Sign in to use this feature.

Years

Between: -

Subjects

remove_circle_outline
remove_circle_outline
remove_circle_outline
remove_circle_outline
remove_circle_outline
remove_circle_outline
remove_circle_outline

Journals

Article Types

Countries / Regions

Search Results (29)

Search Parameters:
Keywords = 3D nonlinear time history analysis

Order results
Result details
Results per page
Select all
Export citation of selected articles as:
19 pages, 3698 KB  
Article
Aftershock Effect on Seismic Behavior of 3D Steel Moment-Resisting Frames
by Arezou Behrouz and Kadir Ozakgul
Buildings 2025, 15(15), 2614; https://doi.org/10.3390/buildings15152614 - 23 Jul 2025
Viewed by 540
Abstract
Aftershocks are inevitable phenomena following a mainshock, especially after a major earthquake. However, the cumulative damage caused by aftershocks and its impact on structural performance evaluation has only recently received significant attention. This study explores the effects of mainshock–aftershock (MS–AS) sequences, including multiple [...] Read more.
Aftershocks are inevitable phenomena following a mainshock, especially after a major earthquake. However, the cumulative damage caused by aftershocks and its impact on structural performance evaluation has only recently received significant attention. This study explores the effects of mainshock–aftershock (MS–AS) sequences, including multiple consecutive aftershocks, acting on 3D steel moment-resisting frame structures. Following nonlinear time history analysis, several fundamental variables such as residual interstory drift, maximum displacement, plastic hinge formation, and base shear are evaluated to examine cumulative damage. In this context, the findings depicted in terms of aftershocks play a significant role in exacerbating plastic deformations and damage accumulation in steel moment frames. Subsequently, to mitigate cumulative damage on steel moment frames, retrofitting strategies were implemented. Retrofitting strategies effectively reduce cumulative damage and improve seismic resilience under multiple earthquake events. This research highlights the limitations of single-event seismic assessments and the need to incorporate sequential earthquake effects in design and retrofit practices. Furthermore, it provides new insights into mitigating further damage by retrofitting existing structures under multiple earthquakes. Full article
(This article belongs to the Section Building Structures)
Show Figures

Figure 1

30 pages, 11015 KB  
Article
Seismic Comparison of Hybrid Steel–Reinforced Concrete and Conventional Frames
by Paraskevi K. Askouni
Appl. Sci. 2025, 15(7), 3772; https://doi.org/10.3390/app15073772 - 29 Mar 2025
Viewed by 1673
Abstract
Conventional buildings made of reinforced concrete (r/c) or steel are practically encountered daily in common construction practice. Current regulations offer complete guidance on the seismic design and dimensioning of typical structures made of the same structural material throughout. Nevertheless, in the case of [...] Read more.
Conventional buildings made of reinforced concrete (r/c) or steel are practically encountered daily in common construction practice. Current regulations offer complete guidance on the seismic design and dimensioning of typical structures made of the same structural material throughout. Nevertheless, in the case of a structure constructed with r/c structural elements at the lower part and steel structural elements at the upper part, forming a so-called hybrid steel–r/c building is common. The present regulations do not address hybrid buildings in design or dimensioning. This study aims to fill this gap in the literature by comparing the seismic performance of 3D hybrid buildings to conventional r/c and steel buildings. Three sets of buildings are designed and dimensioned, namely r/c buildings, steel ones, and hybrid steel–r/c ones. The considered r/c, steel, and hybrid models are subjected to the same strong ground excitations using a nonlinear time history analysis, considering the potential impact of the excitation orientation. Especially for hybrid models, two limit interconnection conditions are dealt with, characterized here as a “fixed” or “fixed-pinned” support of the steel part upon the r/c one. Unitless parameters are selected to compare the seismic response diagrams to determine the most detrimental structural effect. The advantages and disadvantages of r/c, steel, and hybrid buildings are comparatively discussed in terms of seismic resilience, noting that a hybrid configuration provides a promising alternative for seismic performance compared to typical constructions, thus providing enhanced possibilities in structural design. The analysis results show that fewer structural failures occur for hybrid buildings compared to conventional ones when subjected to the same earthquake excitations. The findings suggest that hybrid buildings could be a viable solution for practical construction projects, particularly in seismic-prone areas. Full article
Show Figures

