Sign in to use this feature.

Years

Between: -

Subjects

remove_circle_outline
remove_circle_outline
remove_circle_outline
remove_circle_outline
remove_circle_outline
remove_circle_outline
remove_circle_outline

Journals

Article Types

Countries / Regions

Search Results (13)

Search Parameters:
Keywords = 3D line clipping

Order results
Result details
Results per page
Select all
Export citation of selected articles as:
10 pages, 1385 KB  
Article
Prediction of Distal Dural Ring Location in Internal Carotid Paraclinoid Aneurysms Using the Tuberculum Sellae–Anterior Clinoid Process Line
by Masaki Matsumoto, Tohru Mizutani, Tatsuya Sugiyama, Kenji Sumi, Shintaro Arai and Yoichi Morofuji
J. Clin. Med. 2025, 14(17), 5951; https://doi.org/10.3390/jcm14175951 - 22 Aug 2025
Viewed by 692
Abstract
Background/Objectives: Current bone-based landmark approaches have shown variable accuracy and poor reproducibility. We validated a two-point “tuberculum sellae–anterior clinoid process” (TS–ACP) line traced on routine 3D-computed tomography angiography (CTA) for predicting distal dural ring (DDR) position and quantified the interobserver agreement. Methods [...] Read more.
Background/Objectives: Current bone-based landmark approaches have shown variable accuracy and poor reproducibility. We validated a two-point “tuberculum sellae–anterior clinoid process” (TS–ACP) line traced on routine 3D-computed tomography angiography (CTA) for predicting distal dural ring (DDR) position and quantified the interobserver agreement. Methods: We retrospectively reviewed data from 85 patients (87 aneurysms) who were treated via clipping between June 2012 and December 2024. Two blinded neurosurgeons classified each aneurysm as extradural, intradural, or straddling the TS–ACP line. The intraoperative DDR inspection served as the reference standard. Diagnostic accuracy, χ2 statistics, and Cohen’s κ were calculated. Results: The TS–ACP line landmarks were identifiable in all cases. The TS–ACP line classification correlated strongly with operative findings (χ2 = 138.3, p = 6.4 × 10−29). The overall accuracy was 89.7% (78/87), and sensitivity and specificity for identifying intradural aneurysms were 94% and 82%, respectively. The interobserver agreement was substantial (κ = 0.78). Nine aneurysms were misclassified, including four cavernous-sinus lesions that partially crossed the DDR. Retrospective fusion using constructive interference in steady-state magnetic resonance imaging corrected these errors. Conclusions: The TS–ACP line represents a rapid, reproducible tool that reliably localizes the DDR on standard 3D-CTA, showing higher accuracy than previously reported single-landmark techniques. Its high accuracy and substantial inter-observer concordance support incorporation into routine preoperative assessments. Because the method depends on only two easily detectable bony points, it is well-suited for automated implementation, offering a practical pathway toward artificial intelligence-assisted stratification of paraclinoid aneurysms. Full article
(This article belongs to the Special Issue Revolutionizing Neurosurgery: Cutting-Edge Techniques and Innovations)
Show Figures

