nodes, weighted Kendall’s Tau rank correlation analysis was performed to link the TF binding potential with the extent of differential expression of target genes. Results: CD8+ T cells expressing a specific epitope of the ASFV p72 protein (ACD8+) accounted for 41% of the total CD8+ T cells in peripheral blood. A total of 2062 transcripts were identified as differentially expressed across the nine pigs (q-value < 1 × 10−8). Differential expression levels of the target genes for MECP2, ETS1, ZBTB33, ELK4, and E2F4 were significantly correlated with their TF binding potential (p < 0.05). Six SNPs were identified in the promoter region of ELK4. Analysis of the 112-pig population revealed that SNPs at S.-404A>G and S.-668C>T loci were significantly associated with ACD8+ levels (q-value < 0.01). Individuals with the AA genotype at S.-404A>G had significantly higher ACD8+ counts compared to those with AG and GG genotypes (q-value < 0.05). At the S.-668C>T locus, ACD8+ levels were highest in the CC genotype, followed by CT and TT genotypes, with CC showing notably higher ACD8+ counts (q-value < 0.05). Notably, the S.-404A>G site overlaps with potential binding sites for TFs FOXA2, GATAs, and TRPS1, while the S.-668C>T site lies within the binding regions for NR1H3, RARA, VDR, and NR1I3. Conclusion: These mutations may disrupt TFs binding to the ELK4 promoter, potentially reducing ELK4 expression and impairing antigen processing and presentation. Full article
(This article belongs to the Section Veterinary Biomedical Sciences)
Show Figures

Figure 1

17 pages, 2800 KB  
Article
Molecular Characterization of Oral Epithelial Dysplasia and Oral Squamous Cell Carcinoma Using EGFR, CDKN2A, and HRAS Alterations
by Satoshi Okubo, Satoru Miyabe, Masahiro Fukumura, Jun Sasaki, Hitoshi Fujii, Fumitaka Terasawa, Satoshi Watanabe, Soma Okada, Megumi Miyabe, Katsuyuki Miyabe, Yoshihiko Sugita, Hatsuhiko Maeda, Sanako Nakaya, Kaori Sakane, Seiji Yamada, Nitin Bhola, Saman Warnakulasuriya, Toru Nagao and Mitsuo Goto
Cancers 2025, 17(24), 3949; https://doi.org/10.3390/cancers17243949 - 10 Dec 2025
Viewed by 416
Abstract
Background/Objectives: Oral squamous cell carcinoma (OSCC) often presents at an advanced stage; therefore, the early detection of precursor lesions is crucial. However, the risk assessment of precursor lesions such as oral epithelial dysplasia (OED) remains challenging because of the subjectivity of histopathological grading. [...] Read more.
Background/Objectives: Oral squamous cell carcinoma (OSCC) often presents at an advanced stage; therefore, the early detection of precursor lesions is crucial. However, the risk assessment of precursor lesions such as oral epithelial dysplasia (OED) remains challenging because of the subjectivity of histopathological grading. We aimed to identify molecular markers that enhance the diagnostic accuracy and prognostic stratification of OSCC and explore the differences in the molecular characterization of OED and OSCC using a few selected markers. Methods: A two-step diagnostic workflow was applied: (1) FISH evaluation of EGFR amplification and CDKN2A deletion to distinguish OED from OSCC and identify EGFR-dependent tumors, and (2) HRAS immunohistochemistry performed exclusively in EGFR-negative OSCCs to stratify EGFR-independent cases. Fluorescence in situ hybridization (FISH) was used to assess seven EGFR/cell cycle-related genes (CCND1, CDKN2A, EGFR, PIK3CA, PTEN, TP53, and 1p36 locus) in 117 formalin-fixed paraffin-embedded samples (66 OED and 51 OSCC) and 10 normal mucosa samples. HRAS expression was evaluated using immunohistochemistry (IHC) in 36 EGFR amplification-negative OSCCs samples. Results:EGFR amplification was frequent in OSCC, whereas CDKN2A deletion was common in OED. The EGFR-amplified/ CDKN2A-intact profile showed high specificity for OSCC and improved diagnostic performance (area under the curve = 0.77) when combined with the Ki-67 labeling index. It also predicted poor disease-free survival (hazard ratio [HR] = 5.08, p = 0.016) and overall survival (HR = 6.10, p = 0.047). Among EGFR-negative OSCCs, HRAS overexpression was associated with advanced-stage disease and a poor prognosis (HR = 6.15, p = 0.043). Conclusions:EGFR amplification was frequent in OSCC, and CDKN2A deletion was prevalent in OED, supporting their use as molecular markers for differential diagnoses. FISH for EGFR/CDKN2A and HRAS IHC can stratify OSCC by diagnosis and prognosis, enabling practical molecular subclassification, including EGFR-negative cases. Full article
(This article belongs to the Special Issue Molecular Mechanisms in Head and Neck Cancer)
Show Figures