Figure 1

30 pages, 5700 KB  
Article
Comparison of Seismic Site Factor Models Based on Equivalent Linear and Nonlinear Analyses and Correction Factors for Updating Equivalent Linear Results for Charleston, South Carolina
by Nadarajah Ravichandran, Md. Ariful H. Bhuiyan, Vishnu Saketh Jella, Ashish Bahuguna and Jatheesan Sundararajan
Geosciences 2025, 15(4), 115; https://doi.org/10.3390/geosciences15040115 - 24 Mar 2025
Viewed by 872
Abstract
In practice, site-specific one-dimensional (1D) seismic site response analyses are conducted to compute surface acceleration time histories considering shear wave velocity profile, modulus reduction, damping, and site-specific ground motions. The computed surface responses depend not only on the geologic and seismic characteristics but [...] Read more.
In practice, site-specific one-dimensional (1D) seismic site response analyses are conducted to compute surface acceleration time histories considering shear wave velocity profile, modulus reduction, damping, and site-specific ground motions. The computed surface responses depend not only on the geologic and seismic characteristics but also on the type of 1D analysis (i.e., equivalent linear or nonlinear) and the software. Equivalent linear analysis (EQLA) is preferred by practicing engineers because the analysis procedure is well defined, but the accuracy of the results is questionable for certain geologic and input motion characteristics. On the other hand, nonlinear analysis (NNLA) is accurate for any geologic and input motion characteristics, but it is complicated because certain steps in the analysis procedure are complicated and not well defined. The objective of this study is to compare the responses computed from EQLA and NNLA procedures and make recommendations on when to use EQLA and NNLA, considering Charleston, South Carolina; geology; and seismicity. About 18,000 NNLAs (DMOD2000 and DEEPSOIL) and EQLAs (SHAKE2000) were performed, considering variations in shear wave velocity profiles, shear modulus reduction curves, damping curves, and ground motions. Based on the results from each software, three seismic site factor models were developed and compared with the published models. Results show that the EQLAs produced conservative estimates compared to the NNLAs. It is also observed that the site factor model based on EQLA diverges from the models based on NNLA even at the lowest amplitude shaking considered in the study (0.05 g), particularly for profiles with low shear wave velocity. This indicates that soils behave nonlinearly even at low amplitude shaking. Although a similar shear stress/shear strain model is used in DMOD2000 and DEEPSOIL, the site factor models show significant differences. Finally, an easy-to-use chart was developed to select suitable software and analysis types for accurately computing the surface responses based on the peak ground acceleration (PGA) of the input motion at the reference rock outcrop and average shear wave velocity in the top 30 m. Full article
(This article belongs to the Section Natural Hazards)
Show Figures

Figure 1

19 pages, 12045 KB  
Article
A Topological Approach to Enhancing Consistency in Machine Learning via Recurrent Neural Networks
by Muhammed Adil Yatkin, Mihkel Kõrgesaar and Ümit Işlak
Appl. Sci. 2025, 15(2), 933; https://doi.org/10.3390/app15020933 - 18 Jan 2025
Cited by 2 | Viewed by 1529
Abstract
The analysis of continuous events for any application involves the discretization of an event into sequences with potential historical dependencies. These sequences represent time stamps or samplings of a continuous process collectively forming a time series dataset utilized for training recurrent neural networks [...] Read more.
The analysis of continuous events for any application involves the discretization of an event into sequences with potential historical dependencies. These sequences represent time stamps or samplings of a continuous process collectively forming a time series dataset utilized for training recurrent neural networks (RNNs) such as Long Short-Term Memory (LSTM) and Gated Recurrent Unit (GRU) for pattern prediction. The challenge is to ensure that the estimates from the trained models are consistent in the same input domain for different discretizations of the same or similar continuous history-dependent events. In other words, if different time stamps are used during the prediction phase after training, the model is still expected to give consistent predictions based on the knowledge it has learned. To address this, we present a novel RNN transition formula intended to produce consistent estimates in a wide range of engineering applications. The approach was validated with synthetically generated datasets in 1D, 2D, and 3D spaces, intentionally designed to exhibit high non-linearity and complexity. Furthermore, we have verified our results with real-world datasets to ensure practical applicability and robustness. These assessments show the ability of the proposed method, which involves restructuring the mathematical structure and extending conventional RNN architectures, to provide reliable and consistent estimates for complex time series data. Full article
(This article belongs to the Special Issue Deformation and Fracture Behaviors of Materials)
Show Figures