Graphical abstract

11 pages, 7023 KB  
Proceeding Paper
Reinforcement Learning for UAV Path Planning Under Complicated Constraints with GNSS Quality Awareness
by Abdulla Alyammahi, Zhengjia Xu, Ivan Petrunin, Bo Peng and Raphael Grech
Eng. Proc. 2025, 88(1), 66; https://doi.org/10.3390/engproc2025088066 - 25 Jun 2025
Viewed by 792
Abstract
Requirements for Unmanned Aerial Vehicle (UAV) applications in low-altitude operations are escalating, which demands resilient Position, Navigation and Timing (PNT) solutions incorporating global navigation satellite system (GNSS) services. However, UAVs often operate in stringent environments with degraded GNSS performance. Practical challenges often arise [...] Read more.
Requirements for Unmanned Aerial Vehicle (UAV) applications in low-altitude operations are escalating, which demands resilient Position, Navigation and Timing (PNT) solutions incorporating global navigation satellite system (GNSS) services. However, UAVs often operate in stringent environments with degraded GNSS performance. Practical challenges often arise from dense, dynamic, complex, and uncertain obstacles. When flying in complex environments, it is important to consider signal degradation caused by reflections (multipath) and obscuration (Non-Line of Sight (NLOS)), which can lead to positioning errors that must be minimized to ensure mission reliability. Recent works integrate GNSS reliability maps derived from pseudorange error estimations into path planning to reduce loss-of-GNSS risks with PNT degradations. To accommodate multiple constraint conditions attempting to improve flight resilience against GNSS-degraded environments, this paper proposes a reinforcement learning (RL) approach to feature GNSS signal quality awareness during path planning. The non-linear relations between GNSS signal quality in the form of dilution of precision (DoP), geographic locations, and the policy of searching sub-minima points are learned by the clipped Proximal Policy Optimization (PPO) method. Other constraints considered include static obstacle occurrence, altitude boundary, forbidden flying regions, and operational volumes. The reward and punishment functions and the training method are designed to maximize the success criteria of approaching destinations. The proposed RL approach is demonstrated using a real 3D map of Indianapolis, USA, in the Godot engine, incorporating forecasted DoP data generated by a Geospatial Augmentation system named GNSS Foresight from Spirent. Results indicate a 36% enhancement in mission success rates when GNSS performance is included in the path planning training. Additionally, the varying tensor size, representing the UAV’s DoP perception range, exhibits a positive proportion relation to a higher mission rate, despite an increment in computational complexity. Full article
(This article belongs to the Proceedings of European Navigation Conference 2024)
Show Figures

Figure 1

18 pages, 4329 KB  
Article
Advancing Human Motion Recognition with SkeletonCLIP++: Weighted Video Feature Integration and Enhanced Contrastive Sample Discrimination
by Lin Yuan, Zhen He, Qiang Wang and Leiyang Xu
Sensors 2024, 24(4), 1189; https://doi.org/10.3390/s24041189 - 11 Feb 2024
Cited by 1 | Viewed by 1853
Abstract
This paper introduces ‘SkeletonCLIP++’, an extension of our prior work in human action recognition, emphasizing the use of semantic information beyond traditional label-based methods. The innovation, ‘Weighted Frame Integration’ (WFI), shifts video feature computation from averaging to a weighted frame approach, enabling a [...] Read more.
This paper introduces ‘SkeletonCLIP++’, an extension of our prior work in human action recognition, emphasizing the use of semantic information beyond traditional label-based methods. The innovation, ‘Weighted Frame Integration’ (WFI), shifts video feature computation from averaging to a weighted frame approach, enabling a more nuanced representation of human movements in line with semantic relevance. Another key development, ‘Contrastive Sample Identification’ (CSI), introduces a novel discriminative task within the model. This task involves identifying the most similar negative sample among positive ones, enhancing the model’s ability to distinguish between closely related actions. Incorporating the ‘BERT Text Encoder Integration’ (BTEI) leverages the pre-trained BERT model as our text encoder to refine the model’s performance. Empirical evaluations on HMDB-51, UCF-101, and NTU RGB+D 60 datasets illustrate positive improvements, especially in smaller datasets. ‘SkeletonCLIP++’ thus offers a refined approach to human action recognition, ensuring semantic integrity and detailed differentiation in video data analysis. Full article
(This article belongs to the Special Issue Smart Sensing Technology for Human Activity Recognition)
Show Figures