Figure 1

30 pages, 1489 KB  
Review
MTAP-Null Tumors: A Comprehensive Review on Synthetic Vulnerabilities and Therapeutic Strategies
by Bavani Subramaniam, Wai Chin Chong, Aylar Babaei, Miriam Bornhorst, Chunchao Zhang, Roger Packer and Javad Nazarian
Cells 2025, 14(24), 1964; https://doi.org/10.3390/cells14241964 - 10 Dec 2025
Viewed by 812
Abstract
Homozygous deletion of the 9p21.3 genomic locus spanning the CDKN2A/B and MTAP genes is an event affecting 15% of cancers. While CDKN2A is a well-established tumor suppressor gene, the role of MTAP in tumorigenesis varies across cancer types. MTAP codes for methylthioadenosine phosphorylase, [...] Read more.
Homozygous deletion of the 9p21.3 genomic locus spanning the CDKN2A/B and MTAP genes is an event affecting 15% of cancers. While CDKN2A is a well-established tumor suppressor gene, the role of MTAP in tumorigenesis varies across cancer types. MTAP codes for methylthioadenosine phosphorylase, a key enzyme in the methionine salvage pathway, and its loss has been associated with several downstream synthetic vulnerabilities. Despite multiple efforts to exploit MTAP loss for targeted therapies, none of these efforts have yielded substantial results in clinical trials. In this review, we consolidate the existing literature along with our systematic analysis to provide an updated perspective on the incidence of MTAP loss in different cancers and elucidate its impact on metabolism, immune microenvironment, and tumor progression. In addition, we summarize the therapeutic strategies that have been investigated preclinically on MTAP-null tumors before and after the advent of functional genomic screening tools. We further assess the current landscape of clinical trials investigating MTAP-targeted inhibitors, evaluating their limitations and potential avenues for improvement. The insights gained from this review will inform future research directions beyond the promising PRMT5/MAT2A axis for rational combination therapies that would work synergistically to eradicate this devastating disease. Full article
(This article belongs to the Section Cellular Metabolism)
Show Figures

Figure 1

15 pages, 2791 KB  
Article
New Records of Canker-Causing Pathogens of Acacia spp. and Pithecellobium dulce in Southern Italy
by Giuseppa Rosaria Leonardi, Laura Vecchio, Giorgio Gusella, Dalia Aiello, Hermann Voglmayr and Giancarlo Polizzi
J. Fungi 2025, 11(12), 874; https://doi.org/10.3390/jof11120874 - 10 Dec 2025
Viewed by 543
Abstract
Surveys conducted in a nursery located in eastern Sicily, southern Italy, revealed the presence of plants of Vachellia nilotica (syn. Acacia arabica), V. farnesiana (syn. A. farnesiana) and Pithecellobium dulce showing symptoms of trunk and branch canker, shoot dieback and general [...] Read more.
Surveys conducted in a nursery located in eastern Sicily, southern Italy, revealed the presence of plants of Vachellia nilotica (syn. Acacia arabica), V. farnesiana (syn. A. farnesiana) and Pithecellobium dulce showing symptoms of trunk and branch canker, shoot dieback and general decline. Laboratory fungal isolation from wood tissues showed high percentage of Diaporthe-like (60–62%) and Botryosphaeriaceae-like fungi (21–85%) constantly associated with the diseased samples. Subsequent molecular characterization of recovered isolates was based on sequencing of the complete internally transcribed spacer region (ITS), the translation elongation factor 1-alpha (tef1) and the beta-tubulin (tub2) regions, followed by multi-locus phylogenetic analyses. The isolates collected from symptomatic tissues were phylogenetically characterized as Diaporthe foeniculina and Neofusicoccum parvum. Pathogenicity tests were conducted on Acacia and P. dulce plants and results showed that both species were pathogenic, being able to induce necrotic lesions on the stem. To our knowledge this is the first report worldwide of D. foeniculina and N. parvum infecting A. arabica, A. farnesiana and P. dulce. Full article
(This article belongs to the Section Fungal Pathogenesis and Disease Control)
Show Figures

Figure 1

Back to TopTop