Figure 1

26 pages, 9795 KB  
Article
Three-Dimensional Site Response Analysis of Clay Soil Considering the Effects of Soil Behavior and Type
by Rania Al-Ahmar, Mayada Al Ahmad Al Kousa, Amjad Al-Helwani and George Wardeh
CivilEng 2024, 5(4), 866-891; https://doi.org/10.3390/civileng5040045 - 8 Oct 2024
Viewed by 2210
Abstract
To understand changes in bedrock motion at the ground surface, frequency effects, and spatial distribution within the soil, it is important to look at how a site responds to earthquakes. This is important for soil–structure interaction in structural and geotechnical earthquake engineering. This [...] Read more.
To understand changes in bedrock motion at the ground surface, frequency effects, and spatial distribution within the soil, it is important to look at how a site responds to earthquakes. This is important for soil–structure interaction in structural and geotechnical earthquake engineering. This study deals with the effect of classifying clays according to shear wave velocity (stiff/medium/soft) and nonlinearity in behavior (linear/nonlinear) on the analysis of the site response. A 3D soil model with a combination of free fields and quiet boundaries and advanced constitutive models for soil to obtain accurate results was used to conduct this study. A strong TABAS earthquake was used to excite the compliant base of the model after converting the velocity record of TABAS to an equivalent surface traction force using a horizontal force–time history proportional to the velocity–time history. This study reveals that the site response analysis is affected by the type of clay soil and the soil material behavior, with soft clay soil causing higher PGV and PGV values in the linear case and lower values in the nonlinear case due to soil yielding, which causes soil response attenuation. This results in extremely conservative and expensive building designs when linear soil behavior is adopted. On the other hand, the applied earthquake exhibits greater attenuation at longer frequencies and greater amplification at mid and short frequencies. However, at frequencies near the applied earthquake frequency, neither attenuation nor amplification occurs. Furthermore, nonlinear soil behavior is crucial for soil evaluation and foundation design due to higher octahedral shear strain and settlement values, especially in softer soils, resulting from extensive plastic deformation. Full article
(This article belongs to the Collection Recent Advances and Development in Civil Engineering)
Show Figures

Graphical abstract

29 pages, 11029 KB  
Article
The Use of Externally Bonded Fibre Reinforced Polymer Composites to Enhance the Seismic Resilience of Single Shear Walls: A Nonlinear Time History Assessment
by Ali Abbaszadeh and Omar Chaallal
J. Compos. Sci. 2024, 8(6), 229; https://doi.org/10.3390/jcs8060229 - 17 Jun 2024
Viewed by 1331
Abstract
In medium- to high-rise buildings, single shear walls (SSWs) are often used to resist lateral force due to wind and earthquakes. They are designed to dissipate seismic energy mainly through plastic hinge zones at the base. However, they often display large post-earthquake deformations [...] Read more.
In medium- to high-rise buildings, single shear walls (SSWs) are often used to resist lateral force due to wind and earthquakes. They are designed to dissipate seismic energy mainly through plastic hinge zones at the base. However, they often display large post-earthquake deformations that can give rise to many economic and safety concerns within buildings. Hence, the primary objective of this research study is to minimize residual deformations in existing SSWs located in the Western and Eastern seismic zones of Canada, thereby enhancing their resilience and self-centering capacity. To that end, four SSWs of 20 and 15 stories, located in Vancouver and Montreal, were meticulously designed and detailed per the latest Canadian standards and codes. The study assessed the impact of three innovative strengthening schemes on the seismic response of these SSWs through 2D nonlinear time history (NLTH) analysis. All three strengthening schemes involved the application of Externally Bonded Fiber Reinforced Polymer (EB-FRP) to the shear walls. Accordingly, a total of 208 NLTH analyses were conducted to assess the effectiveness of all strengthening configurations. The findings unveiled that the most efficient technique for reducing residual drift in SSWs involved applying three layers of vertical FRP sheets to the extreme edges of the wall, full FRP wrapping the walls, and full FRP wrapping of the plastic hinge zone. Nevertheless, it is noteworthy that implementing these strengthening schemes may lead to an increase in bending moment and base shear force demands within the walls. Full article
(This article belongs to the Special Issue Polymer Composites and Fibers, Volume II)
Show Figures