Figure 1

13 pages, 6499 KB  
Article
Heterogeneous Network Switching Strategy Based on Communication Blind Area Dwell Time
by Cheng Zhang, Yanfeng Tang, Xiuzhuo Wang, Yan Zhang and Xiuyang Li
Sensors 2023, 23(13), 6166; https://doi.org/10.3390/s23136166 - 5 Jul 2023
Viewed by 1611
Abstract
The limitation of indoor visible light coverage and the attenuation of its signal when propagating in line-of-sight has seriously affected the stable communication of receiving devices when users move randomly and also aggravated the power consumption of visible light networking systems. According to [...] Read more.
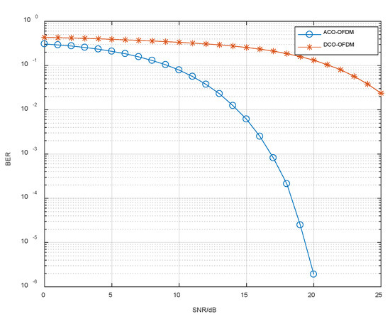
The limitation of indoor visible light coverage and the attenuation of its signal when propagating in line-of-sight has seriously affected the stable communication of receiving devices when users move randomly and also aggravated the power consumption of visible light networking systems. According to the above situation, on the basis of the heterogeneous networking of visible light communication (VLC) and RF communication integration, this article proposes a horizontal–vertical collaborative handover strategy based on the communication blind area dwell time (CBD-HVHO). Combining asymmetrically clipped optical orthogonal frequency division multiplexing (ACO-OFDM) technology with networking handover technology, ACO-OFDM is used to determine the indoor communication blind area by calculating the bit error rate (BER) value at the signal receiver while reducing the multipath interference generated by visible light signals during channel transmission. To achieve this, set the communication blind channel interruption time as the threshold time, compare the communication blind area dwell time with the threshold time, and finally combine the horizontal and vertical collaborative handover strategies based on the communication blind area dwell time. The simulation results show that the handover probability is 0.009, the average number of handovers is 1.006, and the average network throughput is 195.2826 Mbps. Compared with the previously proposed immediate vertical handover (I-VHO) scheme and the dwell vertical handover (D-VHO) scheme, the communication stability is significantly improved, and the power consumption of the network system is reduced to a certain extent. Full article
(This article belongs to the Section Communications)
Show Figures

Figure 1

14 pages, 1221 KB  
Article
Line Clipping in 3D: Overview, Techniques and Algorithms
by Dimitrios Matthes and Vasileios Drakopoulos
Algorithms 2023, 16(4), 201; https://doi.org/10.3390/a16040201 - 9 Apr 2023
Viewed by 11746
Abstract
Clipping algorithms essentially compute the intersection of the clipping object and the subject, so to go from two to three dimensions we replace the two-dimensional clipping object by the three-dimensional one (the view frustum). In three-dimensional graphics, the terminology of clipping can be [...] Read more.
Clipping algorithms essentially compute the intersection of the clipping object and the subject, so to go from two to three dimensions we replace the two-dimensional clipping object by the three-dimensional one (the view frustum). In three-dimensional graphics, the terminology of clipping can be used to describe many related features. Typically, “clipping” refers to operations in the plane that work with rectangular shapes, and “culling” refers to more general methods to selectively process scene model elements. The aim of this article is to survey important techniques and algorithms for line clipping in 3D, but it also includes some of the latest research performed by the authors. Full article
(This article belongs to the Special Issue Machine Learning in Computational Geometry)
Show Figures

Figure 1

32 pages, 1807 KB  
Article
Line Clipping in 2D: Overview, Techniques and Algorithms
by Dimitrios Matthes and Vasileios Drakopoulos
J. Imaging 2022, 8(10), 286; https://doi.org/10.3390/jimaging8100286 - 17 Oct 2022
Cited by 5 | Viewed by 6634
Abstract
Clipping, as a fundamental process in computer graphics, displays only the part of a scene which is needed to be displayed and rejects all others. In two dimensions, the clipping process can be applied to a variety of geometric primitives such as points, [...] Read more.
Clipping, as a fundamental process in computer graphics, displays only the part of a scene which is needed to be displayed and rejects all others. In two dimensions, the clipping process can be applied to a variety of geometric primitives such as points, lines, polygons or curves. A line-clipping algorithm processes each line in a scene through a series of tests and intersection calculations to determine whether the entire line or any part of it is to be saved. It also calculates the intersection position of a line with the window edges so its major goal is to minimize these calculations. This article surveys important techniques and algorithms for line-clipping in 2D but it also includes some of the latest research made by the authors. The survey criteria include evaluation of all line-clipping algorithms against a rectangular window, line clipping versus polygon clipping, and our line clipping against a convex polygon, as well as all line-clipping algorithms against a convex polygon algorithm. Full article
(This article belongs to the Special Issue Geometry Reconstruction from Images)
Show Figures