Figure 1

26 pages, 2031 KB  
Article
Exploring the Depths: Soliton Solutions, Chaotic Analysis, and Sensitivity Analysis in Nonlinear Optical Fibers
by Muhammad Shakeel, Xinge Liu and Fehaid Salem Alshammari
Fractal Fract. 2024, 8(6), 317; https://doi.org/10.3390/fractalfract8060317 - 27 May 2024
Cited by 1 | Viewed by 1314
Abstract
This paper discusses the time-fractional nonlinear Schrödinger model with optical soliton solutions. We employ the f+(GG)-expansion method to attain the optical solution solutions. An important tool for explaining the particular explosion of brief pulses in optical [...] Read more.
This paper discusses the time-fractional nonlinear Schrödinger model with optical soliton solutions. We employ the f+(GG)-expansion method to attain the optical solution solutions. An important tool for explaining the particular explosion of brief pulses in optical fibers is the nonlinear Schrödinger model. It can also be utilized in a telecommunications system. The suggested method yields trigonometric solutions such as dark, bright, kink, and anti-kink-type optical soliton solutions. Mathematica 11 software creates 2D and 3D graphs for many physically important parameters. The computational method is effective and generally appropriate for solving analytical problems related to complicated nonlinear issues that have emerged in the recent history of nonlinear optics and mathematical physics. Furthermore, we venture into uncharted territory by subjecting our model to chaotic and sensitivity analysis, shedding light on its robustness and responsiveness to perturbations. The proposed technique is being applied to this model for the first time. Full article
(This article belongs to the Section Mathematical Physics)
Show Figures

Figure 1

18 pages, 2599 KB  
Article
Exploring the Effect of Near-Field Ground Motions on the Fragility Curves of Multi-Span Simply Supported Concrete Girder Bridges
by Hassan Soltanmohammadi, Mohammadreza Mashayekhi, Mohammad Mahdi Memarpour, Denise-Penelope N. Kontoni and Masoud Mirtaheri
Infrastructures 2024, 9(2), 19; https://doi.org/10.3390/infrastructures9020019 - 26 Jan 2024
Cited by 1 | Viewed by 2960
Abstract
Investigating the impact of near-field ground motions on the fragility curves of multi-span simply supported concrete girder bridges is the main goal of this paper. Fragility curves are valuable tools for evaluating seismic risks and vulnerabilities of bridges. Numerous studies have investigated the [...] Read more.
Investigating the impact of near-field ground motions on the fragility curves of multi-span simply supported concrete girder bridges is the main goal of this paper. Fragility curves are valuable tools for evaluating seismic risks and vulnerabilities of bridges. Numerous studies have investigated the impact of ground motions on the fragility curves of bridges. Ground motions are commonly categorized into two sets, based on the distance of the recorded station from the seismic source: far-field and near-field. Studies examining the influence of near-field records on bridge fragility curves vary depending on the specific bridge type and type of fragility curve being analyzed. Due to the widespread use of multi-span simply supported concrete girder bridges in the Central and Southeastern United States, this study makes use of this bridge type. This research investigates the component fragility curves for column curvatures, bearing deformations, and abutment displacements by employing 3-D analytical models and conducting nonlinear time history analysis. These curves illustrate the impact of near-field ground motions on different components. The component fragility curves for two sets of records, 91 near-field ground motions and 78 far-field ground motions, were obtained and compared. These findings demonstrate that near-field ground motions have a greater damaging effect on columns and abutments than far-field earthquakes. When it comes to bearing deformations, the far-field earthquake impact is more severe at lower intensities, whereas the impact of the near-field ground motion is stronger at higher intensities. Full article
(This article belongs to the Special Issue Geotechnical Earthquake Engineering)
Show Figures

Figure 1

29 pages, 14866 KB  
Article
Modeling Variability in Seismic Analysis of Concrete Gravity Dams: A Parametric Analysis of Koyna and Pine Flat Dams
by Bikram Kesharee Patra, Rocio L. Segura and Ashutosh Bagchi
Infrastructures 2024, 9(1), 10; https://doi.org/10.3390/infrastructures9010010 - 5 Jan 2024
Cited by 11 | Viewed by 4349
Abstract
This study addresses the vital issue of the variability associated with modeling decisions in dam seismic analysis. Traditionally, structural modeling and simulations employ a progressive approach, where more complex models are gradually incorporated. For example, if previous levels indicate insufficient seismic safety margins, [...] Read more.
This study addresses the vital issue of the variability associated with modeling decisions in dam seismic analysis. Traditionally, structural modeling and simulations employ a progressive approach, where more complex models are gradually incorporated. For example, if previous levels indicate insufficient seismic safety margins, a more advanced analysis is then undertaken. Recognizing the constraints and evaluating the influence of various methods is essential for improving the comprehension and effectiveness of dam safety assessments. To this end, an extensive parametric study is carried out to evaluate the seismic response variability of the Koyna and Pine Flat dams using various solution approaches and model complexities. Numerical simulations are conducted in a 2D framework across three software programs, encompassing different dam system configurations. Additional complexity is introduced by simulating reservoir dynamics with Westergaard-added mass or acoustic elements. Linear and nonlinear analyses are performed, incorporating pertinent material properties, employing the concrete damage plasticity model in the latter. Modal parameters and crest displacement time histories are used to highlight variability among the selected solution procedures and model complexities. Finally, recommendations are made regarding the adequacy and robustness of each method, specifying the scenarios in which they are most effectively applied. Full article
(This article belongs to the Special Issue Advances in Dam Engineering of the 21st Century)
Show Figures

Figure 1

17 pages, 10812 KB  
Article
Analysis and Application of Double Steel Plate Concrete Composite Shear Wall in the R&D Building of Zhanjiang Bay Laboratory
by Tao Lan, Xiaopeng Wang, Yuansheng Cui, Xin Liu and Yong You
Buildings 2023, 13(12), 3055; https://doi.org/10.3390/buildings13123055 - 8 Dec 2023
Cited by 3 | Viewed by 2113
Abstract
The R&D Building of Zhanjiang Bay Laboratory is a high-rise structure with multiple irregular items exceeding the specification limit, employing a steel frame-shear wall structural system. The outer frame consists of square steel tube concrete columns and solid-web steel beams, while the core [...] Read more.
The R&D Building of Zhanjiang Bay Laboratory is a high-rise structure with multiple irregular items exceeding the specification limit, employing a steel frame-shear wall structural system. The outer frame consists of square steel tube concrete columns and solid-web steel beams, while the core shear wall uses a double steel plate concrete composite shear wall. This paper employs the architectural structural calculation software YJK-EP to perform a dynamic elastic-plastic time-history analysis under rare earthquake action. The shear and bending resistance of the shear wall at the maximum shear force and bending moment are checked to meet the requirements of the “Technical Specifications for Concrete Structures of High-rise Buildings”. The maximum inter-story displacement angle meets the requirements of the “Code for Seismic Design of Buildings”. The double steel plate concrete composite shear wall Wall-1, connected to a large-span and heavy-load transfer truss, was verified under significant seismic action using the ABAQUS software. The results indicate that Wall-1 can meet the design target requirements under major earthquake conditions. Finally, a dynamic nonlinear analysis method was employed using MIDAS-GEN software to study the structure’s anti-progressive collapse performance. The results show that under seven different scenarios, the maximum rotational angle of the remaining structural horizontal members is 2.02°, far less than the limit set by GSA, indicating that a progressive collapse did not occur. In the scenario where the corner column is removed, both the maximum shear and bending moment values for Wall-1 are far below its shear and bending resistance capacities, satisfying the load-bearing requirements. The removal of the corner column has a significant impact on the displacement of the columns on the same level nearby, with the peak displacement change rate reaching 702.65%. Full article
(This article belongs to the Special Issue Advancements in Large-Span Steel Structures and Architectural Design)
Show Figures