Figure 1

13 pages, 2173 KB  
Article
Stimuli-Responsive Dual Cross-Linked N-Carboxyethylchitosan Hydrogels with Tunable Dissolution Rate
by Svetlana Bratskaya, Anna Skatova, Yuliya Privar, Andrey Boroda, Ekaterina Kantemirova, Mariya Maiorova and Alexander Pestov
Gels 2021, 7(4), 188; https://doi.org/10.3390/gels7040188 - 29 Oct 2021
Cited by 20 | Viewed by 2570
Abstract
Here, we discuss the applicability of (methylenebis(salicylaldehyde)—MbSA) for the fabrication of the stimuli-responsive N-carboxyethylchitosan (CEC) hydrogels with a tunable dissolution rate under physiological conditions. In comparison with non-covalent salicylimine hydrogels, MbSA cross-linking via covalent bis(‘imine clip’) and non-covalent hydrophobic interactions allowed the [...] Read more.
Here, we discuss the applicability of (methylenebis(salicylaldehyde)—MbSA) for the fabrication of the stimuli-responsive N-carboxyethylchitosan (CEC) hydrogels with a tunable dissolution rate under physiological conditions. In comparison with non-covalent salicylimine hydrogels, MbSA cross-linking via covalent bis(‘imine clip’) and non-covalent hydrophobic interactions allowed the fabrication of hydrogels with storage moduli > 1 kPa at ten-fold lower aldehyde/CEC molar ratio with the preservation of pH- and amino-acid responsive behavior. Although MbSA-cross-linked CEC hydrogels were stable at neutral and weakly alkaline pH, their disassembly in cell growth medium (Dulbecco’s modified Eagle’s medium, DMEM) under physiological conditions was feasible due to transimination reaction with amino acids contained in DMEM. Depending on the cross-linking density, the complete dissolution time of the fabricated hydrogels varied from 28 h to 11 days. The cytotoxicity of MbSA cross-linked CEC hydrogels toward a human colon carcinoma cell line (HCT 116) and primary human dermal fibroblasts (HDF) was remarkably lower in comparison with CEC-salicylimine hydrogels. Fast gelation, relatively low cytotoxicity, and tunable stimuli-induced disassembly under physiological conditions make MbSA cross-linked CEC hydrogels promising for drug encapsulation and release, 3D printing, cell culturing, and other biomedical applications. Full article
(This article belongs to the Special Issue Cancer Cell Biology in Biological Hydrogel)
Show Figures

Figure 1

13 pages, 2724 KB  
Article
DFT-Spread Spectrally Overlapped Hybrid OFDM–Digital Filter Multiple Access IMDD PONs
by Abdulai Sankoh, Wei Jin, Zhuqiang Zhong, Jiaxiang He, Yanhua Hong, Roger Giddings and Jianming Tang
Sensors 2021, 21(17), 5903; https://doi.org/10.3390/s21175903 - 2 Sep 2021
Viewed by 2663
Abstract
A novel transmission technique—namely, a DFT-spread spectrally overlapped hybrid OFDM–digital filter multiple access (DFMA) PON based on intensity modulation and direct detection (IMDD)—is here proposed by employing the discrete Fourier transform (DFT)-spread technique in each optical network unit (ONU) and the optical line [...] Read more.
A novel transmission technique—namely, a DFT-spread spectrally overlapped hybrid OFDM–digital filter multiple access (DFMA) PON based on intensity modulation and direct detection (IMDD)—is here proposed by employing the discrete Fourier transform (DFT)-spread technique in each optical network unit (ONU) and the optical line terminal (OLT). Detailed numerical simulations are carried out to identify optimal ONU transceiver parameters and explore their maximum achievable upstream transmission performances on the IMDD PON systems. The results show that the DFT-spread technique in the proposed PON is effective in enhancing the upstream transmission performance to its maximum potential, whilst still maintaining all of the salient features associated with previously reported PONs. Compared with previously reported PONs excluding DFT-spread, a significant peak-to-average power ratio (PAPR) reduction of over 2 dB is achieved, leading to a 1 dB reduction in the optimal signal clipping ratio (CR). As a direct consequence of the PAPR reduction, the proposed PON has excellent tolerance to reduced digital-to-analogue converter/analogue-to-digital converter (DAC/ADC) bit resolution, and can therefore ensure the utilization of a minimum DAC/ADC resolution of only 6 bits at the forward error correction (FEC) limit (1 × 10−3). In addition, the proposed PON can improve the upstream power budget by >1.4 dB and increase the aggregate upstream signal transmission rate by up to 10% without degrading nonlinearity tolerances. Full article
(This article belongs to the Section Sensor Networks)
Show Figures