Figure 1

19 pages, 15146 KB  
Article
Performance of Common Scene Stacking Atmospheric Correction on Nonlinear InSAR Deformation Retrieval
by Zhichao Zhang, Wanpeng Feng, Xiaohua Xu and Sergey Samsonov
Remote Sens. 2023, 15(22), 5399; https://doi.org/10.3390/rs15225399 - 17 Nov 2023
Cited by 2 | Viewed by 2473
Abstract
Atmospheric Phase Screen (APS) is a major noise that suppresses the accuracy of InSAR deformation time series products. Several correction methods have been developed to perform APS reduction in the InSAR analysis, in which an algorithm called Common Scene Stacking (CSS) method draws [...] Read more.
Atmospheric Phase Screen (APS) is a major noise that suppresses the accuracy of InSAR deformation time series products. Several correction methods have been developed to perform APS reduction in the InSAR analysis, in which an algorithm called Common Scene Stacking (CSS) method draws wide attention in the community as the method was supposed to effectively separate atmospheric contributions without any external data. CSS was initially proposed for solving linearly interseismic deformation. Whether CSS can be applied in nonlinear deformation cases remains unsolved. In this study, we first conduct a series of data simulations including variable elastic deformation components and also propose an iterative strategy to address the inherent weak edge constraint issues in CSS under different deformation conditions. The results show that signal-to-noise ratio (SNR) is a key parameter affecting the performance of CSS in APS separation. For example, the recovery rate of deformation can generally be greater than 80% from datasets with SNR greater than 10 dB. Our results imply that CSS can favor further improvement of InSAR measurement accuracy. The proposed method in this study was applied to assessing deformation history across the 2020 Mw 5.7 Dingjie earthquake, in which logarithmic postseismic deformation history and coseismic contribution can be successfully retrieved once. Full article
Show Figures

Figure 1

7 pages, 4555 KB  
Proceeding Paper
Research on Asymmetrical Reinforced Concrete Low-Rise Frames under Multiple Seismic Events
by Paraskevi K. Askouni
Eng. Proc. 2023, 53(1), 29; https://doi.org/10.3390/IOCBD2023-15191 - 24 Oct 2023
Cited by 1 | Viewed by 963
Abstract
Current seismic regulations neglect the influence of multiple seismic events on the seismic response, which, as already recognized in the literature, may influence the seismic behavior of reinforced concrete structures. Symmetrical and asymmetrical low-rise reinforced concrete frames are investigated here via nonlinear time-history [...] Read more.
Current seismic regulations neglect the influence of multiple seismic events on the seismic response, which, as already recognized in the literature, may influence the seismic behavior of reinforced concrete structures. Symmetrical and asymmetrical low-rise reinforced concrete frames are investigated here via nonlinear time-history (NLTH) analysis considering multiple earthquake events, as well as under a respective single seismic event, for comparison purposes. The two horizontal directions, as well as the vertical one, of the ground excitation are considered in the dynamic analysis, assuming the elastoplastic action of reinforced concrete sections under heavy loading. A simple ratio is defined to express the geometrical in-plane asymmetry of the buildings. The nonlinear response outcomes of the time-history analyses are appropriately plotted by using unitless parameters for an objective estimation of the structural behavior under multiple earthquakes. The dimensionless response results and plots are presented and discussed in view of the relative geometrical asymmetry of the 3D frames. The effect of the multiple seismic events, as well as the one of a simple geometrical symmetry/asymmetry, is identified and discussed in the presented plots resulting from the dynamic analysis. Thus, practical remarks are presented regarding the significance of the in-plane symmetry/asymmetry of frames for improvements in the provisions of the current seismic regulations to develop safer structures. Full article
(This article belongs to the Proceedings of The 1st International Online Conference on Buildings)
Show Figures