Figure 1

22 pages, 32604 KB  
Article
Object-Wise Video Editing
by Ashraf Siddique and Seungkyu Lee
Appl. Sci. 2021, 11(2), 671; https://doi.org/10.3390/app11020671 - 12 Jan 2021
Cited by 3 | Viewed by 3897
Abstract
Beyond time frame editing in video data, object level video editing is a challenging task; such as object removal in a video or viewpoint changes. These tasks involve dynamic object segmentation, novel view video synthesis and background inpainting. Background inpainting is a task [...] Read more.
Beyond time frame editing in video data, object level video editing is a challenging task; such as object removal in a video or viewpoint changes. These tasks involve dynamic object segmentation, novel view video synthesis and background inpainting. Background inpainting is a task of the reconstruction of unseen regions presented by object removal or viewpoint change. In this paper, we propose a video editing method including foreground object removal background inpainting and novel view video synthesis under challenging conditions such as complex visual pattern, occlusion, overlaid clutter and variation of depth in a moving camera. Our proposed method calculates a weighted confidence score on the basis of normalized difference between observed depth and predicted distance in 3D space. A set of potential points from epipolar lines from neighbor frames are collected, refined, and weighted to select a few number of highly qualified observations to fill the desired region of interest area in the current frame from video. Based on the background inpainting method, novel view video synthesis is conducted with arbitrary viewpoint. Our method is evaluated with both a public dataset and our own video clips and compared with multiple state of the art methods showing a superior performance. Full article
(This article belongs to the Special Issue Advanced Intelligent Imaging Technology Ⅱ)
Show Figures

Figure 1

15 pages, 10022 KB  
Article
Augmented-Reality-Based 3D Emotional Messenger for Dynamic User Communication with Smart Devices
by Jongin Choe, Taemin Lee and Sanghyun Seo
Electronics 2020, 9(7), 1127; https://doi.org/10.3390/electronics9071127 - 10 Jul 2020
Cited by 6 | Viewed by 5065
Abstract
With the development of Internet technologies, chat environments have migrated from PCs to mobile devices. Conversations have moved from phone calls and text messages to mobile messaging services or “messengers,” which has led to a significant surge in the use of mobile messengers [...] Read more.
With the development of Internet technologies, chat environments have migrated from PCs to mobile devices. Conversations have moved from phone calls and text messages to mobile messaging services or “messengers,” which has led to a significant surge in the use of mobile messengers such as Line and WhatsApp. However, because these messengers mainly use text as the communication medium, they have the inherent disadvantage of not effectively representing the user’s nonverbal expressions. In this context, we propose a new emotional communication messenger that improves upon the limitations of existing static expressions in current messenger applications. We develop a chat messenger based on augmented reality (AR) technology using smartglasses, which are a type of a wearable device. To this end, we select a server model that is suitable for AR, and we apply an effective emotional expression method based on 16 different basic emotions classified as per Russell’s model. In our app, these emotions can be expressed via emojis, animations, particle effects, and sound clips. Finally, we verify the efficacy of our messenger by conducting a user study to compare it with current 2D-based messenger services. Our messenger service can serve as a prototype for future AR-based messenger apps. Full article
(This article belongs to the Special Issue Virtual Reality and Scientific Visualization)
Show Figures