Figure 1

31 pages, 1942 KB  
Article
Interpretable Machine Learning for Assessing the Cumulative Damage of a Reinforced Concrete Frame Induced by Seismic Sequences
by Petros C. Lazaridis, Ioannis E. Kavvadias, Konstantinos Demertzis, Lazaros Iliadis and Lazaros K. Vasiliadis
Sustainability 2023, 15(17), 12768; https://doi.org/10.3390/su151712768 - 23 Aug 2023
Cited by 17 | Viewed by 3353
Abstract
Recently developed Machine Learning (ML) interpretability techniques have the potential to explain how predictors influence the dependent variable in high-dimensional and non-linear problems. This study investigates the application of the above methods to damage prediction during a sequence of earthquakes, emphasizing the use [...] Read more.
Recently developed Machine Learning (ML) interpretability techniques have the potential to explain how predictors influence the dependent variable in high-dimensional and non-linear problems. This study investigates the application of the above methods to damage prediction during a sequence of earthquakes, emphasizing the use of techniques such as SHapley Additive exPlanations (SHAP), Partial Dependence Plots (PDPs), Local Interpretable Model-agnostic Explanations (LIME), Accumulated Local Effects (ALE), permutation and impurity-based techniques. Following previous investigations that examine the interdependence between predictors and the cumulative damage caused by a seismic sequence using classic statistical methods, the present study deploy ML interpretation techniques to deal with this multi-parametric and complex problem. The research explores the cumulative damage during seismic sequences, aiming to identify critical predictors and assess their influence on the cumulative damage. Moreover, the predictors contribution with respect to the range of final damage is evaluated. Non-linear time history analyses are applied to extract the seismic response of an eight-story Reinforced Concrete (RC) frame. The regression problem’s input variables are divided into two distinct physical classes: pre-existing damage from the initial seismic event and seismic parameters representing the intensity of the subsequent earthquake, expressed by the Park and Ang damage index (DIPA) and Intensity Measures (IMs), respectively. In addition to the interpretability analysis, the study offers also a comprehensive review of ML methods, hyperparameter tuning, and ML method comparisons. A LightGBM model emerges as the most efficient, among 15 different ML methods examined. Among the 17 examined predictors, the initial damage, caused by the first shock, and the IMs of the subsequent shock—IFVF and SIH—emerged as the most important ones. The novel results of this study provide useful insights in seismic design and assessment taking into account the structural performance under multiple moderate to strong earthquake events. Full article
Show Figures

Figure 1

31 pages, 7860 KB  
Article
Resilience of Medium-to-High-Rise Ductile Coupled Shear Walls Located in Canadian Seismic Zones and Strengthened with Externally Bonded Fiber-Reinforced Polymer Composite: Nonlinear Time History Assessment
by Ali Abbaszadeh and Omar Chaallal
J. Compos. Sci. 2023, 7(8), 317; https://doi.org/10.3390/jcs7080317 - 31 Jul 2023
Cited by 3 | Viewed by 2702
Abstract
Coupled shear walls (CSWs) are structural elements used in reinforced concrete (RC) buildings to provide lateral stability and resistance against seismic and wind forces. When subjected to high levels of seismic loading, CSWs exhibit nonlinear deformation through cracking and crushing in concrete and [...] Read more.
Coupled shear walls (CSWs) are structural elements used in reinforced concrete (RC) buildings to provide lateral stability and resistance against seismic and wind forces. When subjected to high levels of seismic loading, CSWs exhibit nonlinear deformation through cracking and crushing in concrete and yielding in reinforcements, thereby dissipating a significant amount of energy, leading to their permanent deformation. Externally bonded fiber-reinforced polymer (EB-FRP) sheets have proven to be effective in strengthening RC structures against various loading and environmental conditions. In addition, their high strength-to-weight ratio makes them an attractive solution as they can be easily applied without significantly increasing the structure’s weight. This study investigates the effectiveness of using EB-FRP sheets to reduce residual displacement in CSWs during severe earthquake loadings. Two series of 15-story and 20-story CSWs in Western and Eastern Canadian seismic zones, which serve as representative models for medium- and high-rise structures, were evaluated through nonlinear time history analysis. The numerical simulation of all CSWs and strengthened elements was carried out using the RUAUMOKO 2D software. The findings of this study provided evidence of the effectiveness of EB-FRP sheets in reducing residual deformation in CSWs. Additionally, significant reductions in the rotation of the coupling beams (CBs) and the inter-story drift ratio were observed. The results also revealed that bonding vertical FRP sheets to boundary elements and confining enhancement by wrapping CBs and wall piers is a very effective configuration in mitigating residual deformations. Full article
(This article belongs to the Special Issue Composites for Construction Industry)
Show Figures

Figure 1

25 pages, 13412 KB  
Article
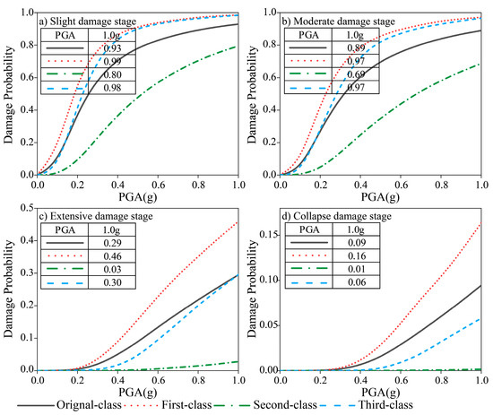
Seismic Fragility Analysis of a High-Pier Bridge under Pulse-like Ground Motion, Based on a PCA and K-Means Approach
by Jingang Zhao, Hongyu Jia, Can Yang and Bin Du
Appl. Sci. 2023, 13(15), 8721; https://doi.org/10.3390/app13158721 - 28 Jul 2023
Cited by 3 | Viewed by 1765
Abstract
The objective of this study is to present a novel fragility analysis method that combines principal component analysis (PCA) and the K-means clustering algorithm for a probability assessment of seismic damage in high-pier bridges undergoing pulse-like ground motions. Firstly, the method uses the [...] Read more.
The objective of this study is to present a novel fragility analysis method that combines principal component analysis (PCA) and the K-means clustering algorithm for a probability assessment of seismic damage in high-pier bridges undergoing pulse-like ground motions. Firstly, the method uses the correlation coefficient and the condition number as judgment indices to eliminate those seismic intensity measures (IMs) with weak correlation and multicollinearity from all 29 of the initial candidate seismic IMs, the optimal combination of IMs that satisfies the requirements for the PCA method is determined. Secondly, the method utilizes PCA to reduce the dimensionality of the optimal combination of IMs to obtain the principal components, after which the K-means algorithm is applied to classify the original group of selected pulse-like ground motions into four classes. Thirdly, a 3D finite element model of the exemplary high-pier bridge is developed via OpenSees, while incremental nonlinear dynamic time-history analyses are conducted to record the maximum cross-section curvatures of high piers under the influence of various categories of ground motions. Finally, based on the analytical procedures used in the increment dynamic analysis (IDA) method, this study develops and compares the fragility curves for the various classes of pulse-like ground motions. The results indicate the necessity of utilizing the PCA and K-means approach for classifying pulse-like ground motions in the seismic fragility analysis of high-pier bridges. This approach also significantly improves the precision and accuracy of damage probability analysis. Full article
(This article belongs to the Section Civil Engineering)
Show Figures

Figure 1

Back to TopTop