Figure 1

22 pages, 8310 KB  
Article
A Rail Fastener Tightness Detection Approach Using Multi-source Visual Sensor
by Qiang Han, Shengchun Wang, Yue Fang, Le Wang, Xinyu Du, Hailang Li, QiXin He and Qibo Feng
Sensors 2020, 20(5), 1367; https://doi.org/10.3390/s20051367 - 2 Mar 2020
Cited by 37 | Viewed by 5913
Abstract
At present, the method of two-dimensional image recognition is mainly used to detect the abnormal fastener in the rail-track inspection system. However, the too-tight-or-too-loose fastener condition may cause the clip of the fastener to break or loose due to the high frequency vibration [...] Read more.
At present, the method of two-dimensional image recognition is mainly used to detect the abnormal fastener in the rail-track inspection system. However, the too-tight-or-too-loose fastener condition may cause the clip of the fastener to break or loose due to the high frequency vibration shock, which is difficult to detect from the two-dimensional image. In this practical application background, 3D visual detection technology provides a feasible solution. In this paper, we propose a fundamental multi-source visual data detection method, as well as an accurate and robust fastener location and nut or bolt segmentation algorithm. By combining two-dimensional intensity information and three-dimensional depth information generated by the projection of line structural light, the locating of nut or bolt position and accurate perception of height information can be realized in the dynamic running environment of railway. The experimental results show that the static measurement accuracy in the vertical direction using the structural light vision sensor is 0.1 mm under the laboratory condition, and the dynamic measurement accuracy is 0.5 mm under the dynamic train running environment. We use dynamic template matching algorithm to locate fasteners from 2D intensity map, which achieves 99.4% accuracy, then use the watershed algorithm to segment the nut and bolt from the corresponding depth image of located fastener. Finally, the 3D shape of the nut and bolt is analyzed to determine whether the nut or bolt height meets the local statistical threshold requirements, so as to detect the hidden danger of railway transportation caused by too loose or too tight fasteners. Full article
Show Figures

Figure 1

14 pages, 1008 KB  
Article
Human Indoor Exposure to Airborne Halogenated Flame Retardants: Influence of Airborne Particle Size
by Mark J. La Guardia, Erika D. Schreder, Nancy Uding and Robert C. Hale
Int. J. Environ. Res. Public Health 2017, 14(5), 507; https://doi.org/10.3390/ijerph14050507 - 9 May 2017
Cited by 27 | Viewed by 6336
Abstract
Inhalation of halogenated flame-retardants (HFRs) released from consumer products is an important route of exposure. However, not all airborne HFRs are respirable, and thus interact with vascular membranes within the gas exchange (alveolar) region of the lung. HFRs associated with large (>4 µm), [...] Read more.
Inhalation of halogenated flame-retardants (HFRs) released from consumer products is an important route of exposure. However, not all airborne HFRs are respirable, and thus interact with vascular membranes within the gas exchange (alveolar) region of the lung. HFRs associated with large (>4 µm), inhalable airborne particulates are trapped on the mucosal lining of the respiratory tract and then are expelled or swallowed. The latter may contribute to internal exposure via desorption from particles in the digestive tract. Exposures may also be underestimated if personal activities that re-suspend particles into the breathing zone are not taken into account. Here, samples were collected using personal air samplers, clipped to the participants’ shirt collars (n = 18). We observed that the larger, inhalable air particulates carried the bulk (>92%) of HFRs. HFRs detected included those removed from commerce (i.e., polybrominated diphenyl ethers (Penta-BDEs: BDE-47, -85, -100, -99, and -153)), their replacements; e.g., 2-ethylhexyl 2,3,4,5-tetrabromobenzoate (TBB or EH-TBB); bis(2-ethylhexyl) 3,4,5,6-tetrabromophthalate (TBPH or BEH-TEBP) and long-produced chlorinated organophosphate-FRs (ClOPFRs): tris(2-chloroethyl)phosphate (TCEP), tris(1-chloro-2-propyl)phosphate (TCPP or TCIPP), and tris(1,3-dichloro-2-propyl)phosphate (TDCPP or TDCIPP). Our findings suggest estimates relying on a single exposure route, i.e., alveolar gas exchange, may not accurately estimate HFR internal dosage, as they ignore contributions from larger inhalable particulates that enter the digestive tract. Consideration of the fate and bioavailability of these larger particulates resulted in higher dosage estimates for HFRs with log Koa < 12 (i.e., Penta-BDEs and ClOPFRs) and lower estimates for those with log Koa > 12 (i.e., TBB and TBPH) compared to the alveolar route exposure alone. Of those HFRs examined, the most significant effect was the lower estimate by 41% for TBPH. The bulk of TBPH uptake from inhaled particles was estimated to be through the digestive tract, with lower bioavailability. We compared inhalation exposure estimates to chronic oral reference doses (RfDs) established by several regulatory agencies. The U.S. Environmental Protection Agency (EPA) RfD levels for several HFRs are considered outdated; however, BDE-99 levels exceeded those suggested by the Dutch National Institute for Public Health and the Environment (RIVM) by up to 26 times. These findings indicate that contributions and bioavailability of respirable and inhalable airborne particulates should both be considered in future risk assessments. Full article
(This article belongs to the Special Issue Indoor Air Quality and Health 2016)
Show Figures

Figure 1

30 pages, 12853 KB  
Article
The Eh-pH Diagram and Its Advances
by Hsin-Hsiung Huang
Metals 2016, 6(1), 23; https://doi.org/10.3390/met6010023 - 14 Jan 2016
Cited by 100 | Viewed by 62737
Abstract
Since Pourbaix presented Eh versus pH diagrams in his “Atlas of Electrochemical Equilibria in Aqueous Solution”, diagrams have become extremely popular and are now used in almost every scientific area related to aqueous chemistry. Due to advances in personal computers, such diagrams can [...] Read more.
Since Pourbaix presented Eh versus pH diagrams in his “Atlas of Electrochemical Equilibria in Aqueous Solution”, diagrams have become extremely popular and are now used in almost every scientific area related to aqueous chemistry. Due to advances in personal computers, such diagrams can now show effects not only of Eh and pH, but also of variables, including ligand(s), temperature and pressure. Examples from various fields are illustrated in this paper. Examples include geochemical formation, corrosion and passivation, precipitation and adsorption for water treatment and leaching and metal recovery for hydrometallurgy. Two basic methods were developed to construct an Eh-pH diagram concerning the ligand component(s). The first method calculates and draws a line between two adjacent species based on their given activities. The second method performs equilibrium calculations over an array of points (500 × 800 or higher are preferred), each representing one Eh and one pH value for the whole system, then combines areas of each dominant species for the diagram. These two methods may produce different diagrams. The fundamental theories, illustrated results, comparison and required conditions behind these two methods are presented and discussed in this paper. The Gibbs phase rule equation for an Eh-pH diagram was derived and verified from actual plots. Besides indicating the stability area of water, an Eh-pH diagram normally shows only half of an overall reaction. However, merging two or more related diagrams together reveals more clearly the possibility of the reactions involved. For instance, leaching of Au with cyanide followed by cementing Au with Zn (Merrill-Crowe process) can be illustrated by combining Au-CN and Zn-CN diagrams together. A second example of the galvanic conversion of chalcopyrite can be explained by merging S, Fe–S and Cu–Fe–S diagrams. The calculation of an Eh-pH diagram can be extended easily into another dimension, such as the concentration of a given ligand, temperature or showing the solubility of stable solids. A personal computer is capable of drawing the diagram by utilizing a 3D program, such as ParaView, or VisIt, or MATLAB. Two 3D wireframe volume plots of a Uranium-carbonate system from Garrels and Christ were used to verify the Eh-pH calculation and the presentation from ParaView. Although a two-dimensional drawing is still much clearer to read, a 3D graph can allow one to visualize an entire system by executing rotation, clipping, slicing and making a movie. Full article
(This article belongs to the Special Issue Hydrometallurgy)
Show Figures

Figure 1

Back to TopTop